Abstract
The Born postulate can be reduced to its deterministic content that only applies to eigenvectors of observables: The standard probabilistic interpretation of generic states then follows from algebraic properties of repeated measurements and states. Extending this reasoning suggests an interpretation of quantum mechanics generalized with indefinite quantum norm.
1. Introduction
If a gravitational action with four derivatives leads to a sensible quantum theory, the resulting quantum gravity has welcome properties: Renormalizability [1,2], inflation for generic dimension-less potentials [2], dynamical generation of a naturally small electro-weak scale [2,3]. Quantum fields can be expanded in modes, motivating the study of the basic building block: One variable with four derivatives. In the canonical formalism, it can be rewritten in terms of two variables with two derivatives, and . The classical theory tends to have run-away solutions, because the classical Hamiltonian is unbounded from below [4,5] (although instabilities do not take place for some range of initial conditions and/or in special systems [6,7,8,9,10,11,12]). However nature is quantum. Systems with one derivative (fermions) provide an example where the same problem—a classical Hamiltonian unbounded from below—is not present in the quantum theory.
This motivates the study of quantisation of systems with four derivatives. In view of the time derivative, and have opposite time-inversion parities. This is satisfied using for the two different coordinate representations of a pair of canonical coordinates with :
| proposed by | T-parity | T-parity | norm | ||
| Schroedinger | even | odd | , positive | ||
| Dirac-Pauli | odd | even | , indefinite |
The first possibility is the well known positive-norm Schroedinger representation. The second possibility, first described by Dirac [13] and studied by Pauli [14], remained less known because and are self-adjoint under the indefinite quantum norm . In mathematical convention the norm is, by definition, positive and one should speak of “inner product” in “Krein space”. We avoid using these terms, keeping the standard terms of quantum mechanics. The modified time-reflection T-parity comes from the unusual i factor.
The 4-derivative oscillator , quantised proceeding along these lines as and , leads to a successful formalism similar to the deterministic part of quantum mechanics: Positive energy eigenvalues, normalizable wave-functions, a time evolution which conserves the indefinite quantum norm if the Hamiltonian is self-adjoint [15].
The remaining problem is whether such formalism admits a physical interpretation. In the conventional interpretation of quantum mechanics, positive norm is interpreted as probability of outcomes of measurements. In Section 2 we describe a rephrasing of conventional quantum mechanics inspired by [16,17,18,19,20], where probability is replaced by average over many repeated measurements. Then the full probabilistic Born rule follows from its deterministic part, combined with the algebraic properties of repeated quantum states. In Section 3 we apply the deterministic part of the Born postulate to indefinite-norm quantum mechanics, finding the implied interpretation. Examples are given in Section 4. Results are summarized in the conclusions, given in Section 5.
Various authors explored possible interpretations of indefinite-norm quantum mechanics (or equivalently of pseudo-hermitian hamiltonians [21,22,23,24,25]) through algebraic approaches that construct one artificial arbitrary positive norm choosing the special basis of Hamiltonian eigenstates [21,22,23,24,25,26,27,28,29,30,31]. Their definition is similar to our final result, except that in our approach each observable selects the basis of its own eigenstates.
2. Quantum Mechanics Bypassing Probabilities
The Born postulate
employs probability only if is a generic state. If instead is an eigenstate of the operator to be measured the probability is unity, which means certainty: The Born rule reduces to the following deterministic statement:“when an observable corresponding to a self-adjoint operator is measured in a state , the result is an eigenvalue of with probability ”
“when an observable corresponding to a self-adjoint operator is measured in an eigenstate of , the result is the eigenvalue ”.
As discussed below, this is enough to make useful predictions even for non-trivial states. The point is that a probability p about one measurement can be rephrased as a certainty about repeated experiments. This is what quantum experimentalists do: repeat a measurement times; the outcome of the measurements is their average. The repeated measurements can be done at different times (for example when measuring a cross section at a collider) or at different places (for example when observing a primordial cosmological inhomogeneity ‘measured’ by the early universe). A useful formalism that avoids such details and describes a single measurement repeated n times consists in defining a state equal to the tensor product of n identical copies of the generic state subject to the measurement. We will see that becomes, in the limit , an eigenstate of the operator (constructed later) that describes a measurement repeated n times. Similar ideas have been presented in [16,17,18,19,20].
2.1. Repeated States
It is convenient to use a basis of eigenstates of the observable normalized as . To start, a state repeated twice becomes
where each coefficient multiplies a basis vector with unit norm in the tensor space:
The generalization of the factor in the third term is important in the following. Higher powers of a generic state can be written as
where
is the multinomial coefficient. The basis states are
where the sum runs over all permutations. Such states are normalized as
Thereby equals unity provided that .
It is convenient to split the coefficients as and rewrite Equation (3) as
All the phases could be set to through a re-phasing of the eigenstates . The multinomial plays a double role in mathematics: It is a tool for computing powers and it is also used in the multinomial probability distribution. The term under the square root has the same form as the multinomial distribution for obtaining events of type i in n trials with ‘probability coefficients’
We never used probabilities: The multinomial distribution appeared by computing tensor powers , which manage to result into coefficients proportional to moduli squared. Ignoring the quantum state algebra and expanding would have given instead .
As well known, in the limit one can approximate finding that a multinomial reduces to a Gaussian with mean and variance . In the limit the standard deviation becomes negligible with respect to the mean, and the Gaussian further reduces to a Dirac delta, . Figure 1 shows an example for a two-state system.
Figure 1.
