Abstract
The paper presents the results of experiments on measuring cross-sections for the neutron transfer channels 9Be(3He, α)8Begs,3.03 in the reaction of the 3He (30 MeV) ions with the 9Be target. To describe the angular distributions, we use the Distorted Wave Born Approximation (DWBA) applying the FRESCO code. The results of the theoretical analysis are in agreement with the experimental data. In addition, we perform calculations based on the solution of the time-dependent Schrödinger equation (TDSE) for the weakly bound neutron of the 9Be nucleus. The TDSE approach allows us to determine the dynamics of the neutron transfer process and calculate the probabilities for the transfer and removal of the neutron of the 9Be nucleus in the 3He + 9Be reaction.
1. Introduction
Among stable weakly bound nuclei, the 9Be nucleus is one of highest interest. The 9Be nucleus has a Borromean structure in the ground state [1,2,3,4,5] and is typically represented as a system of two α-clusters and a neutron (n) [6,7,8]. For instance, the (α + n + α) structure of the 9Be nucleus was considered in Refs. [9,10] using Feynman path integrals. Experimental studies [7,11,12] on the cluster channels of the decay of the nucleus 9Be are also in favor of the (α + n + α) structure. However, with some probability, the nucleus 9Be can be in a state corresponding to a two-particle structure, as evidenced by the results of experimental investigations [13,14], where it was shown that the nucleus 9Be can decay through the two-particle channels 9Be → n + 8Be or 9Be → α + 5He. As soon as the 9Be nucleus is stable, this nucleus is much more convenient to be investigated as compared to other Borromean nuclei.
Structural features of light nuclei are manifested in nucleon transfer reactions [15,16,17,18,19], for example, in the angular distributions of reaction products. The structure of the light nuclei d, 3He, and α is well understood, and thus, these nuclei are often employed to induce direct reactions, either as beams or as targets [15,16,17,18,19].
The process of the neutron transfer in a reaction with the 9Be nucleus is of interest due to the belief that the low binding energies of the neutron (1.666 MeV) and α-particle (2.462 MeV) should influence the dynamics and mechanism of the transfer. The interaction of deuterons and alpha particles with 9Be at an energy of 10–30 MeV/nucleon has been studied taking into account 9Be cluster structure in Refs. [20,21]. The interaction potential for the colliding nuclei was constructed within the framework of the double-folding model using a three-body wave function. Calculations with the double folding potential carried out within the optical model (OM) and the Distorted Wave Born Approximation (DWBA) provided reasonable agreement between the theoretical cross-sections and the experimental data.
In our earlier investigations [16,17,18,19,20,21], we performed experimental and theoretical studies of the angular distributions of the products of nucleon and cluster transfer in the reactions d + 9Be [17,20,21], 3He + 9Be [16,18], and 6Li + 9Be [19]. The obtained data were analyzed using the OM, the coupled reaction channel (CRC) method, and the DWBA. The analysis of the experimental data showed the sensitivity of the cross-sections to the potential parameters in the exit channels. In the papers of other authors [22,23,24], experimental data on the neutron transfer in the 9Be(3He, α)8Be reaction channel were also analyzed within the DWBA.
This paper presents a study of the neutron transfer process in the 9Be(3He, α)8Be reaction channel. To describe the mechanism and dynamics of this process, the data are analyzed using the DWBA [25,26,27] and the time-dependent Schrödinger equation (TDSE) approach [28,29,30,31]. A direct comparison of the theoretical description of the neutron transfer process (in the case considered here, in the 3He + 9Be reaction) within the framework of the stationary (DWBA) and time-dependent approaches (TDSE) is the challenge that we intend to tackle in this study. Each approach has its own advantages and disadvantages, but if combined, these methods complement each other. For this purpose, in the TDSE calculations, we used the values of the potential parameters obtained in the DWBA calculations for the 3He + 9Be entrance channel and for the initial neutron wave functions. The TDSE approach allows for both qualitative (reaction dynamics) and quantitative analysis of the neutron transfer process (probabilities of neutron transfer and neutron removal, reaction channel cross-sections) [32,33,34].
The study of the dynamics and mechanisms of nuclear reactions with the 9Be nucleus is also of importance for applied research. For example, 9Be can be used as a structural material for thermonuclear reactors [35,36], and the mechanisms of the 3He + 9Be reaction must be taken into account when designing a reactor structure and modeling the processes of burning a dense hot plasma with the d + 3He combination of nuclei in a metal 9Be cylindrical liner [36]. Additionally, 9Be can also be used as a target for neutron sources due to the quite large cross-section of the 9Be(p,n) reaction [37,38].
2. Experiment
The experiment was performed on the U-120M cyclotron of the Nuclear Physics Institute, Řež, Czech Republic [39]. The ions of the 3He beam (30 MeV) were incident on a self-supporting 9Be foil target (2 mg/cm2, 99%). Carbon and oxygen contaminations of the target were not observed in energy spectra. The average beam current was 10–20 nA [18,40].
