What Tourists Want, a Sustainable Paradise
Abstract
1. Introduction
2. Literature Review
2.1. Economic, Sociocultural, and Environmental Impacts
2.2. Sustainable Destinations
2.3. Nature-Based Tourism
- Promote nature-based solutions and the conservation of resources;
- Reduce the excessive use of nature-based resources and waste to prevent environmental damage in the long term;
- Enhance the quality of life of domestic society;
- Protect environmental quality with the continuum of ecological systems and biological varieties;
- Activate a high-quality experience for tourists;
- Raise awareness among tourists and employees working in the tourism sector on the issue of sustainable and nature-based tourism.
2.4. Hawaii
3. Method
4. Results
4.1. Differences between Genders
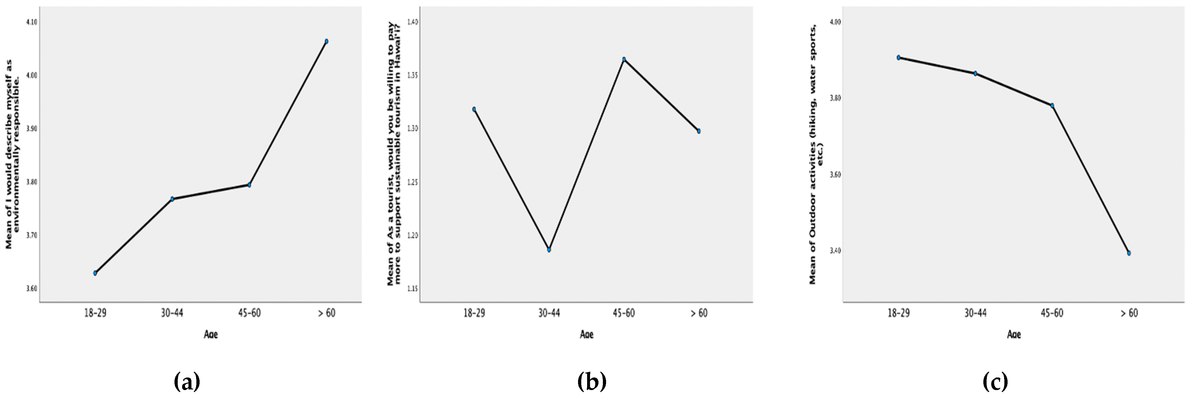
4.2. Differences among Generations
- “I am interested in the conservation of the islands´ natural environment and habitat”.
- “Personally, I am interested in conserving nature and protecting whales”.
- “I am interested in participating in the conservation of nature and natural beauty of Hawaii”.
- “Hawaiian culture and music are fascinating”.
- “Important to minimize plastic”.
- “It is important that Hawaii are able to continue to keep its natural beauty. Trees, grass, and vegetation natural for Hawaii”.
- “Islands like Hawaii, if they exploit the potential of sustainability correctly, can transform their fragility and vulnerability into strengths, innovative behaviors, and competitive advantage, compared to other areas of the country”.
- “I think that today, it is no longer possible to think about development if it is not ecofriendly and sustainable”.
- “In terms of hotels being sustainable I prefer individual bars of soap being wrapped. I feel it is important that fewer people have touched the items right now due to COVID-19”.
- “Sustainability is more important now because of COVID-19. I feel eating sustainable locally grown food is safer and there is less risk of getting sick”.
- “Ocean, rivers need to be kept clean, initiatives to keep sewage and plastic waste out of the ocean. Many cities need to modernize its piping”.
- “Even though Hawaii has a lot of rain and therefore water supply is not a problem so far, it is important to focus on reducing water consumption as much as possible, to avoid being in the bad situation of many other islands in the world”.
- “In my opinion, there is a need to reach everyone including tourists with correct information, the need to create a platform that fosters collaboration between the different islands through the exchange of information and experiences, the development of start-ups, the finding of economic resources, and the development of prevention programs”.
- “I am very worried about the amount of plastic that we use nowadays. All the plastic that ends in the sea and on the beaches ruins the ecosystem, with greater negative consequences. Hawaii already banned plastic bags, which is great; but the government has to continue undertaking more actions to limit and prevent plastic pollution in the islands”.
5. Discussion
6. Limitations and Future Research
7. Conclusions
Author Contributions
Funding
Institutional Review Board Statement
Informed Consent Statement
Data Availability Statement
Acknowledgments
Conflicts of Interest
References
- Sheivachman, A. Iceland and the Trials of 21 Century Tourism. Available online: https://skift.com/iceland-tourism/ (accessed on 18 January 2022).
- Dickinson, G. Dear Dictionaries, This Is Why ‘Overtourism’ Should Be Your 2018 Word of the Year. The Telegraph. 20 April 2018. Available online: https://www.telegraph.co.uk/travel/comment/overtourism-word-of-the-year/ (accessed on 18 January 2022).
