Effects of Twelve Weeks of Virtual Square Stepping Exercises on Quality of Life, Satisfaction with the Life, Mental Health, and Cognitive Function in Women with Fibromyalgia: A Randomized Control Trial
Abstract
1. Introduction
1.1. Fibromyalgia and Its Impact on Health and Quality of Life
1.2. Physical Activity in Symptom Management
1.3. Square-Stepping Exercise: Fundamentals and Overview of Benefits
1.4. Aims and Hypotheses
2. Results
2.1. Sample Characteristics
2.2. Pre- and Post-Intervention Analysis
2.2.1. Applicability and Security
2.2.2. Intra-Group Comparision
2.3. Comparision Between Experimental and Control Group
2.3.1. Health Related Quality of Life
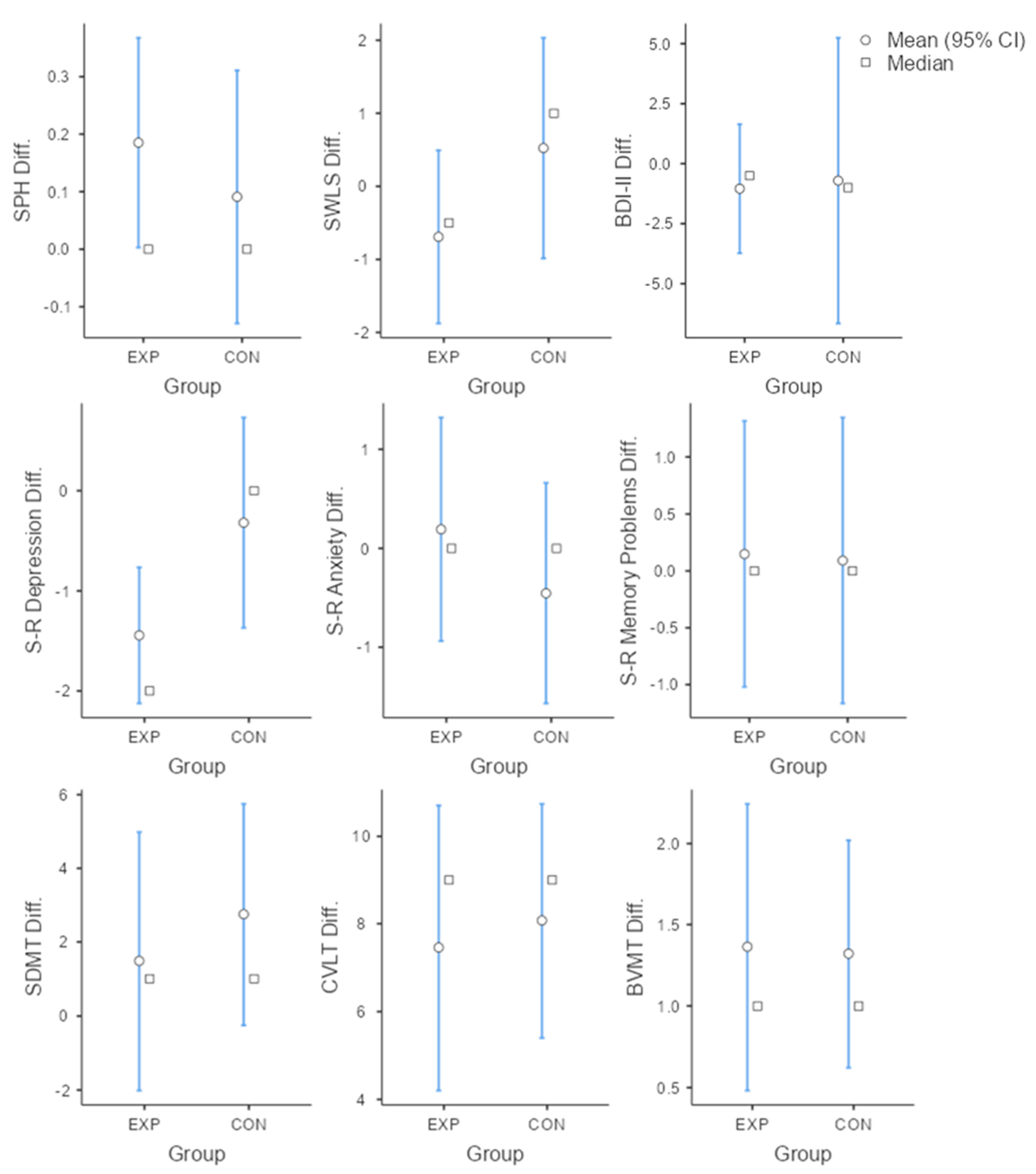
2.3.2. Self-Perceived Health, Satisfaction with Life, Mental Health and Cognitive Function
3. Discussion
3.1. Quality of Life
3.2. Self-Perceived Health
3.3. Mental Health and Satisfaction with Life
3.4. Cognitive Function
3.5. Practical Applications
3.6. Limitations
4. Materials and Methods
4.1. Design
4.2. Participants
4.3. Intervention Program
4.4. Measures and Procedures
4.4.1. Descriptive Variables
4.4.2. Outcome Variables
Safety and Applicability
Quality of Life (QoL)
Self-Perceived Health
Satisfaction with Life
Mental Health
Cognitive Function
4.5. Statistical Analysis
5. Conclusions
Supplementary Materials
Author Contributions
Funding
Institutional Review Board Statement
Informed Consent Statement
Data Availability Statement
Conflicts of Interest
References
- Clauw, D.J. Fibromyalgia: A Clinical Review. JAMA 2014, 311, 1547–1555. [Google Scholar] [CrossRef] [PubMed]
- Giorgi, V.; Sirotti, S.; Romano, M.E.; Marotto, D.; Ablin, J.N.; Salaffi, F.; Sarzi-Puttini, P. Fibromyalgia: One Year in Review 2022. Clin. Exp. Rheumatol. 2022, 40, 1065–1072. [Google Scholar] [CrossRef]
- Malluru, N.; Abdullah, Y.; Hackshaw, K.V. Early Diagnostics of Fibromyalgia: An Overview of the Challenges and Opportunities. Expert Rev. Mol. Diagn. 2025, 25, 21–31. [Google Scholar] [CrossRef]
- Córdoba-Torrecilla, S.; Aparicio, V.A.; Soriano-Maldonado, A.; Estévez-López, F.; Segura-Jiménez, V.; Álvarez-Gallardo, I.; Femia, P.; Delgado-Fernández, M. Physical Fitness Is Associated with Anxiety Levels in Women with Fibromyalgia: The al-Ándalus Project. Qual. Life Res. 2016, 25, 1053–1058. [Google Scholar] [CrossRef] [PubMed]
- Fors, E.A.; Wensaas, K.A.; Helvik, A.S. Prevalence and Characteristics of Fibromyalgia According to Three Fibromyalgia Diagnostic Criteria: A Secondary Analysis Study. Scand J. Pain 2024, 24, 20230143. [Google Scholar] [CrossRef] [PubMed]
- What Is Fibromyalgia?—Symptoms & Treatment|NIAMS. Available online: https://www.niams.nih.gov/health-topics/fibromyalgia (accessed on 28 February 2025).
- Häuser, W.; Ablin, J.; Fitzcharles, M.A.; Littlejohn, G.; Luciano, J.V.; Usui, C.; Walitt, B. Fibromyalgia. Nat. Rev. Dis. Primers 2015, 1, 15022. [Google Scholar] [CrossRef]
- Singh, R.; Rai, N.K.; Pathak, A.; Rai, J.; Pakhare, A.; Kashyap, P.V.; Rozatkar, A.R.; Mishra, S.; Mudda, S.; Singh, R.; et al. Impact of Fibromyalgia Severity on Patients Mood, Sleep Quality, and Quality of Life. J. Neurosci. Rural. Pract. 2024, 15, 320–326. [Google Scholar] [CrossRef]
