Modeling Pesticide Effects on Multiple Threatened and Endangered Cyprinid Fish Species: The Role of Life-History Traits and Ecology
Abstract
1. Introduction
2. Material and Methods
2.1. Purpose
2.2. Species Modeled
2.3. Process Overview and Scheduling
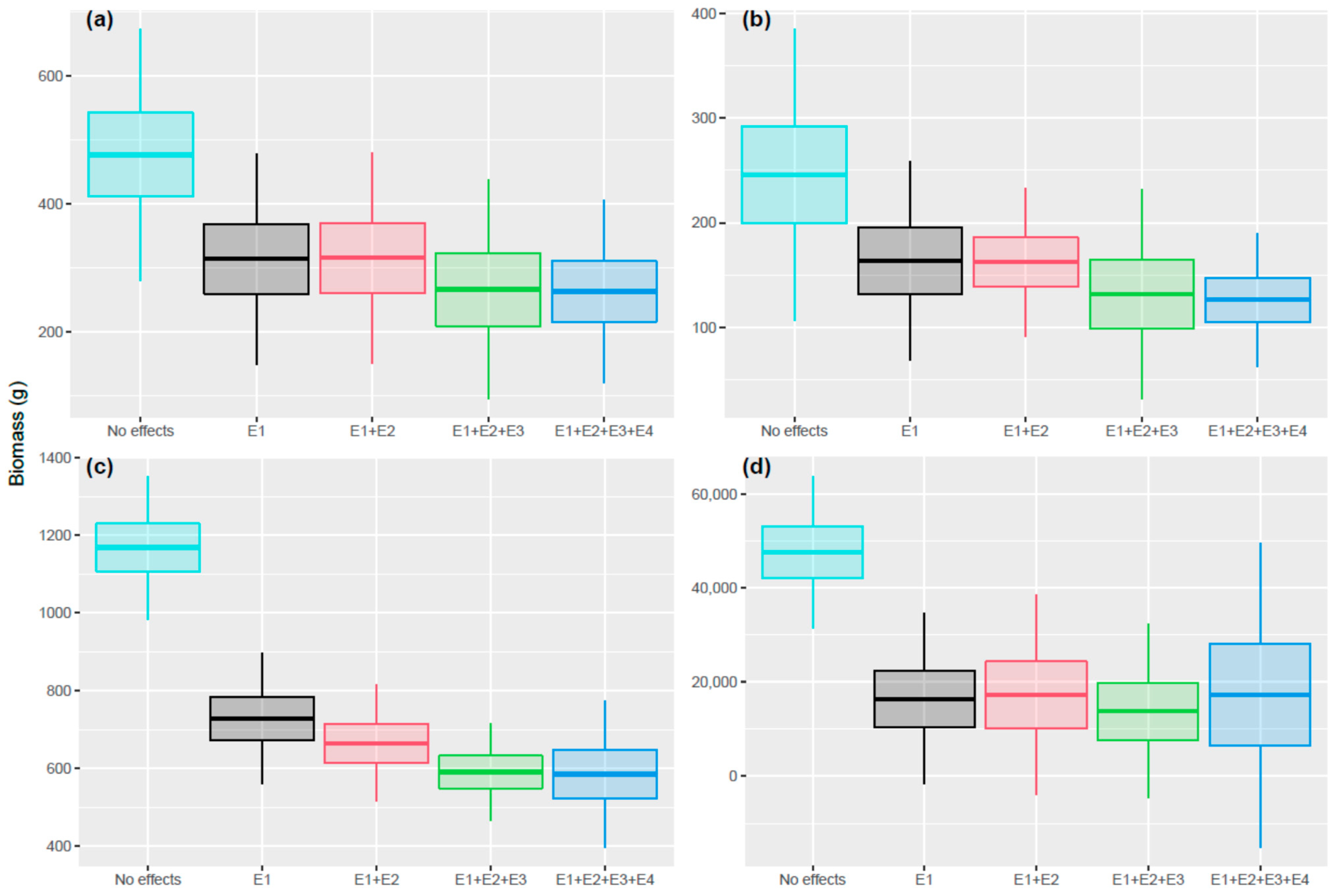
2.4. Effect Implementation
- E1: toxicant-induced mortality of juveniles and adults (lethal effects, reduced GUTS-IT model);
- E2: decrease in egg production (sub-lethal effects, TKTD model);
- E3: decrease in hatching success (lethal effects, reduced GUTS-IT model);
- E4: decrease in food availability (indirect effects).
