Next Article in Journal
Potential Use of Indoor Living Walls in Canadian Dwellings
Previous Article in Journal
Fractional SIR-Model for Estimating Transmission Dynamics of COVID-19 in India
 
 
Font Type:
Arial Georgia Verdana
Font Size:
Aa Aa Aa
Line Spacing:
Column Width:
Background:
Article

Synthesis and Characterization of a Novel Lignin-Based Biopolymer from Ulex europaeus: A Preliminary Study

by
Andrés F. Bonilla
1 and
Diego A. Bonilla
2,3,4,5,*
1
Chemistry Department, Universidad Distrital Francisco José de Caldas, Bogotá 110311, Colombia
2
Research Division, Dynamical Business & Science Society–DBSS International SAS, Bogotá 110861, Colombia
3
Research Group in Biochemistry and Molecular Biology, Universidad Distrital Francisco José de Caldas, Bogotá 110311, Colombia
4
Research Group in Physical Activity, Sports and Health Sciences (GICAFS), Universidad de Córdoba, Montería 230002, Colombia
5
kDNA Genomics®, Joxe Mari Korta Research Center, University of the Basque Country UPV/EHU, 20018 Donostia-San Sebastián, Spain
*
Author to whom correspondence should be addressed.
J 2021, 4(2), 101-115; https://doi.org/10.3390/j4020009
Submission received: 26 March 2021 / Revised: 25 April 2021 / Accepted: 5 May 2021 / Published: 6 May 2021
(This article belongs to the Section Chemistry & Material Sciences)

Abstract

Invasive plant species are a global environmental threat since they affect native species and can modify ecosystems, which negatively impacts human health and world economics. The aim of this preliminary study was to synthesize and characterize a new lignin-based biopolymer from gorse (Ulex europaeus), a globally widespread invasive plant. The lignin extraction was carried out through base/acid and solvent-based methodologies to compare the reaction yield. Subsequent polymerization of the extracted lignin was performed by glycine condensation in a 70% 1,4-dioxane solution with H2O2 and CaCl2 as catalysts. The extraction and polymerization products were characterized by Fourier-transform infrared spectroscopy. Thermal and stability properties of the new biopolymer were determined by thermogravimetric analysis, differential scanning calorimetry, and a soil burial test. The alkaline extraction process of lignin resulted in a higher yield than the process using an organic solvent. In comparison to the extracted lignin, the novel biopolymer showed different absorption bands that are characteristic of tensions and flexions of alkenes, amine, and amide groups. Additionally, thermal properties revealed peaks corresponding to decomposition and dehydration reactions, endothermic processes and a glass transition temperature of ≈259 °C. Potential biodegradation was observed. A new polymeric, possibly cross-linked, thermally stable material with a potentially high degree of crystallinity was synthesized from a renewable raw material, which might contribute to the gorse management according to the concept of novel ecosystem, as well as the reduction in contamination by other polymeric materials.

Graphical Abstract

1. Introduction

One of the main causes of current biodiversity loss is the presence of invasive species that can compete with, prey on, and displace native species, as well as cause significant alterations to natural ecosystems [1]. Currently, the Ulex europaeus, also known as gorse, is one of the world’s most damaging invasive species, listed in the red list of the Global Invasive Species Database of the International Union for Conservation of Nature (UICN) [2]. Ulex europaeus is found practically all over the world and in all types of soil, due to its easy adaptation to changes in the environment, rapid growth, high reproductive output, propagule persistence, and low vulnerability to pests [3]. In Colombia, the Biological Resources Research Institute “Alexander Von Humboldt” has declared the Ulex europaeus to be an invasive species with one of the greatest impacts in the country [4], due to the negative effect that has been reported on the composition and structure of the vegetation, highlighting the invasion in the Andean region in the departments of Antioquia and Cundinamarca. In Bogotá, the plant is found in 10 out of 14 wetlands declared by the district and in different parts of the city, such as the eastern hills and rural areas [5].
Actions for the eradication of this shrub are based mainly on burning, revegetation with native species and manual and/or mechanical techniques with subsequent control of sprouts and seed banks [6]. However, the different processes that have been employed have not been effective due to the competitive characteristics of the plant and the impact on the ecosystems. In fact, the mechanical removal or destruction of Ulex europaeus can induce chronic soil erosion, compaction, and structural decline, which decreases prospects for sustainable land rehabilitation [3]. Thus, a large part of the research seeks to control this invasive plant. Significant results have been found in controlling it in the seedling phase, through the formation of canopies of fast growing native species or with artificial shade [7,8]. Other research on the eradication of Ulex europaeus focuses on strategies of ecological restoration with Pinus plantations (e.g., Lupinus bogotensis, Pinus patula, Pinus radiata), facilitating land clearings or taking advantage of clearings formed by the fall of trees [3,9,10,11]. Although the solution to this problem seems easy at first sight, many environmental and social constraints must be overcome in order to restore the natural dynamics. For example, in Bogotá, it has been indicated that recovering the forest that once existed in the lowlands of the Sumapaz Páramo (considered to be the largest páramo ecosystem in the world) is an arduous task, given that, at present, there are minimal remnants of the forest, which are not progressing because of the invasion of Ulex europaeus and because the land is poor in its essential compounds [12]. Other botanical studies in mountain ecosystems have revealed a great influence of this invasive species on birds in the natural environment, due to the great number of thorns that cover the gorse [13]. In addition, the double-edged effects of climate change may be linked to scenario- and species-specific interactions, which suggest that research in this regard should be specific for both aspects [14]. Additionally, models have been developed to assess the potential for invasion in regions such as South Africa, which has established a protocol for future modelling exercises to assess the invasion potential of other emerging invaders [15]. For example, using logistic regression for modelling the increase, decrease and permanence of Ulex europaeus invasion, Altamirano et al. [16] found a strong relationship between changes in land cover and the invasion process, especially connected with forest plantations of exotic species. Thus, proper management for this invasive species must take into account the spatial dynamics of the landscape within the invaded area in order to address containment, control or mitigation of the invasion.
As a control strategy, Ulex europaeus has been extensively studied, both chemically and biologically. Phytochemical studies have shown the presence of secondary metabolites such as quinolizidine alkaloids, amino acids, glycosides, flavonoids, carotenes, hexacosanol and phytosterols in the plant stem [17]. In this sense, the physicochemical characterization and extraction of essential oils from Colombian Ulex europaeus has shown that it represents a very good raw material for several industrial processes due to their lignocellulosic composition (e.g., carbon fibers from lignin, cellulose whiskers, bioethanol from cellulose, and hemicellulose can be obtained), and it appears to be a suitable source for activated carbon obtention [18]. Therefore, as a natural source of raw materials, the Ulex europaeus might be used in processes that allow its eradication while being useful to society. For instance, Núñez-Moreno et al. [19] reported that gorse can possibly become an energetic crop guided towards the generation of both domestic and even industrial heat, which would not only contain and avoid the random spread of Ulex europaeus but also create an opportunity to turn an environmental problematic into a 100% eco-friendly energy source. Moreover, some efforts have been made to produce polymeric materials from the biomass of this invasive plant and the current literature only concerns feasibility or theoretical studies in this regard [20,21]. In particular, the elaboration of new materials, mainly polymers, is a field that is highly active nowadays due to the need to appease the environmental impacts generated by human activities. Lignin, as one of the main components of plants, has been studied in different industrial processes with or without structural modifications to obtain new materials [22]. Lignin is distributed in the stem of all plants and, therefore, can be extracted from any of these. In Ulex europaeus, the lignin content is between 20.5%−24.5% of the wood dry weight, which is normal for deciduous plants, while 47.5% is cellulose and 22.2% is hemicellulose [18,20,23]. Several extraction methodologies have been documented, although extractions based on aqueous solutions and organic solvents stand out, due to their easiness and use of common reagents [24]. Based on our literature review, no study has carried out the production of lignin-based polymers from Ulex europaeus. This is of great interest due to the need to develop methodologies that allow the synthesis of biodegradable/compostable and/or recyclable materials that take advantage of its large accumulation in the environment. Therefore, the aim of this preliminary study was to synthesize and characterize the first lignin-based biopolymer from gorse (Ulex europaeus). As a secondary outcome, we performed an exploratory degradation examination of the obtained polymer. We believe that the use of organic matter from this globally widespread invasive plant has great potential to create renewable new materials that can be biodegradable/compostable or recyclable.