- Metcalf, B.; Linnes, C.; Agrusa, J.; Lema, J. Do you want to build a snowman in Norway? The impact of Disney’s Frozen movie on Norwegian tourism. In Proceedings of the 21st Asia Pacific Tourism Association Conference “Developments of the New Tourism Paradigm in the Asia Pacific Region”, Kuala Lumpur, Malaysia, 14–17 May 2015; pp. 395–404. [Google Scholar]
- Metcalf, B.; Linnes, C.; Agrusa, J.; Lema, J. Film tourism in Norway: The effect fictional characters have on tourism. Int. Bus. Econ. Res. J. 2018, 17, 21–34. [Google Scholar] [CrossRef][Green Version]
- Agrusa, J.; Linnes, C.; Lema, J.; Metcaf, B. Data Mining in Film Tourism. Int. J. Econ. Bus. 2018, 6, 51–69. [Google Scholar]
- Koens, K.; Postma, A.; Papp, B. Is Overtourism Overused? Understanding the Impact of Tourism in a City Context. Sustainability 2018, 10, 4384. [Google Scholar] [CrossRef]
- Greenwood, D.J. Tourism as an agent of change: A Spanish Basque case. Ann. Tour. Res. 1976, 3, 128–142. [Google Scholar] [CrossRef]
- Pulsiper, G.L.; Rosenow, J.E. Tourism: The Good, the Bad, and the Ugly; Century Three Press: Lincoln, NE, USA, 1979. [Google Scholar]
- United Nations. Report of the World Commission on Environment and Development: Our Common Future; Oxford University Press: Oxford, UK, 1987; Available online: https://sustainabledevelopment.un.org/content/documents/5987our-common-future.pdf (accessed on 27 December 2021).
- Inskeep, E. Tourism Planning: An Integrated and Sustainable Development Approach; John Wiley & Sons: New York, NY, USA, 1991. [Google Scholar]
- Nash, D.; Butler, R. Towards sustainable tourism. Tour. Manag. 1990, 11, 263. [Google Scholar] [CrossRef]
- United Nations Sustainable Development Goals. Agenda 21. 1992. Available online: https://sustainabledevelopment.un.org/outcomedocuments/agenda21 (accessed on 19 January 2022).
- Bramwell, B.; Lane, B. Getting from here to there: Systems change, behavioral change and sustainable tourism. J. Sustain. Tour. 2013, 21, 1–4. [Google Scholar] [CrossRef]
- Bramwell, B. Governance, the state and sustainable tourism: A political economy approach. In Tourism Governance; Bramwell, B., Lane, B., Eds.; Routledge: Abingdon-on-Thames, UK, 2013; pp. 59–78. [Google Scholar]
- Bramwell, B.; Lane, B. Sustainable tourism: An evolving global approach. J. Sustain. Tour. 1993, 1, 1–5. [Google Scholar] [CrossRef]
- Yoopetch, C.; Nimsai, S. Science Mapping the Knowledge Base on Sustainable Tourism Development, 1990–2018. Sustainability 2019, 11, 3631. [Google Scholar] [CrossRef]
- Discova. Sustainable Tourism in Costa Rica 2020. Available online: https://www.discova.com/blog/sustainable-tourism-in-costa-rica/ (accessed on 30 December 2021).
- Hawaii Tourism Authority. Hawaii Tourism Authority and Hawaii Community Foundation Awards Funding to Support Natural Resource Programs in 2022. Available online: https://www.hawaiitourismauthority.org/news/news-releases/2022/hawaii-tourism-authority-and-hawaii-community-foundation-awards-funding-to-support-natural-resource-programs-in-2022/ (accessed on 14 January 2022).
- Xu, H.; Cui, Q.; Sofield, T.; Li, F.M.S. Attaining harmony: Understanding the relationship between ecotourism and protected areas in China. J. Sustain. Tour. 2014, 22, 1131–1150. [Google Scholar] [CrossRef]
- Risso, W.A. Tourism and economic growth: A worldwide study. Tour. Anal. 2018, 23, 123. [Google Scholar] [CrossRef]
- Walker, J.R. Exploring the Hospitality Industry, 3rd ed.; Pearson Prentice Hall: Upper Saddle River, NJ, USA, 2016. [Google Scholar]
- World Travel and Tourism Council. Economic Impact Reports 2020. Available online: https://wttc.org/Research/Economic-Impact (accessed on 27 December 2021).
- Ranasinghe, R. After Corona (COVID-19) impacts on global poverty and recovery of tourism-based service economies: An appraisal. J. Manag. Tour. Res. 2021, 3, 52–64. [Google Scholar] [CrossRef]
- Archer, B.; Cooper, C.; Ruhanen, L. The positive and negative impacts of tourism. Glob. Tour. 2005, 3, 79–102. [Google Scholar]
- Font, X.; Lynes, J. Corporate social responsibility in tourism and hospitality. J. Sustain. Tour. 2018, 26, 1027–1042. [Google Scholar] [CrossRef]
- Jovičić, D. Socio-cultural impacts of contemporary tourism. Coll. Antropol. 2011, 35, 599–605. [Google Scholar] [PubMed]
- Nogués-Pedregal, A.M. Anthropological contributions to tourism studies. Ann. Tour. Res. 2019, 75, 227–237. [Google Scholar] [CrossRef]
- Cunha, C.; Kastenholz, E.; Carneiro, M.J. Entrepreneurs in rural tourism: Do lifestyle motivations contribute to management practices that enhance sustainable entrepreneurial ecosystems? J. Hosp. Tour. Manag. 2020, 44, 215–226. [Google Scholar] [CrossRef]
- Leung, Y.F.; Spenceley, A.; Hvenegaard, G.; Buckley, R. Tourism and Visitor Management in Protected Areas: Guidelines for Sustainability; Best Practice Protected Area Guidelines Series; IUCN: Gland, Switzerland, 2018; p. 27. [Google Scholar]
- World Tourism Organization and United Nations Development Programme. Tourism and the Sustainable Development Goals—Journey to 2030; UNWTO: Madrid, Spain, 2018; Available online: https://www.e-unwto.org/doi/book/10.18111/9789284419401 (accessed on 27 December 2021).