We examplify how a pure state is obtained from high powers n of a generic state . The continuous bells are the coefficients of the state along the basis states for different values of the power n. Furthermore, the dashed bells are the coefficients of , where is the observable that counts the rate of . We see that for large n both distributions approach a common narrow bell, meaning that is an eigenvalue of with eigenvalue . This is the standard result of quantum mechanics, obtained without using probabilities.
2.2. Repeated Measurements
The above discussion suggests that for the state can become an eigenstate of appropriate observables that do not probe the detailed structure of the narrow peak, which contains states. Then the deterministic part of the Born rule predicts the outcome of the measurement. The appropriate observable is the average of a generic single-state observable over n repeated measurements. Formally, such repeated measurements are described by operators of the form
etc. Indeed their averages satisfy
One basic observable is the projector over the state . Acting over tensored space, counts the rate of states:
This is just a way of formalizing what experimentalists do. For example, when measuring the component of the spin of a fermion in the state , the experimentalist builds an apparatus with magnetic fields that deflect quanta through a spin-dependent force, such that the whole system (status plus apparatus) evolves into , where and are the macroscopic states with a stable entanglement with the apparatus. Being macroscopic, their relative phase oscillates fast averaging to zero: The apparatus forced the status to ‘choose’ among its components. Any single observation gives either up or down forming a random sequence from which the experimentalist can extract the rate of ups.
Figure 1 exemplifies how and converge to the same state for large n. We consider a two-state system with norm , such that the basis states of are , described by one integer k than runs from 0 to n. The eigenvalue is determined to be as in Equation (8) by imposing that the coefficients of the two states
are equal on the peak at . For large n the peak gets so relatively narrow (the average grows as n, the width as ) that all other values of k are irrelevant. The situation is intuitively clear for large finite n, and nobody repeats experiments an infinite number of times. Nevertheless it is interesting to discuss the limit , showing two possible notions of convergence:
- (C)
- Coefficient convergence. Figure 1 shows that the height of the peak decreases with n, so both sequence of coefficients and tend to zero as . This would be exacerbated by choosing , while would make all coefficients divergent as . Given that we want to compute eigenvectors and eigenvalues, the normalization of states is irrelevant (as usual in quantum mechanics), so the right notion of convergence is projective:which is satisfied. In general this applies to a set of , rather than a single k.
- (N)
- Norm convergence. The norm of converges projectively to zeroas can be proofed making use of [16,17,18,19,20]
Both notions of convergence lead to the same conclusion: becomes asymptotically an eigenstate of the observable with eigenvalue . Then, the deterministic part of the Born rule predicts the outcome of the measurement to be the eigenvalue . This is the standard result of quantum mechanics, obtained replacing the probabilistic Born postulate with the average over many repeated measurements, which is deterministically predicted.
For a generic observable one asymptotically has . The commutator of two operators and satisfies , which gets suppressed at large n, showing how quantum uncertainty reduces to classical determinism for .
One can next introduce the concept of probability, giving a meaning to generic states . But this is not necessary: One can equivalently tell that a generic state has no physical meaning given that a single measurement over it has a random outcome.
The important positive fact is that from any state one can form a pure state which has a deterministic physical meaning on a large class of operators of the form .
Not all operators have a good classical limit on multi-states . An example of an alternative operator with a bad limit is which measures the product (rather than the average) of each single observation. Consider e.g., the case where is a parity with eigenvalues , such as in a Stern-Gerlach experiment. The product parity of the system can flip sign with any extra measurement, and does not lead to a useful observable in the limit . Within the repeated-states formalism, this happens because the eigenvalues of wildly vary inside the states within the peak, such that is an eigenvector of but not of . Similar issues will arise in the following section.
3. Interpreting Indefinite-Norm Quantum Mechanics
The previous discussion about consistency of repeated mesurments restricts possible interpretations of standard quantum mechanics with positive quantum norm , allowing to (re)derive the Born postulate from its deterministic part limited to eigenvectors. We here explore if the algebraic properties of repeated states allow to derive an interpretation of quantum mechanics generalized allowing for an indefinite norm. What is the meaning of a state which is a superposition of a positive-norm state with a negative-norm state ? To answer, we divide observables in three classes, discussed in Section 3.1, Section 3.2 and Section 3.3.
3.1. Observables That Commute with One Ghost Operator
We consider an observable described by a self-adjoint operator in Krein space, and assume that its eigenvectors univocally define a complete basis in configuration space. Physically, this corresponds a good apparatus that converts orthogonal quantum states into different macroscopic states. Mathematically, this means that the eigenvalues non-degenerate and that each eigenvector lies away from the null cone in configuration space, such that the scalar products are with or . The eigenvalues are then real.
From a generic state we again form the repeated state which becomes an eigenstate of the repeated measurement in the limit of an infinite number of measurements, . However the two notions of limit presented in Section 2 for a positive norm no longer give the same answer, so that a creative judgement is needed.
- (N)
- Norm convergence. The indefinite-norm averages of projectors considered in Equation (15) are now given byThereby asymptotically has zero projective norm,Decomposing in terms of eigenvalues and projectors , norm-converges to an eigenvector of with eigenvalue .
However, indefinite-norm convergence does not imply convergence: non-vanishing states along the null cone (such as ) have null norm. Furthermore, the coefficients can be negative such that they cannot interpreted as probabilities. Finally, the averages contain huge cancellations, like in the expansion of for large n.