To identify reaction products, energy loss, ∆E, and residual energy, Er, were measured by four telescopes (the (∆E–E)-method). Each telescope consisted of three silicon-lithium detectors with thicknesses of 10 µm (∆E1), 100 µm (∆E2), and 3 mm (Er) and was protected by a 5 mm thick Cu–Pb collimator and a circular hole of 3 mm diameter [18,40]. The energy resolution of the detectors was about 150–200 keV (full width at half maximum, FWHM). The telescopes were located at a distance of about 25 cm from the target and could be rotated around it in the angular range of θlab = 7°–63° with a step of 1°–2°.
A typical example of a two-dimensional product identification matrix obtained at an emission angle of θlab = 16° is shown in Figure 1a. One can see that atomic mass number, A, and atomic number, Z, of detected particles were unambiguously identified. The corresponding excitation energy spectrum of the 8Be nucleus, which is a complementary product to the detected 4He nucleus, is shown in Figure 1b. The first peak corresponds to the 0+ ground state of 8Be; the second peak is the 2+ excited state. Thus, these two peaks confirm the corresponding reaction channels with the neutron transfer from 9Be to 3He. Thus, the technique used allowed us to measure the energy of the products, identify reaction channels, and obtain their corresponding differential angular distributions of the products.
Figure 1.
(a) A typical example of a two-dimensional product identification matrix obtained in the reaction 3He + 9Be at the laboratory energy Elab = 30 MeV and the emission angle θlab = 16°. (b) The corresponding excitation energy spectrum of the 8Be nucleus; the blue curve shows the background.
The outlined region in the (ΔE2–Er)-plot (Figure 1a) was used to obtain the excitation energy plot (Figure 1b). One can see that the 0+ ground state of 8Be and the 2+ excited state are well separated. However, other reaction channels can contribute to the excitation energy plot in Figure 1b, in particular, the breakup of 8Be, because it can undergo breakup with alpha particle emission. In the peak of the 0+ ground state, the contribution of the background is insignificant. In the peak of the 2+ excited state, the contribution of the background, mainly associated with the breakup process ⁸Be → ⁴He + ⁴He with the threshold energy of –0.0918 MeV, is less than 15%; the contribution from the breakup of 9Be is not present. To obtain the angular distributions presented in Section 3, the background contribution was subtracted.
Section 3 presents the theoretical analysis of the experimental data on the reaction channels 9Be(3He, α)8Begs,3.03. Detailed information on other channels of the 3He + 9Be reaction can be found in our previous papers [18,40].
3. DWBA Calculations
Experimental differential cross-sections for neutron transfer in 9Be(3He, α)8Begs,3.03 reaction channels are shown in Figure 2. To describe the experimental data, we used the prior formalism of the DWBA amplitude [25,26] and the FRESCO code [27]. To calculate the cross-sections of neutron (n) transfer reaction A + b → a + B (A = a + n, B = b + n), the formalism of the DWBA requires the potentials of the entrance and exit channels, the spectroscopic amplitudes Sx for the neutron in the systems A = a + n and B = b + n, and the potentials for calculating the neutron wave functions within the shell model.
Figure 2.
Experimental angular distributions (circles) for the reaction channels (a) 9Be(3He, α)8Begs and (b) 9Be(3He, α)8Be3.03 compared with the results of calculations (curves) in the center of mass frame: DWBA-2 (with the potential parameters from Ref. [12]) and DWBA-1 (with the reduced depth of the imaginary part of the exit channel potential). See text for details.
The values of the spectroscopic amplitudes Sx = 0.791 for 9Be = 8Be + n and Sx = –0.741 for 4He = 3He + n were taken from our previous study [18]. The neutron wave functions were calculated within the shell model using the potential in the Woods–Saxon form with geometric parameters R = 1.25A1/3 fm (radius) and a = 0.65 fm (diffuseness); the potential depths were adjusted to reproduce binding energies of a neutron.
As a starting point for searching for the optical potential U for the entrance and exit channels, we took the parameter sets from Ref. [18] (Table 1). These potential parameters have been successfully used to describe a number of experimental data on the nucleon and cluster transfer channels in the 3He + 9Be reaction. The potential U is defined as
where VC(r) is the Coulomb potential, RC is the Coulomb barrier radius with parameter rC; Zp and Zt are the charges of the projectile and target, respectively; VV,W are the depths of the real and imaginary parts of the potential, respectively; RV,W, rV,W, and aV,W are their corresponding geometric parameters; Ap and At are the mass numbers of the projectile and target nuclei, respectively.
Table 1.
Parameters of the optical potential (1) used in DWBA calculations for the specified entrance and exit channels [18]. See text for details.
As can be seen from Figure 2, curves DWBA-1 calculated using the entrance and exit channel potentials with the parameters from Ref. [18] differ just a little from the experimental data for the 9Be(3He, α)8Begs reaction channel but underestimate the data on the 9Be(3He, α)8Be3.03 reaction channel in the angular range of 30–90°. Such a discrepancy between the DWBA calculations and the experimental data can be eliminated either by varying the values of the spectroscopic amplitudes or by reducing the depth VW of the imaginary part of the exit channel potential [41,42]. We chose the second option because the values of the spectroscopic amplitudes were obtained in Ref. [18] within the framework of the shell model calculations. Therefore, for a better description of the experimental data, we reduced the depth VW of the imaginary part of the exit channel potential (curves DWBA-2), i.e., VW was obtained by fitting to the neutron transfer data. For the core–core potential (3He + 8Be), we used the parameters of the entrance channel potential. The parameters of the optical potential (1) obtained for the entrance and exit channels are presented in Table 1.
