Direct and Indirect Effects of Environmental and Socio-Economic Factors on COVID-19 in Africa Using Structural Equation Modeling
Abstract
1. Introduction
2. Materials and Methods
2.1. Study Area
2.2. Data Collection
2.3. Statistical Analyses
2.3.1. Assessing the Spatial Patterns of Environmental, Socio-Economic Variables and Cases of COVID-19
2.3.2. Comparing the Performance of the Lisrel and Partial Least Square Estimation Methods Used in the Case of SEM Models
2.3.3. Assessing the Direct and Indirect Effects of Environmental and Socio-Economic Variables on the Incidence of COVID-19 Using the Most Performing Estimation Method
3. Results
3.1. Spatial Patterns of Environmental, Socio-Economic Factors and Incidence of COVID-19
3.1.1. Spatial Analysis
3.1.2. Spatial Autocorrelation Testing
3.2. Performance of the Lisrel and Partial Least Square Estimation Methods in SEM Models
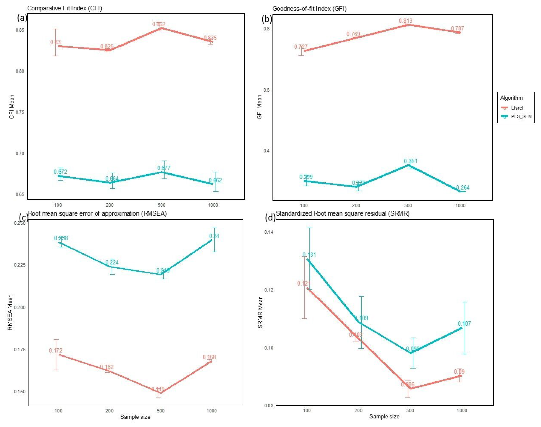
3.2.1. Comparison Based on Sample Size
3.2.2. Comparison Based on the Number of Indirect Effects on Model
3.3. Direct and Indirect Relationship between Environmental, Socio-Economic, and Climatic Variables and Incidence of COVID-19 Using the Lisrel Estimation Method
4. Discussion
5. Conclusions
Author Contributions
Funding
Data Availability Statement
Acknowledgments
Conflicts of Interest
References
- Guihot, A.; Litvinova, E.; Autran, B.; Debré, P.; Vieillard, V. Cell-mediated immune responses to COVID-19 infection. Front. Immunol. 2020, 11, 1662. [Google Scholar] [CrossRef] [PubMed]
- Selma, B. L’enseignement supérieur à distance à l’ère de la COVID-19: Contraintes et obstacles à l’adaptation numérique Cas des enseignants du département de FLE des universités de l’est de l’Algérie. 2021. Available online: http://dspace.cu-barika.dz/jspui/handle/123456789/418 (accessed on 18 August 2024).
- Lee, C.Y.; Suzuki, J.B. COVID-19: Variants, immunity, and therapeutics for non-hospitalized patients. Biomedicines 2023, 11, 2055. [Google Scholar] [CrossRef] [PubMed]
- Abu-Hammad, O.; Alnazzawi, A.; Borzangy, S.S.; Abu-Hammad, A.; Fayad, M.; Saadaledin, S.; Abu-Hammad, S.; Dar-Odeh, N. Factors influencing global variations in COVID-19 cases and fatalities; a review. Healthcare 2020, 8, 216. [Google Scholar] [CrossRef] [PubMed]
- Honfo, S.H.; Taboe, H.B.; Kakaï, R.G. Modeling COVID-19 dynamics in the sixteen West African countries. Sci. Afr. 2022, 18, e01408. [Google Scholar] [CrossRef] [PubMed]
- Setti, L.; Passarini, F.; De Gennaro, G.; Barbieri, P.; Perrone, M.G.; Borelli, M.; Palmisani, J.; Di Gilio, A.; Piscitelli, P.; Miani, A. Airborne transmission route of COVID-19: Why 2 meters/6 feet of inter-personal distance could not be enough. Int. J. Environ. Res. Public Health 2020, 17, 2932. [Google Scholar] [CrossRef]
- Frontera, A.; Cianfanelli, L.; Vlachos, K.; Landoni, G.; Cremona, G. Severe air pollution links to higher mortality in COVID-19 patients: The “double-hit” hypothesis. J. Infect. 2020, 81, 255–259. [Google Scholar] [CrossRef]
- Bontempi, E. First data analysis about possible COVID-19 virus airborne diffusion due to air particulate matter (PM): The case of Lombardy (Italy). Environ. Res. 2020, 186, 109639. [Google Scholar] [CrossRef]
- Bourdrel, T.; Annesi-Maesano, I.; Alahmad, B.; Maesano, C.N.; Bind, M.A. The impact of outdoor air pollution on COVID-19: A review of evidence from in vitro, animal, and human studies. Eur. Respir. Rev. 2021, 30. [Google Scholar] [CrossRef]
