A Hydrometallurgical Process for Cu Recovery from Printed Circuit Boards †
Abstract
:1. Introduction
2. Materials and Methods
2.1. Solid Characterization and Pretreatment Leaching
2.2. Leaching of Copper
2.3. Extraction and Stripping of Copper
3. Results
3.1. Pretreatment Leaching
3.2. Leaching of Copper
- A total of 2 M H2SO4 as leaching agent;
- A total of 3 mL/g H2O2 (30% w/w) as oxidizing agent;
- An S/L ratio of 0.1 g/mL;
- Two stages;
- Residence time of 4 h;
- No agitation.
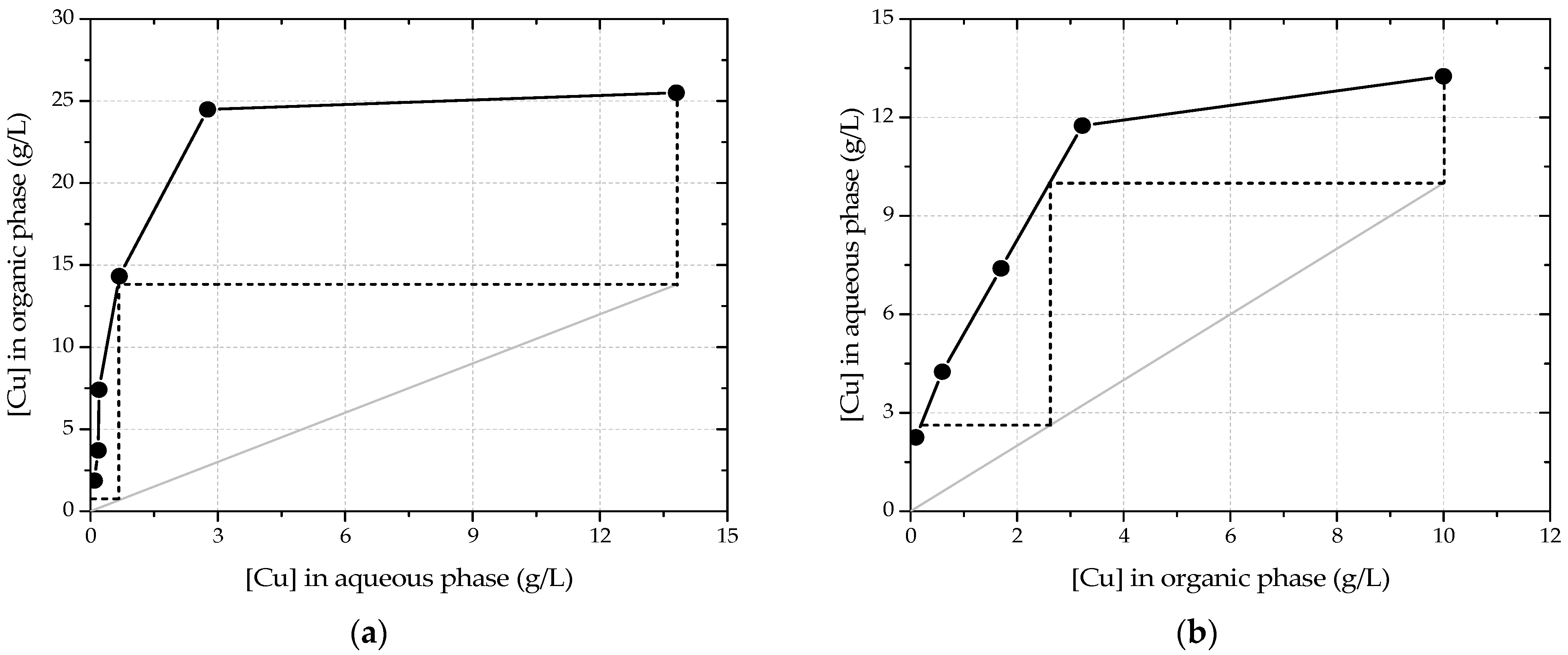
3.3. Extraction and Stripping of Copper
4. Conclusions
- The PCB metallic fraction, after the removal of the plastic material, is a remarkable copper resource as its copper content exceeds 20% and can be treated hydrometallurgically.
- More than 98% of copper was recovered from the dust by oxidative leaching in two stages, using 2 M H2SO4, 3 mL H2O2 (30% w/w)/g dust, and a solid/liquid ratio of 0.1 g/mL of dust.
- The optimum pH for the copper solvent extraction with ACORGA M5640 was 1.5.
- Copper was extracted quantitatively from the pregnant solution in two stages by ACORGA M5640 organic reagent at equilibrium pH 1.5 and an A/O ratio of 1:1.
- Copper was stripped off the loaded organic phase quantitatively in two stages by 2 M HCl and at an A/O ratio of 1:1.
- The concentration of copper in the stripped liquor was 7.4 g/L, with all other impurities being less than 0.2 mg/L, thus allowing copper electrowinning.
Funding
Acknowledgments
References
- Robinson, B.H. E-waste: An assessment of global production and environmental impacts. Sci. Total Environ. 2009, 408, 183–191. [Google Scholar] [CrossRef] [PubMed]
- Watari, T.; Nansai, K.; Nakajima, K. Major metals demand, supply, and environmental impacts to 2100: A critical review. Resour. Conserv. Recy. 2021, 164, 105–107. [Google Scholar] [CrossRef]
- Khaliq, A.; Rhamdhani, M.A.; Brooks, G.; Masood, S. Metal extraction processes for electronic waste and existing industrial routes: A review and Australian perspective. Resources 2014, 3, 152–179. [Google Scholar] [CrossRef] [Green Version]
- Cui, J.; Zhang, L. Metallurgical recovery of metals from electronic waste: A review. J. Hazard. Mater. 2008, 158, 228–256. [Google Scholar] [CrossRef] [PubMed]
- Andrews, D.; Raychaudhuri, A.; Frias, A. Environmentally sound technologies for recycling secondary lead. J. Power Sources 2000, 88, 124–129. [Google Scholar] [CrossRef]
- European Copper Institute. Available online: www.copperalliance.eu (accessed on 25 May 2021).
- Hageluken, C. Improving Metal Returns and eco-efficiency in electronics recycling—A holistic approach for interface optimization between pre-processing and integrated metals smelting and refining. In Proceedings of the IEEE International Symposium on Electronics and the Environment, San Francisco, CA, USA, 8–11 May 2006. [Google Scholar]
- Biswajit, D.; Chowdhury, R.; Ghosh, S.K. Sustainability of metal recovery from E-waste. Front. Environ. Sci. Eng. 2018, 12, 2. [Google Scholar]