- (C)
- Coefficient convergence. The discussion in Section 2 about the algebraic properties of remains unaltered (in particular Equations (3), (9) and (11)), up to one new issue: The basis coefficients of can get big and diverge even when computing high powers of a unit-norm state such as . Since the overall normalization of states has no physical meaning, we renormalise the coefficients of , for example setting the biggest coefficient to unity (as already done in Equation (13) to deal with positive norm and ). Following this intuitive procedure one finds that for large n the coefficients of again projectively converge to a narrow bell peaked at the same as in Equation (8),and the coefficients of converge to those of . Thereby becomes eigenvector of with eigenvalue .
Choosing coefficient convergence, the deterministic part of the Born postulate implies that must be identified with the measured value of , and again the can be considered as probabilities.
The intuitive procedure of renormalising a state repeated n times before taking the limit can be put on a more solid formal basis by defining an artificial positive norm as follows. We define a ‘ghost operator’ as any linear operator such that holds on a basis of states , where is the sign of . Then, our initial assumptions about are equivalent to demand that has one solution: The unique ghost operator associated to is and allows to define a positive A-norm as . Then A-norm convergence agrees with coefficient convergence:
In normal quantum mechanics all states have positive norm, and the ghost operator reduces to the unity operator. With indefinite norm, the norm of a state contains one bit of information (its sign) which is preserved by time evolution and affects a measurement through the ghost operator.
Does this prescription give an interpretation of indefinite-norm quantum mechanics that respects conservations laws? Conserved quantities are associated to operators that commute with the Hamiltonian .
We start discussing conservation of energy, associated with itself. If dynamics is such that all eigenstates of lie away from the ‘null cone’, then , so that the extra factor that appears in the interpretation of measurements of , does not spoil energy conservation. As already mentioned, the same operator is postulated to define probabilities in the context of -symmetric quantum mechanics [21,22,23,24,25,28,29,30].
The same holds for any conserved observable : if one can find a common basis where and are simultaneously diagonal, such that the associated ghost parities coincide, . The sum of two commuting observables and is interpreted additively. In conclusion, the interpretation suggested by repeated states respects conservation laws.
The situation becomes more interesting when interpreting observables that are not conserved, . Then the ghost operators associated to and
are not equivalent under rotations that conserve the indefinite norm (altought they would be equivalent under rotations that conserve a positive norm, where and is the number of positive-norm and negative-norm eigenstates). This mismatch gives novel physical effects. Time evolution is unitary in the indefinite norm; adding a factor in the interpretation implies an extra non-conservation that only affects those observables which were already non conserved. In Section 4.1 we discuss a simple example: A number operator in a ‘flavour’ basis where the Hamiltonian is non diagonal. In the language of -symmetric Hamiltonians, this situation corresponds to setups where .
3.2. Observables That Don’t Commute with Any Ghost Operator
We next study observability of self-adjoint operators that, like and , posses some eigenvectors along the ‘null cone’ of states with vanishing norm. The identity
implies that zero norm eigenvectors with and form pairs with complex conjugated eigenvalues, : In agreement with Bohr complementarity there is one real parameter per state.
For simplicity, let us consider a two-state system. The norm, written in terms of the two eigenvectors of , is
Both the norm and are invariant under the transformation , . The complex parameter performs a U(1,1) boost transformation, which acts diagonally on ‘null cone’ states , as can be verified by expressing them in terms of orthogonal states with norm
This means that an operator with eigenvectors along the null-cone commutes with U(1,1) rotations and thereby does not define a basis. So the physical interpretation of a null-cone operator is analogous to the interpretation of the unit operator in positive-norm quantum mechanics (where the unit operator is the only operator that commutes with U(2) rotations and that thereby does not define a basis): is a blind operator. A generic state
can be rotated to any arbitrary vector (for example to or to , depending on its norm) without affecting the observable associated to by using the free projective parameter and the free boost parameter . Thereby there is no observable associated to .
Indeed, the results of Section 2 do not extend to operators with eigenvectors along the null-cone, for the following reasons. The freedom to rotate is inherited by its repeated states , which fail to converge towards a well defined state. Furthermore, it is not possible to associate a ghost operator to : The equation has no solutions. To verify this, let us try to define a ghost operator using the arbitrary basis of Equation (22):
Both and the associated positive norm depend on the arbitrary parameter . Furthermore, the tentative ghost operators do not commute with (unless is the unit operator, namely if are real: This will be discussed in Section 3.3).
In the special case where is the Hamiltonian, writing the pair of conjugated eigenvalues as one can decompose where is the generator of U(1,1) boosts. Thereby contains factors that boost the kets, leaving physics unaffected.
3.3. Observables that Commute with Many Ghost Operators
Let us focus on the operator . In the Pauli-Dirac representation
the eigenvectors of have zero Pauli-Dirac inner product and purely imaginary eigenvalues , given that x is real. For each the eigenvectors form a pair of zero norm states, and . Their linear combinations
have diagonal inner product provided that . Then the transformation is a local U(1,1) rotation at each value of x which leaves the norm invariant. The states are not eigenstates of , so the ghost operators
do not commute with . This is the situation discussed in the previous section.
Nevertheless one can try to observe pairs of eigenvectors of , which is equivalent to observing . The observable is proportional to the unit operator within each pair, so that commutes with all the ghost operators. The associated positive -norms depend on the arbitrary function : , leading to an ambiguous interpretation. The imaginary part of corresponds to the usual freedom of locally re-phasing the states ; its real part provides extra freedom.
The ambiguity encoded in is eliminated by imposing that the operator performs translations, such that eigenstates at different positions are related by , which fixes , such that gives the positive H-norm. The observable eigenvalue of the repeated operator acting over a repeated state is then . The formalism invites to consider special theories where remains as a gauge redundancy that combines local re-phasing and scale invariance. This requires a complex extension of the vector potential.