2. Materials and Methods

2.1. Sample Preparation

A random sampling was performed from different parts of the shrub stem of Ulex europaeus in an area located in “La Macarena” neighborhood near the Faculty of Science and Education of the Universidad Distrital Francisco José de Caldas-Sede A in Bogotá D.C., Colombia (4°36′49.26″ N–74°3′49.59″ W). Subsequently, the samples were combined, and we took approximately 100 g from this final mixture. This sample was left to dry at room temperature, cleaned (free of dust, stones and soil), ground and sieved to obtain dust particles.

2.2. Lignin Extraction

The lignin extraction was carried out through base/acid and solvent-based methodologies based on previous research [25]: (i) Alkali treatment: The sample was mixed with 7.5% w/w NaOH solution in a 1:0.6 ratio, refluxed for 90 min and then filtered. To the resulting supernatant, a 2M H2SO4 solution was added until a pH equal to 2 was obtained, then it was stirred and centrifuged at 4000 rpm (2688 RCF) for 20 min. Finally, the resulting solid was dried in an oven at 50 °C; (ii) Organic solvent treatment: The sample was mixed with 60% w/w ethanol in a 1:0.6 ratio, refluxed for 90 min with magnetic stirring and then filtered. Two volumes of acidified H2O at pH 2 were added to the resulting supernatant, stirred and centrifuged at 4000 rpm (2688 RCF) for 20 min. Finally, the resulting solid was dried in an oven at 50 °C.

2.3. Synthesis of the Biopolymer

Subsequent polymerization of the extracted lignin was performed by glycine condensation in a 70% 1,4-dioxane solution with H2O2 and CaCl2 as catalysts. The extracted lignin (0.5 g) was dissolved in 20 mL of 70% dioxane in a glass reaction flask. In parallel, 1.5 g of glycine, 5 mL of 30% H2O2 and 0.2 g of CaCl2 were mixed in 20 mL of 70% dioxane. Both mixtures were added in a beaker, stirred vigorously and left to stand until the complete volatilization of the solvent.

2.4. Spectroscopic Characterization

Fourier-transform infrared (FT-IR) spectroscopy was used to characterize the lignin extracts and the obtained co-polymer. The analysis was performed within a FT-IR spectrophotometer Shimadzu IR Affinity (Shimadzu Corporation, Kyoto, Japan) by the potassium bromide pellet method, which consisted of 100 mg KBr and 0.1 mg of fine powder of the sample. Scans were recorded from 600 to 4000 cm−1 at a resolution of 16 cm−1. The procedures took place in the facilities of the Instrumental Analytical Chemistry Laboratory at the Universidad Distrital Francisco José de Caldas-La Macarena (Bogotá, Colombia).

2.5. Thermal Properties

The thermal stability of the co-polymer was determined by thermogravimetric analysis (TGA) and the glass transition temperature was measured by differential scanning calorimetry (DSC). A second-generation simultaneous TGA/DSC Q600 SDT thermal analyzer (TA Instruments, New Castle, DE, USA) was used to obtain the TGA signal (which measures the dehydration and the onset of a higher temperature decomposition) and the DSC signal (which reveals transitions associated with the dehydration, a polymorphic phase transition, and the high temperature melt). DSC heat flow data were dynamically normalized using the instantaneous sample mass at the start of each transition. The obtained data were processed within the open-software Universal Analysis® developed by TA Instruments (New Castle, DE, USA). The thermal analysis was performed under nitrogen inert atmosphere at the facilities of the Organic Chemistry Laboratory at Universidad Nacional de Colombia (Bogotá, Colombia).

2.6. Biodegradation

Although lignin is compostable, we did not assess composting stages due to time and technical limitations. Preliminary biodegradation behavior of the obtained polymer was studied using the soil burial method, similar to previous studies [26]. Two samples of the produced biopolymer were dried, massed accurately (2 g) and, buried within a biodegradable bag into the soil of the eastern hills (Cerros Orientales) in Bogotá, Colombia. The samples were massed every two hours in order to determine the percentage of mass loss.

