Influence of the Magnetic Field Topology in the Evolution of Small-Scale Two-Fluid Jets in the Solar Atmosphere
Abstract
1. Introduction
2. Model and Methods
2.1. The System of Two-Fluid Equations
2.2. Model of the Solar Atmosphere
2.3. Magnetic Field Configurations
2.4. Perturbations
2.5. Numerical Methods
3. Results of the Numerical Simulations
3.1. Uniform Magnetic Field
3.2. Flux Tube-Type Configuration
4. Discussion
4.1. Maximum Height of the Jets
4.2. Temperature of the Jets
4.3. Collisions between Ions and Neutrals
5. Conclusions
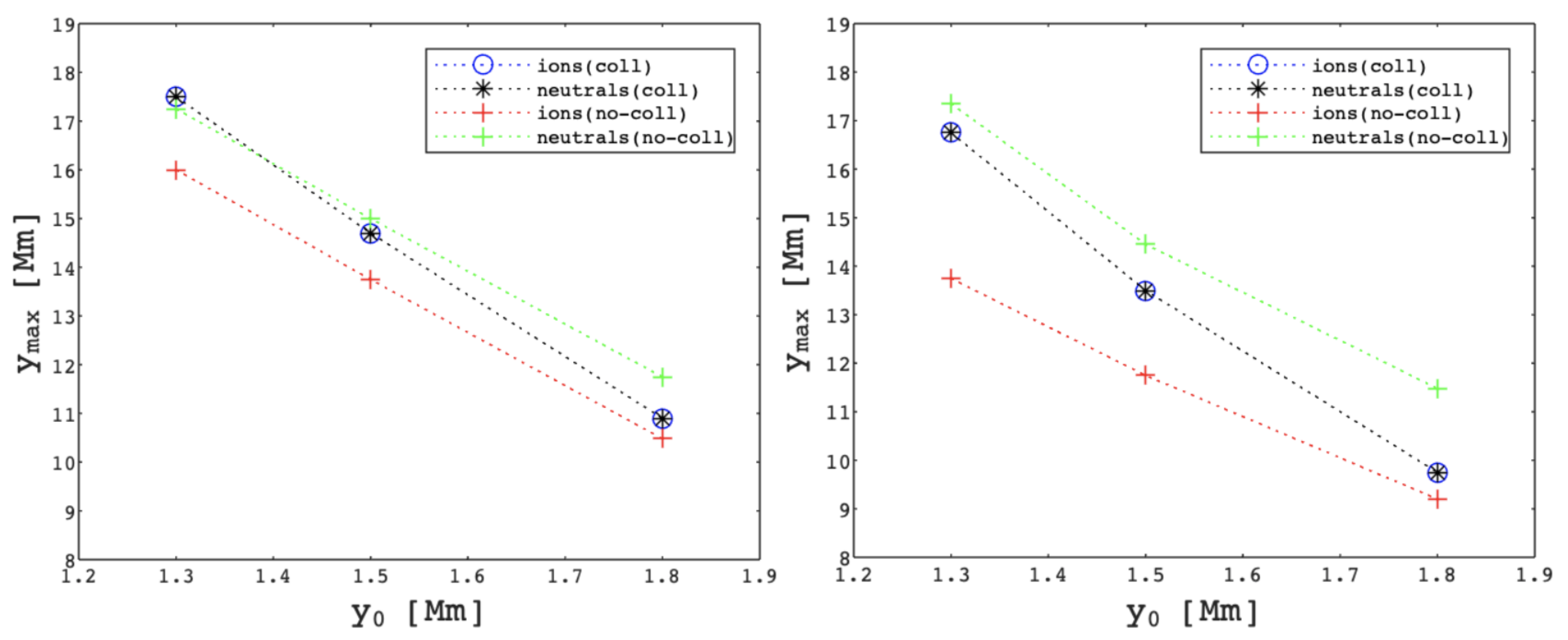
- The Jets1,2,3 generated within the uniform magnetic field (Section 3.1) with km/s showed a relationship in their maximum heights as follows, , and the same was seen for the case with the flux tube (Section 3.2). This behavior had already been reported in Ref. [30], a velocity pulse with km/s was used. One observes such a behaviour because the jets that arise from zones closer to the photosphere have a more significant amount of plasma that can be dragged by the pulse that perturbs the hydrostatic equilibrium. In this collective behaviour of the plasma and under the solar conditions that were taken into account here, it was not possible to observe any hint of what was predicted by the theory in Section 3.2. It is important to emphasize that the jets generated in the uniform magnetic field, reached a higher height, with a Mm, concerning their counterparts in the flux tube. This result reveals a kind of braking due to the constriction of the magnetic lines in Mm. Jet1 reached heights that have been reported for macrospicules [14], while Jet2 and Jet3 reached heights typical of Type I and Type II spicules [13], respectively. The three jets do not show similarities with surges since they are greater, less frequent, and more explosive than spicules. However, this requires a broader study to be able to determine if the , at which these jets are generated can be a crucial factor in categorizing the spicules reported in Refs. [13,55,56], or if the nature of these jets creation, such as magnetic reconnection or another phenomenon, is the one that best categorizes the jets within the family of spicules already described with current observations.