4. Examples
We now provide explicit examples of the discussion of Section 3.
4.1. The Indefinite-Norm Two-State System
We start from the simplest non-trivial quantum system, that consists of two energy eigenstates and with norm and , such that time evolution is
We assume that it is possible to measure a ‘flavour’ observable with eigenstates
The most generic U(1,1) rotation is parameterized by two complex numbers subject to . Without loss of physical generality we can rephase making real, obtaining the second form in terms of one real boost parameter .
Assuming the initial state , we compute the ‘oscillation’ rate to the state at time t. Standard manipulations give Similar equations found in studies of -symmetric hamiltonians [21,22,23,24,25,26,27]; however their physical goal and meaning is not clear, or at least different for different authors. Some authors view -Hamiltonians as ordinary quantum mechanics written in a basis that seems to give different effects, and interpret non-standard results such as [32,33,34] as the effects of some ‘apparatus’ that switches on some interaction that changes the basis of eigenstates. Given that all SM particles obey standard quantum mechanics, we don’t know how this is possible. Our motivation is the possibility that new physical particles with negative norm might exist. In particular, 4-derivative gravity predicts a massive spin-2 ghost, which might make sense if quantised with positive energy and indefinite norm. Another possible physical application is neutrino oscillations into a speculative new sterile state with negative norm.
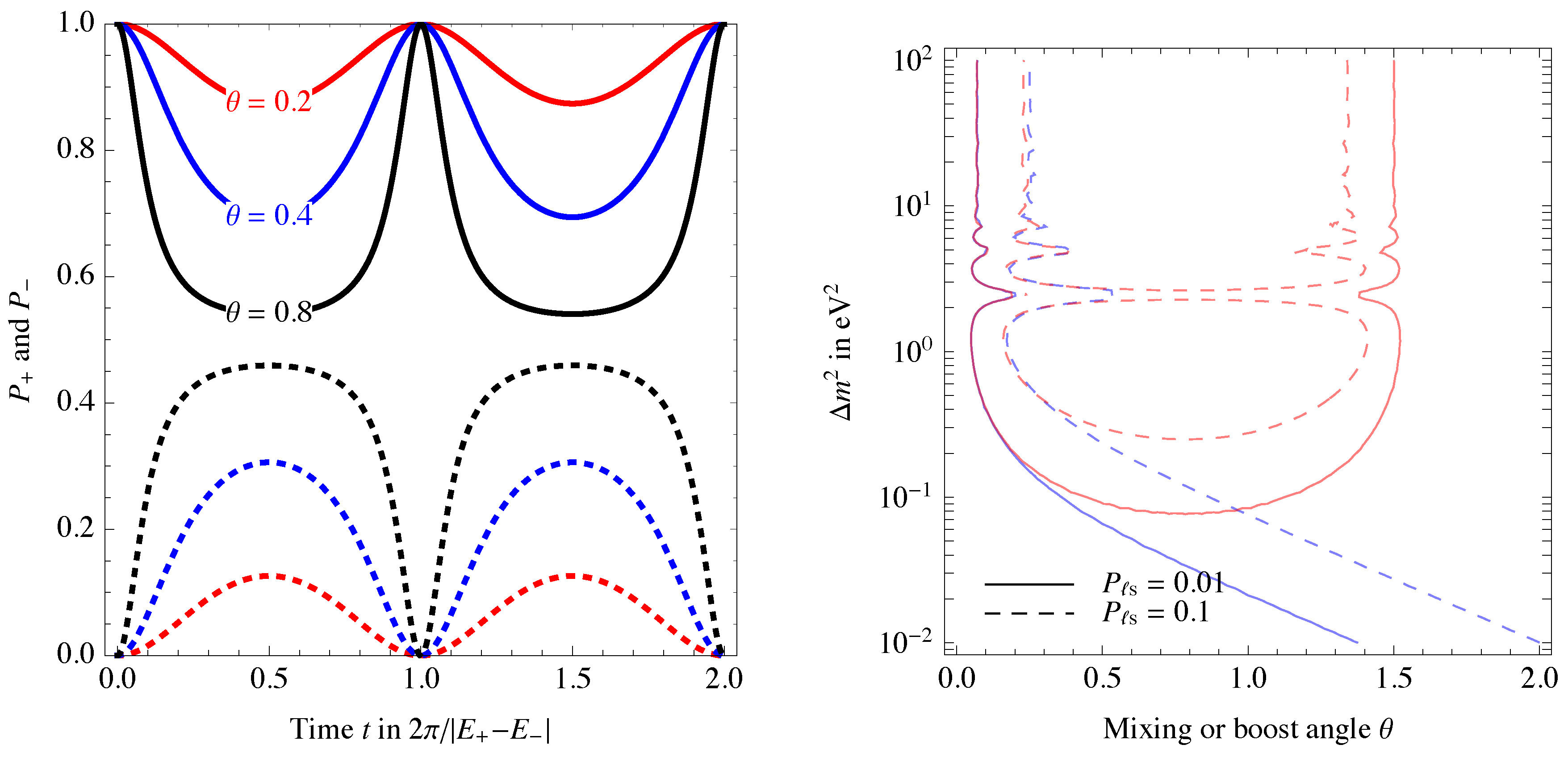
The non-standard shape of the indefinite-norm oscillation rates is plotted in Figure 2; its time average is . The bound holds also in the case where one negative-norm state interacts with an arbitrary number of positive-norm states, given that the indefinite norm is conserved by time evolution, with implications for stability of the lightest negative-norm particle.
Figure 2.