- Denche-Zamorano, Á.; Pereira-Payo, D.; Collado-Mateo, D.; Carmelo Adsuar-Sala, J.; Tomas-Carus, P.; Parraca, J.A. Physical Function, Self-Perceived Physical Fitness, Falls, Quality of Life and Degree of Disability According to Fear and Risk of Falling in Women with Fibromyalgia. J. Funct. Morphol. Kinesiol. 2024, 2024, 174. [Google Scholar] [CrossRef]
- Booth, J.; Moseley, G.L.; Schiltenwolf, M.; Cashin, A.; Davies, M.; Hübscher, M. Exercise for Chronic Musculoskeletal Pain: A Biopsychosocial Approach. Musculoskelet. Care 2017, 15, 413–421. [Google Scholar] [CrossRef]
- Sechi, C.; Vismara, L.; Brennstuhl, M.J.; Tarquinio, C.; Lucarelli, L. Adult Attachment Styles, Self-Esteem, and Quality of Life in Women with Fibromyalgia. Health Psychol. Open 2020, 7, 2055102920947921. [Google Scholar] [CrossRef]
- Segura-Jiménez, V.; Estévez-López, F.; Soriano-Maldonado, A.; Álvarez-Gallardo, I.C.; Delgado-Fernández, M.; Ruiz, J.R.; Aparicio, V.A. Gender Differences in Symptoms, Health-Related Quality of Life, Sleep Quality, Mental Health, Cognitive Performance, Pain-Cognition, and Positive Health in Spanish Fibromyalgia Individuals: The Al-Ándalus Project. Pain Res. Manag. 2016, 2016, 5135176. [Google Scholar] [CrossRef] [PubMed]
- Almanza, A.P.M.C.; da Cruz, D.S.; Junior, S.A.d.O.; Martinez, P.F. Impact of fibromyalgia on physical activity level and health perception in women. Braz. J. Phys. Ther. 2024, 28, 100630. [Google Scholar] [CrossRef]
- Antunes, M.; Torres Cruz, A.; De Oliveira Januário, P.; Pasqual Marques, A. AB1552-HPR health perception of patients with fibromyalgia in Brazil. Ann. Rheum. Dis. 2022, 81, 1876–1877. [Google Scholar] [CrossRef]
- Chen, X.; Muller, V.; Lee, B.; Wu, J.R.; Iwanaga, K. Community Participation as Both a Mediator and Moderator for the Relationship Between Functional Disability and Life Satisfaction of Individuals with Fibromyalgia. J. Appl. Rehabil. Couns 2020, 51, 31–41. [Google Scholar] [CrossRef]
- Luque-Reca, O.; Soriano-Maldonado, A.; Gavilán-Carrera, B.; Acosta-Manzano, P.; Ariza-Vega, P.; del Paso, G.A.R.; Álvarez-Gallardo, I.C.; Estévez-López, F. Longitudinal Associations of Physical Fitness and Affect with Depression, Anxiety and Life Satisfaction in Adult Women with Fibromyalgia. Qual. Life Res. 2022, 31, 2047–2058. [Google Scholar] [CrossRef] [PubMed]
- Andrade, A.; de Azevedo Klumb Steffens, R.; Sieczkowska, S.M.; Coimbra, D.R.; Vilarino, G.T. Acute Effect of Strength Training on Mood of Patients with Fibromyalgia Syndrome. Reumatismo 2019, 71, 141–147. [Google Scholar] [CrossRef]
- de Souza, L.C.; Vilarino, G.T.; Andrade, A. Does the Volume of Physical Exercise Influence Sleep Quality in Patients with Fibromyalgia? Reumatismo 2024, 77. [Google Scholar] [CrossRef]
- Andrade, A.; Vilarino, G.T.; Sieczkowska, S.M.; Coimbra, D.R.; Bevilacqua, G.G.; Steffens, R.d.A.K. The Relationship between Sleep Quality and Fibromyalgia Symptoms. J. Health Psychol. 2018, 25, 1176–1186. [Google Scholar] [CrossRef]
- Gota, C.E.; Kaouk, S.; Wilke, W.S. The Impact of Depressive and Bipolar Symptoms on Socioeconomic Status, Core Symptoms, Function and Severity of Fibromyalgia. Int. J. Rheum. Dis. 2017, 20, 326–339. [Google Scholar] [CrossRef]
- Denche-Zamorano, Á.; Pastor-Cisneros, R.; Tomas-Carus, P.; Adsuar-Sala, J.C.; Salas-Gómez, D.; Parraca, J.A. Relationship of Pain, Depression, Fatigue, and Sleep Problems with Functional Capacity, Balance, and Fear of Falling in Women with Fibromyalgia: Cross-Sectional Study. Nurs. Rep. 2024, 14, 2819–2836. [Google Scholar] [CrossRef]