- The characteristic times of collision between particles were ms, for the core and peripheries of the jet, respectively, which guaranteed from the coupling between ions and neutrals during the entire lifetime of the jets ( s), such that a joint dynamic between the fluids is observed.
- The velocity drifts between particles were measured at the tips of the jets when they reached their maximum heights, being negligible (0–4.72 km/s for any heat contribution that the friction between fluids could add to the coronal region. The filamentary regions above the jets with temperatures K were generated by the shock wave that propagated towards the corona with velocities km/s. The temperature of the peripheries of the jets exceeded K, arising entirely from friction due to the collisional interaction between the coronal plasma and the jet particles.
Author Contributions
Funding
Data Availability Statement
Acknowledgments
Conflicts of Interest
References
- Raouafi, N.E.; Patsourakos, S.; Pariat, E.; Young, P.R.; Sterling, A.C.; Savcheva, A.; Shimojo, M.; Moreno-Insertis, F.; DeVore, C.R.; Archontis, V.; et al. Solar coronal jets: Observations, theory, and modeling. Space Sci. Rev. 2016, 201, 1–53. [Google Scholar] [CrossRef] [PubMed]
- Shen, Y. Observation and modelling of solar jets. Proc. R. Soc. Lond. A Math. Phys. Engin. Sci. 2021, 477, 20200217. [Google Scholar] [CrossRef]
- Isobe, H.; Miyagoshi, T.; Shibata, K.; Yokoyama, T. Three-dimensional simulation of solar emerging flux using the Earth Simulator I. Magnetic Rayleigh-Taylor instability at the top of the emerging flux as the origin of filamentary structure. Publ. Astron. Soc. Jpn. 2006, 58, 423–438. [Google Scholar] [CrossRef]
- Pariat, E.; Antiochos, S.K.; DeVore, C.R. A model for solar polar jets. Astrophys. J. 2009, 691, 61–74. [Google Scholar] [CrossRef]
- Archontis, V.; Tsinganos, K.; Gontikakis, C. Recurrent solar jets in active regions. Astron. Astrophys. 2010, 512, L2. [Google Scholar] [CrossRef]
- Jiang, R.L.; Fang, C.; Chen, P.-F. Numerical simulation of solar microflares in a canopy-type magnetic configuration. Astrophys. J. 2012, 751, 152. [Google Scholar] [CrossRef]
- Leake, J.E.; Linton, M.G. Effect of ion–neutral collisions in simulations of emerging active regions. Astrophys. J. 2013, 764, 54. [Google Scholar] [CrossRef]
- Soler, R.; Carbonell, M.; Ballester, J.L. Magnetoacoustic waves in a partially ionized two-fluid plasma. Astrophys. J. Suppl. Ser. 2013, 209, 16. [Google Scholar] [CrossRef]
- Wójcik, D.; Murawski, K.; Musielak, Z.E. Acoustic waves in two-fluid solar atmosphere model: Cut-off periods, chromospheric cavity, and wave tunnelling. Mon. Not. R. Astron. Soc. 2018, 481, 262–267. [Google Scholar] [CrossRef]
- Beckers, J.M. Solar spicules. Sol. Phys. 1968, 3, 367–433. [Google Scholar] [CrossRef]
- De Pontieu, B.; McIntosh, S.W.; Hansteen, V.H.; Schrijver, C.J. Observing the roots of solar coronal heating—In the chromosphere. Astrophys. J. 2009, 701, L1–L6. [Google Scholar] [CrossRef]
- Lippincott, S.L. Chromospheric Spicules. Smithson. Contrib. Astrophys. 1957, 2, 15–23. [Google Scholar] [CrossRef]
- De Pontieu, B.; McIntosh, S.; Hansteen, V.H.; Carlsson, M.; Schrijver, C.J.; Tarbell, T.D.; Title, A.M.; Shine, R.A.; Suematsu, Y.; Tsuneta, S.; et al. A Tale of two spicules: The impact of spicules on the magnetic chromosphere. Pub. Astron. Soc. Jpn. 2007, 59, S655–S662. [Google Scholar] [CrossRef]
- Loboda, I.P.; Bogachev, S.A. What is a macrospicule? Astrophys. J. 2019, 871, 230. [Google Scholar] [CrossRef]
- Secchi, A. Le Soleil; Imprimerie de Gauthier-Villars: Paris, France, 1875; Available online: https://books.google.co.zm/books?id=V-gRAAAAYAAJ (accessed on 27 January 2023).