2.5. Exposure Scenarios
- at least 3 individual years with 6 or more observations, 30 percent or more of which are uncensored;
- at least 30 observations for all years combined;
- at least 10 uncensored observations for all years combined.
2.6. Sensitivity Analysis
2.7. Calibration, Simulation Experiments and Model Analysis
3. Results
3.1. Baseline Population Dynamics
3.2. Population Dose-Response
3.3. Effect sub-Models
3.4. Sensitivity Analysis
4. Discussion
4.1. Baseline Population Dynamics
4.2. Population-Level Responses to Exposure
4.3. Assessment of Effect Sub-Models
4.4. Model and Data Limitations
5. Conclusions
Supplementary Materials
Author Contributions
Funding
Institutional Review Board Statement
Informed Consent Statement
Data Availability Statement
Acknowledgments
Conflicts of Interest
References
- Forbes, V.E.; Galic, N.; Schmolke, A.; Vavra, J.; Pastorok, R.; Thorbek, P. Assessing the risks of pesticides to threatened and endangered species using population modeling: A critical review and recommendations for future work. Environ. Toxicol. Chem. 2016, 35, 1904–1913. [Google Scholar] [CrossRef]
- Wolf, S.; Hartl, B.; Carroll, C.; Neel, M.C.; Greenwald, D.N. Beyond PVA: Why recovery under the Endangered Species Act is more than population viability. Bioscience 2015, 65, 200–207. [Google Scholar] [CrossRef]
- National Research Council. Assessing Risks to Endangered and Threatened Species from Pesticides; The National Academies Press: Washington, DC, USA, 2013.
- Forbes, V.E.; Schmolke, A.; Accolla, C.; Grimm, V. A plea for consistency, transparency, and reproducibility in risk assessment effect models. Environ. Toxicol. Chem. 2019, 38, 9–11. [Google Scholar] [CrossRef] [PubMed]
- Awkerman, J.; Raimondo, S.; Schmolke, A.; Galic, N.; Rueda-Cediel, P.; Kapo, K.; Accolla, C.; Vaugeois, M.; Forbe, V. Guidance for Developing Amphibian Population Models for Ecological Risk Assessment. Integr. Environ. Assess. Manag. 2020, 16, 223–233. [Google Scholar] [CrossRef] [PubMed]
- Ibrahim, L.; Preuss, T.G.; Schaeffer, A.; Hommen, U. A contribution to the identification of representative vulnerable fish species for pesticide risk assessment in Europe-A comparison of population resilience using matrix models. Ecol. Model. 2014, 280, 65–75. [Google Scholar] [CrossRef]
- EFSA. Scientific opinion on good modelling practice in the context of mechanistic effect models for risk assessment of plant protection products. EFSA J. 2014, 12, 10–13. [Google Scholar] [CrossRef]
- Raimondo, S.; Schmolke, A.; Pollesch, N.; Accolla, C.; Galic, N.; Moore, A.; Vaugeois, M.; Rueda-Cediel, P.; Kanarek, A.; Awkerman, J.; et al. Pop-GUIDE: Population Modeling Guidance, Use, Interpretation, and Development for Ecological Risk Assessment. Integr. Environ. Assess. Manag. 2021, 17, 767–784. [Google Scholar] [CrossRef] [PubMed]
- Schmolke, A.; Kapo, K.E.; Rueda-Cediel, P.; Thorbek, P.; Brain, R.; Forbes, V. Developing population models: A systematic approach for pesticide risk assessment using herbaceous plants as an example. Sci. Total Environ. 2017, 599–600, 1929–1938. [Google Scholar] [CrossRef] [PubMed]
- Grimm, V.; Railsback, S.F.; Vincenot, C.E.; Berger, U.; Gallagher, C.; DeAngelis, D.L.; Edmonds, B.; Ge, J.; Giske, J.; Groeneveld, J.; et al. The ODD protocol for describing agent-based and other simulation models: A second update to improve clarity, replication, and structural realism. J. Artif. Soc. Soc. Simul. 2020, 23, 7. [Google Scholar] [CrossRef]
