Carbon Emissions, Health Expenditure, and Economic Effects on Life Expectancy in Malaysia
Abstract
1. Introduction
2. Literature Review
2.1. Introduction
2.2. Pillars of Sustainable Development
3. Methodology
3.1. Data and Description of Variables
3.2. Autoregressive Distributed Lag (ARDL) Bounds Test for Cointegration
3.3. Model Diagnostic
4. Results and Discussion
4.1. Unit Root Test
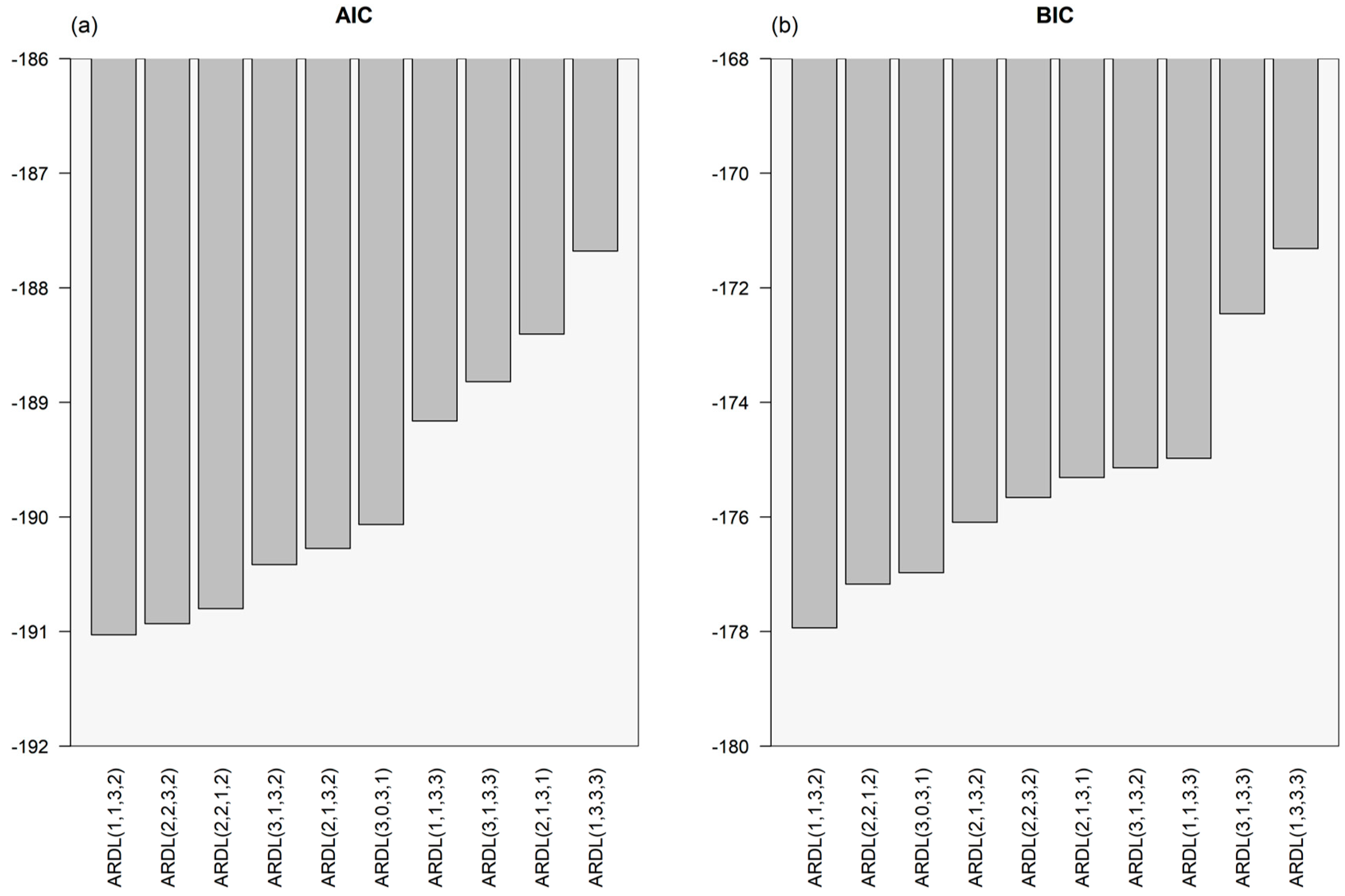
4.2. Analysis of ARDL Bounds Cointegration Test
4.3. Result of Long-Run and Short-Run Relationships
4.4. Model Diagnostic
5. Conclusions
Author Contributions
Funding
Institutional Review Board Statement
Informed Consent Statement
Data Availability Statement
Acknowledgments
Conflicts of Interest
References
- United Nations. World Population Ageing 2019; United Nations, Department of Economic and Social Affairs, Population Division: New York, NY, USA, 2019; ISBN 978-92-1-148326-0. [Google Scholar]
- Chen, Q.; Dietzenbacher, E.; Los, B. The Effects of Ageing and Urbanisation on China’s Future Rural and Urban Populations. Asian Popul. Stud. 2017, 13, 172–197. [Google Scholar] [CrossRef]
- Gu, D.; Andreev, K.; Dupre, M.E. Major Trends in Population Growth Around the World. China CDC Weekly 2021, 3, 604. [Google Scholar] [CrossRef]
- Cristea, M.; Noja, G.G.; Stefea, P.; Sala, A.L. The Impact of Population Aging and Public Health Support on EU Labor Markets. Int. J. Environ. Res. Public Health 2020, 17, 1439. [Google Scholar] [CrossRef]
- United Nations. World Urbanization Prospects 2018: Highlights; United Nations, Department of Economic and Social Affairs, Population Division: New York, NY, USA, 2019; ISBN 978-92-1-148318-5. [Google Scholar]
- Ahmed, Z.; Zafar, M.W.; Ali, S. Linking Urbanization, Human Capital, and the Ecological Footprint in G7 Countries: An Empirical Analysis. Sustain. Cities Soc. 2020, 55, 102064. [Google Scholar] [CrossRef]
- Sajid, M.R.; Muhammad, N.; Zakaria, R.; Bukhari, S.A.C. Modifiable Risk Factors and Overall Cardiovascular Mortality: Moderation of Urbanization. J. Public Health Res. 2020, 9, 410–416. [Google Scholar] [CrossRef]
- Bijari, N.B.; Mahdinia, M.H.; Mansouri Daneshvar, M.R. Investigation of the Urbanization Contribution to the COVID-19 Outbreak in Iran and the MECA Countries. Environ. Dev. Sustain. 2021, 23, 17964–17985. [Google Scholar] [CrossRef]
