Alterations in Step Width and Reaction Times in Walking Subjects Exposed to Mediolateral Foot-Transmitted Vibration
Abstract
1. Introduction
2. Materials and Methods
2.1. Participants
2.2. Experimental Setup
2.3. Experimental Protocol
- B—Baseline trial: the subject executed PVT (5 min duration) standing still on the platform without vibration exposure;
- V—Vibration trial: the subject performed PVT (5 min duration) standing still on the platform that vibrates in the mediolateral direction, thus exposing participants to FTV. The PVT test started after an adaptation period of 30 s;
- W—Walking trial: the subject executed PVT walking on the platform without vibration exposure. The participant stood still on the treadmill and started walking at a speed that gradually increased to 4.5 km/h. Once the participant adapted to the final speed (30 s), during the following 90 s, the camera system recorded the participant’s step width while they walked normally (hereinafter, unperturbed gait, U). Then, the PVT test (hereinafter unperturbed gait with PVT, U-PVT) began, and after 210 s, the step width was evaluated again to check the effect of PVT on gait;
- W+V—Walking with vibration trial: the participant stood on the platform; after imposing the vibration, after a few seconds of adaptation, the treadmill speed slowly increased to 4.5 km/h. The participant then walked for two minutes; the first 30 s allowed them to become used to the speed and the vibration. During the last 90 s, the camera system recorded their step width (perturbed gait, P). After that, the PVT began; in the final 90 s, the step width was measured again (hereinafter perturbed gait with PVT, P-PVT);
- P—Post-test trial: analogously to the baseline, the subject executed PVT (5 min duration) standing on the platform without vibration exposure.
2.4. Data Analysis
2.4.1. PVT Analysis
- Mean RT: the mean of the RTs among the 50 recorded during each trial expressed in ms;
- Fastest RT: the mean of the 10% shortest RTs of the trial (or optimum response domain) expressed in ms;
- Lapses: the percentage of the error of omission (RT ≥ 500 ms) normalized by 50 RTs of the trial.
2.4.2. Step Width Analysis
3. Results
3.1. PVT Results
3.1.1. Comparison of Metrics in Static and Dynamic Trials
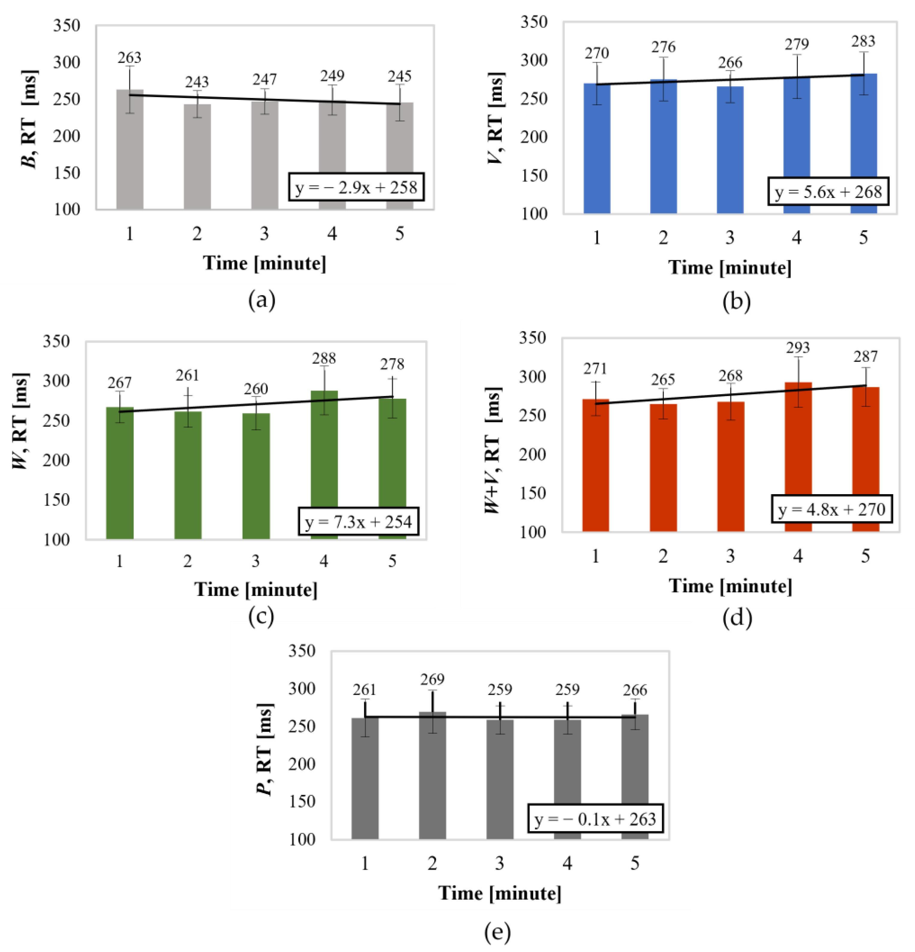
3.1.2. Effect of Time
3.2. Step Width Results
4. Discussion
4.1. Findings
4.2. Cognitive Effects
4.3. Step Width
4.4. Limitations
5. Conclusions
Author Contributions
Funding
Data Availability Statement
Acknowledgments
Conflicts of Interest
References
- Bovenzi, M. Exposure-Response Relationship in the Hand-Arm Vibration Syndrome: An Overview of Current Epidemiology Research. Int. Arch. Occup. Environ. Health 1998, 71, 509–519. [Google Scholar] [CrossRef] [PubMed]