The potential parameters for the exit channel α + 8Be were obtained through a χ2 minimization procedure based on the experimental data for the same reaction channel 3He(9Be, α)8Be with fixed spectroscopic amplitudes and potential parameters for the entrance channel, i.e., the elastic scattering channel 3He + 9Be. It was found that the parameters of the fitted potential have unusually low values rV = 0.252 fm and aW = 0.34 fm; however, these values are close to those found for the α + 8Be system in Ref. [43].
The discrepancy between the calculated differential cross-sections and the experimental data for the 9Be(3He, α)8Begs reaction channel around the scattering angle of 55° in Figure 2a may be attributed to the following factors:
- (i)
- The 8Be and 9Be nuclei have a pronounced α-cluster structure, which can be incorporated into three-body wave functions for better description of the data [2,3,4].
- (ii)
- Thanks to its α-cluster structure, the 9Be nucleus has quite a deformation, while in this study, it was treated as spherical for simplicity [44].
- (iii)
- It is possible that channel coupling effects are present, as observed in Refs. [17,45]. Indeed, the waves with different neutron transfer configurations, originating from multiple channels (e.g., from the ground state and the first excited state), may either cancel each other out or amplify one another; their interference can be taken into account.
Accounting for these factors may lead to an improved theoretical description of the experimental data, but goes beyond the scope of this paper.
4. Formalism of the TDSE Approach
The theoretical approach is based on the numerical solution of the time-dependent Schrödinger equation [28,29,30,31]:
where is the wave function of the neutron with mass m; are the centers of nuclei moving along classical trajectories; V1, V2 are the potentials of the interaction of the neutron with the projectile and target nuclei; are the potentials of the spin–orbit interaction of the neutron with the cores; ℏ is the reduced Planck constant, t denotes the time.
As mentioned above, the neutron wave function at the initial moment of time was determined in the shell model with the parameters obtained in Section 3 and providing the energy of the single-particle level 1p3/2 equal to the experimental value of the neutron separation energy (1.66 MeV) for the 9Be nucleus [46]. The shape of the 9Be nucleus was considered spherical [28,29,30] as soon as taking into account the deformation of 9Be [47] requires more complex calculations, which will be the subject of a separate theoretical investigation in the future. In addition, it should be noted that taking into account the deformation of weakly bound nuclei in the calculations within the TDSE approach does not have a sensitive effect on the resulting probabilities and cross-sections of transfer reaction channels [28,29]. One of the reasons is that the wave functions calculated in the shell model for deformed and spherical nuclei have similar spatial extents due to the low binding energy of an outer neutron in such nuclei [48].
The wave function of the neutron with the projection jz of the total momentum on z axis at the initial moment of time can be written as
where and are the components of the spinor wave function for the spin projections 1/2 and –1/2, respectively; is the velocity of the target nucleus in the center of the mass system [28,29,30]. The evolution of the probability density is calculated as
For the neutron from the single-particle level 1p3/2 of the 9Be nucleus, the values of jz are –3/2, –1/2, 1/2, and 3/2.
The probability of the neutron transfer is determined as
where are the amplitudes of the probabilities of populating the unoccupied single-particle neutron levels [30]. The final probability of the neutron transfer is determined at time t, when the nuclei are already far away from each other, in our calculations, at distances more than 30 fm:
The calculated probabilities were approximated by the exponential function of the distance of the closest approach Rmin [26]
with fitting parameters A0 and B0.
The probability of the removal of the neutron is determined as
where c(t) is the amplitude of the probability of conservation of the neutron in the initial state at time t [30]. Similar to the probability of the neutron transfer (11), the final probability of the neutron removal is determined at time t, when the nuclei are already far away from each other:
The calculated probabilities were approximated by the sum of two exponential functions:
with fitting parameters A1, B1, A2, B2 [26].
The numerical solution of Equation (4) was performed on a spatial grid of dimensions (96 × 60 × 105) fm3 (x × y × z) with the collision plane x0z and a grid step 0.3 fm [28,29,30]. We used the dimensionless time scale τ = t/t0, where s, x0 = 1 fm. The dimensionless time step was ∆τ = 0.1. The calculations were carried out using the heterogeneous computing cluster HybriLIT [49] of the Laboratory of Information Technologies, Joint Institute for Nuclear Research.
5. Results and Discussion
The evolution of the probability density (6) in dimensionless time τ for the neutron from the single-particle level 1p3/2 of the 9Be nucleus during the collision of 3He + 9Be at an energy Elab = 30 MeV (the center-of-mass energy Ec.m. = 22.5 MeV) with the impact parameter b = 6 fm (Rmin = 6.12 fm) and b = 8 fm (Rmin = 8.23 fm) is presented in Figure 3 and Figure 4, respectively. The transition of the neutron probability density begins when the distance between the centers of the nuclei decreases to 9–10 fm (Figure 3a and Figure 4a). As can be seen from Figure 3b and Figure 4b, the relative velocity of the nuclei is high enough that the flux of the neutron probability density lags behind the motion of the two nuclei and is shifted relative to the imaginary line connecting their centers. A more intense rearrangement of the probability density occurs at quite small distances between the projectile and the target. As the distance between the nuclei increases, the neutron transfer is accompanied by the neutron transition to the continuum (Figure 3c and Figure 4c) [34]. In Figure 3c and Figure 4c, the neutron is emitted at a relatively large angle to the direction of motion of the projectile nucleus, which indicates the manifestation of the so-called towing mode at energies above 5 MeV/nucleon [34,50,51].