- Hair, J.F., Jr.; Howard, M.C.; Nitzl, C. Assessing measurement model quality in PLS-SEM using confirmatory composite analysis. J. Bus. Res. 2020, 109, 101–110. [Google Scholar] [CrossRef]
- Dash, G.; Paul, J. CB-SEM vs PLS-SEM methods for research in social sciences and technology forecasting. Technol. Forecast. Soc. Chang. 2021, 173, 121092. [Google Scholar] [CrossRef]
- Hassan, M.M.; Kalam, M.A.; Shano, S.; Nayem, M.R.K.; Rahman, M.K.; Khan, S.A.; Islam, A. Assessment of epidemiological determinants of COVID-19 pandemic related to social and economic factors globally. J. Risk Financ. Manag. 2020, 13, 194. [Google Scholar] [CrossRef]
- Bukhari, Q.; Jameel, Y. Will coronavirus pandemic diminish by summer? Soc. Sci. Res. Netw. 2020, 15. [Google Scholar] [CrossRef]
- Yao, Y.; Pan, J.; Liu, Z.; Meng, X.; Wang, W.; Kan, H.; Wang, W. Ambient nitrogen dioxide pollution and spreadability of COVID-19 in Chinese cities. Ecotoxicol. Environ. Saf. 2021, 208, 111421. [Google Scholar] [CrossRef] [PubMed]
- Fattorini, D.; Regoli, F. Role of the chronic air pollution levels in the Covid-19 outbreak risk in Italy. Environ. Pollut. 2020, 264, 114732. [Google Scholar] [CrossRef] [PubMed]
- Villeneuve, P.J.; Goldberg, M.S. Methodological considerations for epidemiological studies of air pollution and the SARS and COVID-19 coronavirus outbreaks. Environ. Health Perspect. 2020, 128, 095001. [Google Scholar] [CrossRef]
- Tantrakarnapa, K.; Bhopdhornangkul, B.; Nakhaapakorn, K. Influencing factors of COVID-19 spreading: A case study of Thailand. J. Public Health 2020, 30, 621–627. [Google Scholar] [CrossRef]
- Sorci, G.; Faivre, B.; Morand, S. Explaining among-country variation in COVID-19 case fatality rate. Sci. Rep. 2020, 10, 18909. [Google Scholar] [CrossRef]
- Berrezueta, E.; Domínguez-Cuesta, M.J.; Rodríguez-Rey, Á. Semi-automated procedure of digitalization and study of rock thin section porosity applying optical image analysis tools. Comput. Geosci. 2019, 124, 14–26. [Google Scholar] [CrossRef]
- Atabati, A.; Adab, H.; Zolfaghari, G.; Nasrabadi, M. Modeling groundwater nitrate concentrations using spatial and non-spatial regression models in a semi-arid environment. Water Sci. Eng. 2022, 15, 218–227. [Google Scholar] [CrossRef]
- Bessemoulin, P.; Boucher, O. Les besoins en observations pour la climatologie. La Météorologie 2002, 2002, 36–42. [Google Scholar] [CrossRef][Green Version]
- Haddadi, A.; Kessabi, K.; Boughammoura, S.; Rhouma, M.B.; Mlouka, R.; Banni, M.; Messaoudi, I. Exposure to microplastics leads to a defective ovarian function and change in cytoskeleton protein expression in rat. Environ. Sci. Pollut. Res. 2022, 29, 34594–34606. [Google Scholar] [CrossRef] [PubMed]
- El Azyzy, Y. L’incidence de la COVID-19 sur le perfectionnement des competences et l’employabilite dans le secteur du tourisme. In IX Foro Internacional de Turismo Maspalomas Costa Canaria; Universidad de Las Palmas de Gran Canaria: Las Palmas, Spain, 2021; pp. 99–115. [Google Scholar]
- Annexe, V. Profil Sous Régional Pour l’Afrique du Nord: Partenariats Public-privé pour une Relance Post-COVID-19 Inclusive et Verte en Afrique du Nord Sommaire. 2021. Available online: https://knowledgehub-sro-na.uneca.org/wp-content/uploads/2023/04/Profil-Afrique-du-Nord-2021-Fr.pdf (accessed on 18 August 2012).