- Anderson, V.; Bernard, B.; Burt, S.E.; Cole, L.L.; Estill, C.; Fine, L.; Grant, K.; Gjessing, C.; Jenkins, L.; Hurrell, J.J.; et al. Musculoskeletal Disorders and Workplace Factors: A Critical Review of Epidemiologic Evidence for Work-Related Musculoskeletal Disorders of the Neck, Upper Extremity, and Low Back; DHHS Publication (NIOSH): Atlanta, GA, USA, 1997; pp. 97–141. Available online: https://stacks.cdc.gov/view/cdc/21745 (accessed on 7 February 2024).
- Magnusson, M.L.; Pope, M.H.; Wilder, D.G.; Areskoug, B. Are Occupational Drivers at an Increased Risk for Developing Musculoskeletal Disorders? Spine 1996, 21, 710–717. [Google Scholar] [CrossRef] [PubMed]
- ISO 2631-1:1997; Mechanical Vibration and Shock Evaluation of Human Exposure to Whole-Body Vibration—Part 1: General Requirements. International Organization for Standardization: Geneva, Switzerland, 1997.
- Diels, C.; Ye, Y.; Tarabini, M.; Bos, J.; Maeda, S. Standards on Standing-the Influence of Posture on Comfort and Health Effects of Whole-Body Vibration. In Proceedings of the 4th International Comfort Congress, Amberg, Germany, 6–7 September 2023; pp. 113–117. [Google Scholar]
- Marrone, F.; Massotti, C.; Goggins, K.A.; Eger, T.R.; Marchetti, E.; Bovenzi, M.; Tarabini, M. Comparison between the Biomechanical Responses of the Hand and Foot When Exposed to Vertical Vibration. In Proceedings of the ICHAV 2023, Nancy, France, 6–9 June 2023; p. 34. [Google Scholar]
- Maeda, S.; Mansfield, N.J.; Shibata, N. Evaluation of Subjective Responses to Whole-Body Vibration Exposure: Effect of Frequency Content. Int. J. Ind. Ergon. 2008, 38, 509–515. [Google Scholar] [CrossRef]
- Chadefaux, D.; Moorhead, A.P.; Marzaroli, P.; Marelli, S.; Marchetti, E.; Tarabini, M. Vibration Transmissibility and Apparent Mass Changes from Vertical Whole-Body Vibration Exposure during Stationary and Propelled Walking. Appl. Ergon. 2021, 90, 103283. [Google Scholar] [CrossRef] [PubMed]
- Paddan, G.S.; Holmes, S.R.; Mansfield, N.J.; Hutchinson, H.; Arrowsmith, C.I.; King, S.K.; Jones, R.J.M.; Rimell, A.N. The Influence of Seat Backrest Angle on Human Performance during Whole-Body Vibration. Ergonomics 2012, 55, 114–128. [Google Scholar] [CrossRef] [PubMed]
- Azizan, A.; Fard, M.; Azari, M.F.; Benediktsdóttir, B.; Arnardóttir, E.S.; Jazar, R.; Maeda, S. The Influence of Vibration on Seated Human Drowsiness. Ind. Health 2016, 54, 296–307. [Google Scholar] [CrossRef] [PubMed]
- Newell, G.S.; Mansfield, N.J. Evaluation of Reaction Time Performance and Subjective Workload during Whole-Body Vibration Exposure While Seated in Upright and Twisted Postures with and without Armrests. Int. J. Ind. Ergon. 2008, 38, 499–508. [Google Scholar] [CrossRef]
- Ishimatsu, K.; Shibata, N.; Maeda, S. Does Cognitive Performance Deteriorate after Exposure to Whole-Body Vibration? In Proceedings of the 43rd United Kingdom Conference on Human Response to Vibration, Leicester, UK, 15–17 September 2008. [Google Scholar]
- Marelli, S.; Ferrario, C.; Lorenzini, G.; Ravi, Y.S.; Mazzoleni, A.; Marchetti, E.; Tarabini, M. Effects of the Whole-Body Vibration Direction on the Cognitive Response of Standing Subjects. Ergonomics 2022, 66, 1270–1279. [Google Scholar] [CrossRef]