- Joustra, M.L.; Hartman, C.A.; Bakker, S.J.L.; Rosmalen, J.G.M. Cognitive Task Performance and Subjective Cognitive Symptoms in Individuals with Chronic Fatigue Syndrome or Fibromyalgia: A Cross-Sectional Analysis of the Lifelines Cohort Study. Psychosom. Med. 2022, 84, 1087–1095. [Google Scholar] [CrossRef] [PubMed]
- Wolfe, F.; Rasker, J.J.J.; ten Klooster, P.; Häuser, W. Subjective Cognitive Dysfunction in Patients with and without Fibromyalgia: Prevalence, Predictors, Correlates, and Consequences. Cureus 2021, 13, 20351. [Google Scholar] [CrossRef] [PubMed]
- Muñoz Ladrón de Guevara, C.; Reyes Del Paso, G.A.; Fernández Serrano, M.J.; Montoro, C.I. Fibromyalgia Syndrome and Cognitive Decline: The Role of Body Mass Index and Clinical Symptoms. J. Clin. Med. 2022, 11, 3404. [Google Scholar] [CrossRef]
- Häuser, W.; Thieme, K.; Turk, D.C. Guidelines on the Management of Fibromyalgia Syndrome—A Systematic Review. European J. Pain 2010, 14, 5–10. [Google Scholar] [CrossRef] [PubMed]
- Masquelier, E.; D’haeyere, J. Physical Activity in the Treatment of Fibromyalgia. Jt. Bone Spine 2021, 88, 105202. [Google Scholar] [CrossRef]
- Genc, A.; Tur, B.S.; Aytur, Y.K.; Oztuna, D.; Erdogan, M.F. Does Aerobic Exercise Affect the Hypothalamic-Pituitary-Adrenal Hormonal Response in Patients with Fibromyalgia Syndrome? J. Phys. Ther. Sci. 2015, 27, 2225–2231. [Google Scholar] [CrossRef]
- Wu, J.; Chen, Z.; Zheng, K.; Huang, W.; Liu, F.; Lin, J.; Ren, Z. Benefits of Exergame Training for Female Patients with Fibromyalgia: A Systematic Review and Meta-Analysis of Randomized Controlled Trials. Arch. Phys. Med. Rehabil. 2022, 103, 1192–1200.e2. [Google Scholar] [CrossRef]
- Gozacan Karabulut, D.; Gaziantep, A.; Karasu, F.; Kilis, A.; Bulut, A.; Gaziantep, A.; Ayar, D. The Correlation Between Exercise Perception, Physical Activity and Satisfaction with Life of Fibromyalgia Patients and Healthy Individuals. Int. J. Caring Sci. 2023, 16, 901. [Google Scholar]
- Herring, M.P.; O’Connor, P.J.; Dishman, R.K. The Effect of Exercise Training on Anxiety Symptoms Among Patients: A Systematic Review. Arch. Intern. Med. 2010, 170, 321–331. [Google Scholar] [CrossRef]
- Cherry, B.J.; Weiss, J.; Barakat, B.K.; Rutledge, D.N.; Jones, C.J. Physical Performance as a Predictor of Attention and Processing Speed in Fibromyalgia. Arch. Phys. Med. Rehabil. 2009, 90, 2066–2073. [Google Scholar] [CrossRef]
- Martinsen, S.; Flodin, P.; Berrebi, J.; Löfgren, M.; Bileviciute-Ljungar, I.; Mannerkorpi, K.; Ingvar, M.; Fransson, P.; Kosek, E. The Role of Long-Term Physical Exercise on Performance and Brain Activation during the Stroop Colour Word Task in Fibromyalgia Patients. Clin. Physiol. Funct. Imaging 2018, 38, 508–516. [Google Scholar] [CrossRef] [PubMed]
- Shigematsu, R.; Okura, T. A Novel Exercise for Improving Lower-Extremity Functional Fitness in the Elderly. Aging Clin Exp Res 2006, 18, 242–248. [Google Scholar] [CrossRef] [PubMed]
- Carlos-vivas, J.; Pérez-gómez, J.; Delgado-gil, S.; Campos-lópez, J.C.; Granado-sánchez, M.; Rojo-ramos, J.; Muñoz-bermejo, L.; Barrios-fernandez, S.; Mendoza-muñoz, M.; Prado-solano, A.; et al. Cost-Effectiveness of “Tele-Square Step Exercise” for Falls Prevention in Fibromyalgia Patients: A Study Protocol. Int. J. Environ. Res. Public Health 2020, 17, 695. [Google Scholar] [CrossRef]