Left: Values of (continuous curves) and of (dotted curves), starting from the state at . Right: Contours with active-to-sterile neutrino oscillation probability equal to 0.01 (continuous), 0.1 (dashed) for normal oscillations (red) and for oscillations into negative-norm sterile neutrino (blue). We assumed .
Considering neutrino oscillations into a speculative new sterile state with negative norm, the oscillation probabilities of Equation (31) have the same physical meaning as the usual neutrino oscillation probabilities. A qualitatively new feature is oscillations with , such that sizeable transition probabilities can arise even at small values of the oscillation phase, see Figure 2, right panel.
As a possible physical application, we recall that the ‘’ scheme (3 active neutrinos plus a sterile neutrino, all with positive norm) cannot fit the LSND and MiniBoone anomaly [35] because and disappearance experiments imply too strong bounds [36]. It is interesting to check the viability of a ‘’ scheme (three active neutrinos plus a negative-norm sterile neutrino), given the difference in the oscillation formula. Writing the most splitted neutrino mass eigenstate as
all other elements of the neutrino mixing matrix follow from unitarity, and the relevant oscillation probabilities are
where is the usual oscillation factor. and are obtained by permutations; notice that . For small ‘angles’ the oscillation probability reduces to the one of 3 + 1 oscillations. We verified that the scheme has problems analogous to the scheme in fitting the anomaly.
4.2. The Indefinite-Norm Free Harmonic Oscillator
A 4-derivative oscillator can be decomposed as two modes: One with positive classical Hamiltonian, and one ‘ghost’ with negative classical Hamiltonian (see e.g., [15]). As a second example, we focus on the ‘ghost’ and quantise it using the Dirac-Pauli representation for and discussed in the introduction. The combination of the unusual factors leads to the same Schroedinger equation as for the positive harmonic oscillator. The energy eigenvalues are as usual for integer . The eigenstates have the usual bounded wave-functions. The difference is that are self-adjoint with respect to the indefinite norm of Equation (26), which is negative on anti-symmetric wave-functions, leading to .
The same result can be re-obtained rewriting the Hamiltonian as where , and † denotes self-adjoint with respect to the indefinite norm implied by and . In our notation the standard positive-norm quantization would correspond to the alternative vacuum (usually described, in standard notation, by swapping and ). The classical limit of the positive-norm quantum theory [37,38,39,40,41,42] respects thecorrespondence principle, being a potentially problematic negative-energy theory [4,5,6,7,8,9,10,11,12]. This gives as eigenstate of with positive eigenvalue and norm . Wave-functions are normalizable, solving one issue raised in [42]. This exemplifies how dynamics determines an indefinite norm.
The ghost operator associated to is parity, in Quantum Field Theory it becomes parity in field space, which flips , so that . In view of the half-integer values of , wave functions flip sign in one period, and the H ghost operator can be written as where is the evolution operator, and corresponds to a half-period.
We next add interactions, e.g., a potential . Interactions that respect parity (even powers of ) do not affect the ghost operator and can be treated along the lines of [31]. In Quantum Field Theory this correspond to negative-norm particles that only couple in pairs. This assumption does not apply to 4-derivative gravity (see Section 4.3).
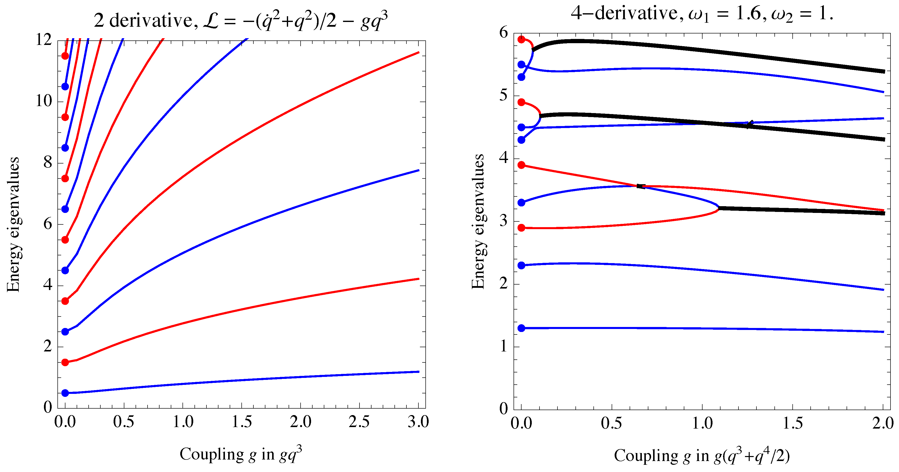
If instead V breaks parity, the ghost operator is no longer parity. The special case of a linear term is analytically solved by a shift in q, such that becomes shifted parity. In the left panel of Figure 3 we show the energy eigenvalues obtained adding a interaction. For small g the eigenvalues can be computed perturbatively starting from the basis of the free oscillator. For large g we use the Pauli-Dirac coordinate representation discretised on a space lattice. Energy eigenstates remain away from the ‘null cone’: Like for the harmonic oscillator, all eigenstates of have either positive or negative norm and there are no null kets.
Figure 3.
Values of the energy eigenstates with positive norm (blue), negative norm (red) and pairs of zero norm (black thick) for a 2-derivative oscillator in the presence of an interaction (left) and for a 4-derivative oscillator in the presence of an interaction (right).
4.3. The 4-Derivative Oscillator
We next consider an interacting 4-derivative variable with Lagrangian
It can be decomposed into two interacting 2-derivative modes modes and . In the free limit () it is more convenient to use the alternative canonical variables defined by
Indeed, are two 2-derivative decoupled harmonic oscillators with frequencies and signs ± of their classical energies. In the presence of the couplings, the two modes interact such that classical solutions exhibit sick run-away behaviours. Some higher derivative theories avoid run-away solutions, for a range of initial conditions [43].