- Antai, D.; Moradi, T. Urban Area Disadvantage and Under-5 Mortality in Nigeria: The Effect of Rapid Urbanization. Environ. Health Perspect. 2010, 118, 877–883. [Google Scholar] [CrossRef]
- Liu, X.; Xu, Y.; Engel, B.A.; Sun, S.; Zhao, X.; Wu, P.; Wang, Y. The Impact of Urbanization and Aging on Food Security in Developing Countries: The View from Northwest China. J. Clean. Prod. 2021, 292, 126067. [Google Scholar] [CrossRef]
- Pena, M.S.B.; Bernabé-Ortiz, A.; Carrillo-Larco, R.M.; Sánchez, J.F.; Quispe, R.; Pillay, T.D.; Málaga, G.; Gilman, R.H.; Smeeth, L.; Miranda, J.J. Migration, Urbanisation and Mortality: 5-year Longitudinal Analysis of the PERU MIGRANT Study. J. Epidemiol. Community Health 2015, 69, 715–718. [Google Scholar] [CrossRef]
- Wicke, F.; Ernst, M.; Otten, D.; Werner, A.; Dreier, M.; Brähler, E.; Tibubos, A.; Reiner, I.; Michal, M.; Wiltink, J.; et al. The Association of Depression and All-Cause Mortality: Explanatory Factors and the Influence of Gender. J. Affect. Disord. 2022, 303, 315–322. [Google Scholar] [CrossRef]
- Walter, B.S.; DeWitte, S.N. Urban and Rural Mortality and Survival in Medieval England. Ann. Hum. Biol. 2017, 44, 338–348. [Google Scholar] [CrossRef]
- Warsame, A.A. Environmental Pollution and Life Expectancy in Somalia: Do Renewable Energy, Urbanization, and Economic Growth Matter? Environ. Sci. Pollut. Res. 2023, 30, 110528–110538. [Google Scholar] [CrossRef]
- Azam, M.; Uddin, I.; Saqib, N. The Determinants of Life Expectancy and Environmental Degradation in Pakistan: Evidence from ARDL Bounds Test Approach. Environ. Sci. Pollut. Res. 2023, 30, 2233–2246. [Google Scholar] [CrossRef]
- Georgescu, I.; Kinnunen, J. The Role of Foreign Direct Investments, Urbanization, Productivity, and Energy Consumption in Finland’s Carbon Emissions: An ARDL Approach. Environ. Sci. Pollut. Res. 2023, 30, 87685–87694. [Google Scholar] [CrossRef]
- Osei-Kusi, F.; Wu, C.; Tetteh, S.; Castillo, W.I.G. The Dynamics of Carbon Emissions, Energy, Income, and Life Expectancy: Regional Comparative Analysis. PLoS ONE 2024, 19, e0293451. [Google Scholar] [CrossRef]