- Schmolke, A.; Thorbek, P.; Chapman, P.; Grimm, V. Ecological models and pesticide risk assessment: Current modeling practice. Environ. Toxicol. Chem. 2010, 29, 1006–1012. [Google Scholar] [CrossRef] [PubMed]
- Augusiak, J.; van den Brink, P.J.; Grimm, V. Merging validation and evaluation of ecological models to ‘evaludation’: A review of terminology and a practical approach. Ecol. Model. 2014, 280, 117–128. [Google Scholar] [CrossRef]
- Raimondo, S.; Etterson, M.; Pollesch, N.; Garber, K.; Kanarek, A.; Lehmann, W.; Awkerman, J. A framework for linking population model development with ecological risk assessment objectives. Integr. Environ. Assess. Manag. 2018, 14, 369–380. [Google Scholar] [CrossRef]
- Accolla, C.; Vaugeois, M.; Grimm, V.; Moore, A.P.; Rueda-Cediel, P.; Schmolke, A.; Forbes, V.E. A Review of Key Features and Their Implementation in Unstructured, Structured, and Agent-Based Population Models for Ecological Risk Assessment. Integr. Environ. Assess. Manag. 2021, 17, 521–540. [Google Scholar] [CrossRef] [PubMed]
- Kooijman, B.; Kooijman, S.A.L.M. Dynamic Energy Budget Theory for Metabolic Organisation, 3rd ed.; Cambridge University Press: Cambridge, UK, 2010; p. 508. [Google Scholar]
- EPA. National Marine Fisheries Service Endangered Species Section 7 Consultation, Biological Opinion Registration of Pesticides Containing Chlorpyrifos, Diazinon, and Malathion. Available online: http://www.nmfs.noaa.gov/pr/pdfs/pesticide_biop.pdf (accessed on 5 December 2021).
- International Organization for Standardization (ISO). Water Quality–Guidance on Statistical Interpretation of Ecotoxicity Data; ISO: Geneve, Switzerland, 2006. [Google Scholar]
- EFSA Panel on Plant Protection Products and their Residues (PPR); Ockleford, C.; Adriaanse, P.; Berny, P.; Brock, T.; Duquesne, S.; Grilli, S.; Hernandez-Jerez, A.F.; Bennekou, S.H.; Klein, M.; et al. Scientific Opinion on the state of the art of Toxicokinetic/Toxicodynamic (TKTD) effect models for regulatory risk assessment of pesticides for aquatic organisms. EFSA J. 2018, 16, e05377. [Google Scholar] [CrossRef] [PubMed]
- Organisation for Economic Cooperation and Development (OECD). Current Approaches in the Statistical Analysis of Ecotoxicity Data: A Guidance to Application; Series on Testing and Assessment, No. 54; OECD: Paris, France, 2006. [Google Scholar]
- Grimm, V.; Berger, U.; DeAngelis, D.L.; Polhill, J.G.; Giske, J.; Railsback, S.F. The ODD protocol: A review and first update. Ecol. Model. 2010, 221, 2760–2768. [Google Scholar] [CrossRef]
- Grimm, V.; Augusiak, J.; Focks, A.; Frank, B.M.; Gabsi, F.; Johnston, A.S.; Liu, C.; Martin, B.; Meli, M.; Radchuk, V.; et al. Towards better modelling and decision support: Documenting model development, testing, and analysis using TRACE. Ecol. Model. 2014, 280, 129–139. [Google Scholar] [CrossRef]
- Schmolke, A.; Thorbek, P.; DeAngelis, D.; Grimm, V. Ecological models supporting environmental decision making: A strategy for the future. Trends Ecol. Evol. 2010, 25, 479–486. [Google Scholar] [CrossRef] [PubMed]
- Wilensky, U. NetLogo. 1999. Available online: http://ccl.northwestern.edu/netlogo/ (accessed on 1 December 2020).
- USEPA. 457662 Chlorothalonil: Draft Ecological Risk Assessment for Registration Review. 2020. Available online: https://www.regulations.gov/document/EPA-HQ-OPP-2011-0840-0036 (accessed on 5 December 2020).
