Detection and Analysis of Microfibers and Microplastics in Wastewater from a Textile Company
Abstract
1. Introduction
2. Materials and Methods
2.1. Samples Origin and Pretreatment
2.2. MFs’ Recovery
2.3. MFs and MPs Analysis
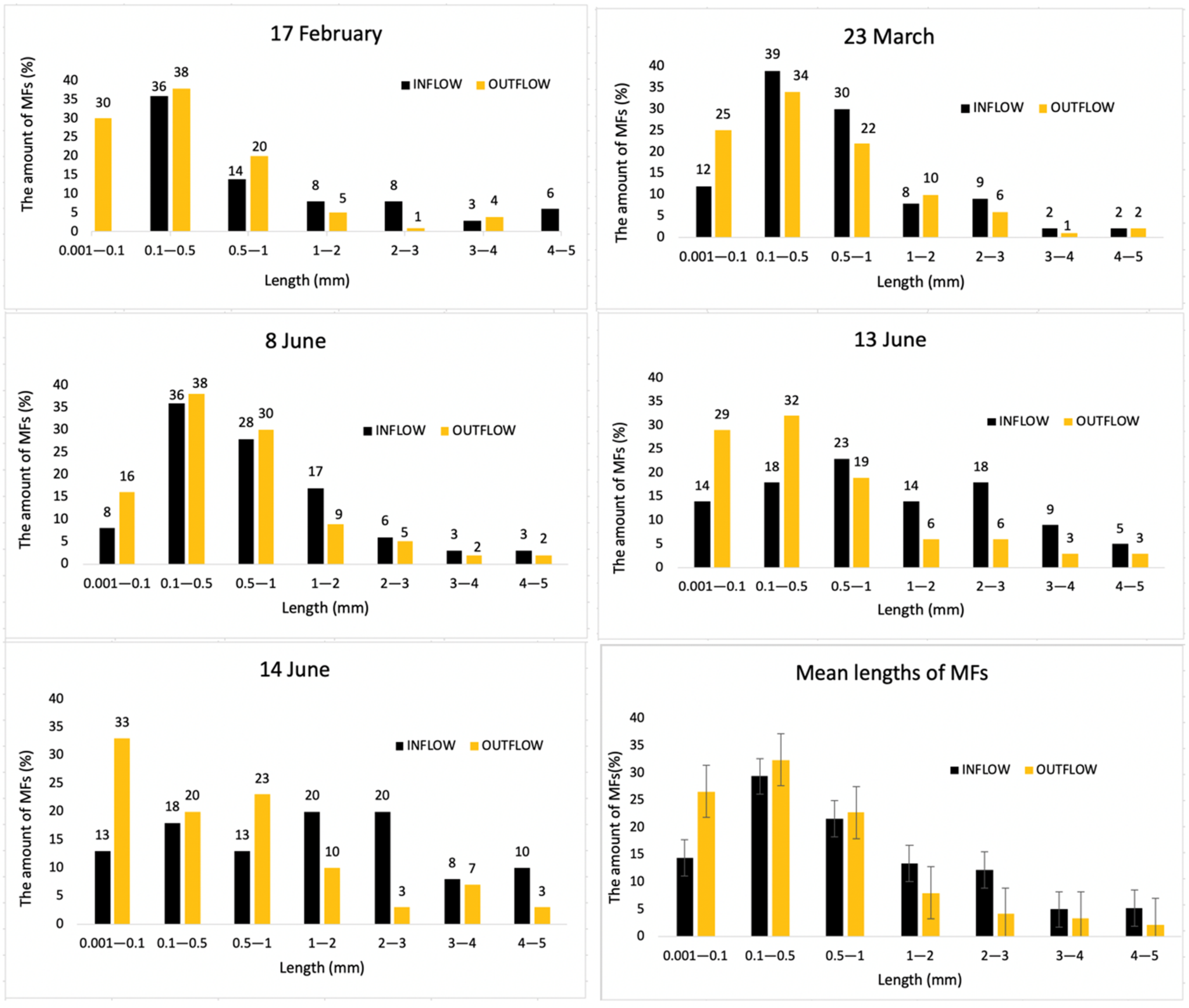
3. Results and Discussion
3.1. Preliminary Comparison of the Different Recovery Processes
3.2. MPs Amount and Characterization
4. Conclusions
Author Contributions
Funding
Institutional Review Board Statement
Informed Consent Statement
Data Availability Statement
Acknowledgments
Conflicts of Interest
References
- ISO TR 21960 Plastics; Environmental Aspects. State of Knowledge and Methodologies. ISO Plastics: Mount Vernon, NY, USA, 2020.