- Rahman, M.M.; Rana, R.; Khanam, R. Determinants of Life Expectancy in Most Polluted Countries: Exploring the Effect of Environmental Degradation. PLoS ONE 2022, 17, e0262802. [Google Scholar] [CrossRef]
- Karma, E. Socioeconomic Determinants of Life Expectancy: Southeastern European Countries. Eur. J. Sustain. Dev. 2023, 12, 25. [Google Scholar] [CrossRef]
- Rjoub, H.; Odugbesan, J.A.; Adebayo, T.S.; Wong, W.-K. Investigating the Causal Relationships Among Carbon Emissions, Economic Growth, and Life Expectancy in Turkey: Evidence from Time and Frequency Domain Causality Techniques. Sustainability 2021, 13, 2924. [Google Scholar] [CrossRef]
- Osabohien, R.; Ayomitunde, A.T.; Bose, A.D.; Bose, J.L. Carbon Emissions and Life Expectancy in Nigeria. Int. J. Energy Econ. Policy 2021, 11, 497–501. [Google Scholar] [CrossRef]
- Chan, M.F.; Kamala Devi, M. Factors Affecting Life Expectancy: Evidence from 1980–2009 Data in Singapore, Malaysia, and Thailand. Asia Pac. J. Public Health 2015, 27, 136–146. [Google Scholar] [CrossRef]
- Department of Statistics Malaysia. Population Projections (Revised) Malaysia 2010–2040. Available online: https://newss.statistics.gov.my (accessed on 6 July 2023).
- World Bank. Life Expectancy at Birth, Total (Years). Available online: https://data.worldbank.org/indicator/SP.DYN.LE00.IN (accessed on 26 July 2023).
- Ling, C.H.; Ahmed, K.; Muhamad, R.; Shahbaz, M.; Loganathan, N. Testing the Social Cost of Rapid Economic Development in Malaysia: The Effect of Trade on Life Expectancy. Soc. Indic. Res. 2017, 130, 1005–1023. [Google Scholar] [CrossRef]
- Murthy, U.; Shaari, M.S.; Mariadas, P.A.; Abidin, N.Z. The Relationships between CO2 Emissions, Economic Growth and Life Expectancy. J. Asian Financ. Econ. Bus. 2021, 8, 801–808. [Google Scholar] [CrossRef]
- Wirayuda, A.A.B.; Chan, M.F. A Systematic Review of Sociodemographic, Macroeconomic, and Health Resources Factors on Life Expectancy. Asia Pac. J. Public Health 2021, 33, 335–356. [Google Scholar] [CrossRef]
- Jiang, J.; Luo, L.; Xu, P.; Wang, P. How Does Social Development Influence Life Expectancy? A Geographically Weighted Regression Analysis in China. Public Health 2018, 163, 95–104. [Google Scholar] [CrossRef]
- Ministry of Health. Malaysia National Health Accounts Health Expenditure Report 1997–2019; Ministry of Health Malaysia: Putrajaya, Malaysia, 2021.