- Jelks, H.L.; Walsh, S.; Burkhead, N.M.; Contreras-Balderas, S.; Diaz-Pardo, E.; Hendrickson, D.A.; Lyons, J.; Mandrak, N.E.; McCormick, F.; Nelson, J.S.; et al. Conservation Status of Imperiled North American Freshwater and Diadromous Fishes. Fisheries 2008, 33, 372–407. [Google Scholar] [CrossRef]
- U.S. Fish and Wildlife Service. Humpback Chub (Gila cypha) Recovery Goals: Amendment and Supplement to the Humpback Chub Recovery Plan, Mountain-Prairie Region (6), Denver, Colorado; U.S. Fish and Wildlife Service: Washington, DC, USA, 2002; p. 20.
- U.S. Fish and Wildlife Service. Spikedace, (Meda fulgida) Recovery Plan; U.S. Fish and Wildlife Service: Washington, DC, USA, 1988.
- U.S. Fish and Wildlife Service. Recovery Plan for the Topeka Shiner (Notropis topeka). Draft; U.S. Fish and Wildlife Service: Washington, DC, USA, 2019.
- U.S. Fish and Wildlife Service. Devils River Minnow (Dionda diaboli) Recovery Plan; U.S. Fish and Wildlife Service: Washington, DC, USA, 2005.
- Greger, P.D.; Deacon, J.E. Food Partitioning among Fishes of the Virgin River Author. Am. Soc. Ichthyol. Herpetol. 1988, 1988, 314–323. [Google Scholar]
- Seegert, S.E.Z.; Rosi-Marshall, E.J.; Baxter, C.V.; Kennedy, T.A.; Hall, R.O.; Cross, W.F. High Diet Overlap between Native Small-Bodied Fishes and Nonnative Fathead Minnow in the Colorado River, Grand Canyon, Arizona. Trans. Am. Fish. Soc. 2014, 143, 1072–1083. [Google Scholar] [CrossRef]
- Angermeier, P.L. Resource seasonality and fish diets in an Illinois stream. J. Appl. Phycol. 1982, 7, 251–264. [Google Scholar] [CrossRef]
- Schmolke, A.; Bartell, S.M.; Roy, C.; Green, N.; Galic, N.; Brain, R. Species-specific population dynamics and their link to an aquatic food web: A hybrid modeling approach. Ecol. Model. 2019, 405, 1–14. [Google Scholar] [CrossRef]
- Magalhães, M.F. Feeding of an Iberian stream cyprinid assemblage: Seasonality of resource use in a highly variable environment. Oecologia 1993, 96, 253–260. [Google Scholar] [CrossRef]
- McMillan, S.M.; Echo-Hawk, P.D. Reproductive and Feeding Ecology of Two Sympatric Dionda (Cyprinidae) in the Rio Grande Basin, Texas; Texas State University: San Marcos, TX, USA, 2015. [Google Scholar]
- Kooijman, S.L.A.M. Metabolic acceleration in animal ontogeny: An evolutionary perspective. J. Sea Res. 2014, 94, 128–137. [Google Scholar] [CrossRef]
- Accolla, C.; Vaugeois, M.; Forbes, V.E. Similar individual-level responses to stressors have different population-level consequences among closely related species of trout. Sci. Total Environ. 2019, 693, 133295. [Google Scholar] [CrossRef]
- Martin, B.T.; Zimmer, E.I.; Grimm, V.; Jager, T. Dynamic Energy Budget theory meets individual-based modelling: A generic and accessible implementation. Methods Ecol. Evol. 2012, 3, 445–449. [Google Scholar] [CrossRef]
- Campbell, S.W.; Szuwalski, C.S.; Tabor, V.M.; Denoyelles, F. Challenges to Reintroduction of a Captive Population of Topeka Shiner (Notropis topeka) into Former Habitats in Kansas. Trans. Kansas Acad. Sci. 2016, 119, 83–92. [Google Scholar] [CrossRef]
- Mills, C.A. Egg population dynamics of naturally spawning date, Leuciscus leuciscus (L.). Environ. Biol. Fishes 1981, 6, 151–158. [Google Scholar] [CrossRef]
- Phillips, C.T.; Gibson, J.R.; Fries, J.N. Spawning behavior and nest association by Dionda diaboli in the Devils River, Texas. Southwest. Nat. 2011, 56, 108–112. [Google Scholar] [CrossRef]
- Echo-Hawk, P.D.; Garrett, G.P. Performance of Different Diet Types on Larval Rearing of The Threatened Devils River Minnow (Dionda diaboli). Master’s Thesis, Texas A & M University, College Station, TX, USA, 2015. [Google Scholar]
- Gori, D.; Cooper, M.S.; Soles, E.S.; Stone, M.; Morrison, R.; Turner, T.F.; Propst, D.L.; Garfin, G.; Switanek, M.; Chang, H.; et al. Gila River Flow Needs Assessment. Nature Conservancy. 2014. Available online: http://nmconservation.org/Gila/GilaFlowNeedsAssessment.pdf (accessed on 10 April 2022).