Figure 3.
Evolution of the probability density ρ(x,z) (in logarithmic scale; x and z are the coordinates in the collision plane) in dimensionless time τ = 30 (a), 40 (b), 60 (c), and 80 (d) for the neutron from the single-particle level 1p3/2 of the 9Be nucleus during the collision of 3He + 9Be at an energy Elab = 30 MeV (the center-of-mass energy Ec.m. = 22.5 MeV) with the impact parameter b = 6 fm (the distance of the closest approach Rmin = 6.12 fm). The red circles indicate the imaginary boundary of the 4He nucleus with a radius of 2 fm.
According to the shell model, the 3He nucleus has only one single-particle level 1s1/2 that can be occupied by the neutron transferred from the single-particle level 1p3/2 of the 9Be nucleus. The spherically symmetric shape of the part of the neutron probability density transferred to the 3He projectile nucleus in Figure 3d and Figure 4d indicates the population of the state 1s1/2 in 3He, which is consistent with the shell model.
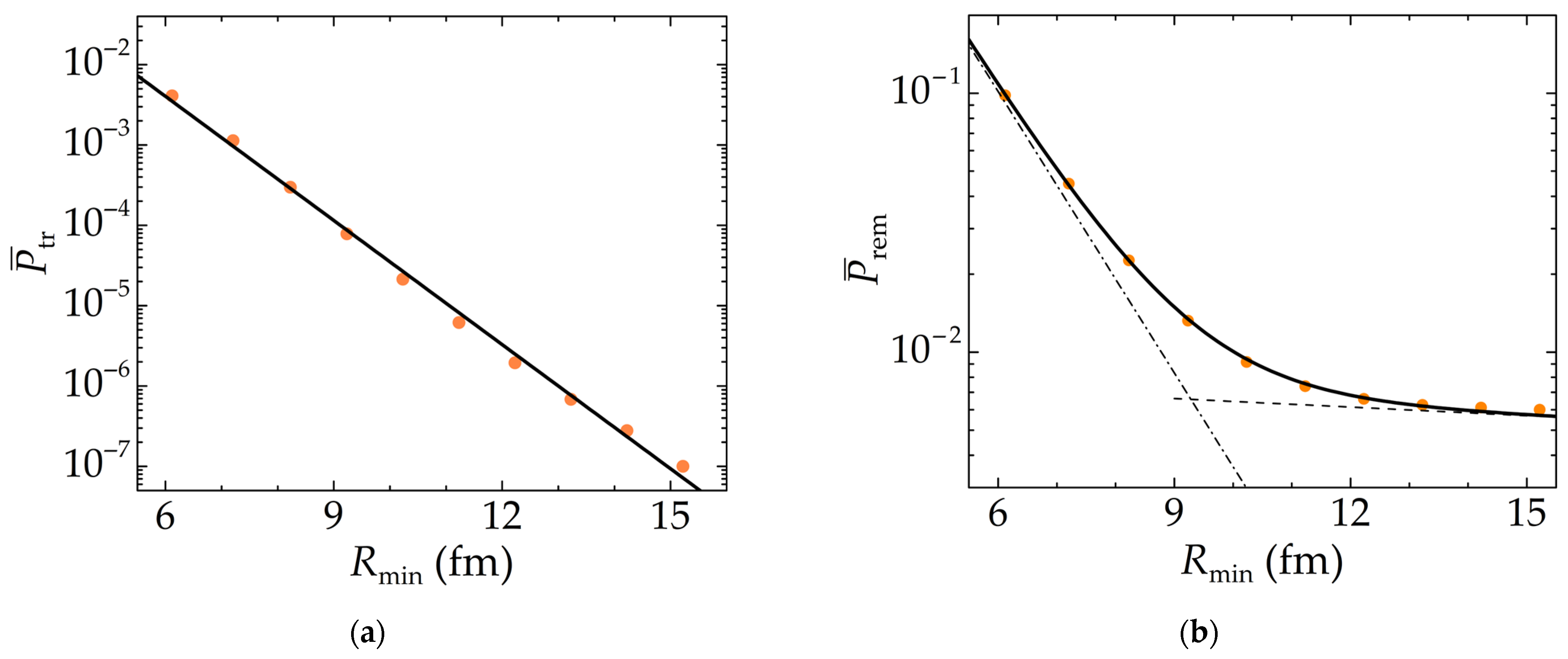
The obtained dependencies of the probability (11) and (12) on the distance Rmin of the closest approach of the centers of the nuclei are shown in Figure 5a; the values of the fitting parameters are A0 = 0.696 and B0 = 0.515 fm−1.
Figure 5.