- Troeger, C.; Forouzanfar, M.; Rao, P.C.; Khalil, I.; Brown, A.; Swartz, S.; Fullman, N.; Mosser, J.; Thompson, R.L.; Reiner, R.C.; et al. Estimates of the global, regional, and national morbidity, mortality, and aetiologies of lower respiratory tract infections in 195 countries: A systematic analysis for the Global Burden of Disease Study 2015. Lancet Infect. Dis. 2017, 17, 1133–1161. [Google Scholar] [CrossRef] [PubMed]
- Bouziane, A. L’économie mondiale et marocaine: états des lieux et analyse à l’ère de la COVID-19. Rev. Int. Du Cherch. 2022, 3. Available online: https://www.revuechercheur.com/index.php/home/article/view/479 (accessed on 18 August 2024).
- Hair, J.F., Jr.; Matthews, L.M.; Matthews, R.L.; Sarstedt, M. PLS-SEM or CB-SEM: Updated guidelines on which method to use. Int. J. Multivar. Data Anal. 2017, 1, 107–123. [Google Scholar] [CrossRef]
- Ismail, I.M.; Rashid, M.I.; Ali, N.; Altaf, B.A.S.; Munir, M. Temperature, humidity and outdoor air quality indicators influence COVID-19 spread rate and mortality in major cities of Saudi Arabia. Environ. Res. 2022, 204, 112071. [Google Scholar] [CrossRef]
- Prata, D.N.; Rodrigues, W.; Bermejo, P.H. Temperature significantly changes COVID-19 transmission in (sub) tropical cities of Brazil. Sci. Total Environ. 2020, 729, 138862. [Google Scholar] [CrossRef]
- World Bank. The Global Economic Outlook During the COVID-19 Pandemic: A Changed World; World Bank: Washington, DC, USA, 2020; Available online: https://www.worldbank.org/en/news/feature/2020/06/08/the-global-economic-outlook-during-the-covid-19-pandemic-a-changed-world (accessed on 18 August 2024).
- WHO. WHO Manifesto for a Healthy Recovery from COVID-19; WHO: Geneva, Switzerland, 2020; Available online: https://www.who.int/news-room/feature-stories/detail/who-manifesto-for-a-healthy-recovery-from-covid-19 (accessed on 18 August 2024).
- Montcho, Y.; Klingler, P.; Lokonon, B.E.; Tovissodé, C.F.; Glèlè Kakaï, R.; Wolkewitz, M. Intensity and lag-time of non-pharmaceutical interventions on COVID-19 dynamics in German hospitals. Front. Public Health 2023, 11, 1087580. [Google Scholar] [CrossRef]
- Montcho, Y.; Nalwanga, R.; Azokpota, P.; Doumatè, J.; Lokonon, B.; Salako, V.; Wolkewitz, M.; Glèlè Kakaï, R. Assessing the Impact of Vaccination on the Dynamics of COVID-19 in Africa: A Mathematical Modeling Study. Vaccines 2023, 11, 857. [Google Scholar] [CrossRef]








| Parameters | Sources | Effects | Authors |
|---|---|---|---|
| Dependent variable | |||
| Covid cases | World Health Organization (WHO). Available online: https://covid19.who.int/data (Accessed on 25 August 2023) | ||
| Deaths from Covid | World Health Organization (WHO). Available online: https://covid19.who.int/data (Accessed on 25 August 2023) | ||
| Independent variables | |||
| humidity (%) | NASA. Available online: https://power.larc.nasa.gov/data (Accessed on 2 September 2023) | + | [13] |
| Temperature (°C) | World Bank Available online: https://donnees.banquemondiale.org/ (Accessed on 3 September 2023) | + | [13] |
| Amount of (Kiloton) | OECD (2019, 2020). Available online: https://data.oecd.org/ (Accessed on 2 September 2023); Our World in Data (2021). Available online: ourworldindata.org/ (Accessed on 2 September 2023) | + | [14,15] |