- Damert, M.; Koep, L.; Guenther, E.; Morris, J. Stakeholders and socially responsible supply chain management: The moderating role of internationalization. Sustain. Account. Manag. Policy J. 2020, 12, 667–694. [Google Scholar] [CrossRef]
- Li, K.X.; Jin, M.; Shi, W. Tourism as an important impetus to promoting economic growth: A critical review. Tour. Manag. Perspect. 2018, 26, 135–142. [Google Scholar] [CrossRef]
- Mikayilov, J.I.; Mukhtarov, S.; Mammadov, J.; Azizov, M. Re-evaluating the environmental impacts of tourism: Does EKC exist? Environ. Sci. Pollut. Res. 2019, 26, 19389–19402. [Google Scholar] [CrossRef]
- Zhou, D.; Yanagida, J.F.; Chakravorty, U.; Leung, P. Estimating economic impacts from tourism. Ann. Tour. Res. 1997, 24, 76–89. [Google Scholar] [CrossRef]
- Fleming, W.R.; Toepper, L. Economic impact studies: Relating the positive and negative impacts to tourism development. J. Travel Res. 1990, 29, 35–42. [Google Scholar] [CrossRef]
- Ivanov, S.; Webster, C. Measuring the impact of tourism on economic growth. Tour. Econ. 2007, 13, 379–388. [Google Scholar] [CrossRef]
- Burns, P.M.; Holden, A. Tourism: A New Perspective; Prentice-Hall: New York, NY, USA, 1995. [Google Scholar]
- Gursoy, D.; Ouyang, Z.; Nunkoo, R.; Wei, W. Residents’ impact perceptions of and attitudes towards tourism development: A meta-analysis. J. Hosp. Mark. Manag. 2019, 28, 306–333. [Google Scholar] [CrossRef]
- Holden, A. Tourism Studies and the Social Sciences; Routledge: Luton, UK, 2006. [Google Scholar]
- Kim, K.; Uysal, M.; Sirgy, M.J. How does tourism in a community impact the quality of life of community residents? Tour. Manag. 2013, 36, 527–540. [Google Scholar] [CrossRef]
- Uysal, M.; Sirgy, M.J.; Woo, E.; Kim, H.L. Quality of life (QOL) and well-being research in tourism. Tour. Manag. 2016, 53, 244–261. [Google Scholar] [CrossRef]
- Zhang, C.X.; Pearce, P.; Chen, G. Not losing our collective face: Social identity and Chinese tourists’ reflections on uncivilised behaviour. Tour. Manag. 2019, 73, 71–82. [Google Scholar] [CrossRef]
- Yang, F.X.; Wong, I.A. The social crisis aftermath: Tourist well-being during the COVID-19 outbreak. J. Sustain. Tour. 2020, 29, 859–878. [Google Scholar] [CrossRef]
- Aref, F.; Redzuan, M.R. Community leaders’ perceptions towards socio-cultural impacts of tourism on local communities. J. Hum. Ecol. 2010, 29, 87–91. [Google Scholar] [CrossRef]
- Wearing, S. Exploring socio-cultural impacts on local communities. Encycl. Ecotour. 2001, 25, 395–411. [Google Scholar]
- Frank, T.O.; Medaric, Z. Cultural Tourism from an Academic Perspective. Acad. Tur. Tour. Innov. J. 2019, 11, 101–110. [Google Scholar]
- Wells, M.P.; McShane, T.O. Integrating protected area management with local needs and aspirations. AMBIO J. Hum. Environ. 2004, 33, 513–519. [Google Scholar] [CrossRef]
- Liu, J.C.; Sheldon, P.J.; Var, T. Resident perception of the environmental impacts of tourism. Ann. Tour. Res. 1987, 14, 17–37. [Google Scholar] [CrossRef]
- Martín, H.S.; de los Salmones Sanchez, M.M.G.; Herrero, Á. Residents’ attitudes and behavioural support for tourism in host communities. J. Travel Tour. Mark. 2018, 35, 231–243. [Google Scholar] [CrossRef]
- Hall, C.M. Constructing sustainable tourism development: The 2030 agenda and the managerial ecology of sustainable tourism. J. Sustain. Tour. 2019, 27, 1044–1060. [Google Scholar] [CrossRef]
- Liu, Z. Sustainable tourism development: A critique. J. Sustain. Tour. 2003, 11, 459–475. [Google Scholar] [CrossRef]
- Müller, H. The thorny path to sustainable tourism development. J. Sustain. Tour. 1994, 2, 131–136. [Google Scholar] [CrossRef]
- Choi, H.-S.C.; Sirakaya, E. Measuring residents’ attitude toward sustainable tourism: Development of sustainable tourism attitude scale. J. Travel Res. 2005, 43, 380–394. [Google Scholar] [CrossRef]
- Wattanakamolchai, S.; Singal, M.; Murrmann, S.K. Socially responsible customers and the evaluation of service quality. J. Hosp. Tour. Res. 2016, 40, 715–738. [Google Scholar] [CrossRef]
- Li, W. Community decision making participation in development. Ann. Tour. Res. 2006, 33, 132–143. [Google Scholar] [CrossRef]
- Robinson, J.; O’Connor, N. Ballyhoura—A case study of cohesive rural tourism planning in Ireland. Tour. Plan. Dev. 2013, 10, 307–318. [Google Scholar] [CrossRef]
- Scheyvens, R. Tourism for Development: Empowering Communities; Pearson Education: Harlow, UK, 2002. [Google Scholar]