(a) The final neutron transfer probability : circles are the result of calculations using Equation (11); line is the result of approximation (12). (b) The final neutron removal probability : circles are the result of calculations using Equation (15); solid curve is the result of approximation (16); dashed and dash-dotted lines are the respective contributions of the exponential functions with a1, b1, and a2, b2 to approximation (16).
The obtained dependencies of the neutron removal probability (15) and (16) on the distance Rmin of the closest approach of the centers of the nuclei are shown in Figure 5b; the values of the fitting parameters are A1 = 1.178, B1 = 0.362 fm−1, A2 = –2.08, B2 = 0.011 fm−1. The first exponential function describes a rapid decrease in the probability at the values of Rmin, not quite exceeding the Coulomb barrier radius; the second corresponds to a slow decrease at larger values and gives the main contribution at Rmin more than 9 fm. The rapid decrease in the probability is due to a sharp decrease in the probability of the neutron transfer with the increasing impact parameter.
In the TDSE approach, the cross-sections for the transfer and removal of the weakly bound neutron of the 9Be nucleus were calculated by integrating over the impact parameter b [29,31]
where bmin is the impact parameter corresponding to the trajectory when the projectile is still captured by the target. In our calculations, we used bmin corresponding to Rmin = RC + d, where RC = 5.6 fm and d = 0.4 fm is the diffuse region, and therefore Rmin = 6 fm.
The comparison of the integrated cross-sections σtr for the reaction channel 9Be(3He, α)8Begs obtained within the DWBA (FRESCO code) and within the TDSE approach is presented in Table 2. One can see that the calculations in both models give close values. Taking into account that the differential cross-sections obtained within the DWBA are somewhat below the experimental points in the region of angles around 55°, one may conclude that the cross-sections (17) and (18) obtained within the TDSE approach are closer to the experimental data.
Table 2.
Calculated cross-sections. See text for detais.
The integrated cross-section σtr for the reaction channel 9Be(3He, α)8Be3.03 obtained within the DWBA is also presented in Table 2. The cross-section value for this reaction channel is approximately twice as high as that for 9Be(3He, α)8Begs, which is consistent with the measured energy spectrum (Figure 1b), where the number of events for 8Be3.03 is approximately twice as high as that for 8Begs.
Table 2 also includes the integrated cross-section σrem (18) obtained within the TDSE approach. According to Equation (13), σrem = 315.690 mb includes the neutron transfer cross-section σtr = 0.740 mb in the reaction channel 9Be(3He, α)8Begs and the cross-section for the transition of the neutron into the continuum. One can find that cross-section σtr contributes significantly to the cross-section σrem.
6. Conclusions
The angular distributions for the neutron transfer channels 9Be(3He, α)8Begs,3.03 in the reaction of the 3He (30 MeV) ions with the 9Be target were measured. The experimental data were described by the DWBA using FRESCO code. The results of the theoretical description are found to be in agreement with the measurements. The parameters of the potentials for the 3He + 9Be entrance channel and for the shell model obtained from the DWBA calculations were successfully used in the description of dynamics of the reaction channel 9Be(3He, α)8Begs within the TDSE approach. It has been shown that the neutron transfer process begins when the nuclei approach each other at a distance of 9–10 fm between the centers of the nuclei, and the transfer process is accompanied by the transition of the neutron to the continuum. In addition, the neutron can be emitted at quite a large angle to the direction of motion of the projectile nucleus, which indicates the manifestation of the so-called towing mode.
The neutron transfer cross-section is found to not significantly contribute to the cross-section for the removal of the weakly bound neutron of the 9Be nucleus. Calculations of the cross-section for the reaction channel 9Be(3He, α)8Begs in the TDSE approach and DWBA give close values.
Author Contributions
Conceptualization, A.K.A., E.K.A., M.A.N. and K.O.M.; methodology, T.G.I.; software, A.K.A. and E.K.A.; validation, A.K.A., S.M.L. and M.A.N.; formal analysis, M.A.N. and K.D.; investigation, A.K.A., T.G.I., B.A.U., K.D., A.M.K., S.M.L. and K.O.M.; resources, K.O.M. and T.K.Z.; data curation, T.G.I., K.O.M. and T.K.Z.; writing—original draft preparation, K.O.M.; writing—review and editing, K.O.M., A.K.A. and M.A.N.; visualization, E.K.A. and B.A.U.; supervision, A.K.A.; project administration, K.O.M.; funding acquisition, T.K.Z., K.D. and K.O.M. All authors have read and agreed to the published version of the manuscript.
Funding
This research was funded by the Science Committee of the Ministry of Science and Higher Education of the Republic of Kazakhstan, grant number AP14870958.
Data Availability Statement
All data obtained during the study are included in this paper. For any questions regarding the data in the paper, you can contact the corresponding authors.
Acknowledgments
We thank the team of the HybriLIT computing cluster (Laboratory of Information Technologies, Joint Institute for Nuclear Research, Dubna, Russia) for the opportunity to use its resources.
Conflicts of Interest
The authors declare no conflicts of interest.