- Teixeira, C.V.L.; Gobbi, S.; Pereira, J.R.; Vital, T.M.; Hernandéz, S.S.S.; Shigematsu, R.; Gobbi, L.T.B. Effects of Square-Stepping Exercise on Cognitive Functions of Older People. Psychogeriatrics 2013, 13, 148–156. [Google Scholar] [CrossRef]
- Thachil, A.; Thomas, L. Effect of Square-Stepping Exercise in Improving Lower Extremity Strength, Cadence and Confidence among Female Geriatric Population. Int. J. Health Sci. Res. 2022, 12, 287–303. [Google Scholar] [CrossRef]
- Teixeira, C.V.L.; Gobbi, S.; Pereira, J.R.; Ueno, D.T.; Shigematsu, R.; Gobbi, L.T.B. Effect of Square-Stepping Exercise and Basic Exercises on Functional Fitness of Older Adults. Geriatr. Gerontol. Int. 2013, 13, 842–848. [Google Scholar] [CrossRef] [PubMed]
- Shigematsu, R.; Okura, T.; Nakagaichi, M.; Tanaka, K.; Sakai, T.; Kitazumi, S.; Rantanen, T. Square-Stepping Exercise and Fall Risk Factors in Older Adults: A Single-Blind, Randomized Controlled Trial. J. Gerontol. Ser. A Biol. Sci. Med. Sci. 2008, 63, 76–82. [Google Scholar] [CrossRef]
- Franco-García, J.M.; Pérez-Gómez, J.; Castillo-Paredes, A.; Redondo, P.C.; Rojo-Ramos, J.; Mayordomo-Pinilla, N.; Villafaina, S.; Gómez-Álvaro, M.C.; Melo-Alonso, M.; Carlos-Vivas, J. Effects of Twelve Weeks of Square Stepping Exercises on Physical and Cognitive Function and Plasma Content of SMP30: A Randomised Control Trial. Geriatrics 2025, 10, 22. [Google Scholar] [CrossRef]
- Sok, S.; Shin, E.; Kim, S.; Kim, M. Effects of Cognitive/Exercise Dual-Task Program on the Cognitive Function, Health Status, Depression, and Life Satisfaction of the Elderly Living in the Community. Int. J. Environ. Res. Public Health 2021, 18, 7848. [Google Scholar] [CrossRef]
- Franco-García, J.M.; Carlos-Vivas, J.; Castillo-Paredes, A.; Mayordomo-Pinilla, N.; Rojo-Ramos, J.; Pérez-Gómez, J. Impacts of Square Stepping Exercise on Physical-Cognitive Function, Biomarkers, Body Composition and Mental Health in Healthy Senior Aged 60 and Above: A Systematic Review. Healthcare 2024, 12, 2325. [Google Scholar] [CrossRef]
- Pereira, J.R.; Gobbi, S.; Teixeira, C.V.L.; Nascimento, C.M.C.; Corazza, D.I.; Vital, T.M.; Hernandez, S.S.S.; Stella, F.; Shigematsu, R. Effects of Square-Stepping Exercise on Balance and Depressive Symptoms in Older Adults. Mot. Rev. Educ. Física 2014, 20, 454–460. [Google Scholar] [CrossRef]
- Kawabata, M.; Gan, S.R.; Goh, G.; Omar, S.A.B.; Oh, I.T.F.; Wee, W.Q.; Okura, T. Acute Effects of Square Stepping Exercise on Cognitive and Social Functions in Sedentary Young Adults: A Home-Based Online Trial. BMC Sports Sci. Med. Rehabil. 2021, 13, 1–8. [Google Scholar] [CrossRef]
- Liu, H.H.; Wang, R.Y.; Cheng, S.J.; Liao, K.K.; Zhou, J.H.; Yang, Y.R. Effects of Square-Stepping Exercise on Executive Function in Individuals with Parkinson’s Disease: A Randomized Controlled Pilot Study. Geriatr. Nurs. 2022, 47, 273–279. [Google Scholar] [CrossRef] [PubMed]
- Siqueira, V.A.A.A.; Shigematsu, R.; Sebastião, E. Stepping towards Health: A Scoping Review of Square-Stepping Exercise Protocols and Outcomes in Older Adults. BMC Geriatr. 2024, 24, 1–14. [Google Scholar] [CrossRef] [PubMed]