- Sharpley, R. Tourism and sustainable development: Exploring the theoretical divide. J. Sustain. Tour. 2000, 8, 1–19. [Google Scholar] [CrossRef]
- Higgins-Desbiolles, F. Sustainable tourism: Sustaining tourism or something more? Tour. Manag. Perspect. 2018, 25, 157–160. [Google Scholar] [CrossRef]
- Jamal, T.; Camargo, B.A. Sustainable tourism, justice and an ethic of care: Toward the just destination. J. Sustain. Tour. 2014, 22, 11–30. [Google Scholar] [CrossRef]
- Luhmann, H.; Schaper, C.; Theuvsen, L. Future-oriented dairy farmers’ willingness to participate in a sustainability standard: Evidence from an empirical study in Germany. Int. J. Food Syst. Dyn. 2016, 7, 243–257. [Google Scholar]
- Berry, S.; Ladkin, A. Sustainable tourism: A regional perspective. Tour. Manag. 1997, 18, 433–440. [Google Scholar] [CrossRef]
- Rasoolimanesh, S.M.; Jaafar, M. Sustainable tourism development and residents’ perceptions in World Heritage Site destinations. Asia Pac. J. Tour. Res. 2017, 22, 34–48. [Google Scholar] [CrossRef]
- Battilani, P.; Bernini, C.; Mariotti, A. How to cope with dissonant heritage: A way towards sustainable tourism development. J. Sustain. Tour. 2018, 26, 1417–1436. [Google Scholar] [CrossRef]
- Forsyth, T. Environmental responsibility and business regulation: The case of sustainable tourism. Geogr. J. 1997, 163, 270–280. [Google Scholar] [CrossRef]
- Bricker, K.S.; Schultz, J. Sustainable tourism in the USA: A comparative look at the Global Sustainable Tourism Criteria. Tour. Recreat. Res. 2011, 36, 215–229. [Google Scholar] [CrossRef]
- Torugsa, N.A.; O’Donohue, W.; Hecker, R. Proactive CSR: An empirical analysis of the role of its economic, social and environmental dimensions on the association between capabilities and performance. J. Bus. Ethics 2013, 115, 383–402. [Google Scholar] [CrossRef]
- Muhanna, E. Sustainable tourism development and environmental management for developing countries. Probl. Perspect. Manag. 2006, 4, 14–30. [Google Scholar]
- Jamal, T.; Stronza, A. Collaboration theory and tourism practice in protected areas: Stakeholders, structuring and sustainability. J. Sustain. Tour. 2009, 17, 169–189. [Google Scholar] [CrossRef]
- Antić, A.; Peppoloni, S.; Di Capua, G. Applying the values of geoethics for sustainable speleotourism development. Geoheritage 2020, 12, 73. [Google Scholar] [CrossRef]
- Brown, K. Innovations for conservation and development. Geogr. J. 2002, 168, 6–17. [Google Scholar] [CrossRef]
- Amerta, I.M.S.; Sara, I.M.; Bagiada, K. Sustainable tourism development. Int. Res. J. Manag. IT Soc. Sci. 2018, 5, 248–254. [Google Scholar] [CrossRef]
- Perkumienė, D.; Pranskūnienė, R.; Vienažindienė, M.; Grigienė, J. The right to a clean environment: Considering green logistics and sustainable tourism. Int. J. Environ. Res. Public Health 2020, 17, 3254. [Google Scholar] [CrossRef]
- Jeyacheya, J.; Hampton, M.P. Wishful thinking or wise policy? Theorising tourism-led inclusive growth: Supply chains and host communities. World Dev. 2020, 131, 104–115. [Google Scholar] [CrossRef]
- Ashraf, M.S.; Hou, F.; Kim, W.G.; Ahmad, W.; Ashraf, R.U. Modeling tourists’ visiting intentions toward ecofriendly destinations: Implications for sustainable tourism operators. Bus. Strategy Environ. 2020, 29, 54–71. [Google Scholar] [CrossRef]
- Ballantyne, R.; Packer, J.; Hughes, K. Tourists’ support for conservation messages and sustainable management practices in wildlife tourism experiences. Tour. Manag. 2009, 30, 658–664. [Google Scholar] [CrossRef]
- Lee, W.H.; Moscardo, G. Understanding the impact of ecotourism resort experiences on tourists’ environmental attitudes and behavioural intentions. J. Sustain. Tour. 2005, 13, 546–565. [Google Scholar] [CrossRef]
- Su, L.; Gong, Q.; Huang, Y. How do destination social responsibility strategies affect tourists’ intention to visit? An attribution theory perspective. J. Retail. Consum. Serv. 2020, 54, 1–12. [Google Scholar] [CrossRef]
- Hussain, Z.; Lema, J.; Agrusa, J. Enhancing the cultural tourism experience through gastronomy in the Maldives. J. Tour. Chall. Trends 2012, 5, 71–84. [Google Scholar]
- Looch, C. The Best Sustainable Travel Destinations for 2021. Available online: https://theculturetrip.com/europe/articles/the-best-sustainable-travel-destinations-for-2021/ (accessed on 27 December 2021).