References
- Villanueva, G.; Moro, A.M.; Casal, J.; Lei, J. Neutron-transfer induced breakup of the Borromean nucleus 9Be. Phys. Lett. B 2024, 855, 138766. [Google Scholar] [CrossRef]
- Fulton, B.R.; Cowin, R.L.; Woolliscroft, R.J.; Clarke, N.M.; Donadille, L.; Freer, M.; Leask, P.J.; Singer, S.M.; Nicoli, M.P.; Benoit, B.; et al. Exclusive breakup measurements for 9Be. Phys. Rev. C 2004, 70, 047602. [Google Scholar] [CrossRef]
- Prezado, Y.; Borge, M.J.G.; Diget, C.A.; Fraile, L.M.; Fulton, B.R.; Fynbo, H.O.U.; Jeppesen, H.B.; Jonson, B.; Meister, M.; Nilsson, T.; et al. Low-lying resonance states in the 9Be continuum. Phys. Lett. B 2005, 618, 43–50. [Google Scholar] [CrossRef]
- Álvarez-Rodríguez, R.; Jensen, A.S.; Garrido, E.; Fedorov, D.V. Structure and three-body decay of 9Be resonances. Phys. Rev. C 2010, 82, 034001. [Google Scholar] [CrossRef]
- Soukeras, V.; Sgouros, O.; Pakou, A.; Cappuzzello, F.; Casal, J.; Agodi, C.; Brischetto, G.A.; Calabrese, S.; Carbone, D.; Cavallaro, M.; et al. Global study of 9Be + p at 2.72A MeV. Phys. Rev. C 2020, 102, 064622. [Google Scholar] [CrossRef]
- von Oertzen, W.; Freer, M.; Kanada-En’yo, Y. Nuclear clusters and nuclear molecules. Phys. Rep. 2006, 432, 43–113. [Google Scholar] [CrossRef]
- Freer, M. The clustered nucleus—Cluster structures in stable and unstable nuclei. Rep. Prog. Phys. 2007, 70, 2149–2210. [Google Scholar] [CrossRef]
- Samarin, V.V. Study of spatial structures in α-cluster nuclei. Eur. Phys. J. A 2022, 58, 117. [Google Scholar] [CrossRef]
- Bazhin, A.S.; Samarin, V.V. Study of the structure of the 9Be nucleus in the alpha-cluster model by the method of hyperspherical functions. Bull. Russ. Acad. Sci. Phys. 2024, 88, 1177–1184. [Google Scholar] [CrossRef]
- Rakityansky, S.A. Wave function of 9Be in the three-body (ααn) model. Phys. Rev. C 2024, 110, 024001. [Google Scholar] [CrossRef]
- Tilley, D.R.; Kelley, J.H.; Godwin, J.L.; Millener, D.J.; Purcell, J.E.; Sheu, C.G.; Weller, H.R. Energy levels of light nuclei A = 8,9,10. Nucl. Phys. A 2004, 745, 155–362. [Google Scholar] [CrossRef]
- Nyman, G.; Azuma, R.E.; Hansen, P.G.; Jonson, B.; Larsson, P.O.; Mattsson, S.; Richter, A.; Riisager, K.; Tengblad, O.; Wilhelmsen, K.; et al. The beta decay of 9Li to levels in 9Be: A new look. Nucl. Phys. A 1990, 510, 189–208. [Google Scholar] [CrossRef]
- Keeley, N.; Alamanos, N.; Rusek, K.; Kemper, K.W. Generation of a repulsive dynamic polarization potential by transfer couplings. Phys. Rev. C 2005, 71, 014611. [Google Scholar] [CrossRef]
- Pandit, S.K.; Jha, V.; Mahata, K.; Santra, S.; Palshetkar, C.S.; Ramachandran, K.; Parkar, V.V.; Shrivastava, A.; Kumawat, H.; Roy, B.J.; et al. Investigation of cluster structure of 9Be from high precision elastic scattering data. Phys. Rev. C 2011, 84, 031601. [Google Scholar] [CrossRef]
- Saduyev, N.; Nassurlla, M.; Burtebayev, N.; Sakuta, S.; Nassurlla, M.; Kalikulov, O.; Khojayev, R.; Sabidolda, A.; Issayev, D. Scattering and one neutron pick-up reaction on a 10B target with deuterons at an energy of 14.5 MeV. Physics 2024, 6, 1098–1110. [Google Scholar] [CrossRef]
- Lukyanov, S.M.; Harakeh, M.N.; Naumenko, M.A.; Xu, Y.; Trzaska, W.H.; Burjan, V.; Kroha, V.; Mrazek, J.; Glagolev, V.; Piskoř, Š.; et al. Cluster structure of 9Be from 3He + 9Be reaction. J. Phys. Conf. Ser. 2016, 724, 012031. [Google Scholar] [CrossRef]
- Urazbekov, B.A.; Denikin, A.S.; Lukyanov, S.M.; Itaco, N.; Janseitov, D.M.; Mendibayev, K.; Burjan, V.; Kroha, V.; Mrazek, J.; Trzaska, W.H.; et al. Clusterization and strong coupled-channels effects in deuteron interaction with 9Be nuclei. J. Phys. G 2019, 46, 105110. [Google Scholar] [CrossRef]
- Urazbekov, B.; Issatayev, T.; Lukyanov, S.; Azhibekov, A.; Denikin, A.; Mendibayev, K.; Janseitov, D.; Penionzhkevich, Y.; Kuterbekov, K.; Zholdybayev, T. Reactions induced by 30 MeV 3He beam on 9Be: Cluster transfer reactions. Chin. Phys. C 2023, 48, 014001. [Google Scholar] [CrossRef]
- Azhibekov, A.K.; Lukyanov, S.M.; Penionzhkevich, Y.E.; Urazbekov, B.A.; Naumenko, M.A.; Samarin, V.V.; Issatayev, T.; Maslov, V.A.; Mendibayev, K.; Aznabayev, D.; et al. Study of one-step and two-step neutron transfer in the reaction 6Li + 9Be. Chin. Phys. C 2024, 48, 114101. [Google Scholar] [CrossRef]