- Mayoral-Moreno, A.; Chimpén-López, C.A.; Rodríguez-Santos, L.; Ramos-Fuentes, M.I.; Vaz-Leal, F.J.; Moral, M.A.; Pérez-Gómez, J.; Adsuar, J.C. Falls Prevention and Quality of Life Improvement by Square Stepping Exercise in People with Parkinson’s Disease: Project Report. J. Pers. Med. 2021, 11, 361. [Google Scholar] [CrossRef]
- Fränzel, K.; Koschate, J.; Freiberger, E.; Shigematsu, R.; Zieschang, T.; Tietgen, S. Square-Stepping Exercise in Older Inpatients in Early Geriatric Rehabilitation. A Randomized Controlled Pilot Study. BMC Geriatr. 2024, 24, 1–12. [Google Scholar] [CrossRef] [PubMed]
- Shigematsu, R.; Okura, T.; Sakai, T.; Rantanen, T. Square-Stepping Exercise versus Strength and Balance Training for Fall Risk Factors. Aging Clin. Exp. Res. 2008, 20, 19–24. [Google Scholar] [CrossRef]
- Arnadottir, S.A.; Gunnarsdottir, E.D.; Stenlund, H.; Lundin-Olsson, L. Determinants of Self-Rated Health in Old Age: A Population-Based, Cross-Sectional Study Using the International Classification of Functioning. BMC Public Health 2011, 11, 1–10. [Google Scholar] [CrossRef]
- Hansen, A.W.; Beyer, N.; Flensborg-Madsen, T.; Grønbæk, M.; Helge, J.W. Muscle Strength and Physical Activity Are Associated with Self-Rated Health in an Adult Danish Population. Prev. Med. 2013, 57, 792–798. [Google Scholar] [CrossRef]
- Noma, A.; Uchida, R.; Kurosaki, T.; Numao, S.; Nakagaichi, M. Effects of the Square-Stepping Exercise Program on Physical Fitness and Cognitive Function in Elderly. Jpn. J. Phys. Fit. Sports Med. 2020, 69, 393–400. [Google Scholar] [CrossRef]
- Wang, Y.H.; Liu, Y.H.; Yang, Y.R.; Wang, R.Y. Effects of Square-Stepping Exercise on Motor and Cognitive Function in Older Adults—A Systematic Review and Meta-Analysis. Geriatr. Nurs. 2021, 42, 1583–1593. [Google Scholar] [CrossRef] [PubMed]
- Turner, L.; Shamseer, L.; Altman, D.G.; Weeks, L.; Peters, J.; Kober, T.; Dias, S.; Schulz, K.F.; Plint, A.C.; Moher, D. Consolidated Standards of Reporting Trials (CONSORT) and the Completeness of Reporting of Randomised Controlled Trials (RCTs) Published in Medical Journals. Cochrane Database Syst. Rev. 2012. [Google Scholar] [CrossRef] [PubMed]
- Wolfe, F.; Clauw, D.J.; Fitzcharles, M.A.; Goldenberg, D.L.; Häuser, W.; Katz, R.L.; Mease, P.J.; Russell, A.S.; Russell, I.J.; Walitt, B. 2016 Revisions to the 2010/2011 Fibromyalgia Diagnostic Criteria. Semin. Arthritis Rheum. 2016, 46, 319–329. [Google Scholar] [CrossRef]
- Cardinal, B.J.; Esters, J.; Cardinal, M.K. Evaluation of the Revised Physical Activity Readiness Questionnaire in Older Adults. Med. Sci. Sports Exerc. 1996, 28, 468–472. [Google Scholar] [CrossRef] [PubMed]
- Bull, F.C.; Al-Ansari, S.S.; Biddle, S.; Borodulin, K.; Buman, M.P.; Cardon, G.; Carty, C.; Chaput, J.P.; Chastin, S.; Chou, R.; et al. World Health Organization 2020 Guidelines on Physical Activity and Sedentary Behaviour. Br. J. Sports Med. 2020, 54, 1451–1462. [Google Scholar] [CrossRef]
- Giannouli, E.; Morat, T.; Zijlstra, W. A Novel Square-Stepping Exercise Program for Older Adults (StepIt): Rationale and Implications for Falls Prevention. Front. Med. 2020, 6, 318. [Google Scholar] [CrossRef]
- Álvarez-Gallardo, I.C.; Soriano-Maldonado, A.; Segura-Jiménez, V.; Carbonell-Baeza, A.; Estévez-López, F.; McVeigh, J.G.; Delgado-Fernández, M.; Ortega, F.B. International FItness Scale (IFIS): Construct Validity and Reliability in Women with Fibromyalgia: The al-Ándalus Project. Arch. Phys. Med. Rehabil. 2016, 97, 395–404. [Google Scholar] [CrossRef]