3. Results

3.1. Lignin Extraction

Table 1 shows some relevant data obtained in the extraction of lignin by alkaline and organic solvent treatments. Lignin extracted by alkali treatment was darker brown than that extracted by organic solvent treatment; in addition, the former had more a penetrating odor and smaller particle size.
Figure 1 shows the spectra of the lignin extractions with the following characteristics: a band at 3400 cm−1 corresponding to –OH group stretching; at 2900 cm−1 the C-H stretching bands are evident; between 2000 and 1750 cm−1 the aromatic combination bands; the peak at 1700 cm−1 can be due to the stretching vibration band of C=O; at 1450 cm−1 the CH2-C=O the stretching band; at 1300 cm−1 the C–O the stretching band; between 1100 and 1150 cm−1 the bands for C-O stretch; and between 600 and 650 cm−1 the bands corresponding to the aromatic substitutions pattern.

3.2. Polymerization and Characterization

Table 2 shows the ratio of reagent quantities of the two solutions prepared for lignin and glycine polymerization and the amount of co-polymer obtained.
When the solutions came into contact with each other, a light-yellow highly viscous mixture was formed, and later, a precipitate was produced. After all the solvent evaporated, light yellow crystals were obtained, which were washed with distilled water until they became lighter. Figure 2 shows the IR spectrum of this obtained co-polymer.
Figure 3 shows the co-polymer TGA thermogram, highlighting a loss of mass from approximately 205 °C. The same figure shows the thermograph of the DSC with an endothermic peak around 259 °C. The exploratory biodegradability study showed a total “degradation” of the new co-polymer in 10 h (Figure 4).