- Urazbekov, B.A.; Denikin, A.S.; Sakhiev, S.K.; Burtebaev, N.T. Manifestation of the cluster structure of the 9Be nucleus in direct nuclear reactions. Bull. Russ. Acad. Sci. Phys. 2016, 80, 247–251. [Google Scholar] [CrossRef]
- Urazbekov, B.A.; Denikin, A.S.; Sakhiev, S.K.; Lukyanov, S.M. Studying the reactions of deuteron interaction with 9Be nuclei at low energies. Bull. Russ. Acad. Sci. Phys. 2017, 81, 690–694. [Google Scholar] [CrossRef]
- Bilwes, B.; Bilwes, R.; Ferrero, J.L.; Garcia, A. Mécanisme de la réaction 9Be(3He, α)8Be(o) et résonances géantes isoscalaires du 12C. J. Phys. Fr. 1978, 39, 805–814. [Google Scholar] [CrossRef]
- Karban, O.; Basak, A.K.; England, J.B.A.; Morrison, G.C.; Nelson, J.M.; Roman, S.; Shute, G.G. The j-dependence of (3He, d) and (3He, α) reaction analysing powers in the 1p shell. Nucl. Phys. A 1976, 269, 312–326. [Google Scholar] [CrossRef]
- Moazed, C.; Holmgren, H.D. Angular Correlations for the Reaction 9Be(3He, α)8Be (16.92) → α + α. Phys. Rev. B 1968, 166, 977–987. [Google Scholar] [CrossRef]
- Satchler, G.R. Direct Nuclear Reactions; Oxford University Press: New York, NY, USA, 1983. [Google Scholar]
- Taylor, J.R. Scattering Theory: The Quantum Theory of Nonrelativistic Collisions; Dover Publications, Inc.: Mineola, NY, USA, 2006. [Google Scholar]
- Thompson, I.J. Coupled reaction channels calculations in nuclear physics. Comput. Phys. Rep. 1988, 7, 167–212. [Google Scholar] [CrossRef]
- Azhibekov, A.K.; Samarin, V.V.; Kuterbekov, K.A. Time-dependent calculations for neutron transfer and nuclear breakup processes in 11Li + 9Be and 11Li + 12C reactions at low energy. Chin. J. Phys. 2020, 65, 292–299. [Google Scholar] [CrossRef]
- Azhibekov, A.K.; Samarin, V.V. Time-dependent description of reactions with weakly bound 11Li and 11Be nuclei. Bull. Russ. Acad. Sci. Phys. 2022, 86, 1092–1098. [Google Scholar] [CrossRef]
- Azhibekov, A.K.; Lukyanov, S.M.; Shakhov, A.V.; Penionzhkevich, Y.E.; Naumenko, M.A.; Devaraja, H.M.; Almanbetova, E.K.; Urazbekov, B.A.; Bodrov, A.Y.; Mardyban, E.V.; et al. Neutron transfer in the 48Ca + 197Au reaction. Eur. Phys. J. A 2023, 59, 278. [Google Scholar] [CrossRef]
- Samarin, V.V. Time-dependent description of incomplete fusion of nuclei and cluster and nucleon-transfer reactions. Phys. At. Nucl. 2018, 81, 486–496. [Google Scholar] [CrossRef]
- Valiolda, D.; Janseitov, D.; Melezhik, V. Investigation of low-lying resonances in breakup of halo nuclei within the time-dependent approach. Eur. Phys. J. A 2022, 58, 34. [Google Scholar] [CrossRef]
- Samarin, V.V.; Naumenko, M.A. Study of nucleon-transfer processes in low-energy reactions of helium isotopes with 197Au nuclei. Phys. At. Nucl. 2022, 85, 880–889. [Google Scholar] [CrossRef]
- Lima, V.; Scarpaci, J.; Lacroix, D.; Blumenfeld, Y.; Bourgeois, C.; Chabot, M.; Chomaz, P.; Désesquelles, P.; Duflot, V.; Duprat, J.; et al. Nuclear break-up of 11Be. Nucl. Phys. A 2007, 795, 1–18. [Google Scholar] [CrossRef]
- Kukulin, V.I.; Voronchev, V.T. Pinch-based thermonuclear D3He fusion driven by a femtosecond laser. Phys. At. Nucl. 2010, 73, 1376–1383. [Google Scholar] [CrossRef]
- Seksembayev, Z.; Kukulin, V.; Sakhiyev, S. Study of a dense hot plasma’s burning in Z-pinch devices with inertial-magnetic confinement. Phys. Scr. 2018, 93, 085602. [Google Scholar] [CrossRef]
- Sgouros, O.; Soukeras, V.; Pakou, A. Low energy proton induced reactions with weakly bound nuclei for application purposes. Eur. Phys. J. A 2021, 57, 125. [Google Scholar] [CrossRef]
- Tun, Z.; Yamani, Z.; Huang, X.; Li, G.; Hartling, K.; Horn, D. Liquid-lithium-cooled beryllium target as the p-to-n converter. Nucl. Instrum. Methods Phys. Res. A Accel. Spectrom. Detect. Assoc. Equip. 2024, 1064, 169459. [Google Scholar] [CrossRef]
- The Main Upgrades of the Cyclotron U-120M. Physics Institute CAS: Řež, Czech Republic. 2023. Available online: https://www.ujf.cas.cz/en/departments/department-of-accelerators/cyclotron/ (accessed on 30 October 2024).