- Costa Rica Tourism Board. Sustainability Is not a Practice in Costa Rica; It Is a Way of Life. Available online: https://www.visitcostarica.com/en/costa-rica/sustainability (accessed on 30 December 2021).
- Kinsman, J. 12 Sustainable Destinations We´d Love to Visit in 2022. Available online: https://www.cntraveller.com/gallery/sustainable-destinations-2021 (accessed on 27 December 2021).
- Responsible Travel. Responsible Tourism in Costa Rica. Available online: https://www.responsibletravel.com/holidays/costa-rica/travel-guide/responsible-tourism-in-costa-rica (accessed on 30 December 2021).
- Barbados Tourism Marketing Inc. Building a Greener Barbados. Available online: https://www.visitbarbados.org/building-a-greener-barbados (accessed on 30 December 2021).
- Edwards, K. These 7 Amazing Destinations Are Pushing for Sustainable Tourism. Available online: https://www.timeout.com/travel/best-sustainable-travel-destinations-in-the-world (accessed on 27 December 2021).
- Anselmi, F.A. Sustainable tourism development: Ecotourism and governance of global tourism. Sustain. Tour. Dev. 2020, 12, 1–136. [Google Scholar]
- Sisneros-Kidd, A.M.; Monz, C.; Hausner, V.; Schmidt, J.; Clark, D. Nature-based tourism, resource dependence, and resilience of Arctic communities: Framing complex issues in a changing environment. J. Sustain. Tour. 2019, 27, 1259–1276. [Google Scholar] [CrossRef]
- Maes, J.; Jacobs, S. Nature-based solutions for Europe’s sustainable development. Conserv. Lett. 2017, 10, 121–124. [Google Scholar] [CrossRef]
- Marcouiller, D.W. Environmental resources as latent primary factors of production in tourism: The case of forest-based commercial recreation. Tour. Econ. 1998, 4, 131–145. [Google Scholar] [CrossRef]
- Orams, M.B. Using interpretation to manage nature-based tourism. J. Sustain. Tour. 1996, 4, 81–94. [Google Scholar] [CrossRef]
- Candela, G.; Cellini, R. Countries’ size, consumers’ preferences and specialization in tourism: A note. Riv. Internazionale Sci. Econ. Commer. 1997, 44, 451–458. [Google Scholar]
- Kooijman, E.D.; McQuaid, S.; Rhodes, M.L.; Collier, M.J.; Pilla, F. Innovating with nature: From nature-based solutions to nature-based enterprises. Sustainability 2021, 13, 1263. [Google Scholar] [CrossRef]
- Tisdell, C.A. Economics of Environmental Conservation; Elsevier: Amsterdam, The Netherlands, 2005. [Google Scholar]
- Crouch, G.I.; Ritchie, J.B. Tourism, competitiveness, and societal prosperity. J. Bus. Res. 1999, 44, 137–152. [Google Scholar] [CrossRef]
- Lenzen, M.; Sun, Y.Y.; Faturay, F.; Ting, Y.P.; Geschke, A.; Malik, A. The carbon footprint of global tourism. Nat. Clim. Chang. 2018, 8, 522–528. [Google Scholar] [CrossRef]
- Eser, S.; Dalgin, T.; Çeken, H. Culture tourism as a sustainable tourism type: The Ephesus example. Soc. Sci. 2013, 79, 17–22. [Google Scholar] [CrossRef][Green Version]
- Kim, H.; Lee, S.; Uysal, M.; Kim, J.; Ahn, K. Nature-based tourism: Motivation and subjective well-being. J. Travel Tour. Mark. 2015, 32, 76–96. [Google Scholar] [CrossRef]
- Küçükaltan, D.; Yilmaz, I.A. In the context of sustainable tourism, the applicability of ecotourism in the igneada scale. In Proceedings of the 12th National Tourism Congress, Duzce, Turkey, 30 November–4 December 2011; pp. 157–167. [Google Scholar]
- Stone, M.T.; Stone, L.S.; Nyaupane, G.P. Theorizing and contextualizing protected areas, tourism and community livelihoods linkages. J. Sustain. Tour. 2021, 7, 1–15. [Google Scholar] [CrossRef]
- Çetinkaya, M.Y.; Öter, Z. Sustainable valorization of cultural heritage via tour guides: Turkish case of Ephesus ancient city. Rev. Tur. Patrim. Cult. 2015, 13, 1401–1412. [Google Scholar] [CrossRef]
- Duffy, R. Nature-based tourism and neoliberalism: Concealing contradictions. Tour. Geogr. 2015, 17, 529–543. [Google Scholar] [CrossRef]
- McCool, S.; Butler, R.; Buckley, R.; Weaver, D.; Wheeller, B. Is concept of sustainability utopian: Ideally perfect but impracticable? Tour. Recreat. Res. 2013, 38, 213–242. [Google Scholar] [CrossRef]
- Pasanchay, K.; Schott, C. Community-based tourism homestays’ capacity to advance the Sustainable Development Goals: A holistic sustainable livelihood perspective. Tour. Manag. Perspect. 2021, 37, 1–11. [Google Scholar] [CrossRef]
- Sigala, M. Tourism and COVID-19: Impacts and implications for advancing and resetting industry and research. J. Bus. Res. 2020, 117, 312–321. [Google Scholar] [CrossRef]
- Akesen, A. The Functional Importance of Ecotourism in Sustainable Tourism Approach. In Proceedings of the 10th National Tourism Congress, Mersin, Turkey, 29–30 May 2009; pp. 1365–1374. [Google Scholar]
- Keesstra, S.; Nunes, J.; Novara, A.; Finger, D.; Avelar, D.; Kalantari, Z.; Cerdà, A. The superior effect of nature based solutions in land management for enhancing ecosystem services. Sci. Total Environ. 2018, 610, 997–1009. [Google Scholar] [CrossRef]
- Mandić, A. Nature-based solutions for sustainable tourism development in protected natural areas: A review. Environ. Syst. Decis. 2019, 1, 249–268. [Google Scholar] [CrossRef]
- Erdogan, N. Environment and Eco Tourism; Erk Publishing: Ankara, Turkey, 2003. [Google Scholar]
- Garrod, B.; Fyall, A. Beyond the rhetoric of sustainable tourism? Tour. Manag. 1998, 19, 199–212. [Google Scholar] [CrossRef]
- Kim, S.; Whitford, M.; Arcodia, C. Development of intangible cultural heritage as a sustainable tourism resource: The intangible cultural heritage practitioners’ perspectives. J. Herit. Tour. 2019, 14, 422–435. [Google Scholar] [CrossRef]
- United Nations World Tourism Organization (UNWTO). EU Guidebook on Sustainable Tourism for Development. Available online: https://www.unwto.org/EU-guidebook-on-sustainable-tourism-for-development (accessed on 15 January 2022).