- Christensen, N.S.; Lettenmaier, D.P. Hydrology and Earth System Sciences A multimodel Ensemble Approach to Assessment of Climate Change Impacts on the Hydrology and Water Resources of the Colorado River Basin. Hydrol. Earth Syst. Sci. 2007, 11, 1417–1434. [Google Scholar] [CrossRef]
- Udall, B.; Overpeck, J. The twenty-first century Colorado River hot drought and implications for the future. Water Resour. Res. 2017, 53, 2404–2418. [Google Scholar] [CrossRef]
- Brouder, M.J. Effects of Flooding on Recruitment of Roundtail Chub, Gila robusta, in a Southwestern River. Southwest. Nat. 2001, 46, 302–310. [Google Scholar] [CrossRef]
- Mcmillan, S. Reproductive and Feeding Ecology of two Sympatric Dionda. Unpublished Thesis, Texas State University-San Marcos, San Marcos, TX, USA, 2011. [Google Scholar]
- USGS 09402300, Little Colorado River abv Mouth nr Desert View, AZ. 2021. Available online: https://waterdata.usgs.gov/nwis/dvstat/?referred_module=sw&site_no=09402300&por_09402300_5316=19284,00010,5316,2016-04-27,2020-02-16&format=html_table&stat_cds=mean_va&date_format=YYYY-MM-DD&rdb_compression=file&submitted_form= (accessed on 13 November 2020).
- USGS 08375300, Rio Grande at Rio Grande Village, Big Bnd NP, TX. 2021. Available online: https://waterdata.usgs.gov/nwis/uv?08375300 (accessed on 13 November 2020).
- DeRoos, A.M.; Heesterbeek, H.; Galic, N. How resource competition shapes individual life history for nonplastic growth: Ungulates in seasonal food environments. Ecology 2009, 90, 945–960. [Google Scholar] [CrossRef] [PubMed]
- Schults, S.; Killeen, J.; Heilman, R.; Shults, S.; Killeen, J.; Heilman, R. A Chronic Study in the Fathead Minnow (Pimephales promelas) with Technical Cholorothalonil. Painesville. 1980. Available online: https://github.com/Waterborne-env/DEB-based-Cyprinidae-Model (accessed on 13 November 2020).
- Rieder, D. Data Evaluation Record. 1980. Available online: https://www3.epa.gov/pesticides/chem_search/cleared_reviews/csr_PC-081901_16-Dec-82_165.pdf (accessed on 16 May 2022).
- Yellowlees, A. Chronic Study in the Fathead Minnow. Numbers of Eggs per Surviving Female per Day: NOEC and EC10. Edinburgh. 2016. Available online: https://github.com/Waterborne-env/DEB-based-Cyprinidae-Model (accessed on 16 May 2022).
- Jager, T.; Albert, C.; Preuss, T.G.; Ashauer, R. General unified threshold model of survival-A toxicokinetic-toxicodynamic framework for ecotoxicology. Environ. Sci. Technol. 2011, 45, 2529–2540. [Google Scholar] [CrossRef] [PubMed]
- Sherborne, N.; Galic, N. Modeling Sublethal Effects of Chemicals: Application of a Simplified Dynamic Energy Budget Model to Standard Ecotoxicity Data. Environ. Sci. Technol. 2020, 54, 7420–7429. [Google Scholar] [CrossRef]
- Brain, R.A.; Perkins, D.B.; Bang, J. Chlorothalonil Review and Assessment of the Potential Impact of Chlorothalonil on Endangered and Threatened Salmonid Species in the Pacific Northwest Based on Reproductive, Physiological, and Behavioral Considerations and Recent Environmental Monitoring D. 2010. Available online: https://github.com/Waterborne-env/DEB-based-Cyprinidae-Model (accessed on 16 May 2022).