- Janseitov, D.M.; Lukyanov, S.M.; Mendibayev, K.; Penionzhkevich, Y.E.; Skobelev, N.K.; Sobolev, Y.G.; Kuterbekov, K.A.; Valiolda, D.S.; Zholdybayev, T.K.; Trzaska, W.H.; et al. Investigation of the elastic and inelastic scattering of 3He from 9Be in the energy range 30–60 MeV. Int. J. Mod. Phys. E 2018, 27, 1850089. [Google Scholar] [CrossRef]
- Micek, S.; Rebel, H.; Gils, H.J.; Klewe-Nebenius, H.; Zagromski, S.; Srivastava, D.K. Single nucleon transfer reactions in 6Li + 6Li collisions at 156 MeV. Z. Phys. A 1987, 328, 467–473. [Google Scholar] [CrossRef]
- Ruby, L.; Pyle, R.V.; Wong, Y.-C. Cross sections for 6Li(6Li,5He)7Be, 6Li(d, n)7Be, and 19F(6Li, p)24Na. Nucl. Sci. Engin. 1979, 71, 280–286. [Google Scholar] [CrossRef]
- Cuong, D.C.; Descouvemont, P.; Khoa, D.T.; Phuc, N.H. Coupled-reaction-channel study of the 12C(α, 8Be) reaction and the 8Be + 8Be optical potential. Phys. Rev. C 2020, 102, 024622. [Google Scholar] [CrossRef]
- Sundholm, D.; Olsen, J. Large MCHF calculations on the hyperfine structure of Be(3PO): The nuclear quadrupole moment of 9Be. Chem. Phys. Lett. 1991, 177, 91–97. [Google Scholar] [CrossRef]
- Harakeh, M.N.; Van Popta, J.; Saha, A.; Siemssen, R.H. Strong coupled-channels effects in the 9Be(α, t)10B reaction. Nucl. Phys. A 1980, 344, 15–40. [Google Scholar] [CrossRef]
- Wang, M.; Audi, G.; Wapstra, A.H.; Kondev, F.; MacCormick, M.; Xu, X.; Pfeiffer, B. The AME 2012 atomic mass evaluation. Chin. Phys. C 2012, 36, 1603–2014. [Google Scholar] [CrossRef]
- Chart of Nucleus Shape and Size Parameters. Centre for Photonuclear Experiments Data (CDFE), Skobeltsyn Institute of Nuclear Physics, Lomonosov Moscow State University (SINP MSU): Moscow, Russia. 2023. Available online: http://cdfe.sinp.msu.ru/services/radchart/radmain.html (accessed on 30 October 2024).
- Azhibekov, A.K.; Samarin, V.V.; Kuterbekov, K.A.; Naumenko, M.A. Shell model calculations for deformed Li isotopes. Euras. J. Phys. Funct. Mater. 2019, 3, 307–318. [Google Scholar] [CrossRef]
- Heterogeneous Platform ”HybriLIT”. Laboratory of Information Technologies, Joint Institute for Nuclear Research (LIT, JINR): Dubna, Russia. 2023. Available online: http://hlit.jinr.ru/ (accessed on 30 October 2024).
- Scarpaci, J.; Beaumel, D.; Blumenfeld, Y.; Chomaz, P.; Frascaria, N.; Jongman, J.; Lacroix, D.; Laurent, H.; Lhenry, I.; Maréchal, F.; et al. A new phenomenon in heavy ion inelastic scattering: The towing mode. Phys. Lett. B 1998, 428, 241–247. [Google Scholar] [CrossRef]
- Lacroix, D.; Scarpaci, J.A.; Chomaz, P. Theoretical description of the towing mode through a time-dependent quantum calculation. Nucl. Phys. A 1999, 658, 273–281. [Google Scholar] [CrossRef]
Disclaimer/Publisher’s Note: The statements, opinions and data contained in all publications are solely those of the individual author(s) and contributor(s) and not of MDPI and/or the editor(s). MDPI and/or the editor(s) disclaim responsibility for any injury to people or property resulting from any ideas, methods, instructions or products referred to in the content. |
© 2024 by the authors. Licensee MDPI, Basel, Switzerland. This article is an open access article distributed under the terms and conditions of the Creative Commons Attribution (CC BY) license (https://creativecommons.org/licenses/by/4.0/).




