Trajectory Preview Tracking Control for Self-Balancing Intelligent Motorcycle Utilizing Front-Wheel Steering
Abstract
1. Introduction
2. Materials and Methods
2.1. Control Objective
2.2. Trajectory Planning
2.2.1. Reference Arc Curve Trajectory
2.2.2. Double Lane Change
2.3. Self-Balancing Control
2.3.1. Preview Follower Theory
2.3.2. Self-Balancing Dual PID Control
2.4. Pre-Emptive Braking Control
2.4.1. Expectation Speed
2.4.2. Minimum Brake Distance
3. Simulation and Analysis
3.1. Double Lane Change Scenario
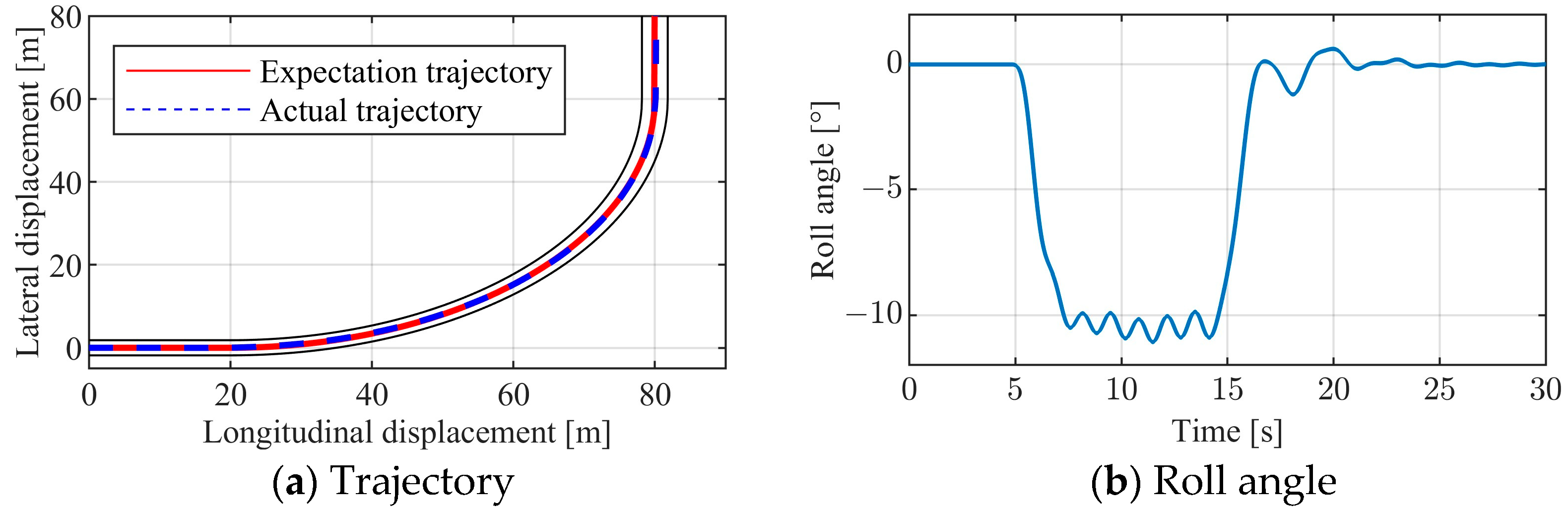
3.2. High-Adhesion Curve Scenario (μ = 0.85)
3.3. Low-Adhesion Curve Scenario (μ = 0.3)
3.4. Low-Friction Cornering Scenario Considering Rider Lean
3.5. Summary
4. Conclusions
Author Contributions
Funding
Data Availability Statement
Conflicts of Interest
References
- Temmerman, P.; Roynard, M. Motorcycle Speed Survey 2014: Results of the First Motorcycle Speed Behaviour Survey in Belgium. Transp. Res. Procedia 2016, 14, 4218–4227. [Google Scholar] [CrossRef]
- Zheng, X.; Zhu, X.; Chen, Z.; Sun, Y.; Liang, B.; Wang, T. Dynamic Modeling of an Unmanned Motorcycle and Combined Balance Control with Both Steering and Double CMGs. Mech. Mach. Theory 2022, 169, 104643. [Google Scholar] [CrossRef]
- Sumioka, T.; Akimoto, K.; Tsujimura, T.; Takayanagi, S.; Fukushima, K.; Nose, T. Rider Cooperative Control of Rear-Wheel-Swing Motorcycle Based on Divergent Component of Motion. IEEE Robot. Autom. Lett. 2024, 9, 223–230. [Google Scholar] [CrossRef]
- Park, J.; Cho, B. Development of a Self-balancing Robot with a Control Moment Gyroscope. Int. J. Adv. Robot. Syst. 2018, 15, 1729881418770865. [Google Scholar] [CrossRef]
- Seiniger, P.; Schröter, K.; Gail, J. Perspectives for Motorcycle Stability Control Systems. Accid. Anal. Prev. 2012, 44, 74–81. [Google Scholar] [CrossRef] [PubMed]
- Bartolozzi, M.; Niccolai, A.; Lucci, C.; Savino, G. Motorcycle Emergency Steering Assistance: A Systematic Approach from System Definition to Benefit Estimation and Exploratory Field Testing. Accid. Anal. Prev. 2023, 188, 107116. [Google Scholar] [CrossRef]
- Piantini, S.; Aathresh, V.N.; Savino, G.; Pierini, M. Assessment of the Effect of Motorcycle Autonomous Emergency Braking (MAEB) based on Real-World Crashes. Traffic Inj. Prev. 2022, 23, S174–S180. [Google Scholar] [CrossRef]
- Savino, G.; Lot, R.; Massaro, M.; Rizzi, M.; Symeonidis, I.; Will, S.; Brown, J. Active Safety Systems for Powered Two-Wheelers: A Systematic Review. Traffic Inj. Prev. 2020, 21, 78–86. [Google Scholar] [CrossRef]
- Terranova, P.; Dean, M.E.; Lucci, C.; Piantini, S.; Allen, T.J.; Savino, G.; Gabler, H.C. Applicability Assessment of Active Safety Systems for Motorcycles Using Population-Based Crash Data: Cross-Country Comparison among Australia, Italy, and USA. Sustainability 2022, 14, 7563. [Google Scholar] [CrossRef]