- Vecchia, A.V. Model Methodology for Estimating Pesticide Concentration Extremes Based on Sparse Monitoring Data; U.S. Geological Survey Scientific Investigations Report; U.S. Geological Survey: Reston, VA, USA, 2018. [CrossRef]
- USEPA and USGS Water Quality Portal. 2022. Available online: https://www.waterqualitydata.us/ (accessed on 3 February 2022).
- Blower, S.M.; Dowlatabadit, H. Sensitivity and Uncertainty Analysis of Complex Models of Disease Transmission: An HIV Model, as an Example. Int. Stat. Rev. 1994, 62, 229–243. [Google Scholar] [CrossRef]
- Jager, T.; Ashauer, R. How to Evaluate the Quality of Toxicokinetic—Toxicodynamic Models in the Context of Environmental Risk Assessment. Integr. Environ. Assess. Manag. 2018, 14, 604–614. [Google Scholar] [CrossRef] [PubMed]
- Kim, S. ppcor: An R Package for a Fast Calculation to Semi-partial Correlation Coefficients. Commun. Stat. Appl. Methods 2015, 22, 665–674. [Google Scholar] [CrossRef]
- G Hammerson Gila cypha. Available online: https://explorer.natureserve.org/Taxon/ELEMENT_GLOBAL.2.102735/Gila_cypha (accessed on 15 January 2021).
- Yackulic, C.B.; Yard, M.D.; Korman, J.; van Haverbeke, D.R. A quantitative life history of endangered humpback chub that spawn in the Little Colorado River: Variation in movement, growth, and survival. Ecol. Evol. 2014, 4, 1006–1018. [Google Scholar] [CrossRef]
- Kerns, H.A.; Bonneau, J.L. Aspects of the Life History and Feeding Habits of the Topeka shiner (Notropis topeka) in Kansas. Trans. Kansas Acad. Sci. 2002, 105, 125–142. [Google Scholar] [CrossRef]
- Dahle, S.P. Studies of Topeka Shiner (Notropis topeka) Life History and Distribution in Minnesota. Master’s Thesis, University of Minnesota, Minneapolis, MN, USA, 2001. [Google Scholar]
- Hamman, R.L. Spawning and culture of humpback chub. Progress. Fish-Cult. 1982, 44, 213–216. [Google Scholar] [CrossRef]
- Girard Meda fulgida. 1856. Available online: https://www.fishbase.de/summary/2802 (accessed on 15 January 2021).
- Hubbs and Brown Dionda diaboli. 1957. Available online: https://www.fishbase.de/summary/Dionda-diaboli.html (accessed on 15 January 2021).
- Barber, W.E.; Williams, D.C.; Minckley, W.L. Biology of the Gila Spikedace, Meda fulgida, in Arizona. Am. Soc. Ichthyol. Herpetol. 1970, 1970, 9–18. [Google Scholar] [CrossRef]
- Persson, L.; McCauley, E. The influence of size-dependent life-history traits on the structure and dynamics of populations and communities. Ecol. Lett. 2003, 6, 473–487. [Google Scholar]
- Narvaez, C.; Sainte-Marie, B.; Johnson, L. Intraspecific competition in size-structured populations: Ontogenetic shift in the importance of interference competition in a key marine herbivore. Mar. Ecol. Prog. Ser. 2020, 649, 97–110. [Google Scholar] [CrossRef]
- Archaimbault, V.; Usseglio-Polatera, P.; Garric, J.; Wasson, J.-G.; Babut, M. Assessing pollution of toxic sediment in streams using bio-ecological traits of benthic macroinvertebrates. Freshw. Biol. 2010, 55, 1430–1446. [Google Scholar] [CrossRef]
- Li, H.; Shi, L.; Wang, D.; Wang, M. Impacts of mercury exposure on life history traits of Tigriopus japonicus: Multigeneration effects and recovery from pollution. Aquat. Toxicol. 2015, 166, 42–49. [Google Scholar] [CrossRef] [PubMed]