4. Discussion

Invasive plant species are a global environmental threat since they affect native species and can modify ecosystems, which negatively impacts human health and world economics. This study aimed to synthesize and characterize a novel lignin-based biopolymer using Ulex europaeus as a raw material. We performed the lignin extraction based on alkali and organic solvent treatment. Considering wood consists mainly of lignin, cellulose and hemicellulose, for the extraction of lignin it is necessary to ensure the complete separation of the other substances present. Lignin has a chemical structure with many polar groups such as hydroxyl (aromatic and aliphatic), methoxyl, carbonyl and alkene, so its separation is based on its solubility. At high pH, lignin is easily solubilized; however, at low pH (close to 2), it precipitates completely. For this reason, the second rationale for the extraction is based on its insoluble property at low pH. Given that NaOH is a strong base that releases hydroxyl groups into the medium and, therefore, increases the pH (while ethanol acts as a weak base), the higher yield after alkali treatment than using the organic solvent (15.75% vs. 11.20% of extraction yield) might be explained by the different chemical properties of the substances. Based on the classification of technical lignin proposed by Ekielski and Mishra [27], the lignin extracted in our study corresponds to soda lignin. As seen in Figure 1, the spectra of the extracted lignin by both methods were very similar and, actually, they highly matched with previous characterization of several types of lignin using FT-IR [28,29]. Based on this, it is possible to ensure that the dominant functional groups in our extracted lignin correspond to the aromatic, aliphatic, hydroxyl, carbonyl and ether, which are common within the phenylpropanoid compounds that characterize this organic polymer [30].
Regarding the polymerization reactions, the use of free radicals and radiation as initiators of lignin-based polymerizations [31,32,33,34,35] has been reported. In fact, common methodologies include the production of lignin co-polymers and acrylic compounds, which use an aqueous solution of 70% dioxane as a solvent and peroxides as catalyzers. These two are part of the polycondensation reaction to obtain polyamides and polyesters, functional groups formed during the co-polymer synthesis in this study, which have also been described in other investigations using this solution polymerization method [22,36,37]. In fact, in 2001, researchers at Universidad Distrital Francisco José de Caldas synthesized biodegradable polymers from a mixture of amylose (extracted from corn starch) and polyvinyl alcohol, using the solution method and alkaline treatment [38]. Nonetheless, there are other examples of solution polymerizations to obtain this type of polymer, using solvents such as dimethyl sulfoxide and initiators such as triethylamine [39]. As we demonstrated in this study, the solution polymerization method might be a practical and relatively easy way to produce lignin-based polymers from Ulex europaeus, but, considering other available options that have been studied [22,36,37,38,39,40], further research is needed to explore/compare results between methods.
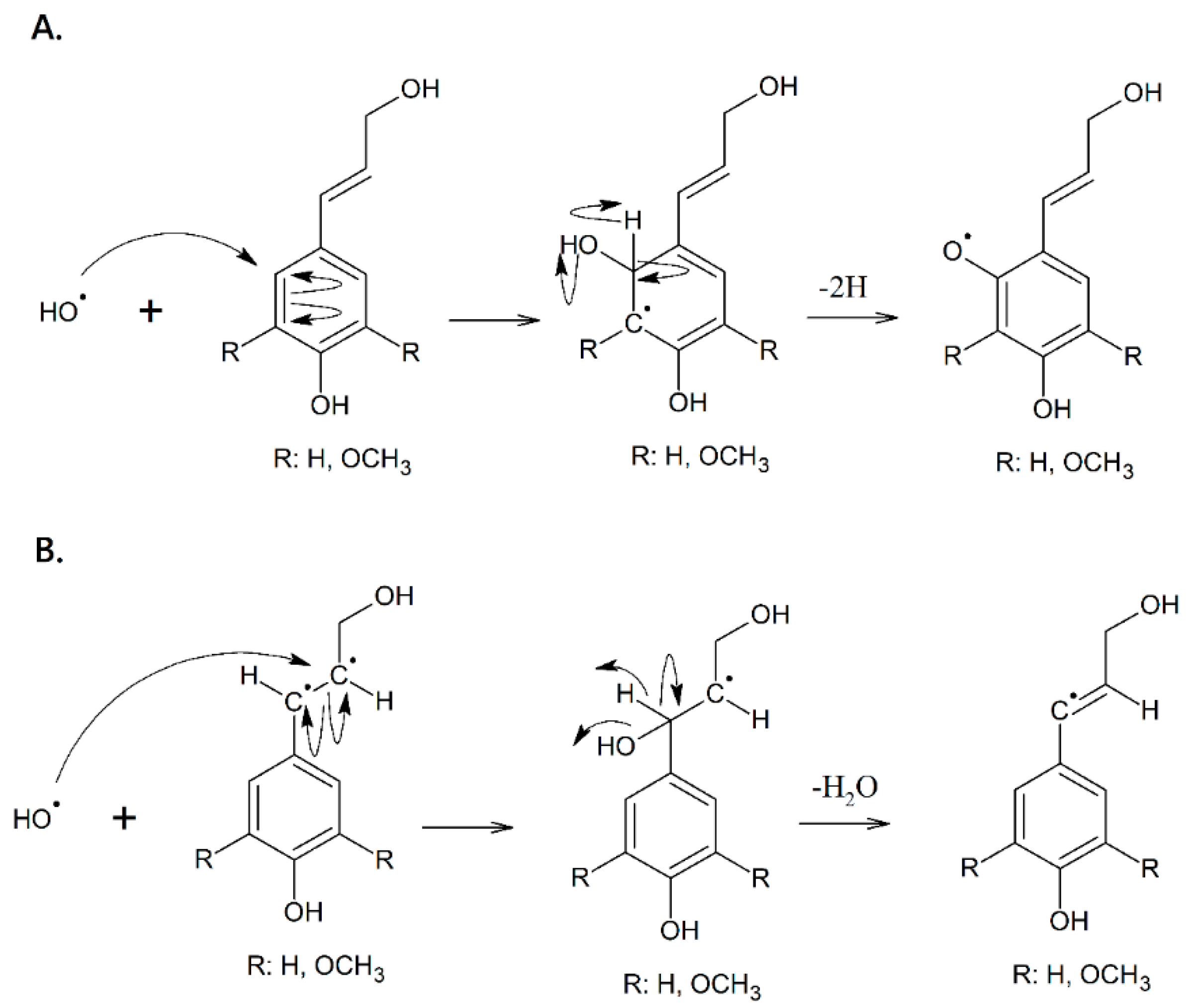
Our lignin and glycine polymerization reaction is mainly based on additions resulting from nucleophilic, electrophilic and free radical interactions. The first step of the reaction consists of the formation of radicals ∙OH that later produce highly reactive lignin radicals. The radicals ∙OH are obtained from the homolytic breakdown of H2O2, which generates highly unstable and therefore reactive species, which attack the electronic cloud of the aromatic rings and alkene groups of the phenylpropanoids (Figure 5).
Due to the large number of functional groups of the obtained co-polymer, a high degree of overlap between bands can be found, in which some of the aromatics, alkenes and amines stand out. Table A1 in Appendix A shows the correspondence of bands in the IR spectrum of the synthesized co-polymer, where it is possible to distinguish the formation of new functional groups, such as the amide group (the C–O the stretching band at 1614.42 cm−1). At high wavenumbers, we found the overlapping of a great number of bands, because in that zone (>3000 cm−1) the stretching bands of alcohol, amide and amine groups are presented. Around 2900 cm−1, the bands corresponding to methylene, ether and alkene groups are evident, which can be confirmed at lower wavenumbers. In addition, it is straightforward to identify the existence of combination bands of the benzene group between 2000 and 1600 cm−1. At low wavenumbers (<1650 cm−1) the carbonyl group (C=O) of amides and other confirmation bands of amines, ethers, alcohols, aromatics and alkenes are observed. Finally, it is possible that the band located at 1612.49 cm−1 corresponds to imide groups (C=N stretch) formed by the reaction between ketones or aldehydes with primary amines.
Possible mechanisms are described, but we need to highlight that these do not represent actual reactions between given compounds. The lignin radicals can stabilize with each other forming alkenyl aryl ethers, establishing the interactions in an intermolecular fashion (Figure 6A). Additionally, condensation reactions between lignin and glycine can occur, where reactive amino acid groups (carboxylic acid and amine) react with polar lignin groups (aldehydes, carboxylic acids, ketones, alcohols, etc.) and produce amides and imines through nucleophilic addition mechanisms (Figure 6B,C). The reaction that leads to polymerization through the formation of amide groups follows a mechanism of addition followed by elimination, which is characteristic of the carbonyl group. In this case, the carbon with a high density of positive charge of the carboxyl group of the lignin is attacked by the nitrogen atom present in the amine group of the glycine, that has a high density of negative charge due to its free electronic pair, which gives rise to an intermediate of very low stability. In addition, as a weak Lewis base, the hydroxyl group fixes protons to generate oxonium ions through an acid-base balance. These oxonium ions are a good salient group (better than the hydroxyl group) and therefore are eliminated in the form of water to finally produce the amide (Figure 6B). Another of the possible reactions that occur during polymerization consists of the formation of imines from the reaction between an aldehyde or ketone groups of the lignin with the amine group of the glycine, in which the mechanism is based on an addition to the carbonyl group, followed by elimination. However, in this case, the carbon with positive charge density of the carbonyl group is attacked by the nitrogen atom of the amine, thus producing a carboxylamine as an intermediate, which by an acid-base balance generates oxonium ions which are subsequently eliminated in the form of water, and produce the imine (Figure 6C).