- Sharp, R.S. The Stability and Control of Motorcycles. J. Mech. Eng. Sci. 1971, 13, 316–329. [Google Scholar] [CrossRef]
- Sharp, R.S.; Limebeer, D.J.N. A Motorcycle Model for Stability and Control Analysis. Multibody Syst. Dyn. 2001, 6, 123–142. [Google Scholar] [CrossRef]
- Limebeer, D.J.N.; Sharp, R.S.; Evangelou, S. The Stability of Motorcycles under Acceleration and Braking. Proc. Inst. Mech. Eng. Part C J. Mech. Eng. Sci. 2001, 215, 1095–1109. [Google Scholar] [CrossRef]
- Cossalter, V.; Lot, R. A Motorcycle Multi-Body Model for Real Time Simulations based on the Natural Coordinates Approach. Veh. Syst. Dyn. 2002, 37, 423–447. [Google Scholar] [CrossRef]
- Cossalter, V. Motorcycle Dynamics; Lulu Enterprises, Inc.: Raleigh, NC, USA, 2006; ISBN 978-1-4303-0861-4. [Google Scholar]
- Tanaka, Y.; Murakami, T. A Study on Straight-Line Tracking and Posture Control in Electric Bicycle. IEEE Trans. Ind. Electron. 2009, 56, 159–168. [Google Scholar] [CrossRef]
- Keo, L.; Yamakita, M. Control of an Autonomous Electric Bicycle with both Steering and Balancer Controls. Adv. Robot. 2011, 25, 1–22. [Google Scholar] [CrossRef]
- Han, S.; Han, J.; Ham, W. Control Algorithm for Stabilization of Tilt Angle of Unmanned Electric Bicycle. Trans. Control. Autom. Syst. Eng. 2001, 3, 176–180. [Google Scholar]
- Saguchi, T.; Yoshida, K.; Takahashi, M. Stable Running Control of Autonomous Bicycle Robot. Trans. Jpn. Soc. Mech. Eng. Part C 2007, 73, 2036–2041. [Google Scholar] [CrossRef][Green Version]
- Nakagawa, C.; Suda, Y.; Nakano, K.; Takehara, S. Stabilization of a Bicycle with Two-Wheel Steering and Two-Wheel Driving by Driving Forces at Low Speed. J. Mech. Sci. Technol. 2009, 23, 980–986. [Google Scholar] [CrossRef]
- Hashemnia, S.; Panahi, M.S.; Mahjoob, M.J. Unmanned Bicycle Balancing via Lyapunov Rule-Based Fuzzy Control. Multibody Syst. Dyn. 2014, 31, 147–168. [Google Scholar] [CrossRef]
- Singh, R.; Bhushan, B. Improved Ant Colony Optimization for Achieving Self-Balancing and Position Control for Balancer Systems. J. Ambient. Intell. Humaniz. Comput. 2021, 12, 8339–8356. [Google Scholar] [CrossRef]
- Tanelli, M.; Corno, M.; Boniolo, I.; Savaresi, S.M. Active Braking Control of Two-Wheeled Vehicles on Curves. Int. J. Veh. Auton. Syst. 2009, 7, 243–269. [Google Scholar] [CrossRef]
- Filippi, P.; Tanelli, M.; Corno, M.; Savaresi, S.M.; Santucci, M.D. Electronic Stability Control for Powered Two-Wheelers. IEEE Trans. Control. Syst. Technol. 2014, 22, 265–272. [Google Scholar] [CrossRef]
- Lich, T.; Block, W.; Prashanth, S.; Heiler, B. Motorcycle Stability Control—The Next Generation of Motorcycle Safety and Riding Dynamics. SAE Int. J. Engines 2016, 9, 491–498. [Google Scholar] [CrossRef]