We now study the quantum theory. As described in the introduction, time-reflection demands using the Schroedinger coordinate representation for and the Pauli-Dirac coordinate representation for . We discretise the Hamiltonian on a lattice in and compute its eigenvalues and eigenvectors. The energy eigenvalues are shown in the right panel of Figure 3 as function of g assuming the indicated values of and . The corresponding wave-functions of are normalizable. In the presence of interactions, some energy eigenstates form zero-norm states.
As discussed in the introduction, a 4-derivative variable is a useful toy model for a 4-derivative graviton field : mimics massless graviton modes with frequency , where p is the spatial momentum; mimics massive graviton ghost modes with . The graviton has a linear coupling to the energy-momentum tensor of matter fields. We mimic it adding a coupling , where is some function of ‘matter variables’ .
When computing virtual q exchange between matter states, the sum over reproduces the 4-derivative propagator
This result can also be obtained from 2nd order perturbation theory applied to a toy 3-state system: , that couples to , with free energies , and respectively. The cancellation in Equation (36) implies renormalizable gravitational cross sections at large energy . The fact that external scattering states have positive norm bypasses the issue of interpreting negative-norm states [44,45].
We can now address this issue. Matter couples in the same way to the two graviton components, so the observable that discriminates from is their different invariant mass. Energy eigenstates are affected by interactions with matter states. Their effects can be encoded in an effective Hamiltonian restricted to the system. In Wigner-Weisskopf approximation takes the time-independent form , where and are self-adjoint. Since matter couples to , all matrix elements of are equal at large energies , where we can neglect the mass difference between and . The term alone is the critical Hamiltonian with degenerate eigenvectors that appears when eigenstates with norm become degenerate, forming a null-norm pair [15]. Diagonalising the full at different virtual energies E gives graviton eigenstates with norm ± that, at energies above M, asymptotically rotate towards the null-cone, as . In our interpretation, this rotation implies a suppression of graviton couplings to matter.
Measurements on states that entangle positive with negative norm (for example produced in or processes) seem to allow to transmit information at space-like distances [32,33,34], and for related phenomena [26]. This is not possible in ordinary quantum mechanics, where this feature follows from locality and relativity [46]. This issue will thereby be better addressed in relativistic quantum field theories with indefinite norms: Is it possible to define covariant ghost operators that commute with field observables at space-like distances?
5. Conclusions
In Section 2 we discussed how the deterministic part of the Born postulate (“when an observable corresponding to a self-adjoint operator is measured in an eigenstate , the result is the eigenvalue ”) allows to deduce the full Born postulate, that gives a probabilistic interpretation of generic states . As illustrated in Figure 1, repeated states become, for large n, eigenstates of : The observable that measures the average of over n repeated experiments. The deterministic part of the Born postulate then predicts the outcome of the average, reproducing the usual result in terms of frequentist probability. The limit is defined in two different ways (norm convergence and coefficient convergence), which give the same result. The rigid mathematics of quantum theory forces its interpretation.
Dirac and Pauli have shown that a pair of self-adjoint canonical operators and admits, beyond the usual Schroedinger coordinate representation, a different representation that leads to an indefinite norm. In Section 3 we used repeated states and measurements to search for an interpretation of quantum mechanics with indefinite quantum norm. The two different limiting criteria that can decide whether becomes an eigenvector of in the limit are no longer equivalent. The first criterium, norm convergence, does not lead to a probabilistic interpretation and does not imply coefficient convergence, given that the norm is indefinite. The second criterium, coefficient convergence, implies a successful probabilistic interpretation for a class of self-adjoint operators A.
The intuitive result following from repeated states and measurements is formalised in a way similar to -symmetric Hamiltonians [21,22,23,24,25,26,28,29,30,31]. We define a ‘ghost operator’ as a linear operator that acts as on a basis of states , where is the sign of . This allows to define an artificial positive norm as ; however both and its associated positive norm are basis-dependent.
We try to associate to any observable a ghost operator such that
Three different situations are encountered:
- (1)
- If Equation (37) has a unique solution, allows to define a positive norm and a probabilistic interpretation of , which agrees with the interpretation suggested by repeated measurements. As discussed in Section 2, the solution is unique when the eigenvectors of define a unique basis: The eigenvectors must lie away from the null-cone of configuration space, and the eigenvalues must be non-degenerate.
The ghost operator contains one bit of information preserved by time evolution (the sign of the norm of ) and reduces to the unity operator when the norm is positive. In general, the ghost operator is observable-dependent, giving rise to unusual effects for observables that do not commute with , such as an unusual oscillation probability of positive-norm states into negative-norm states, as discussed in Section 4.1 and Figure 2. One possible physical application is neutrino oscillations into a speculative sterile neutrino with negative norm.
- (2)
- If no ghost operator commutes with , we cannot associate any positive norm to and no interpretation. In Section 3.2 we show that this happens for operators with pairs of eigenvectors along the null-cone of configuration space. In such a case commutes with norm-preserving U(1,1) ‘boosts’ in the 2-dimensional subspace, given that ‘boosts’ act multiplicatively along the null-cone. Thereby such operators fail to define a basis in configuration space. In more physical terms, they correspond to measurement apparata that cannot split states into events. This is the case of the position operator in Pauli-Dirac coordinate representation.