The loss of mass of the polymer from approximately 205 °C is possibly due to solvent desorption or pyrolytic breaks due to polymer heating, mainly in the lignin regions. The ruptures mentioned above may correspond to the formation of small monomers of the phenylpropanoids that make up the lignin and its derivatives [41]. The decomposition of the derivatives through endothermic processes could explain the subsequent decrease in mass percentage, which involves an energy absorption that can be observed in the DSC spectrum (Figure 3A). However, it is possible that this loss of mass corresponds to processes of depolymerization of glycine units. The temperature values corresponding to the processes mentioned above are a little lower than those reported by Caballero [42], which may be due to the lignin-glycine interactions that decrease the inter and intramolecular forces due to the steric hindrance generated after the polymerization reaction. At 200 °C, the thermal degradation in lignin and its derivatives are mainly due to the dehydration reactions: between 150 °C and 300 °C occurs the cleavage of alkyl-aryl-ether bonds; around 300 °C the aliphatic side chains start splitting off from the aromatic ring [43]; and, finally, the carbon-carbon bond between the phenylpropanoid units break between 370 °C and 400 °C [44]. Our analysis showed that at approximately 275 °C, there was a peak indicating a mass gain, which was interpreted as an interference during the analysis that did not affect the results since the procedure was performed in an inert atmosphere and there was no way for the polymer to increase its mass. After the DSC analysis, an endothermic peak around 259 °C was observed. This may correspond to the thermal behavior of similar segments, highlighting that the monomer with the highest melting point is glycine, so this grouping of endothermic peaks may respond to glass transition temperature processes of polymer segments composed by glycine chains, which would indicate that these structures have higher intermolecular forces compared to the monomer from which they are derived. This information is important to identify the new biopolymer because when comparing the glass transition temperature of lignin (158−185°C) [45] and theoretical melting point of glycine (233 °C), it is possible to affirm that the product obtained corresponds to a substance different from the reagents used. Taking this into account, it is possible that the new biopolymer contains a lignin nucleus with dendrites (ramifications), which are a product of the reaction with glycine. Thus, a cross-linked polymer (in network), thermally stable and with zones susceptible to crystallization is proposed (Figure 7). This can be inferred considering the degree of molecular organization that has been described in other lignin-based polymers [46]. Notwithstanding, further studies using nuclear magnetic resonance, OH-group determination, and gel permeation chromatography are required to obtain the molecular characterization of the new product and its derivatives. In this sense, more information such as molecular weight, C/O ratio and S/G ratio could provide a better understanding of the obtained material and its applicability for polymer production.
Finally, the produced co-polymer had high solubility in water, perhaps because of the large number of hydrophilic groups along the chains (mainly amines, amides and carboxyl groups), suggesting a potentially biodegradable material. In fact, lignin is converted into carbon dioxide, humus and heat by compost microorganisms [47], which make composting the most favorable condition for the degradation of lignin-based biopolymers. Our degradation analysis using the soil burial method showed that a highly likely solubilization process of the material took place. It is noteworthy that dissolution rate and solubility are important properties that limit the rate of biodegradation [48]. It has been extensively described that high water availability allows the entrance of the microorganisms inside of the material, promoting the biodegradation activity [49]. Unfortunately, as this was a preliminary study and biodegradation was a secondary outcome, we did not record additional data regarding the soil characteristics such as composition, moisture and ambient relative humidity. Therefore, it is recommended to perform studies based on the releasing of carbon dioxide in order to evaluate the degradation by microorganisms through the process of bio-deterioration, bio-fragmentation, and assimilation [50]. We are aware that this study is merely exploratory in nature and further research is needed to describe the potential applications of the obtained biopolymer; however, in addition to the environmental context, this type of material might be in high demand due to its potential commercial use, given its properties as a cross-linked, thermosetting and biodegradable/compostable material under controlled conditions. Although further research is warranted, this study might contribute to addressing two problems that affect national and global biology, including: (i) controlling the invasion of Ulex europaeus, and (ii) the synthesis of new materials and biodegradable/compostable polymers.