- Roberts, W.O. A preliminary report on chromospheric spicules of extremely short lifetime. Astrophys. J. 1945, 101, 136–140. [Google Scholar] [CrossRef]
- Lynch, D.K.; Beckers, J.; Dunn, R. A morphological study of solar spicules. Sol. Phys. 1973, 30, 63–70. [Google Scholar] [CrossRef]
- Bray, R.J.; Loughhead, R.E. The Solar Chromosphere; Chapman and Hall: London, UK, 1974. [Google Scholar]
- Pereira, T.M.D.; De Pontieu, B.; Carlsson, M. Quantifying spicules. Astrophys. J. 2012, 759, 18. [Google Scholar] [CrossRef]
- Isobe, H.; Proctor, M.R.E.; Weiss, N.O. Convection-driven emergence of small-scale magnetic fields and their role in coronal heating and solar wind acceleration. Astrophys. J. 2008, 679, L57–L60. [Google Scholar] [CrossRef]
- González-Avilés, J.J.; Guzmán, F.S.; Fedun, V. JET formation in solar atmosphere due to magnetic reconnection. Astrophys. J. 2017, 836, 24. [Google Scholar] [CrossRef]
- González-Avilés, J.J.; Guzmán, F.S.; Fedun, V.; Verth, G.; Shelyag, S.; Regnier, S. I. Jet formation and evolution due to 3D magnetic reconnection. Astrophys. J. 2018, 856, 176. [Google Scholar] [CrossRef]
- Murawski, K.; Srivastava, A.K.; Zaqarashvili, T.V. Numerical simulations of solar macrospicules. Astron. Astrophys. 2011, 535, A58. [Google Scholar] [CrossRef]
- González-Avilés, J.J.; Murawski, K.; Srivastava, A.K.; Zaqarashvili, T.V.; González-Esparza, J.A. Numerical simulations of macrospicule jets under energy imbalance conditions in the solar atmosphere. Mon. Not. R. Astron. Soc. 2021, 505, 50–64. [Google Scholar] [CrossRef]
- Nóbrega-Siverio, D.; Martíez-Sykora, J.; Moreno-Insertis, F.; van der Voort, L.R. Surges and Si IV bursts in the solar atmosphere: Understanding IRIS and SST observations through RMHD experiments. Astrophys. J. 2017, 850, 153. [Google Scholar] [CrossRef]
- Nelson, C.J.; Doyle, J.G. Excitation of an outflow from the lower solar atmosphere and a co-temporal EUV transient brightening. Astron. Astrophys. 2013, 560, A31. [Google Scholar] [CrossRef]
- Yang, H.; Chae, J.; Lim, E.-K.; Lee, K.-S.; Park, H.; Song, D.-U.; Cho, K. Magnetic-reconnection generated shock waves as a driver of solar surges. Astrophys. J. Lett. 2014, 790, L4. [Google Scholar] [CrossRef]
- Zhelyazkov, I.; Zaqarashvili, T.V.; Chandra, R.; Srivastava, A.K.; Mishonov, T. Kelvin–Helmholtz instability in solar cool surges. Adv. Space Res. 2015, 56, 2727–2737. [Google Scholar] [CrossRef]
- Ballester, J.L.; Alexeev, I.; Collados, M.; Downes, T.; Pfaff, R.F.; Gilbert, H.; Khodachenko, M.; Khomenko, E.; Shaikhislamov, I.F.; Soler, R.; et al. Partially ionized plasmas in astrophysics. Space Sci. Rev. 2018, 214, 58. [Google Scholar] [CrossRef]
- Kuźma, B.; Murawski, K.; Kayshap, P.; Wójccik, D.; Srivastava, A.K.; Dwivedi, B.N. Two-fluid numerical simulations of solar spicules. Astrophys. J. 2017, 849, 78. [Google Scholar] [CrossRef]
- González-Avillés, J.J.; Murawski, K.; Zaqarashvili, T.V. Numerical simulations of a two-fluid jet at a magnetic null point in a solar arcade. Mon. Not. R. Astron. Soc. 2022, 515, 5094–5105. [Google Scholar] [CrossRef]