- Baumann, M.; Bächle, T.; Buchholz, M.; Dietmayer, K. Model-based Corner Braking Control for Electric Motorcycles. IFAC-PapersOnLine 2016, 49, 291–296. [Google Scholar] [CrossRef]
- Phalke, A.; Agrewale, M. Optimal Brake Force Distribution in Motorcycle for Straight-Line Braking. Mater. Today Proc. 2023, 72, 1335–1341. [Google Scholar] [CrossRef]
- Kimura, T.; Ando, Y.; Tsujii, E. Development of New Concept Two-Wheel Steering System for Motorcycles. SAE Int. J. Passeng. Cars Electron. Electr. Syst. 2014, 7, 36–40. [Google Scholar]
- Griffin, J.; Popov, A. Multibody Dynamics Simulation of an All-Wheel-Drive Motorcycle for Handling and Energy Efficiency Investigations. Veh. Syst. Dyn. 2018, 56, 983–1001. [Google Scholar] [CrossRef]
- Bonci, A.; Longhi, S.; Scala, G. Towards an All-Wheel Drive Motorcycle: Dynamic Modeling and Simulation. IEEE Access 2020, 8, 112867–112882. [Google Scholar] [CrossRef]
- Lenzo, B.; Lot, R. Optimal Torque Management Strategies for All-Wheel-Drive Electric Motorcycles. Veh. Syst. Dyn. 2024. [Google Scholar] [CrossRef]
- Cachaya, E.; Perdomo, C.; Suaza, D.; Zarta, J.; Serrezuela, R. Control of Autonomous Motorcycles by Means of Trajectory Tracking and Balance Stabilization. J. Theor. Appl. Inf. Technol. 2024, 102, 3093–3102. [Google Scholar]
- Persson, N.; Ekström, M.C.; Ekström, M.; Papadopoulos, A. Trajectory Tracking and Stabilisation of a Riderless Bicycle. In Proceedings of the 2021 IEEE International Intelligent Transportation Systems Conference (ITSC), Indianapolis, IN, USA, 19–22 September 2021; IEEE: Piscataway, NJ, USA, 2021. [Google Scholar]
- Sharp, R.S. Motorcycle Steering Control by Road Preview. J. Dyn. Syst. Meas. Control. 2007, 129, 373–381. [Google Scholar] [CrossRef]
- Dao, T.; Chen, C. Path-Tracking Control of a Riderless Bicycle via Road Preview and Speed Adaptation. Asian J. Control. 2013, 15, 1036–1050. [Google Scholar] [CrossRef]
- Assad, M.M.; Meggiolaro, M.A.; Neto, M.S. Analysis of Control Strategies for Autonomous Motorcycles Stabilization and Trajectories Tracking. In Proceedings of the DINAME 2017—Proceedings of the XVII International Symposium on Dynamic Problems of Mechanics, São Sebastião, Brazil, 5–10 March 2017; Springer: Cham, Switzerland, 2018; pp. 401–416. [Google Scholar]
- Zhang, S.; Simkani, M.; Zadeh, M. Automatic Vehicle Parallel Parking Design Using Fifth Degree Polynomial Path Planning. In Proceedings of the 2011 IEEE Vehicular Technology Conference (VTC Fall), San Francisco, CA, USA, 5–8 September 2011; IEEE: Piscataway, NJ, USA, 2011. [Google Scholar]
- ECE R78; Uniform Provisions Concerning the Approval of Vehicles of Category L with Regard to Braking. European Economic Commission Standards: Brussels, Belgium, 2004.