- Moorhead, A.P.; Chadefaux, D.; Zago, M.; Marelli, S.; Marchetti, E.; Tarabini, M. Spatiotemporal Gait Parameter Changes Due to Exposure to Vertical Whole-Body Vibration. Gait Posture 2021, 89, 31–37. [Google Scholar] [CrossRef] [PubMed]
- Sari, M.; Griffin, M.J. Subjective Assessment of the Postural Stability of Walking Subjects Exposed to Lateral Vibration. In Proceedings of the 44th UK Conference on Human Responses to Vibration, Loughborough, UK, 7–9 September 2009; pp. 111–118. [Google Scholar]
- Sari, H.M.; Griffin, M.J. Postural Stability When Walking: Effect of the Frequency and Magnitude of Lateral Oscillatory Motion. Appl. Ergon. 2014, 45, 293–299. [Google Scholar] [CrossRef] [PubMed]
- Brady, R.A.; Peters, B.T.; Bloomberg, J.J. Strategies of Healthy Adults Walking on a Laterally Oscillating Treadmill. Gait Posture 2009, 29, 645–649. [Google Scholar] [CrossRef] [PubMed][Green Version]
- McAndrew, P.M.; Dingwell, J.B.; Wilken, J.M. Walking Variability during Continuous Pseudo-Random Oscillations of the Support Surface and Visual Field. J. Biomech. 2010, 43, 1470–1475. [Google Scholar] [CrossRef]
- Hak, L.; Houdijk, H.; Steenbrink, F.; Mert, A.; Van Der Wurff, P.; Beek, P.J.; Van Dieën, J.H. Speeding up or Slowing down?: Gait Adaptations to Preserve Gait Stability in Response to Balance Perturbations. Gait Posture 2012, 36, 260–264. [Google Scholar] [CrossRef] [PubMed]
- Hunter, S.W.; Divine, A.; Frengopoulos, C.; Montero Odasso, M. A Framework for Secondary Cognitive and Motor Tasks in Dual-Task Gait Testing in People with Mild Cognitive Impairment. BMC Geriatr. 2018, 18, 202. [Google Scholar] [CrossRef] [PubMed]
- Wild, L.B.; Lima, D.B.; Balardin, J.B.; Rizzi, L.; Giacobbo, B.L.; Oliveira, H.B.; Lima Argimon, I.I.; Peyré-Tartaruga, L.A.; Rieder, C.R.M.; Bromberg, E. Characterization of Cognitive and Motor Performance during Dual-Tasking in Healthy Older Adults and Patients with Parkinson’s Disease. J. Neurol. 2013, 260, 580–589. [Google Scholar] [CrossRef] [PubMed]
- Theill, N.; Martin, M.; Schumacher, V.; Bridenbaugh, S.A.; Kressig, R.W. Simultaneously Measuring Gait and Cognitive Performance in Cognitively Healthy and Cognitively Impaired Older Adults: The Basel Motor-Cognition Dual-Task Paradigm: Motor-cognition dual-task performance. J. Am. Geriatr. Soc. 2011, 59, 1012–1018. [Google Scholar] [CrossRef] [PubMed]
- Szturm, T.; Maharjan, P.; Marotta, J.J.; Shay, B.; Shrestha, S.; Sakhalkar, V. The Interacting Effect of Cognitive and Motor Task Demands on Performance of Gait, Balance and Cognition in Young Adults. Gait Posture 2013, 38, 596–602. [Google Scholar] [CrossRef]
- Grigera Naòn, M. The Effects of Mediolateral Vibrations While Walking on a Treadmill: A Setup for Cognitive Task and Gait Analysis, Politecnico di Milano. 2020. Available online: https://www.politesi.polimi.it/handle/10589/167252 (accessed on 7 February 2024).