- (3)
- If Equation (37) has multiple solutions, the interpretation of is ambiguous. This is the case of degenerate operators, which have the same eigenvalue for a positive-norm state and a negative-norm state . This describes measurements that do not discriminate from , as they manifest as the same macroscopic state. As discussed in Section 3.3, the Dirac-Pauli operator belongs to this category: it does not discriminate from . In such a case the ambiguity is removed by imposing that acts as translations, dictating the interpretation of .
The relation between and is reminiscent of fermions fields , which are not observable unlike bilinears. In particular, the free harmonic oscillator with Dirac-Pauli coordinate representation can be exactly solved: Eigenstates have norm and parity , such that the ghost operator associated with the Hamiltonian is parity: and anti-commute with . The eigenvalues are with integer , such that wave-functions flip sign in a period. The classical limit of a indefinite-norm harmonic oscillator can be explored through coherent states, but we have not extracted a general lesson from this simple system. Interactions are considered numerically in Section 4.2.
In Section 4.3 we studied an interacting 4-derivative variable . This toy model will allow to address dimension-less renormalizable theories of quantum gravity where 4-derivatives act on the graviton, which give an extra heavy graviton as the only negative-norm particle.
Funding
This work was supported by the ERC grant 669668 NEO-NAT.
Acknowledgments
A.S. thanks Nima Arkani-Hamed, Kenichi Konishi, Alberto Salvio and Riccardo Torre for useful discussions.
Conflicts of Interest
The author declares no conflict of interest.
References
- Stelle, K.S. Renormalization of Higher Derivative Quantum Gravity. Phys. Rev. D 1977, 16, 953–969. [Google Scholar] [CrossRef]
- Salvio, A.; Strumia, A. Agravity. J. High Energy Phys. 2014, 1406, 80. [Google Scholar] [CrossRef]
- Salvio, A.; Strumia, A. Agravity up to infinite energy. Eur. Phys. J. C 2018, 78, 124. [Google Scholar] [CrossRef]
- Ostrogradski, M. Mémoire sur les équations différentielles relatives au problème des isopérimètres. Mem. Acad. St. Petersbourg VI 1850, 4, 385–517. [Google Scholar]
- Pais, A.; Uhlenbeck, G.E. On Field theories with nonlocalized action. Phys. Rev. 1950, 79, 145–165. [Google Scholar] [CrossRef]
- Pagani, E.; Tecchiolli, G.; Zerbini, S. On the Problem of Stability for Higher Order Derivatives: Lagrangian Systems. Lett. Math. Phys. 1987, 14, 311–319. [Google Scholar] [CrossRef]
- Smilga, A.V. Ghost-free higher-derivative theory. Phys. Lett. B 2005, 632, 433–438. [Google Scholar] [CrossRef]
- Stephen, N.G. On the Ostrogradski instability for higher-order derivative theories and a pseudo-mechanical energy. J. Sound Vib. 2008, 310, 729–739. [Google Scholar] [CrossRef]
- Smilga, A.V. Comments on the dynamics of the Pais-Uhlenbeck oscillator. SIGMA 2008, 5, 017. [Google Scholar] [CrossRef]
- Ilhan, I.B.; Kovner, A. Some Comments on Ghosts and Unitarity: The Pais-Uhlenbeck Oscillator Revisited. Phys. Rev. D 2013, 88, 044045. [Google Scholar] [CrossRef]
- Pavšič, M. Stable Self-Interacting Pais-Uhlenbeck Oscillator. Mod. Phys. Lett. A 2013, 28, 1350165. [Google Scholar] [CrossRef]
- Peter, P.; Salles, F.D.O.; Shapiro, I.L. On the ghost-induced instability on de Sitter background. Phys. Rev. D 2018, 97, 064044. [Google Scholar] [CrossRef]
- Dirac, P.A.M. The Physical Interpretation of Quantum Mechanics. Bakerian Lecture. 1942. Available online: http://rspa.royalsocietypublishing.org/content/180/980/1 (accessed on 5 December 2018).
- Pauli, W. On Dirac’s New Method of Field Quantization. Rev. Mod. Phys. 1943, 15, 175–207. [Google Scholar] [CrossRef]
- Salvio, A.; Strumia, A. Quantum mechanics of 4-derivative theories. Eur. Phys. J. C 2016, 76, 227. [Google Scholar] [CrossRef] [PubMed]
- Everett, H. Relative state formulation of quantum mechanics. Rev. Mod. Phys. 1957, 29, 454–462. [Google Scholar] [CrossRef]
- Hartle, J.B. Quantum mechanics of individual systems. Am. J. Phys. 1968, 36, 704–712. [Google Scholar] [CrossRef]
- Farhi, E.; Goldstone, J.; Gutmann, S. How probability arises in quantum mechanics. Ann. Phys. 1989, 192, 368–382. [Google Scholar] [CrossRef]
- Squires, E.J. On an alleged ‘proof’ of the quantum probability law. Phys. Lett. A 1990, 145, 67–68. [Google Scholar] [CrossRef]
- Arkani-Hamed, N. Fundamental Physics, Cosmology and the Landscape. TASI Lecture. 2007. Available online: https://physicslearning.colorado.edu/tasi/tasi_2007/tasi_2007.htm (accessed on 5 December 2018).