- Lucci, C.; Baldanzini, N.; Savino, G. Field Testing the Applicability of Motorcycle Autonomous Emergency Braking (MAEB) during Pre-crash Avoidance Maneuver. Traffic Inj. Prev. 2021, 22, 246–251. [Google Scholar] [CrossRef] [PubMed]
- JTG B01-2014; Technical Standard of Highway Engineering. Standards Press of China: Beijing, China, 2014.
















| Parameter | Symbol | Value | Unit |
|---|---|---|---|
| Mass | m | 165 | kg |
| Wheelbase | L | 1.53 | m |
| Distance from center of gravity to the center of front wheel | lf | 0.85 | m |
| Height of the center of gravity | h | 0.53 | m |
| Rolling radius of the front/rear tire | Rf/Rr | 0.31/0.32 | m |
| Scenarios | Max Lateral Deviation (m) | Max Roll Angle (deg) | Max Steering Angle (deg) | Max Torque (N-m) | Whether It Is Stable |
|---|---|---|---|---|---|
| Double lane change | 0.6 | 12 | 0.35 | 10 | Yes |
| High-friction cornering | 0.48 | 39 | 0.4 | 10 | Yes |
| Low-friction cornering (without pre-braking) | Exceed | Rollover | - | - | No |
| Low-friction cornering (with pre-braking) | 0.25 | 15 | 1.6 | 3.2 | Yes |
| Low-friction cornering with driver lean consideration (with pre-braking) | 0.15 | 11 | 1.5 | 2.5 | Yes |
Disclaimer/Publisher’s Note: The statements, opinions and data contained in all publications are solely those of the individual author(s) and contributor(s) and not of MDPI and/or the editor(s). MDPI and/or the editor(s) disclaim responsibility for any injury to people or property resulting from any ideas, methods, instructions or products referred to in the content. |
© 2024 by the authors. Published by MDPI on behalf of the International Institute of Knowledge Innovation and Invention. Licensee MDPI, Basel, Switzerland. This article is an open access article distributed under the terms and conditions of the Creative Commons Attribution (CC BY) license (https://creativecommons.org/licenses/by/4.0/).
Share and Cite
Lai, F.; Hu, H.; Huang, C. Trajectory Preview Tracking Control for Self-Balancing Intelligent Motorcycle Utilizing Front-Wheel Steering. Appl. Syst. Innov. 2024, 7, 115. https://doi.org/10.3390/asi7060115
Lai F, Hu H, Huang C. Trajectory Preview Tracking Control for Self-Balancing Intelligent Motorcycle Utilizing Front-Wheel Steering. Applied System Innovation. 2024; 7(6):115. https://doi.org/10.3390/asi7060115
Chicago/Turabian StyleLai, Fei, Hewang Hu, and Chaoqun Huang. 2024. "Trajectory Preview Tracking Control for Self-Balancing Intelligent Motorcycle Utilizing Front-Wheel Steering" Applied System Innovation 7, no. 6: 115. https://doi.org/10.3390/asi7060115
APA StyleLai, F., Hu, H., & Huang, C. (2024). Trajectory Preview Tracking Control for Self-Balancing Intelligent Motorcycle Utilizing Front-Wheel Steering. Applied System Innovation, 7(6), 115. https://doi.org/10.3390/asi7060115