- Directives Originating from the EU; General Provisions. Directive 2002/44/EC of the European Parliament and the Council of 25 June 2002 on the Minimum Health and Safety Requirements Regarding the Exposure of Workers to the Risks Arising from Physical Agents (Vibration) (Sixteenth Individual Directive within the Meaning of Article 16 (1) of Directive 89/391/EEC). Off. J. Eur. Communities 2002, L117, 6–7. [Google Scholar]
- Thomann, J.; Baumann, C.R.; Landolt, H.-P.; Werth, E. Psychomotor Vigilance Task Demonstrates Impaired Vigilance in Disorders with Excessive Daytime Sleepiness. J. Clin. Sleep Med. 2014, 10, 1019–1024. [Google Scholar] [CrossRef] [PubMed]
- Dinges, D.F.; Powell, J.W. Microcomputer Analyses of Performance on a Portable, Simple Visual RT Task during Sustained Operations. Behav. Res. Methods Instrum. Comput. 1985, 17, 652–655. [Google Scholar] [CrossRef]
- Loh, S.; Lamond, N.; Dorrian, J.; Roach, G.; Dawson, D. The Validity of Psychomotor Vigilance Tasks of Less than 10-Minute Duration. Behav. Res. Methods Instrum. Comput. 2004, 36, 339–346. [Google Scholar] [CrossRef]
- Basner, M.; Dinges, D.F. Maximizing Sensitivity of the Psychomotor Vigilance Test (PVT) to Sleep Loss. Sleep 2011, 34, 581–591. [Google Scholar] [CrossRef] [PubMed]
- Azizan, A.; Zali, Z.; Padil, H. Evaluation of Reaction Time Performance and Subjective Drowsiness during Whole-Body Vibration Exposure. IOP Conf. Ser. Mater. Sci. Eng. 2018, 370, 012020. [Google Scholar] [CrossRef]
- Leone, C.; Feys, P.; Moumdjian, L.; D’Amico, E.; Zappia, M.; Patti, F. Cognitive-Motor Dual-Task Interference: A Systematic Review of Neural Correlates. Neurosci. Biobehav. Rev. 2017, 75, 348–360. [Google Scholar] [CrossRef] [PubMed]
- Al-Yahya, E.; Dawes, H.; Smith, L.; Dennis, A.; Howells, K.; Cockburn, J. Cognitive Motor Interference While Walking: A Systematic Review and Meta-Analysis. Neurosci. Biobehav. Rev. 2011, 35, 715–728. [Google Scholar] [CrossRef] [PubMed]
- Penati, R.; Schieppati, M.; Nardone, A. Cognitive Performance during Gait Is Worsened by Overground but Enhanced by Treadmill Walking. Gait Posture 2020, 76, 182–187. [Google Scholar] [CrossRef] [PubMed]
- Wrightson, J.G.; Smeeton, N.J. Walking Modality, but Not Task Difficulty, Influences the Control of Dual-Task Walking. Gait Posture 2017, 58, 136–138. [Google Scholar] [CrossRef] [PubMed]
- Wrightson, J.G.; Ross, E.Z.; Smeeton, N.J. The Effect of Cognitive-Task Type and Walking Speed on Dual-Task Gait in Healthy Adults. Mot. Control 2016, 20, 109–121. [Google Scholar] [CrossRef] [PubMed]





| Effect of Trial | Mean RT | Fastest RT | Slowest RT | Lapses |
|---|---|---|---|---|
| F | 5.68 (4, 99) | 6.97 (4, 99) | 0.70 (4, 99) | 0.89 (4, 99) |
| p | <0.001 * | <0.001 * | 0.6 | 0.5 |