5. Conclusions

Invasive plant species are a global environmental threat since they affect native species and can modify ecosystems, which negatively impacts human health and world economics. We demonstrated that Ulex europaeus might be used to obtain a lignin-based biopolymer. The lignin extraction process by alkaline treatment was more effective than the organic solvent treatment, which increased the overall percentage yield. We were able to obtain a new polymeric, possibly cross-linked and crystalline, thermally stable material with a glass transition temperature of ≈259 °C. The properties of the new biopolymer make it a potential raw material for industry; however, more research is required considering that it would be possible to use another catalyst in the process to improve kinetics and have better yields. This preliminary research has a significant contribution to the development of polymeric materials through economic and reproducible methodologies that use renewable raw materials, that are easily affordable and that contribute to reducing the deterioration of ecosystems by the presence of invasive plants such as Ulex europaeus. Although this new biopolymer might be potentially biodegradable/compostable, the results of this study should be interpreted with caution and as merely exploratory in nature.

Author Contributions

Conceptualization, A.F.B.; methodology, A.F.B.; writing—original draft preparation, A.F.B. and D.A.B.; writing—review and editing, D.A.B. All authors have read and agreed to the published version of the manuscript.

Funding

This research was funded by Universidad Distrital Francisco José de Caldas. The article processing charges were funded by the Research Division of the Dynamical Business & Science Society–DBSS International SAS.

Institutional Review Board Statement

Not applicable.

Informed Consent Statement

Not applicable.

Data Availability Statement

Not applicable.

Acknowledgments

Authors would like to thank the lecturers and technicians at the Chemistry Laboratory at Universidad Distrital Francisco José de Caldas and Universidad Nacional for their support and for providing recommendations on this study.

Conflicts of Interest

The authors declare no conflict of interest.

Appendix A

Table A1. Correspondence of bands of the co-polymer IR spectrum.
Table A1. Correspondence of bands of the co-polymer IR spectrum.
Wavenumber (cm−1)Correspondence
3529.73O-H stretch for alcohols
3408.22N-H stretch for amides
3026.31=CH2 asymmetrical stretch for alkenes
3007.02=CH2 symmetrical stretch for alkenes
2827.64–OCH3 stretch for ethers
2000–1660Combination bands of benzene
1870.95Out-of-plane =CH2 vibrations for alkenes
1614.42C=O stretch for amides
1612.49C=N stretch for imines
1525.69N-H bend for amides
1444.68CH2-C=C stretch for alkenes
1413.82O-H bend for alcohols
1332.81C-N stretch for amines
1116.78C-O stretch for ethers
1114.86C-O stretch for alcohols
1033.84=C-O-C stretch for ethers
910.40In-plane =CH2 bend for alkenes
893.04Out-of-plane =CH2 stretch for alkenes
698.23Out-of-plane N-H bend for amines
673.16Out-of-plane Ar-H bend for benzene derivates