| Amount of (Kiloton) | OECD (2019, 2020). Available online: https://data.oecd.org/ (Accessed on 2 September 2023); Our World in Data (2021). Available online: ourworldindata.org/ (Accessed on 2 September 2023) | + | [14,15] |
| Population | United Nations. Available online: https://population.un.org/ (Accessed on 4 September 2023) | + | [16] |
| Proportion of seniors peoples (%) | Our World in Data (2021) Available online: ourworldindata.org/ (Accessed on 4 September 2023) | + | [17] |
| Middle age (in year) | Our World in Data (2021) Available online: ourworldindata.org/ (Accessed on 4 September 2023) | + | [17] |
| GDP manufacturing | FAO. Available online: https://www.fao.org/faostat/ (Accessed on 13 October 2023) | + | [17,18] |
| Tourism | UNWTO Tourism Statistics Database. Available online: https://www.unwto.org/tourism (Accessed on 15 October 2023) | + | [17,18] |
| Importation | World Tourism Organization Available online: https://stats.wto.org/ (Accessed on 31 August 2023) | + | [17,18] |
| Exportation | World Tourism Organization Available online: https://stats.wto.org/ (Accessed on 31 August 2023) | + | [17,18] |
| Confounding factors | |||
| Overall government response index | OxCGRT Available online: https://covidtracker.bsg.ox.ac.uk/ (Accessed on 18 March 2024) | − | |
| Containment and health index | OxCGRT Available online: https://covidtracker.bsg.ox.ac.uk/ (Accessed on 18 March 2024) | − | |
| Vaccine availability | OxCGRT Available online: https://covidtracker.bsg.ox.ac.uk/ (Accessed on 18 March 2024) | − | |
| Factors | Moran I Stat | E(X) | Var | Std.dev | p-Value |
|---|---|---|---|---|---|
| Temperature (°C) | 0.424 *** | −0.018 | 0.01 | 5.14 | 1.373 × 10−7 |
| Relative humidity (%) | 0.568 *** | −0.018 | 0.01 | 6.598 | 2.073 × 10−11 |
| CO2 (Kilotons) | −0.097 | −0.018 | 0.01 | −0.907 | 0.818 |
| NO2 (Kiloton) | −0.035 | −0.018 | 0.01 | −0.186 | 0.574 |
| Import | −0.012 | −0.018 | 0.006 | 0.078 | 0.468 |
| Export | −0.048 | −0.018 | 0.005 | −0.396 | 0.654 |
| Tourism spending | −0.016 | −0.018 | 0.005 | 0.027 | 0.488 |
| Manufacturing GDP | −0.086 | −0.018 | 0.006 | −0.872 | 0.81 |
| Population density | 0.189 ** | −0.018 | 0.007 | 2.485 | 0.007 |
| Middle age | 0.311 *** | −0.018 | 0.01 | 3.789 | 7.56 × 10−5 |
| Individuals over ≥ 65 years old | 0.246 *** | −0.018 | 0.006 | 3.238 | 0.001 |
| Incidence cases of COVID-19 | 0.184 *** | −0.018 | 0.002 | 0.498 | 0.003 |
| Incidence deaths of COVID-19 | 0.326 *** | −0.018 | 0.002 | 0.201 | 1.62 × 10−5 |
| Size | Algorithms | CFI | GFI | RMSEA | SRMR | ||||
|---|---|---|---|---|---|---|---|---|---|
| Mean | SE | Mean | SE | Mean | SE | Mean | SE | ||
| Lisrel | 0.830 a | 0.006 | 0.726 c | 0.006 | 0.171 c | 0.003 | 0.12 ab | 0.004 | |
| 100 | PLS | 0.672 b | 0.006 | 0.299 e | 0.006 | 0.238 a | 0.003 | 0.131 a | 0.004 |
| Lisrel | 0.825 a | 0.006 | 0.769 b | 0.006 | 0.162 cd | 0.003 | 0.103 bcd | 0.004 | |
| 200 | PLS | 0.663 b | 0.006 | 0.279 ef | 0.006 | 0.223 b | 0.003 | 0.108 bc | 0.004 |
| Lisrel | 0.852 a | 0.006 | 0.813 a | 0.006 | 0.149 d | 0.003 | 0.085 d | 0.004 | |
| 500 | PLS | 0.676 b | 0.006 | 0.351 d | 0.006 | 0.219 b | 0.003 | 0.098 cd | 0.004 |
| Lisrel | 0.834 a | 0.006 | 0.787 ab | 0.006 | 0.168 c | 0.003 | 0.09 cd | 0.004 | |
| 1000 | PLS | 0.662 b | 0.006 | 0.264 f | 0.006 | 0.239 a | 0.003 | 0.106 bc | 0.004 |