- Bender, C.M.; Brody, D.C.; Jones, H.F. Complex extension of quantum mechanics. Phys. Rev. Lett. 2002, 89, 270401. [Google Scholar] [CrossRef]
- Bender, C.M. Making sense of non-Hermitian Hamiltonians. Rept. Prog. Phys. 2007, 70, 947. [Google Scholar] [CrossRef]
- Bender, C.M.; Mannheim, P.D. No-ghost theorem for the fourth-order derivative Pais-Uhlenbeck oscillator model. Phys. Rev. Lett. 2007, 100, 110402. [Google Scholar] [CrossRef] [PubMed]
- Bender, C.M.; Mannheim, P.D. Exactly solvable PT-symmetric Hamiltonian having no Hermitian counterpart. Phys. Rev. D 2008, 78, 025022. [Google Scholar] [CrossRef]
- Japaridze, G.S. Space of state vectors in PT symmetrical quantum mechanics. J. Phys. A 2001, 35, 1709–1718. [Google Scholar] [CrossRef]
- Bender, C.M.; Brody, D.C.; Jones, H.F.; Meister, B.K. Faster than Hermitian quantum mechanics. Phys. Rev. Lett. 2006, 98, 040403. [Google Scholar] [CrossRef] [PubMed]
- Gunther, U.; Samsonov, B.F. Non-unitary operator equivalence classes, the PT-symmetric brachistochrone problem and Lorentz boosts. Phys. Rev. A 2007, 78, 042115. [Google Scholar] [CrossRef]
- Mostafazadeh, A. Exact PT symmetry is equivalent to Hermiticity. J. Phys. A 2003, 36, 7081–7092. [Google Scholar] [CrossRef]
- Mostafazadeh, A. Pseudo-Hermitian Representation of Quantum Mechanics. Int. J. Geom. Meth. Mod. Phys. 2008, 7, 1191–1306. [Google Scholar] [CrossRef]
- Mostafazadeh, A. Conceptual Aspects of PT-Symmetry and Pseudo-Hermiticity: A status report. Phys. Scr. 2010, 82, 038110. [Google Scholar] [CrossRef]
- Raidal, M.; Veermäe, H. On the Quantisation of Complex Higher Derivative Theories and Avoiding the Ostrogradsky Ghost. Nucl. Phys. B 2017, 916, 607–626. [Google Scholar] [CrossRef]
- Lee, Y.-C.; Hsieh, M.-H.; Flammia, S.T.; Lee, R.-K. Local PT symmetry violates the no-signaling principle. Phys. Rev. Lett. 2014, 112, 130404. [Google Scholar] [CrossRef]
- Croke, S. PT-symmetric Hamiltonians and their application to quantum information. Phys. Rev. A 2015, 91, 052113. [Google Scholar] [CrossRef]
- Japaridze, G.; Pokhrel, D.; Wang, X.-Q. No-signaling principle and Bell inequality in PT-symmetric quantum mechanics. J. Phys. A 2017, 50, 185301. [Google Scholar] [CrossRef]
- Aguilar-Arevalo, A.A.; Brown, B.C.; Bugel, L.; Cheng, G.; Conrad, J.M.; Cooper, R.L.; Dharmapalan, L.; Diaz, A.; Djurcic, Z.; Finley, D.A.; et al. Significant Excess of Electron-Like Events in the MiniBooNE Short-Baseline Neutrino Experiment. Phys. Rev. Lett. 2018, 121, 221801. [Google Scholar] [CrossRef]
- Dentler, M.; Hernández-Cabezudo, A.; Kopp, J.; Machado, P.; Maltoni, M.; Martinez-Soler, I.; Schwetz, T. Updated Global Analysis of Neutrino Oscillations in the Presence of eV-Scale Sterile Neutrinos. arXiv, 2018; arXiv:1803.10661. [Google Scholar]
- Kim, Y.S.; Noz, M.E. Covariant Harmonic Oscillators and the Quark Model; Springer: Dordrecht, The Netherlands, 1988; pp. 255–264. [Google Scholar]
- Cangemi, D.; Jackiw, R.; Zwiebach, B. Physical states in matter coupled dilaton gravity. Ann. Phys. 1995, 245, 408–444. [Google Scholar] [CrossRef]
- Benedict, E.; Jackiw, R.; Lee, H.J. Functional Schrodinger and BRST quantization of (1+1)-dimensional gravity. Phys. Rev. D 1996, 54, 6213–6225. [Google Scholar] [CrossRef]
- Pavšič, M. PseudoEuclidean signature harmonic oscillator, quantum field theory and vanishing cosmological constant. Phys. Lett. A 1998, 254, 119–125. [Google Scholar]
- Pavšič, M. Quantum Field Theories in Spaces with Neutral Signatures. J. Phys. Conf. Ser. 2012, 437, 012006. [Google Scholar] [CrossRef]
- Woodard, R.P. Avoiding dark energy with 1/r modifications of gravity. Lect. Notes Phys. 2006, 720, 403–433. [Google Scholar]
- Pavšič, M. Pais-Uhlenbeck oscillator and negative energies. Int. J. Geom. Meth. Mod. Phys. 2016, 13, 1630015. [Google Scholar] [CrossRef]
- Lee, T.D.; Wick, G.C. Negative Metric and the Unitarity of the S Matrix. Nucl. Phys. B 1969, 9, 209–243. [Google Scholar] [CrossRef]
- Anselmi, D.; Piva, M. Perturbative unitarity of Lee-Wick quantum field theory. Phys. Rev. D 2017, 96, 045009. [Google Scholar] [CrossRef]
- Peres, A.; Terno, D.R. Quantum information and relativity theory. Rev. Mod. Phys. 2002, 76, 93–123. [Google Scholar] [CrossRef]
© 2018 by the author. Licensee MDPI, Basel, Switzerland. This article is an open access article distributed under the terms and conditions of the Creative Commons Attribution (CC BY) license (http://creativecommons.org/licenses/by/4.0/).