- Brink, P.J.V.D.; Alexander, A.C.; Desrosiers, M.; Goedkoop, W.; Goethals, P.L.; Liess, M.; Dyer, S.D. Traits-based approaches in bioassessment and ecological risk assessment: Strengths, weaknesses, opportunities and threats. Integr. Environ. Assess. Manag. 2011, 7, 198–208. [Google Scholar] [CrossRef] [PubMed]
- Rubach, M.N.; Baird, D.J.; van den Brink, P.J. A new method for ranking mode-specific sensitivity of freshwater arthropods to insecticides and its relationship to biological traits. Environ. Toxicol. Chem. 2010, 29, 476–487. [Google Scholar] [CrossRef]
- Baird, D.J.; Brink, P.V.D. Using biological traits to predict species sensitivity to toxic substances. Ecotoxicol. Environ. Saf. 2007, 67, 296–301. [Google Scholar] [CrossRef] [PubMed]
- Schmolke, A.; Galic, N.; Feken, M.; Thompson, H.; Sgolastra, F.; Pitts-Singer, T.; Elston, C.; Pamminger, T.; Hinarejos, S. Assessment of the Vulnerability to Pesticide Exposures Across Bee Species. Environ. Toxicol. Chem. 2021, 40, 2640–2651. [Google Scholar] [CrossRef] [PubMed]
- Berg, S.J.P.V.D.; Baveco, H.; Butler, E.; De Laender, F.; Focks, A.; Franco, A.; Rendal, C.; Brink, P.V.D. Modeling the Sensitivity of Aquatic Macroinvertebrates to Chemicals Using Traits. Environ. Sci. Technol 2019, 53, 6025–6034. [Google Scholar] [CrossRef] [PubMed]
- Gabsi, F.; Hammers-Wirtz, M.; Grimm, V.; Schäffer, A.; Preuss, T.G. Coupling different mechanistic effect models for capturing individual- and population-level effects of chemicals: Lessons from a case where standard risk assessment failed. Ecol. Model. 2014, 280, 18–29. [Google Scholar] [CrossRef]
- Galic, N.; Sullivan, L.L.; Grimm, V.; Forbes, V.E.; Letters, E. When things don’t add up: Quantifying impacts of multiple stressors from individual metabolism to ecosystem processing. Ecol. Lett. 2018, 21, 568–577. [Google Scholar] [CrossRef]
- Accolla, C.; Forbes, V.E. Temperature dependence of population responses to competition and metabolic stress: An agent-based model to inform ecological risk assessment in a changing climate. Sci. Total Environ. 2021, 763, 144096. [Google Scholar] [CrossRef]
- Galic, N.; Baveco, H.; Hengeveld, G.M.; Thorbek, P.; Bruns, E.; van den Brink, P.J. Simulating population recovery of an aquatic isopod: Effects of timing of stress and landscape structure. Environ. Pollut. 2012, 163, 91–99. [Google Scholar] [CrossRef]
- Baveco, J.M.H.; Norman, S.; Roessink, I.; Galic, N.; van den Brink, P.J. Comparing population recovery after insecticide exposure for four aquatic invertebrate species using models of different complexity. Environ. Toxicol. Chem. 2014, 33, 1517–1528. [Google Scholar] [CrossRef]
- Forbes, V.; Sibly, R.M.; Linke-Gamenick, I. Joint effects of population density and toxicant exposure on population dynamics of Capitella sp. I. Ecol. Appl. 2003, 13, 1094–1103. [Google Scholar] [CrossRef][Green Version]
- Raimondo, S. Density dependent functional forms drive compensation in populations exposed to stressors. Ecol. Model. 2013, 265, 149–157. [Google Scholar] [CrossRef]
- Vaugeois, M.; Venturelli, P.A.; Hummel, S.L.; Accolla, C.; Forbes, V. Population context matters: Predicting the effects of metabolic stress mediated by food availability and predation with an agent- and energy budget-based model. Ecol. Model. 2019, 416, 108903. [Google Scholar] [CrossRef]
- Sibly, R.; Barker, D.; Denham, M.C.; Hone, J.; Pagel, M. On the Regulation of Populations of Mammals, Birds, Fish, and Insects. Science 2005, 309, 607–610. [Google Scholar] [CrossRef] [PubMed]