- Wolf, I.D.; Croft, D.B.; Green, R.J. Nature conservation and nature-based tourism: A paradox? Environments 2019, 6, 104. [Google Scholar] [CrossRef]
- Agrusa, J. Group tours in Hawaii: A survey and analysis. Ann. Tour. Res. 1994, 21, 146–147. [Google Scholar] [CrossRef]
- Min, J.; Agrusa, J.; Lema, J.; Lee, H. The Tourism sector and U.S. Regional Macroeconomic Stability: A network Approach. Sustainability 2020, 12, 7543. [Google Scholar] [CrossRef]
- Mak, J. Creating “Paradise of the Pacific”: How Tourism Began in Hawai‘i. Available online: https://www.uhero.Hawaii.edu/assets/Paradise_Mak.pdf (accessed on 16 January 2022).
- Hawai‘i Tourism Authority. Fact Sheet: Benefits of Hawai‘i’s Tourism Economy. Available online: https://www.hawaiitourismauthority.org/media/4167/hta-tourism-econ-impact-fact-sheet-december-2019.pdf (accessed on 16 January 2022).
- Hawai‘i Tourism Authority. Hawai‘i Visitor Statistics Released for September 2020. Available online: https://www.hawaiitourismauthority.org/media/5538/september-2020-visitor-statistics-press-release-final.pdf (accessed on 16 January 2022).
- Yerton, S. 10 Million Visitors: Can Hawai‘i Survive Its Own Popularity? Honolulu Civil Beat. 10 June 2019. Available online: https://www.civilbeat.org/2019/07/10-million-visitors-can-hawaii-survive-its-own-popularity/ (accessed on 16 January 2022).
- Leong, L. Overtourism and Crowding at Our Favorite Spots. Hawaii Business. 5 January 2018. Available online: https://www.hawaiibusiness.com/overtourism/ (accessed on 16 January 2022).
- Brewbaker, P.; Haas, F.; Mak, J. Charting A New Course for Hawai‘i Tourism. Available online: https://uhero.Hawaii.edu/wp-content/uploads/2019/08/ChartingANewCourseForHawaiiTourism.pdf (accessed on 16 January 2022).
- Wallace, D. One Year Later: The Effects of Hawai‘i’s Illegal Short-Term Rental Ban. Honolulu Magazine. 10 August 2020. Available online: http://www.honolulumagazine.com/Honolulu-Magazine/September-2020/One-Year-Later-The-Effects-of-Hawaiis-Illegal-Short-Term-Rental-Ban/ (accessed on 16 January 2022).
- Terrell, J. Will Hawai‘i Finally Be Able to Break Its Dependence on Tourism? Honolulu Civil Beat. 12 October 2020. Available online: https://www.civilbeat.org/2020/10/will-Hawaii-finally-be-able-to-break-its-dependence-on-tourism/ (accessed on 16 January 2022).
- Hawai‘i Tourism Authority. 2019 Annual Visitor Research Report 2019. Available online: https://www.hawaiitourismauthority.org/media/5062/2019-annual-report-final-for-posting.pdf (accessed on 16 January 2022).
- Tourism Economics and the International Air Transport Association. Air Passenger Forecasts: Potential Paths for Recovery into the Medium-and Long-Run (Rep.). 2020. Available online: https://resources.oxfordeconomics.com/hubfs/Webinar%20presentations/Air-Passenger-Forecasts-potential-paths-for-recovery-into-medium-and-long-run.pdf (accessed on 16 January 2022).
- Jang, S.; Morrison, A.M.; O’leary, J.T. A procedure for target market selection in tourism. J. Travel Tour. Mark. 2004, 16, 19–33. [Google Scholar] [CrossRef]
- Taylor, M. Plotting a Sustainable Path forward for Hawaii’s Tourism Industry. Available online: https://www.travelpulse.com/news/destinations/plotting-a-sustainable-path-forward-for-hawaiis-tourism-industry.html (accessed on 27 December 2021).