- Bayati, M.; Akbarian, R.; Kavosi, Z. Determinants of Life Expectancy in Eastern Mediterranean Region: A Health Production Function. Int. J. Health Policy Manag. 2013, 1, 57. [Google Scholar] [CrossRef]
- Logarajan, R.D.; Nor, N.M.; Sirag, A.; Said, R.; Ibrahim, S. The Impact of Public, Private, and Out-Of-Pocket Health Expenditures On Under-Five Mortality in Malaysia. Healthcare 2022, 10, 589. [Google Scholar] [CrossRef]
- Nketiah-Amponsah, E. The Impact of Health Expenditures on Health Outcomes in Sub-Saharan Africa. J. Dev. Soc. 2019, 35, 134–152. [Google Scholar] [CrossRef]
- Shi, A. The Impact of Population Pressure on Global Carbon Dioxide Emissions, 1975–1996: Evidence from Pooled Cross-Country Data. Ecol. Econ. 2003, 44, 29–42. [Google Scholar] [CrossRef]
- Menz, T.; Welsch, H. Population Aging and Carbon Emissions in OECD Countries: Accounting for Life-Cycle and Cohort Effects. Energy Econ. 2012, 34, 842–849. [Google Scholar] [CrossRef]
- Ali, A.; Ahmad, K. The Impact of Socio-Economic Factors on Life Expectancy for Sultanate of Oman: An Empirical Analysis. Middle-East J. Sci. Res. 2014, 22, 218–224. [Google Scholar]
- Hill, T.D.; Jorgenson, A.K.; Ore, P.; Balistreri, K.S.; Clark, B. Air Quality and Life Expectancy in the United States: An Analysis of the Moderating Effect of Income Inequality. SSM-Popul. Health 2019, 7, 100346. [Google Scholar] [CrossRef] [PubMed]
- Duque, A.M.; Peixoto, M.V.; Lima, S.V.; Goes, M.A.O.; Santos, A.D.; Araújo, K.C.G.M.; Nunes, M.A.P. Analysis of the Relationship Between Life Expectancy and Social Determinants in a North-Eastern Region of Brazil, 2010–2017. Geospat. Health 2018, 13, 345–352. [Google Scholar] [CrossRef] [PubMed]
- He, L.; Li, N. The Linkages Between Life Expectancy and Economic Growth: Some New Evidence. Empir. Econ. 2020, 58, 2381–2402. [Google Scholar] [CrossRef]
- Angelov, I. The Square Theory of Economic Development. South Asian J. Soc. Stud. Econ. 2023, 18, 30–36. [Google Scholar] [CrossRef]
- Pelsa, I.; Balina, S. Development of Economic Theory–from Theories of Economic Growth and Economic Development to the Paradigm of Sustainable Development. DIEM Dubrov. Int. Econ. Meet. 2022, 7, 91–101. [Google Scholar] [CrossRef]
- Natsiopoulos, K.; Tzeremes, N.G. ARDL Bounds Test for Cointegration: Replicating the Pesaran et al. (2001) Results for the UK Earnings Equation using R. J. Appl. Econom. 2022, 37, 1079–1090. [Google Scholar] [CrossRef]
- R Core Team. R: A Language and Environment for Statistical Computing; R Foundation for Statistical Computing: Vienna, Austria, 2020; Available online: https://www.R-project.org/ (accessed on 2 November 2022).