References

  1. Schöb, C.; Atlan, A.; Limbada, F.; Christina, M. Climatic niche shift of an invasive shrub (Ulex europaeus): A global scale comparison in native and introduced regions. J. Plant Ecol. 2020, 13, 42–50. [Google Scholar] [CrossRef]
  2. Contu, S.R.; Rivers, M.C. Ulex europaeus. The IUCN Red List of Threatened Species 2017: e.T19891755A86138815. Available online: https://dx.doi.org/10.2305/IUCN.UK.2017-3.RLTS.T19891755A86138815.en (accessed on 8 October 2020).
  3. Broadfield, N.; McHenry, M.T. A World of Gorse: Persistence of Ulex europaeus in Managed Landscapes. Plants 2019, 8, 523. [Google Scholar] [CrossRef] [PubMed]
  4. Gutiérrez-Bonilla, F.D.P. Estado de Conocimiento de Especies Invasoras. Propuesta de Lineamientos Para el Control de Los Impactos; Instituto de Investigacion de Recursos Biológicos Alexander Von Humboldt: Bogotá, Colombia, 2006. [Google Scholar]
  5. Díaz-Espinosa, A.; Díaz-Triana, J.; Vargas, O. Catálogo de Plantas Invasoras de los Humedales de Bogotá; Universidad Nacional de Colombia: Bogotá, Colombia, 2012. [Google Scholar]
  6. Aguilar, M. Restauración Ecológica de Áreas afectadas por Ulex Europaeus l. Serranía El Zuque, Reserva Forestal Bosque Oriental de Bogotá, localidad 4 San Cristóbal, Bogotá DC, Colombia. Master’s Thesis, Universidad de Alcalá, Alcalá de Henares, Spain, 2010. [Google Scholar]
  7. Udo, N.; Tarayre, M.; Atlan, A. Evolution of germination strategy in the invasive species Ulex europaeus. J. Plant Ecol. 2016. [Google Scholar] [CrossRef]
  8. Zabaleta, A.; Vargas, O. Expresión in situ del banco de semillas germinable de Ulex europaeus y su relación con la estructura de los matorrales. In Estrategias Para la Restauración Ecológica del Bosque alto Andino. El Caso de la Reserva Forestal Municipal de Cogua, Cundinamarca; Vargas, O., Ambiente, S.D.d., Eds.; Universidad Nacional de Colombia: Bogotá, Colombia, 2009; Volume 372. [Google Scholar]
  9. Gómez-Ruiz, P.A.; Lindig-Cisneros, R.; Vargas-Ríos, O. Facilitation among plants: A strategy for the ecological restoration of the high-andean forest (Bogotá, D.C.—Colombia). Ecol. Eng. 2013, 57, 267–275. [Google Scholar] [CrossRef]
  10. Bateman, J.B.; Vitousek, P.M. Soil fertility response to Ulex europaeus invasion and restoration efforts. Biol. Invasions 2018, 20, 2777–2791. [Google Scholar] [CrossRef]
  11. Edwards, G.R.; Tozer, K.N.; Maxwell, T.M.R.; Marshall, A.J. Control of gorse (Ulex europaeus) in dryland pasture converted from Pinus radiata forest. New Zealand Plant Prot. 2007, 60, 141–145. [Google Scholar] [CrossRef]
  12. Sánchez Fernández, M.P.; Millán Orduz, D.L.; Manrique Osorio, P.; Rico Torres, D.Z.; Salazar Torres, M.L. Erradicación de retamo espinoso e inicio de restauración ecológica en los cerros orientales de Bogotá (prueba piloto). In Proceedings of the Encuentro Internacional de Educación en Ingeniería, Cartagena, Colombia, 18–21 September 2018. [Google Scholar]
  13. Amaya-Villarreal, Á.M.; Renjifo, L.M.J.O.C. Efecto del retamo espinoso (Ulex europaeus) sobre las aves de borde en un bosque altoandino. Ornitol. Colomb. 2010, 10, 11–25. [Google Scholar]
  14. Gong, X.; Chen, Y.; Wang, T.; Jiang, X.; Hu, X.; Feng, J. Double-edged effects of climate change on plant invasions: Ecological niche modeling global distributions of two invasive alien plants. Sci. Total Environ. 2020, 740. [Google Scholar] [CrossRef] [PubMed]
  15. Mgidi, T.N.; Le Maitre, D.C.; Schonegevel, L.; Nel, J.L.; Rouget, M.; Richardson, D.M. Alien plant invasions—incorporating emerging invaders in regional prioritization: A pragmatic approach for Southern Africa. J. Environ. Manag. 2007, 84, 173–187. [Google Scholar] [CrossRef]
  16. Altamirano, A.; Cely, J.P.; Etter, A.; Miranda, A.; Fuentes-Ramirez, A.; Acevedo, P.; Salas, C.; Vargas, R. The invasive species Ulex europaeus (Fabaceae) shows high dynamism in a fragmented landscape of south-central Chile. Environ. Monit. Assess. 2016, 188. [Google Scholar] [CrossRef]
  17. McLean, J.; Thomson, J.B. Some constituents of Ulex europaeus L. Phytochemistry 1963, 2, 179–181. [Google Scholar] [CrossRef]
  18. Osorio-Castiblanco, D.F.; Peyre, G.; Saldarriaga, J.F. Physicochemical Analysis and Essential Oils Extraction of the Gorse (Ulex europaeus) and French Broom (Genista monspessulana), Two Highly Invasive Species in the Colombian Andes. Sustainability 2019, 12, 57. [Google Scholar] [CrossRef]
  19. Núñez-Moreno, A.; Barbieri, G.; Gordillo, G. Analysis of the Feasibility of Generating Solid Biofuel from Ulex Europaeus Plants. Rev. Fac. Ing. 2019, 29. [Google Scholar] [CrossRef]
  20. Celis, R.; Torres, M.; Valenzuela, P.; Rios, R.; Gacitúa, W.; Pesenti, H. Characterizing Cellulosic Fibers from Ulex europaeus. BioResources 2014, 9, 13. [Google Scholar] [CrossRef]
  21. Pesenti, H.; Torres, M.; Oliveira, P.; Gacitua, W.; Leoni, M. Exploring Ulex europaeus to Produce Nontoxic Binderless Fibreboard. BioResources 2017, 12, 13. [Google Scholar] [CrossRef][Green Version]
  22. Hüttermann, A.; Mai, C.; Kharazipour, A. Modification of lignin for the production of new compounded materials. Appl. Microbiol. Biotechnol. 2001, 55, 387–394. [Google Scholar] [CrossRef] [PubMed]
  23. Lourenço, A.; Pereira, H. Compositional Variability of Lignin in Biomass. In Lignin—Trends and Applications; Poletto, M., Ed.; IntechOpen Limited: London, UK, 2018. [Google Scholar] [CrossRef]
  24. Sharma, S.; Sharma, A.; Mulla, S.I.; Pant, D.; Sharma, T.; Kumar, A. Lignin as Potent Industrial Biopolymer: An Introduction. In Lignin: Biosynthesis and Transformation for Industrial Applications; Sharma, S., Kumar, A., Eds.; Springer: Basel, Switzerland, 2020; pp. 1–15. [Google Scholar]
  25. Toledano-Zabaleta, A. Lignin Extraction, Purification and Depolymerization Study; Universidad del País Vasco-Euskal Herriko Unibertsitatea: San Sebastián, Spain, 2012. [Google Scholar]
  26. Gautam, N.; Kaur, I. Soil burial biodegradation studies of starch grafted polyethylene and identification of Rhizobium meliloti therefrom. J. Environ. Chem. Ecotoxicol. 2013, 5, 147–158. [Google Scholar] [CrossRef]
  27. Ekielski, A.; Mishra, P.K. Lignin for Bioeconomy: The Present and Future Role of Technical Lignin. Int. J. Mol. Sci. 2020, 22, 63. [Google Scholar] [CrossRef]
  28. Bykov, I. Characterization of Natural and Technical Lignins Using FT-IR Spectroscopy. Master’s Thesis, Luleå University of Technology, Luleå, Sweden, 2008. [Google Scholar]
  29. El Mansouri, N.-E. Despolimerización de Lignina Para su Aprovechamiento en Adhesivos Para Producir Tableros de Partículas; Universitat Rovira i Virgili: Tarragona, Spain, 2007. [Google Scholar]
  30. Douglas, C.J. Phenylpropanoid metabolism and lignin biosynthesis: From weeds to trees. Trends Plant Sci. 1996, 1, 171–178. [Google Scholar] [CrossRef]
  31. Meister, J.J.; Patil, D.R.; Field, L.R.; Nicholson, J.C. Synthesis and characterization of graft copolymers from lignin and 2-propenamide. J. Polym. Sci. Polym. Chem. Ed. 1984, 22, 1963–1980. [Google Scholar] [CrossRef]
  32. Chen, R.L.; Kokta, B.V.; Daneault, C.; Valade, J.L. Some water-soluble copolymers from lignin. J. Appl. Polym. Sci. 1986, 32, 4815–4826. [Google Scholar] [CrossRef]
  33. Huang, Y.; Zhao, B.; Zheng, G.; He, S.; Gao, J. Graft copolymerization of methyl methacrylate on stone ground wood using the H2O2Fe2 method. J. Appl. Polym. Sci. 1992, 45, 71–77. [Google Scholar] [CrossRef]
  34. Koshijima, T.; Muraki, E. Radical grafting on lignin. Part, I. Radiation-induced grafting of styrene onto hydrochloric acid lignin. J. Polym. Sci. Part A-1 Polym. Chem. 1968, 6, 1431–1440. [Google Scholar] [CrossRef]
  35. Phillips, R.B.; Brown, W.; Stannett, V.T. The graft copolymerization of styrene and lignin. II. Kraft softwood lignin. J. Appl. Polym. Sci. 1972, 16, 1–14. [Google Scholar] [CrossRef]
  36. Nudelman, N. Química Sustentable; Universidad Nacional del Litoral: Santa Fe, Argentina, 2004. [Google Scholar]
  37. Vroman, I.; Tighzert, L. Biodegradable Polymers. Materials 2009, 2, 307. [Google Scholar] [CrossRef]
  38. Alvarado Santillán, O.; Sánchez Fernández, E. Obtención de un Polímero Biodegradable a Partir de la Mezcla de Alcohol Polivinílico y Amilosa Extraída del Almidón de Colocasia Esculenta (Vituca) Proveniente del Distrito de Yambrasbamba; Universidad Nacional Toribio Rodríguez de Mendoza de Amazonas: Chachapoyas, Perú, 2015. [Google Scholar]