- Galic, N.; Grimm, V.; Forbes, V.E. Impaired ecosystem process despite little effects on populations: Modeling combined effects of warming and toxicants. Glob. Chang. Biol. 2017, 23, 2973–2989. [Google Scholar] [CrossRef] [PubMed]
- Forbes, V.E.; Olsen, M.; Palmqvist, A.; Calow, P. Environmentally sensitive life-cycle traits have low elasticity: Implications for theory and practice. Ecol. Appl. 2010, 20, 1449–1455. [Google Scholar] [CrossRef] [PubMed]
- Rueda-Cediel, P.; Brain, R.; Galic, N.; Forbes, V. Comparative Analysis of Plant Demographic Traits Across Species of Different Conservation Concern: Implications for Pesticide Risk Assessment. Environ. Toxicol. Chem. 2019, 38, 2043–2052. [Google Scholar] [CrossRef] [PubMed]
- Abrams, P.A. When does greater mortality increase population size? The long history and diverse mechanisms underlying the hydra effect. Ecol. Lett. 2009, 12, 462–474. [Google Scholar] [CrossRef] [PubMed]
- Lika, K.; Augustine, S.; Pecquerie, L.; Kooijman, S.A. The bijection from data to parameter space with the standard DEB model quantifies the supply-demand spectrum. J. Theor. Biol. 2014, 354, 35–47. [Google Scholar] [CrossRef]
- Accolla, C.; Vaugeois, M.; Rueda-Cediel, P.; Moore, A.; Marques, G.M.; Marella, P.; Forbes, V.E. DEB-tox and Data Gaps: Consequences for individual-level outputs. Ecol. Model. 2020, 431, 109107. [Google Scholar] [CrossRef]
- Lika, K.; Kearney, M.; Kooijman, S.A. The “covariation method” for estimating the parameters of the standard Dynamic Energy Budget model II: Properties and preliminary patterns. J. Sea Res. 2011, 66, 278–288. [Google Scholar] [CrossRef]






| First Simulation Set | ||||||||
| EMF | 1 | 2 | 4 | 5 | 7 | 8 | 10 | 11 |
| Second Simulation Set | ||||||||
| Effect sub-model | E1 | E1 + E2 | E1 + E2 + E3 | E1 + E2 + E3 + E4 | ||||
Publisher’s Note: MDPI stays neutral with regard to jurisdictional claims in published maps and institutional affiliations. |
© 2022 by the authors. Licensee MDPI, Basel, Switzerland. This article is an open access article distributed under the terms and conditions of the Creative Commons Attribution (CC BY) license (https://creativecommons.org/licenses/by/4.0/).
Share and Cite
Accolla, C.; Schmolke, A.; Jacobson, A.; Roy, C.; Forbes, V.E.; Brain, R.; Galic, N. Modeling Pesticide Effects on Multiple Threatened and Endangered Cyprinid Fish Species: The Role of Life-History Traits and Ecology. Ecologies 2022, 3, 183-205. https://doi.org/10.3390/ecologies3020015
Accolla C, Schmolke A, Jacobson A, Roy C, Forbes VE, Brain R, Galic N. Modeling Pesticide Effects on Multiple Threatened and Endangered Cyprinid Fish Species: The Role of Life-History Traits and Ecology. Ecologies. 2022; 3(2):183-205. https://doi.org/10.3390/ecologies3020015
Chicago/Turabian StyleAccolla, Chiara, Amelie Schmolke, Andy Jacobson, Colleen Roy, Valery E. Forbes, Richard Brain, and Nika Galic. 2022. "Modeling Pesticide Effects on Multiple Threatened and Endangered Cyprinid Fish Species: The Role of Life-History Traits and Ecology" Ecologies 3, no. 2: 183-205. https://doi.org/10.3390/ecologies3020015
APA StyleAccolla, C., Schmolke, A., Jacobson, A., Roy, C., Forbes, V. E., Brain, R., & Galic, N. (2022). Modeling Pesticide Effects on Multiple Threatened and Endangered Cyprinid Fish Species: The Role of Life-History Traits and Ecology. Ecologies, 3(2), 183-205. https://doi.org/10.3390/ecologies3020015