- Esteve-Vives, J.; Rivera Redondo, J.; Salvat Salvat, M.I.; de Gracia Blanco, M.; Alegre de Miquele, C. Proposal for a Consensus Version of the Fibromyalgia Impact Questionnaire (FIQ) for the Spanish Population. Reumatol. Clínica 2007, 3, 21–24. [Google Scholar] [CrossRef]
- Kersten, P.; White, P.J.; Tennant, A. Is the Pain Visual Analogue Scale Linear and Responsive to Change? An Exploration Using Rasch Analysis. PLoS ONE 2014, 9, e99485. [Google Scholar] [CrossRef]
- Boonstra, A.M.; Schiphorst Preuper, H.R.; Reneman, M.F.; Posthumus, J.B.; Stewart, R.E. Reliability and Validity of the Visual Analogue Scale for Disability in Patients with Chronic Musculoskeletal Pain. Int. J. Rehabil. Res. 2008, 31, 165–169. [Google Scholar] [CrossRef]
- Vilagut, G.; Valderas, J.M.; Ferrer, M.; Garin, O.; López-García, E.; Alonso, J. Interpretación de Los Cuestionarios de Salud SF-36 y SF-12 En España: Componentes Físico y Mental. Med. Clin. 2008, 130, 726–735. [Google Scholar] [CrossRef] [PubMed]
- Laas, K.; Roine, R.P.; Räsänen, P.; Sintonen, H.; Leirisalo-Repo, M.; Blom, M.; Kekomäki, M.; Koivisto, A.M.; Ryynänen, O.P. Health-Related Quality of Life in Patients with Common Rheumatic Diseases Referred to a University Clinic. Rheumatol. Int. 2009, 29, 267–273. [Google Scholar] [CrossRef]
- Sintonen, H. Annals of Medicine The 15D Instrument of Health-Related Quality of Life: Properties and Applications. Ann. Med. 2009, 33, 328–336. [Google Scholar] [CrossRef]
- Hernandez, G.; Garin, O.; Pardo, Y.; Vilagut, G.; Pont, À.; Suárez, M.; Neira, M.; Rajmil, L.; Gorostiza, I.; Ramallo-Fariña, Y.; et al. Validity of the EQ–5D–5L and Reference Norms for the Spanish Population. Qual. Life Res. 2018, 27, 2337–2348. [Google Scholar] [CrossRef] [PubMed]
- TEQ Group. EuroQol—A New Facility for the Measurement of Health-Related Quality of Life. Health Policy 1990, 16, 199–208. [Google Scholar] [CrossRef]
- Diener, E.; Emmons, R.A.; Larsem, R.J.; Griffin, S. The Satisfaction with Life Scale. J. Pers. Assess. 1985, 49, 71–75. [Google Scholar] [CrossRef] [PubMed]
- Steer, R.A.; Clark, D.A.; Beck, A.T.; Ranieri, W.F. Common and Specific Dimensions of Self-Reported Anxiety and Depression: The BDI-II versus the BDI-IA. Behav. Res. Ther. 1999, 37, 183–190. [Google Scholar] [CrossRef]
- Arnau, R.C.; Meagher, M.W.; Norris, M.P.; Bramson, R. Psychometric Evaluation of the Beck Depression Inventory-II with Primary Care Medical Patients. Health Psychol. 2001, 20, 112–119. [Google Scholar] [CrossRef]
- Luciano, J.V.; Aguado, J.; Serrano-Blanco, A.; Calandre, E.P.; Rodriguez-Lopez, C.M. Dimensionality, Reliability, and Validity of the Revised Fibromyalgia Impact Questionnaire in Two Spanish Samples. Arthritis Care Res. 2013, 65, 1682–1689. [Google Scholar] [CrossRef]
- Arango-Lasprilla, J.C.; Rivera, D.; Rodríguez, G.; Garza, M.T.; Galarza-Del-Angel, J.; Rodríguez, W.; Velázquez-Cardoso, J.; Aguayo, A.; Schebela, S.; Weil, C.; et al. Symbol Digit Modalities Test: Normative Data for the Latin American Spanish Speaking Adult Population. NeuroRehabilitation 2015, 37, 625–638. [Google Scholar] [CrossRef]
- A Compendium of Neuropsychological Tests: Administration, Norms, and Commentary, 3rd Ed. Available online: https://psycnet.apa.org/record/2006-04736-000 (accessed on 10 March 2025).