| Metal | Initial Dust (% wt.) | Metallic Fraction after Separation (%wt.) | Solid Product after Pretreatment Leaching (%wt.) | 
|---|---|---|---|
| Sn | 5.01 | 12.74 | 1.30 | 
| Cu | 5.19 | 23.86 | 37.60 | 
| Fe | 8.17 | 17.84 | 10.67 | 
| Zn | 1.90 | 3.36 | 1.68 | 
| Ni | 0.76 | 1.48 | 1.77 | 
| Pb | 1.53 | 6.28 | 7.45 | 
| Al | 3.18 | 3.29 | 1.04 | 
| Total | 26.50 | 68.85 | 61.51 | 
| H2SO4 Concentration | Cu Leaching Efficiency % | 
|---|---|
| 1 M | 62.4 | 
| 2 M | 66.0 | 
| 4 M | 45.6 | 
| Leaching Stage | Cu Recovery % | 
|---|---|
| 1 | 34.4 | 
| 2 | 63.7 | 
| Total | 98.1 | 
| Metal | Concentration before Purification (g/L) | Concentration after Purification (g/L) | 
|---|---|---|
| Cu | 18.8 | 13.8 | 
| Fe | 2.6 | 0.44 | 
| Zn | 1.0 | 0.32 | 
| Ni | 1.17 | 0.40 | 
| pH | Cu (mg/L) | Fe (mg/L) | Zn (mg/L) | Ni (mg/L) | 
|---|---|---|---|---|
| 1.5 | 1460 | 405 | 305 | 375 | 
| HCl (M) | Cu (mg/L) | Fe (mg/L) | Zn (mg/L) | Ni (mg/L) | 
|---|---|---|---|---|
| 2 | 7400 | 0.16 | 0.06 | 0.01 | 
| Publisher’s Note: MDPI stays neutral with regard to jurisdictional claims in published maps and institutional affiliations. | 
© 2021 by the authors. Licensee MDPI, Basel, Switzerland. This article is an open access article distributed under the terms and conditions of the Creative Commons Attribution (CC BY) license (https://creativecommons.org/licenses/by/4.0/).
Share and Cite
Vlasopoulos, D.; Oustadakis, P.; Agatzini-Leonardou, S.; Tsakiridis, P.; Remoundaki, E. A Hydrometallurgical Process for Cu Recovery from Printed Circuit Boards. Mater. Proc. 2021, 5, 56. https://doi.org/10.3390/materproc2021005056
Vlasopoulos D, Oustadakis P, Agatzini-Leonardou S, Tsakiridis P, Remoundaki E. A Hydrometallurgical Process for Cu Recovery from Printed Circuit Boards. Materials Proceedings. 2021; 5(1):56. https://doi.org/10.3390/materproc2021005056
Chicago/Turabian StyleVlasopoulos, Dimitrios, Paschalis Oustadakis, Styliani Agatzini-Leonardou, Petros Tsakiridis, and Emmanouella Remoundaki. 2021. "A Hydrometallurgical Process for Cu Recovery from Printed Circuit Boards" Materials Proceedings 5, no. 1: 56. https://doi.org/10.3390/materproc2021005056
APA StyleVlasopoulos, D., Oustadakis, P., Agatzini-Leonardou, S., Tsakiridis, P., & Remoundaki, E. (2021). A Hydrometallurgical Process for Cu Recovery from Printed Circuit Boards. Materials Proceedings, 5(1), 56. https://doi.org/10.3390/materproc2021005056
 
         
                                                


 
       