- Ministry of Health. Malaysia National Health Accounts Health Expenditure Report 2011–2021; Ministry of Health Malaysia: Putrajaya, Malaysia, 2023.
- World Bank. CO2 emissions (kt)—Malaysia. Available online: https://data.worldbank.org/indicator/EN.ATM.CO2E.KT?end=2020&locations=MY&start=1997&view=chart (accessed on 26 July 2023).
- Gessesse, A.T.; He, G. Analysis of Carbon Dioxide Emissions, Energy Consumption, and Economic Growth in China. Agric. Econ. 2020, 66, 183–192. [Google Scholar] [CrossRef]
- Shaari, M.S.; Lee, W.C.; Ridzuan, A.R.; Lau, E.; Masnan, F. The Impacts of Energy Consumption by Sector and Foreign Direct Investment on CO2 Emissions in Malaysia. Sustainability 2022, 14, 16028. [Google Scholar] [CrossRef]
- Ghosh, S. The Impact of Economic Uncertainty and Financial Stress on Consumer Confidence: The Case of Japan. J. Asian Bus. Econ. Stud. 2022, 29, 50–65. [Google Scholar] [CrossRef]
- Narayan, P.K. The Saving and Investment Nexus for China: Evidence from Cointegration Test. Appl. Econ. 2005, 37, 1979–1990. [Google Scholar] [CrossRef]
- Phillips, P.C.; Perron, P. Testing for a Unit Root in Time Series Regression. Biometrika 1988, 75, 335–346. [Google Scholar] [CrossRef]
- Kwiatkowski, D.; Phillips, P.C.B.; Schmidt, P.; Shin, Y. Testing the Null Hypothesis of Stationarity Against the Alternative of a Unit Root: How Sure are We that Economic Time Series have a Unit Root? J. Econom. 1992, 54, 159–178. [Google Scholar] [CrossRef]
- Pesaran, M.H.; Shin, Y.; Smith, R.J. Bounds Testing Approaches to the Analysis of Level Relationships. J. Appl. Econom. 2001, 16, 289–326. [Google Scholar] [CrossRef]
- Kabir, M. Determinants of Life Expectancy in Developing Countries. J. Dev. Areas 2008, 41, 185–204. [Google Scholar] [CrossRef]
- Zhang, M.; Yang, Z.; Liu, L.; Zhou, D. Impact of Renewable Energy Investment on Carbon Emissions in China-An empirical study using a Nonparametric Additive Regression Model. Sci. Total Environ. 2021, 785, 147109. [Google Scholar] [CrossRef] [PubMed]
- Udemba, E.N.; Philip, L.D. Policy Insight from Renewable Energy, Foreign Direct Investment (FDI), and Urbanization Towards Climate Goal: Insight from Indonesia. Environ. Sci. Pollut. Res. 2022, 29, 54492–54506. [Google Scholar] [CrossRef] [PubMed]
- Ismail, Z.; Ahmad, W.I.W.; Hamjah, S.H.; Astina, I.K. The Impact of Population Ageing: A Review. Iran. J. Public Health 2021, 50, 2451. [Google Scholar] [CrossRef]
- Institute for Public Health. National Health and Morbidity Survey (NHMS) 2019: Non-Communicable Diseases, Healthcare Demand, and Health Literacy—Key Findings; Ministry of Health Malaysia: Putrajaya, Malaysia, 2020; ISBN 978-983-99320-6-5.