- Ramos-Henderson, M.; Toro-Roa, I.; Aguilera-Choppelo, R.; Palominos, D.; Soto-Añari, M.; Lopez, N.; Domic-Siede, M. Cognitive Performance, Physical Pain and Psychological Distress in Women with Fibromyalgia During the COVID-19 Pandemic in Chile: A Case-Control Study. Res. Sq. 2021. [Google Scholar] [CrossRef]
- Stegen, S.; Stepanov, I.; Cookfair, D.; Schwartz, E.; Hojnacki, D.; Weinstock-Guttman, B.; Benedict, R.H.B. Validity of the California Verbal Learning Test–II in Multiple Sclerosis. Clin. Neuropsychol. 2010, 24, 189–202. [Google Scholar] [CrossRef] [PubMed]
- Williams, D.A.; Arnold, L.M. Measures Applied to the Assessment of Fibromyalgia: Fibromyalgia Impact Questionnaire (FIQ), Brief Pain Inventory (BPI), the Multidimensional Fatigue Inventory (MFI-20), the MOS Sleep Scale, and the Multiple Ability Self-Report Questionnaire (MASQ; Cognitive Dysfunction). Arthritis Care Res. 2011, 63, S86. [Google Scholar] [CrossRef]
- Benedict, R.H.B.; Groninger, L.; Schretlen, D.; Dobraski, M.; Shpritz, B. Revision of the Brief Visuospatial Memory Test: Studies of Normal Performance, Reliability, and, Validity. Psychol Assess 1996, 8, 145–153. [Google Scholar] [CrossRef]




| Variables | Total (n = 61) | Experimental (n = 33) | Control (n = 28) | p-Value | |||
|---|---|---|---|---|---|---|---|
| Median | (IQR) | Median | (IQR) | Median | (IQR) | ||
| Age (Years) | 58 | (11) | 58 | (7) | 58 | (11) | 0.489 |
| Height (m) | 1.58 | (0.07) | 1.59 | (0.08) | 1.58 | (0.06) | 0.827 |
| Weight (kg) | 72.0 | (19.4) | 72.5 | (23.9) | 68.2 | (14.6) | 0.094 |
| BMI (kg/m2) | 28.1 | (8.1) | 28.1 | (12.1) | 27.3 | (6.7) | 0.105 |
| Waist (cm) | 94.5 | (15.8) | 98.5 | (13.0) | 89.0 | (16.0) | 0.014 |
| Hip (cm) | 108.0 | (15.0) | 110.0 | (20.5) | 106.0 | (9.5) | 0.124 |
| Waist:Hip ratio | 0.86 | (0.09) | 0.88 | (0.08) | 0.84 | (0.10) | 0.091 |
| Years since diagnosis | 13 | (14) | 12 | (13) | 14 | (12) | 0.614 |
| Years with symptoms | 20 | (20) | 21 | (20) | 20 | (18) | 0.544 |
| IFIS (Score 0–25) | 13.5 | (4.0) | 13.5 | (4.0) | 13.5 | (4.5) | 0.626 |
| FIQ (Score 0–100) | 57.9 | (21.5) | 58.3 | (24.5) | 57.0 | (16.1) | 0.904 |
| VAS Pain (Score 0–10) | 6.5 | (2.2) | 6.9 | (2.5) | 6.3 | (1.5) | 0.085 |
| SF-12_Physical | 9 | (3) | 9 | (4) | 10 | (4) | 0.963 |
| SF-12 Mental | 15 | (5) | 14 | (4) | 15 | (6) | 0.047 |
| SF-12 Total | 24 | (7) | 23 | (6) | 26 | (6) | 0.188 |
| The_15-D | 0.653 | (0.229) | 0.671 | (0.212) | 0.635 | (0.165) | 0.253 |
| EQ5D-5L Index | 0.525 | (0.302) | 0.473 | (0.300) | 0.657 | (0.273) | 0.045 |
| EQ5D-5L VAS | 50 | (30) | 50 | (25) | 53 | (33) | 0.476 |
| Self-Perceived Health (Score 1–5) | 2.0 | (1.0) | 2.0 | (1.0) | 2.0 | (0.0) | 0.540 |
| Satisfaction with Life Scale (Score 5–25) | 14.0 | (7.0) | 14.0 | (5.3) | 15.0 | (9.0) | 0.617 |
| Self-Reported Depression (Score 0–10) | 7.0 | (3.0) | 8.0 | (2.0) | 7.0 | (3.0) | 0.506 |
| Self-Reported Anxiety (Score 0–10) | 8.0 | (4.5) | 8.0 | (5.0) | 9.0 | (4.0) | 0.500 |
| Beck’s Depression Inventory II (Score 0–63) | 18.0 | (16.0) | 18.0 | (17.0) | 16.5 | (12.3) | 0.959 |