- Wilson, R. Hawaii’s $14 Billion Tourism Industry Back to Pre-Recession Levels. The Washington Post. 27 September 2013. Available online: https://www.washingtonpost.com/blogs/govbeat/wp/2013/09/27/hawaiis-14-billion-tourism-industry-back-to-pre-recession-levels/ (accessed on 27 December 2021).
- Brunt, P.; Horner, S.; Semley, N. Research Methods in Tourism, Hospitality and Events Management; Sage Publishing: London, UK, 2017. [Google Scholar]
- Molnar, A. SMARTRIQS: A simple method allowing real-time respondent interaction in Qualtrics surveys. J. Behav. Exp. Financ. 2019, 22, 161–169. [Google Scholar] [CrossRef]
- Morrison, M.A.; O’Leary, J.T. Segmenting travel markets with the international tourism role (ITR) scale. J. Travel Res. 1994, 33, 24–31. [Google Scholar]
- Altinay, L.; Paraskevas, A.; Jang, S.S. Planning Research in Hospitality and Tourism, 2nd ed.; Routledge: New York, NY, USA, 2016. [Google Scholar]
- Bryman, A.; Bell, E. Business Research Methods, 3rd ed.; Oxford University Press: New York, NY, USA, 2015. [Google Scholar]
- Creswell, J.W. Research Design: Qualitative, Quantitative, and Mixed Methods Approaches, 4th ed.; Sage Publications: Thousand Oaks, CA, USA, 2013. [Google Scholar]
- Creswell, J.W.; Plano Clark, V. Designing and Conducting Mixed Methods Research; Sage Publications: Thousand Oaks, CA, USA, 2007. [Google Scholar]
- Field, A.P. Discovering Statistics Using SPSS Statistics; Sage Publications: Thousand Oaks, CA, USA, 2009. [Google Scholar]
- Zikmund, W.; Babin, B.; Carr, J.; Griffin, M. Business Research Methods; Cengage Learning: Mason, OH, USA, 2013. [Google Scholar]
- Murphy, B. Hawaii Tourism Officials Are Seeking “Mindful, Respectful and High-Value Travelers”. Available online: https://www.bloomberg.com/news/features/2021-12-30/hawaii-is-rethinking-tourism-here-s-what-that-means-for-you?fbclid=IwAR1pjgis3KWDKZTEa1xz1Jqon07U4FpXS-_g-_CiVeM0ltXXEplwcVoZmuM (accessed on 24 January 2022).
- Hawaii Tourism Authority. Our Strategic Plan. Available online: https://www.hawaiitourismauthority.org/who-we-are/our-strategic-plan/ (accessed on 29 December 2021).
- Lauer, N.C. HTA: Progress on 2021 Sustainable Tourism Goals. Hawaii Tribune. 23 September 2021. Available online: https://www.hawaiitribune-herald.com/2021/09/23/hawaii-news/hta-progress-on-2021-sustainable-tourism-goals/ (accessed on 29 December 2021).
- Breaking Travel News. Four Seasons Resort Hualalai to Plant 500,000 Trees. Available online: https://www.breakingtravelnews.com/news/article/four-seasons-resort-hualalai-to-plant-500000-trees/ (accessed on 29 December 2021).
- Carter, A. Four Seasons Announces Commitment to Plant 10 Million Trees. Available online: https://pursuitist.com/four-seasons-announces-commitment-to-plant-10-million-trees/ (accessed on 29 December 2021).
- Hawaiian Legacy Reforestation Initiative. Hawaiian Legacy Reforestation Initiative 2021. Available online: https://legacyforest.org (accessed on 29 December 2021).
- Gunstock Ranch. Gunstock Ranch: Horseback Riding, Off-Road, and Eco-Tours on Oahu, Hawaii. Available online: https://gunstockranch.com (accessed on 29 December 2021).
- Alohilani Resort. North Shore Tree Planting. Available online: https://www.alohilaniresort.com/special-offers/north-shore-tree-planting/ (accessed on 29 December 2021).
- Mendoza, J. New Kauai Program Encourages Visitors to Participate in Beach Cleanups. Available online: https://www.hawaiinewsnow.com/2021/03/23/new-kauai-program-encourages-visitors-participate-beach-cleanups/ (accessed on 29 December 2021).
- Travel2Change. Our Mission. Available online: https://travel2change.org/about/ (accessed on 29 December 2021).
- Agrusa, J.; Kim, S. Understanding preferences and characteristics of Japanese tourists to Hawaii. Tour. Anal. 2009, 13, 485–497. [Google Scholar] [CrossRef]
- SurferToday. The Best Hawaiian Quotes, Proverbs and Sayings. Surfer Today. 20 March 2020. Available online: https://www.surfertoday.com/surfing/the-best-hawaiian-quotes-proverbs-and-sayings (accessed on 16 January 2022).
- Fernando, C. A Giant Patch of Garbage in the Ocean is Home to a Thriving New Community. Scientists Call it a ‘Floating Plastic Habitat’. Available online: https://eu.usatoday.com/story/news/nation/2021/12/09/great-pacific-garbage-patch-habitat/6431404001/ (accessed on 29 December 2021).