| p-value | *** | *** | *** | 2.22−5 *** | |||||
| Indirect Effects | Algorithms | CFI | GFI | RMSEA | SRMR | ||||
|---|---|---|---|---|---|---|---|---|---|
| Mean | SE | Mean | SE | Mean | SE | Mean | SE | ||
| 0 | Lisrel | 0.841 a | 0.006 | 0.779 a | 0.018 | 0.161 b | 0.005 | 0.097 a | 0.007 |
| PLS | 0.666 b | 0.006 | 0.297 b | 0.018 | 0.233 a | 0.005 | 0.113 a | 0.007 | |
| 2 | Lisrel | 0.839 a | 0.006 | 0.776 a | 0.018 | 0.160 b | 0.005 | 0.097 a | 0.007 |
| PLS | 0.678 b | 0.006 | 0.309 b | 0.018 | 0.226 a | 0.005 | 0.105 a | 0.007 | |
| 4 | Lisrel | 0.826 a | 0.006 | 0.766 a | 0.018 | 0.166 b | 0.005 | 0.104 a | 0.007 |
| PLS | 0.662 b | 0.006 | 0.288 b | 0.018 | 0.230 a | 0.005 | 0.114 a | 0.007 | |
| p-value | *** | *** | *** | 0.53 | |||||
| Estimate | Std.err | Z-Value | p-Value | |
|---|---|---|---|---|
| Direct effect on COVID-19 | ||||
| Climate | 0.181 | 0.048 | 3.753 | 0.000 *** |
| Demographics | 2.011 | 0.424 | 4.742 | 0.000 *** |
| Air Quality | 0.002 | 0.018 | 0.071 | 0.943 |
| Economics | 0.231 | 0.037 | 6.324 | 0.000 *** |
| Confounding factors | 0.201 | 0.025 | 8.087 | 0.000 *** |
| Indirect effect : Air-Quality | ||||
| Demographics | 0.18 | 0.19 | 0.95 | 0.342 |
| Economics | 0.361 | 0.034 | 10.66 | 0.000 *** |
| Performance evaluation | ||||
| Number of observations | 1000 | |||
| Test statistic | 15,618.67; p = 0.000 *** | |||
| RMSEA | 0.167 | |||
| SRMR | 0.089 | |||
| CFI | 0.837 | |||
| GFI | 0.789 | |||
Disclaimer/Publisher’s Note: The statements, opinions and data contained in all publications are solely those of the individual author(s) and contributor(s) and not of MDPI and/or the editor(s). MDPI and/or the editor(s) disclaim responsibility for any injury to people or property resulting from any ideas, methods, instructions or products referred to in the content. |
© 2024 by the authors. Licensee MDPI, Basel, Switzerland. This article is an open access article distributed under the terms and conditions of the Creative Commons Attribution (CC BY) license (https://creativecommons.org/licenses/by/4.0/).
Share and Cite
Orounla, B.R.; Alaye, A.E.; Salako, K.V.; Agbangba, C.E.; Aheto, J.M.K.; Glèlè Kakaï, R. Direct and Indirect Effects of Environmental and Socio-Economic Factors on COVID-19 in Africa Using Structural Equation Modeling. Stats 2024, 7, 1051-1065. https://doi.org/10.3390/stats7030062
Orounla BR, Alaye AE, Salako KV, Agbangba CE, Aheto JMK, Glèlè Kakaï R. Direct and Indirect Effects of Environmental and Socio-Economic Factors on COVID-19 in Africa Using Structural Equation Modeling. Stats. 2024; 7(3):1051-1065. https://doi.org/10.3390/stats7030062
Chicago/Turabian StyleOrounla, Bissilimou Rachidatou, Ayédèguè Eustache Alaye, Kolawolé Valère Salako, Codjo Emile Agbangba, Justice Moses K. Aheto, and Romain Glèlè Kakaï. 2024. "Direct and Indirect Effects of Environmental and Socio-Economic Factors on COVID-19 in Africa Using Structural Equation Modeling" Stats 7, no. 3: 1051-1065. https://doi.org/10.3390/stats7030062
APA StyleOrounla, B. R., Alaye, A. E., Salako, K. V., Agbangba, C. E., Aheto, J. M. K., & Glèlè Kakaï, R. (2024). Direct and Indirect Effects of Environmental and Socio-Economic Factors on COVID-19 in Africa Using Structural Equation Modeling. Stats, 7(3), 1051-1065. https://doi.org/10.3390/stats7030062