| η2 | 0.05 | 0.10 | 0.30 | 0.01 |
| Effect of Time | B | V | W | W+V | P |
|---|---|---|---|---|---|
| F | 2.13 (4,993) | 1.66 (4, 991) | 5.40 (4, 994) | 5.19 (4, 993) | 0.95 (4, 995) |
| P | 0.075 | 0.158 | 0.003 * | 0.001 * | 0.435 |
| η2 | 0.001 | 0.01 | 0.02 | 0.02 | 0.001 |
| U | P | U-PVT | P-PVT | |
|---|---|---|---|---|
| SW [cm] | 16.9 | 17.3 | 17.4 | 17.9 |
| SD [cm] | 2.7 | 2.7 | 3.2 | 3.3 |
| sw [%] | 100 | 104.2 | 103.1 | 108.2 |
| SD [%] | 13.6 | 26.9 | 16.4 | 29.3 |
| Gait Condition 1 | Gait Condition 2 | SW (1) − SW (2) [mm] (95% Confidence Interval) | sw (1) − sw (2) [%] (95% Confidence Interval) |
|---|---|---|---|
| P | U | 4.0 (−1.1, 9.0) | 4.2 (1.2, 7.1) * |
| U-PVT | U | 5.1 (0.0, 10.1) * | 3.1 (0.1, 6.0) * |
| P-PVT | U | 10.6 (5.6, 15.6) * | 8.2 (5.2, 11.1) * |
| U-PVT | P | 1.1 (−3.9, 6.1) | 1.1 (−1.8, 4.0) |
| P-PVT | P | 6.6 (1.6, 11.7) * | 4.0 (1.1, 6.9) * |
| P-PVT | U-PVT | 5.5 (0.5, 10.6) * | 5.1 (2.2, 8.0) * |
Disclaimer/Publisher’s Note: The statements, opinions and data contained in all publications are solely those of the individual author(s) and contributor(s) and not of MDPI and/or the editor(s). MDPI and/or the editor(s) disclaim responsibility for any injury to people or property resulting from any ideas, methods, instructions or products referred to in the content. |
© 2024 by the authors. Licensee MDPI, Basel, Switzerland. This article is an open access article distributed under the terms and conditions of the Creative Commons Attribution (CC BY) license (https://creativecommons.org/licenses/by/4.0/).
Share and Cite
Marrone, F.; Marelli, S.; Bertozzi, F.; Goggi, A.; Marchetti, E.; Galli, M.; Tarabini, M. Alterations in Step Width and Reaction Times in Walking Subjects Exposed to Mediolateral Foot-Transmitted Vibration. Vibration 2024, 7, 374-387. https://doi.org/10.3390/vibration7020019
Marrone F, Marelli S, Bertozzi F, Goggi A, Marchetti E, Galli M, Tarabini M. Alterations in Step Width and Reaction Times in Walking Subjects Exposed to Mediolateral Foot-Transmitted Vibration. Vibration. 2024; 7(2):374-387. https://doi.org/10.3390/vibration7020019
Chicago/Turabian StyleMarrone, Flavia, Stefano Marelli, Filippo Bertozzi, Alessandra Goggi, Enrico Marchetti, Manuela Galli, and Marco Tarabini. 2024. "Alterations in Step Width and Reaction Times in Walking Subjects Exposed to Mediolateral Foot-Transmitted Vibration" Vibration 7, no. 2: 374-387. https://doi.org/10.3390/vibration7020019
APA StyleMarrone, F., Marelli, S., Bertozzi, F., Goggi, A., Marchetti, E., Galli, M., & Tarabini, M. (2024). Alterations in Step Width and Reaction Times in Walking Subjects Exposed to Mediolateral Foot-Transmitted Vibration. Vibration, 7(2), 374-387. https://doi.org/10.3390/vibration7020019