| Self-Reported Memory Problems (Score 0–10) | 4.0 | (5.0) | 5.0 | (3.5) | 3.5 | (6.8) | 0.800 |
| SDMT | 33 | (16) | 33 | (18) | 33 | (15) | 0.468 |
| CVLT | 45 | (15) | 46 | (15) | 43 | (14) | 0.188 |
| BVMT-R | 6 | (3) | 6 | (2) | 6 | (3) | 0.078 |
| Variables | Experimental | p-Value | Control | p-Value | ||
|---|---|---|---|---|---|---|
| Pre | Post | Pre | Post | |||
| Self-Perceived Health | ||||||
| Positive | 22.2% | 25.9% | 0.564 | 4.5% | 0.0% | 0.083 |
| Negative | 77.8% | 74.1% | 95.5% | 100.0% | ||
| Depression Status (BDI-II) | ||||||
| No | 41.7% | 45.8% | 0.655 | 35.3% | 52.9% | 0.180 |
| Yes | 58.3% | 54.2% | 64.7% | 47.1% | ||
| Depression Symptoms (BDI-II) | ||||||
| None | 41.7% | 45.8% | 0.306 | 35.3% | 52.9% | 0.277 |
| Mild | 16.7% | 33.3% | 17.6% | 5.9% | ||
| Moderates | 25.0% | 4.2% | 23.5% | 17.6% | ||
| Severes | 16.7% | 16.7% | 23.5% | 23.5% | ||
Disclaimer/Publisher’s Note: The statements, opinions and data contained in all publications are solely those of the individual author(s) and contributor(s) and not of MDPI and/or the editor(s). MDPI and/or the editor(s) disclaim responsibility for any injury to people or property resulting from any ideas, methods, instructions or products referred to in the content. |
© 2025 by the authors. Licensee MDPI, Basel, Switzerland. This article is an open access article distributed under the terms and conditions of the Creative Commons Attribution (CC BY) license (https://creativecommons.org/licenses/by/4.0/).
Share and Cite
Denche-Zamorano, Á.; Pereira-Payo, D.; De Los Ríos-Calonge, J.; Tomás-Carús, P.; Collado-Mateo, D.; Adsuar, J.C. Effects of Twelve Weeks of Virtual Square Stepping Exercises on Quality of Life, Satisfaction with the Life, Mental Health, and Cognitive Function in Women with Fibromyalgia: A Randomized Control Trial. Women 2025, 5, 17. https://doi.org/10.3390/women5020017
Denche-Zamorano Á, Pereira-Payo D, De Los Ríos-Calonge J, Tomás-Carús P, Collado-Mateo D, Adsuar JC. Effects of Twelve Weeks of Virtual Square Stepping Exercises on Quality of Life, Satisfaction with the Life, Mental Health, and Cognitive Function in Women with Fibromyalgia: A Randomized Control Trial. Women. 2025; 5(2):17. https://doi.org/10.3390/women5020017
Chicago/Turabian StyleDenche-Zamorano, Ángel, Damián Pereira-Payo, Javier De Los Ríos-Calonge, Pablo Tomás-Carús, Daniel Collado-Mateo, and José Carmelo Adsuar. 2025. "Effects of Twelve Weeks of Virtual Square Stepping Exercises on Quality of Life, Satisfaction with the Life, Mental Health, and Cognitive Function in Women with Fibromyalgia: A Randomized Control Trial" Women 5, no. 2: 17. https://doi.org/10.3390/women5020017
APA StyleDenche-Zamorano, Á., Pereira-Payo, D., De Los Ríos-Calonge, J., Tomás-Carús, P., Collado-Mateo, D., & Adsuar, J. C. (2025). Effects of Twelve Weeks of Virtual Square Stepping Exercises on Quality of Life, Satisfaction with the Life, Mental Health, and Cognitive Function in Women with Fibromyalgia: A Randomized Control Trial. Women, 5(2), 17. https://doi.org/10.3390/women5020017