- Kuźma, B.; Wójcik, D.; Murawski, K. Heating of a quiet region of the solar chromosphere by ion and neutral acoustic waves. Astrophys. J. 2019, 878, 81. [Google Scholar] [CrossRef]
- Wójcik, D.; Kuźma, B.; Murawski, K.; Musielak, Z.E. Wave heating of the solar atmosphere without shocks. Astron. Astrophys. 2020, 635, A28. [Google Scholar] [CrossRef]
- Murawski, K.; Musielak, Z.E.; Wójcik, D. 3D numerical simulations of solar quiet chromosphere wave heating. Astrophys. J. Lett. 2020, 896, L1. [Google Scholar] [CrossRef]
- Wójcik, D.; Kuźma, B.; Murawski, K.; Srivastava, A.K. Two-fluid numerical simulations of the origin of the fast solar wind. Astrophys. J. 2019, 884, 127. [Google Scholar] [CrossRef]
- Smith, P.D.; Sakai, J.I. Chromospheric magnetic reconnection: Two-fluid simulations of coalescing current loops. Astron. Astrophys. 2008, 486, 569–575. [Google Scholar] [CrossRef]
- Oliver, R.; Soler, R.; Terradas, J.; Zaqarashvili, T.V. Dynamics of coronal rain and descending plasma blobs in solar prominences. II. Partially ionized case. Astrophys. J. 2016, 818, 128. [Google Scholar] [CrossRef]
- Avrett, E.H.; Loeser, R. Models of the solar chromosphere and transition region from SUMER and HRTS observations: Formation of the extreme-ultraviolet spectrum of hydrogen, carbon, and oxygen. Astrophys. J. Suppl. Ser. 2008, 175, 229–276. [Google Scholar] [CrossRef]
- Durran, D.R. Numerical Methods for Fluid Dynamics; Springer Science+Business Media, LLC: New York, NY, USA, 2010. [Google Scholar] [CrossRef]
- Miyoshi, T.; Kusano, K. A multi-state HLL approximate Riemann solver for ideal magnetohydrodynamics. J. Comput. Phys. 2005, 208, 315–344. [Google Scholar] [CrossRef]
- Dedner, A.; Kemm, F.; Kröner, D.; Munz, C.D.; Schnitzer, T.; Wesenberg, M. Hyperbolic divergence cleaning for the MHD equations. J. Comput. Phys. 2002, 175, 645–673. [Google Scholar] [CrossRef]
- Braileanu, B.P.; Keppens, R. Two-fluid implementation in MPI-AMRVAC with applications to the solar chromosphere. Astron. Astrophys. 2022, 664, A55. [Google Scholar] [CrossRef]
- Martínez-Sykora, J.; Pontieu, B.D.; Moortel, I.D.; Hansteen, V.H.; Carlsson, M. Impact of Type II spicules in the corona: Simulations and synthetic observables. Astrophys. J. 2018, 860, 116. [Google Scholar] [CrossRef]
- Martínez-Sykora, J.; De Pontieu, B.; Hansteen, V.H.; Rouppe van der Voort, L.; Carlsson, M.; Pereira, T.M.D. On the generation of solar spicules and Alfvénic waves. Science 2017, 356, 1269–1272. [Google Scholar] [CrossRef] [PubMed]
- Konkol, P.; Murawski, K.; Zaqarashvili, T.V. Numerical simulations of magnetoacoustic oscillations in a gravitationally stratified solar corona. Astron. Astrophys. 2012, 537, A96. [Google Scholar] [CrossRef]
- Magyar, N.; Utz, D.; Erdélyi, R.; Nakariakov, V.M. Could switchbacks originate in the lower solar atmosphere? I. Formation mechanisms of switchbacks. Astrophys. J. 2021, 911, 75. [Google Scholar] [CrossRef]
- Jackson, J.D. Classical Electrodynamics; John Wiley & Sons, Inc.: New York, NY, USA, 1975; Available online: https://archive.org/details/ClassicalElectrodynamics2nd (accessed on 27 January 2023).