| Characteristics | Category | Frequency | % |
|---|---|---|---|
| Age | 18–29 | 126 | 27.6 |
| 30–44 | 124 | 27.2 | |
| 45–60 | 140 | 30.7 | |
| >60 | 64 | 14.0 | |
| Gender | Male | 184 | 40.4 |
| Female | 270 | 59.2 |
| Male (n = 184) | Female (n = 270) | ||||||
|---|---|---|---|---|---|---|---|
| Category | Mean | SD | Mean | SD | Mean Difference | t | |
| The tourism industry must ensure quality tourism experiences for visitors. | 3.94 | 1.00 | 3.83 | 0.89 | 0.11 | 0.216 | |
| It is the responsibility of tourism businesses to meet visitor needs. | 3.97 | 0.88 | 3.73 | 0.83 | 0.21 | 0.003 | * |
| It is the responsibility of tourism businesses to meet the local community´s needs. | 3.95 | 0.92 | 3.85 | 0.91 | 0.10 | 0.256 | |
| Tourism must contribute to the improvement of the local community. | 4.01 | 1.01 | 4.06 | 0.86 | −0.05 | 0.585 | |
| Tourism must be developed with consideration of the natural and cultural environment. | 4.21 | 0.86 | 4.29 | 0.89 | −0.08 | 0.394 | |
| Male (n = 184) | Female (n = 270) | ||||||
|---|---|---|---|---|---|---|---|
| Category | Mean | SD | Mean | SD | Mean Difference | t | |
| I would describe myself as environmentally responsible. | 3.75 | 0.91 | 3.80 | 0.83 | −0.05 | 0.574 | |
| I would describe myself as culturally sensitive. | 3.85 | 0.91 | 3.92 | 0.84 | −0.07 | 0.458 | |
| I consider the potential impacts of my actions when making many of my vacation decisions. | 3.65 | 0.99 | 3.83 | 0.84 | −0.18 | 0.040 | * |
| When choosing a vacation destination, it is important to me that the tourism industry supports environmentally sustainable tourism practices. | 3.59 | 1.08 | 3.94 | 0.88 | −0.35 | 0.001 | * |
| When choosing a vacation destination, it is important to me that the tourism industry supports culturally respectful tourism practices. | 3.96 | 0.92 | 4.17 | 0.88 | −0.21 | 0.016 | * |
| Tukey’s HSD Comparisons | |||||
|---|---|---|---|---|---|
| Environmental Responsive | Mean | 18–29 | 30–44 | 45–60 | >60 |
| 18–29 (n = 126) | 3.63 | ||||
| 30–44 (n = 124) | 3.77 | insignificant | |||
| 45–60 (n = 140) | 3.79 | insignificant | insignificant | ||
| >60 (n = 64) | 4.06 | p < 0.05 | insignificant | insignificant | |
| Tukey’s HSD comparisons | |||||
| Willingness to pay | Mean | 18–29 | 30–44 | 45–60 | >60 |
| 18–29 (n = 126) | 1.32 | ||||
| 30–44 (n = 124) | 1.19 | insignificant | |||
| 45–60 (n = 140) | 1.36 | insignificant | p < 0.05 | ||
| >60 (n = 64) | 1.30 | insignificant | insignificant | insignificant | |
| Tukey’s HSD comparisons | |||||
| Outdoor activities | Mean | 18–29 | 30–44 | 45–60 | >60 |
| 18–29 (n = 126) | 3.91 | ||||
| 30–44 (n = 124) | 3.86 | insignificant | |||
| 45–60 (n = 140) | 3.78 | insignificant | insignificant | ||
| >60 (n = 64) | 3.39 | p < 0.05 | p < 0.05 | insignificant | |
| Local Examples | Description | Research Question |
|---|---|---|
| The Four Seasons | Tree planting initiative where resort charge a fee. | RQ2 |
| Alohilani Resort | Tree planting initiative where resort charge a fee. | RQ2 |
| The Cliffs at Princeville | Educate tourists prearrival and offer environmental program to encourage participating in beach cleanups. | RQ1 |
| The Travel2Change platform | Connecting tourists with nonprofit local sustainable possibilities. | RQ1 |
Publisher’s Note: MDPI stays neutral with regard to jurisdictional claims in published maps and institutional affiliations. |
© 2022 by the authors. Licensee MDPI, Basel, Switzerland. This article is an open access article distributed under the terms and conditions of the Creative Commons Attribution (CC BY) license (https://creativecommons.org/licenses/by/4.0/).
Share and Cite
Linnes, C.; Agrusa, J.; Ronzoni, G.; Lema, J. What Tourists Want, a Sustainable Paradise. Tour. Hosp. 2022, 3, 164-183. https://doi.org/10.3390/tourhosp3010013
Linnes C, Agrusa J, Ronzoni G, Lema J. What Tourists Want, a Sustainable Paradise. Tourism and Hospitality. 2022; 3(1):164-183. https://doi.org/10.3390/tourhosp3010013
Chicago/Turabian StyleLinnes, Cathrine, Jerome Agrusa, Giulio Ronzoni, and Joseph Lema. 2022. "What Tourists Want, a Sustainable Paradise" Tourism and Hospitality 3, no. 1: 164-183. https://doi.org/10.3390/tourhosp3010013
APA StyleLinnes, C., Agrusa, J., Ronzoni, G., & Lema, J. (2022). What Tourists Want, a Sustainable Paradise. Tourism and Hospitality, 3(1), 164-183. https://doi.org/10.3390/tourhosp3010013