- Moran, A.; Gu, D.; Zhao, D.; Coxson, P.; Wang, Y.C.; Chen, C.-S.; Liu, J.; Cheng, J.; Bibbins-Domingo, K.; Shen, Y.-M.; et al. Future Cardiovascular Disease in China: Markov Model and Risk Factor Scenario Projections from the Coronary Heart Disease Policy Model–China. Circ. Cardiovasc. Qual. Outcomes 2010, 3, 243–252. [Google Scholar] [CrossRef]




| Variable | Proxy | Unit | Sources |
|---|---|---|---|
| Health resources | Total health expenditure per capita | RM | [29,43] |
| Environment | CO2 emissions per capita | Tonnes | [24,44] |
| Economic development | GDP per capita | RM | [29,43] |
| Life expectancy | Life expectancy at birth | Year | [24,44] |
| Variables | PP Test Statistics | KPSS Test Statistics | ||
|---|---|---|---|---|
| Level | First Difference | Level | First Difference | |
| LE | −2.44 | −16.9 ** | 0.85504 *** | 0.32846 |
| HE | −0.267 | −25.9 *** | 0.9298 *** | 0.18128 |
| GDP | −0.469 | −27.1 *** | 0.91447 *** | 0.18215 |
| CO2 | −2.71 | −25.6 *** | 0.79232 *** | 0.0386 |
| F-Statistic: | 3.2986 * | ||
|---|---|---|---|
| Critical value bounds | Significance (%) | Lower Bound | Upper Bound |
| 10 | 2.37 | 3.2 * | |
| 5 | 2.79 | 3.67 | |
| 1 | 3.65 | 4.66 | |
| Variable | Coefficient | Standard Error | t-Statistics | p-Values |
|---|---|---|---|---|
| Constant | 3.191136 | 1.9177 | 1.664 | 0.1243 |
| HE | −0.22297 | 0.4947 | −0.4507 | 0.6609 |
| GDP | 0.26132 | 0.5247 | 0.4981 | 0.6282 |
| CO2 | 0.0227 | 0.1126 | 0.2018 | 0.8438 |
| Variable | Coefficient | Standard Error | t-Statistics | p-Values |
|---|---|---|---|---|
| −0.0404176 | 0.0111 | −3.634 | 0.002449 *** | |
| −0.0040692 | 0.0103 | −0.395 | 0.698345 | |
| −0.0003735 | 0.0127 | −0.029 | 0.977004 | |
| −0.0316040 | 0.0096 | −3.288 | 0.004983 *** | |
| 0.0345807 | 0.0117 | 2.967 | 0.009596 *** | |
| −0.0228432 | 0.0137 | −1.669 | 0.115862 | |
| −0.1725684 | 0.0363 | −4.742 | 0.000262 *** |
| Test | Result (p-Value) |
|---|---|
| Durbin–Watson | 2.0132 |
| Jarque–Bera | 0.80584 (0.6684) |
| Breusch–Pagan | 15.961 (0.1008) |
| R-square | 0.9718 |
Disclaimer/Publisher’s Note: The statements, opinions and data contained in all publications are solely those of the individual author(s) and contributor(s) and not of MDPI and/or the editor(s). MDPI and/or the editor(s) disclaim responsibility for any injury to people or property resulting from any ideas, methods, instructions or products referred to in the content. |
© 2024 by the authors. Licensee MDPI, Basel, Switzerland. This article is an open access article distributed under the terms and conditions of the Creative Commons Attribution (CC BY) license (https://creativecommons.org/licenses/by/4.0/).
Share and Cite
Redzwan, N.; Ramli, R. Carbon Emissions, Health Expenditure, and Economic Effects on Life Expectancy in Malaysia. World 2024, 5, 588-602. https://doi.org/10.3390/world5030030
Redzwan N, Ramli R. Carbon Emissions, Health Expenditure, and Economic Effects on Life Expectancy in Malaysia. World. 2024; 5(3):588-602. https://doi.org/10.3390/world5030030
Chicago/Turabian StyleRedzwan, Norkhairunnisa, and Rozita Ramli. 2024. "Carbon Emissions, Health Expenditure, and Economic Effects on Life Expectancy in Malaysia" World 5, no. 3: 588-602. https://doi.org/10.3390/world5030030
APA StyleRedzwan, N., & Ramli, R. (2024). Carbon Emissions, Health Expenditure, and Economic Effects on Life Expectancy in Malaysia. World, 5(3), 588-602. https://doi.org/10.3390/world5030030