- Murawski, K.; Zaqarashvili, T.V. Numerical simulations of spicule formation in the solar atmosphere. Astron. Astrophys. 2010, 519, A8. [Google Scholar] [CrossRef]
- Beckers, J.M. Solar spicules. Annu. Rev. Astron. Astrophys. 1972, 10, 73–100. [Google Scholar] [CrossRef]
- Sterling, A.C. Solar spicules: A review of recent models and targets for future observations. Sol. Phys. 2000, 196, 79–111. [Google Scholar] [CrossRef]
- Díaz-Figueroa, E.E.; González-Avilés, J.J.; Ares de Parga, G. Propagation of Type II spicules into the solar corona I. A thermomechanical toy model (Plasma rise phase). J. Phys. Conf. Ser. 2022, 2307, 12063. [Google Scholar] [CrossRef]
- Díaz-Figueroa, E.E.; González-Avilés, J.J.; Ares de Parga, G. Propagation of Type II spicules into the solar corona II. A thermomechanical toy model (Plasma escape and descent phase). J. Phys. Conf. Ser. 2022, 2307, 12064. [Google Scholar] [CrossRef]
- Díaz-Figueroa, E.E.; González-Avilés, J.J.; Ares de Parga, G. Propagation of Type II spicules into the solar corona III. MHD simulation. J. Phys. Conf. Ser. 2022, 2307, 12065. [Google Scholar] [CrossRef]
- Martínez-Sykora, J.; Szydlarski, M.; Hansteen, V.H.; De Pontieu, B. On the velocity drift between ions in the solar atmosphere. Astrophys. J. 2020, 900, 101. [Google Scholar] [CrossRef]
- De Pontieu, B.; Hansteen, V.H.; Rouppe van der Voort, L.; van Noort, M.; Carlsson, M. Observations and simulations of fibrils and mottles. arXiv 2007, arXiv:astro-ph/0702081. [Google Scholar] [CrossRef]
- De Pontieu, B.; Hansteen, V.H.; Rouppe van der Voort, L.; van Noort, M.; Carlsson, M. High-resolution observations and modeling of dynamic fibrils. Astrophys. J. 2007, 655, 624–641. [Google Scholar] [CrossRef]






Disclaimer/Publisher’s Note: The statements, opinions and data contained in all publications are solely those of the individual author(s) and contributor(s) and not of MDPI and/or the editor(s). MDPI and/or the editor(s) disclaim responsibility for any injury to people or property resulting from any ideas, methods, instructions or products referred to in the content. |
© 2023 by the authors. Licensee MDPI, Basel, Switzerland. This article is an open access article distributed under the terms and conditions of the Creative Commons Attribution (CC BY) license (https://creativecommons.org/licenses/by/4.0/).
Share and Cite
Díaz-Figueroa, E.E.; de Parga, G.A.; González-Avilés, J.J. Influence of the Magnetic Field Topology in the Evolution of Small-Scale Two-Fluid Jets in the Solar Atmosphere. Physics 2023, 5, 261-275. https://doi.org/10.3390/physics5010020
Díaz-Figueroa EE, de Parga GA, González-Avilés JJ. Influence of the Magnetic Field Topology in the Evolution of Small-Scale Two-Fluid Jets in the Solar Atmosphere. Physics. 2023; 5(1):261-275. https://doi.org/10.3390/physics5010020
Chicago/Turabian StyleDíaz-Figueroa, Elton Everardo, Gonzalo Ares de Parga, and José Juan González-Avilés. 2023. "Influence of the Magnetic Field Topology in the Evolution of Small-Scale Two-Fluid Jets in the Solar Atmosphere" Physics 5, no. 1: 261-275. https://doi.org/10.3390/physics5010020
APA StyleDíaz-Figueroa, E. E., de Parga, G. A., & González-Avilés, J. J. (2023). Influence of the Magnetic Field Topology in the Evolution of Small-Scale Two-Fluid Jets in the Solar Atmosphere. Physics, 5(1), 261-275. https://doi.org/10.3390/physics5010020