  39. Rodríguez Galán, R.A.; Franco García, M.L.; Puiggalí Bellalta, J. Biodegradable Poly(Ester Amide)s: Synthesis and Applications. In Biodegradable Polymers: Processing, Degradation and Applications; Nova Publishers: Hauppauge, NY, USA, 2011; pp. 207–272. [Google Scholar]
  40. Hans, M.L. Synthesis, Characterization, and Application of Biodegradable Polymeric Prodrug Micelles for Long-Term Drug Delivery; Drexel University: Philadelphia, PA, USA, 2006. [Google Scholar]
  41. Kawamoto, H. Lignin pyrolysis reactions. J. Wood Sci. 2017, 63, 117–132. [Google Scholar] [CrossRef]
  42. Caballero, J.A. Estudio Cinético de la Pirólisis de Lignina: Diseño de un Reactor Para el Estudio de las Reacciones Secundarias; Universidad de Alicante: Alicante, Spain, 1995. [Google Scholar]
  43. Balat, M. Mechanisms of Thermochemical Biomass Conversion Processes. Part 1: Reactions of Pyrolysis. Energy Sources Part A Recovery Util. Environ. Eff. 2008, 30, 620–635. [Google Scholar] [CrossRef]
  44. Beall, F.C.; Eickner, H.W. Thermal Degradation of Wood Components: A Review of the Literature; US Forest Products Laboratory: Madison, MI, USA, 1970; Volume 130. [Google Scholar]
  45. Poletto, M. Assessment of the thermal behavior of lignins from softwood and hardwood species. Maderas. Cienc. Y Tecnol. 2017, 19, 63–74. [Google Scholar] [CrossRef]
  46. Ganewatta, M.S.; Lokupitiya, H.N.; Tang, C. Lignin Biopolymers in the Age of Controlled Polymerization. Polymers 2019, 11, 1176. [Google Scholar] [CrossRef] [PubMed]
  47. Tuomela, M.; Vikman, M.; Hatakka, A.; Itävaara, M. Biodegradation of lignin in a compost environment: A review. Bioresour. Technol. 2000, 72, 169–183. [Google Scholar] [CrossRef]
  48. Stucki, G.; Alexander, M. Role of dissolution rate and solubility in biodegradation of aromatic compounds. Appl. Environ. Microbiol. 1987, 53, 292–297. [Google Scholar] [CrossRef] [PubMed]
  49. Ruggero, F.; Carretti, E.; Gori, R.; Lotti, T.; Lubello, C. Monitoring of degradation of starch-based biopolymer film under different composting conditions, using TGA, FTIR and SEM analysis. Chemosphere 2020, 246. [Google Scholar] [CrossRef]
  50. Luyt, A.S.; Malik, S.S. Can Biodegradable Plastics Solve Plastic Solid Waste Accumulation? In Plastics to Energy; Al-Salem, S.M., Ed.; Elsevier Inc.: Oxford, UK, 2019; pp. 403–423. [Google Scholar] [CrossRef]
Figure 1. FT-IR spectra of lignin extractions in the wavenumber zone of 4000−600 cm−1. FT-IR spectra of the lignin extract by alkaline treatment (red) and by organic solvent treatment (blue).
Figure 1. FT-IR spectra of lignin extractions in the wavenumber zone of 4000−600 cm−1. FT-IR spectra of the lignin extract by alkaline treatment (red) and by organic solvent treatment (blue).
J 04 00009 g001
Figure 2. FT-IR spectra of obtained co-polymer in the wavenumber zone of 4000−600 cm−1.
Figure 2. FT-IR spectra of obtained co-polymer in the wavenumber zone of 4000−600 cm−1.
J 04 00009 g002
Figure 3. TGA/DSC thermogram of the obtained lignin-based co-polymer. The figure shows the DSC (A) and TGA spectrum (B) of the synthetized co-polymer.
Figure 3. TGA/DSC thermogram of the obtained lignin-based co-polymer. The figure shows the DSC (A) and TGA spectrum (B) of the synthetized co-polymer.
J 04 00009 g003
Figure 4. Biodegradation of the co-polymer in the soil of the eastern hills in Bogotá, Colombia. Percentage of mass as a function of time in hours.
Figure 4. Biodegradation of the co-polymer in the soil of the eastern hills in Bogotá, Colombia. Percentage of mass as a function of time in hours.
J 04 00009 g004
Figure 5. Formation of lignin radicals. Lignin radicals formed by attacking the aromatic ring (A) and by attacking the alkene group (B) have the capacity to create intramolecular interactions with other lignin radicals or intermolecular interactions with glycine. Authors are aware that there might be more possible reaction mechanisms than the one shown in this figure.
Figure 5. Formation of lignin radicals. Lignin radicals formed by attacking the aromatic ring (A) and by attacking the alkene group (B) have the capacity to create intramolecular interactions with other lignin radicals or intermolecular interactions with glycine. Authors are aware that there might be more possible reaction mechanisms than the one shown in this figure.
J 04 00009 g005
Figure 6. Lignin interactions and reactions between lignin and glycine. Intermolecular interactions between lignin radicals (A). Reaction mechanism in the formation of amide (B) and imine (C) groups after the reactions between lignin and glycine (see the previous sections for rationale). R represents the lignin radicals while R1 refers to the amino acid structure (in this case glycine). The authors are aware that there might be more possible reaction mechanisms than the ones shown in this figure.
Figure 6. Lignin interactions and reactions between lignin and glycine. Intermolecular interactions between lignin radicals (A). Reaction mechanism in the formation of amide (B) and imine (C) groups after the reactions between lignin and glycine (see the previous sections for rationale). R represents the lignin radicals while R1 refers to the amino acid structure (in this case glycine). The authors are aware that there might be more possible reaction mechanisms than the ones shown in this figure.
J 04 00009 g006
Figure 7. Production process and possible representation of the lignin-based biopolymer from Ulex europaeus. Although further research is needed to describe the relevant fragments of the polymer structure, it is possible that the obtained biopolymer contains a lignin nucleus with ramifications that are a product of the reaction with glycine. The purple pentagons represent the limits of the lignin core while dendrites the polymerization products. The yellow marks depict the hypothetical zones susceptible to crystallization in the cross-linked polymer.
Figure 7. Production process and possible representation of the lignin-based biopolymer from Ulex europaeus. Although further research is needed to describe the relevant fragments of the polymer structure, it is possible that the obtained biopolymer contains a lignin nucleus with ramifications that are a product of the reaction with glycine. The purple pentagons represent the limits of the lignin core while dendrites the polymerization products. The yellow marks depict the hypothetical zones susceptible to crystallization in the cross-linked polymer.
J 04 00009 g007
Table 1. Lignin extraction methodologies and yield.
Table 1. Lignin extraction methodologies and yield.
Extraction MethodStem (g)Theoretical
Yield * (g)
Actual
Yield (g)
Percentage
Yield (%)
Alkaline10.02.251.57570
Solvent-based10.02.251.12050
* Calculated according to the average percentage of lignin in the plant stem (≈22.5%).
Table 2. Relevant data on lignin and glycine polymerization.
Table 2. Relevant data on lignin and glycine polymerization.
SolutionReactantsAmountSolventProduct
1Lignin *0.5 g20 mL of 70% 1,4-Dioxane1.2 g
H2O25 mL
CaCl20.2 g
2Glycine1.530 mL of 70% 1,4-Dioxane
* Lignin extracted by alkaline treatment.
Publisher’s Note: MDPI stays neutral with regard to jurisdictional claims in published maps and institutional affiliations.

Share and Cite

MDPI and ACS Style

Bonilla, A.F.; Bonilla, D.A. Synthesis and Characterization of a Novel Lignin-Based Biopolymer from Ulex europaeus: A Preliminary Study. J 2021, 4, 101-115. https://doi.org/10.3390/j4020009

AMA Style

Bonilla AF, Bonilla DA. Synthesis and Characterization of a Novel Lignin-Based Biopolymer from Ulex europaeus: A Preliminary Study. J. 2021; 4(2):101-115. https://doi.org/10.3390/j4020009

Chicago/Turabian Style

Bonilla, Andrés F., and Diego A. Bonilla. 2021. "Synthesis and Characterization of a Novel Lignin-Based Biopolymer from Ulex europaeus: A Preliminary Study" J 4, no. 2: 101-115. https://doi.org/10.3390/j4020009

APA Style

Bonilla, A. F., & Bonilla, D. A. (2021). Synthesis and Characterization of a Novel Lignin-Based Biopolymer from Ulex europaeus: A Preliminary Study. J, 4(2), 101-115. https://doi.org/10.3390/j4020009

Article Metrics

Back to TopTop