- Crawford, C.B.; Quinn, B. Microplastic Pollutants; Elsevier Limited: Amsterdam, The Netherlands, 2016. [Google Scholar]
- De Lucia, G.A.; Vianello, A.; Camedda, A.; Vani, D.; Tomassetti, P.; Coppa, S.; Palazzo, L.; Amici, M.; Romanelli, G.; Zampetti, G.; et al. Sea Water Contamination in the Vicinity of the Italian Minor Islands Caused by Microplastic Pollution. Water 2018, 10, 1108. [Google Scholar] [CrossRef]
- Liu, D.; Zheng, Y.; Chen, L.; Wen, D. Prevalence of small-sized microplastics in coastal sediments detected by multipoint confocal micro-Raman spectrum scanning. Sci. Total Environ. 2022, 831, 154741. [Google Scholar] [CrossRef] [PubMed]
- Khan, L.; Ghias, S.; Zafar, M.I.; Alhodaib, A.; Fatima, H.; Ur-Rehman, T.; Waseem, A.; Howari, H. Exploration of microplastic pollution with particular focus on source identification and spatial patterns in riverine water, sediment and fish of the Swat River, Pakistan. RSC Adv. 2022, 12, 9556–9566. [Google Scholar] [CrossRef] [PubMed]
- Ziajahromi, S.; Neale, P.A.; Rintoul, L.; Leusch, F.D.L. Wastewater treatment plants as a pathway for microplastics: Development of a new approach to sample wastewater-based microplastics. Water Res. 2017, 112, 93–99. [Google Scholar] [CrossRef] [PubMed]
- Wang, T.; Li, B.; Yu, W.; Zou, X. Microplastic pollution and quantitative source apportionment in the Jiangsu coastal area, China. Mar. Pollut. Bull. 2021, 166, 112237. [Google Scholar] [CrossRef]
- Luo, Z.; Zhou, X.; Su, Y.; Wang, H.; Yu, R.; Zhou, S.; Xu, E.G.; Xing, B. Environmental occurrence, fate, impact, and potential solution of tire microplastics: Similarities and differences with tire wear particles. Sci. Total Environ. 2021, 795, 148902. [Google Scholar] [CrossRef]
- Kutralam-Muniasamy, G.; Pérez-Guevara, F.; Elizalde-Martínez, I.; Shruti, V.C. Branded Milks—Are They Immune from Microplastics Contamination? Sci. Total Environ. 2020, 714, 136823. [Google Scholar] [CrossRef]
- Liebezeit, G.; Liebezeit, E. Non-pollen particulates in honey and sugar. Food Addit. Contam. Part A 2013, 30, 2136–2140. [Google Scholar] [CrossRef]
- Yang, D.; Shi, H.; Li, L.; Li, J.; Jabeen, K.; Kolandhasamy, P. Microplastic Pollution in Table Salts from China. Environ. Sci. Technol. 2015, 49, 13622–13627. [Google Scholar] [CrossRef]
- Smith, M.; Love, D.C.; Rochman, C.M.; Neff, R.A. Microplastics in Seafood and the Implications for Human Health. Curr. Environ. Health Rep. 2018, 5, 375–386. [Google Scholar] [CrossRef]
- Koelmans, A.A.; Nor, N.H.M.; Hermsen, E.; Kooi, M.; Mintenig, S.M.; De France, J. Microplastics in freshwaters and drinking water: Critical review and assessment of data quality. Water Res. 2019, 155, 410–422. [Google Scholar] [CrossRef] [PubMed]
- Catarino, A.I.; Macchia, V.; Sanderson, W.G.; Thompson, R.C.; Henry, T.B. Low levels of microplastics (MP) in wild mussels indicate that MP ingestion by humans is minimal compared to exposure via household fibres fallout during a meal. Environ. Pollut. 2018, 237, 675–684. [Google Scholar] [CrossRef] [PubMed]
- Barboza, L.G.A.; Vethaak, A.D.; Lavorante, B.R.; Lundebye, A.-K.; Guilhermino, L. Marine microplastic debris: An emerging issue for food security, food safety and human health. Mar. Pollut. Bull. 2018, 133, 336–348. [Google Scholar] [CrossRef] [PubMed]
- Vethaak, A.D.; Legler, J. Microplastics and human health. Science 2021, 371, 672–674. [Google Scholar] [CrossRef]
- Cox, K.D.; Covernton, G.A.; Davies, H.L.; Dower, J.F.; Juanes, F.; Dudas, S.E. Human Consumption of Microplastics. Environ. Sci. Technol. 2019, 53, 7068–7074. [Google Scholar] [CrossRef]
- Prata, J.C.; da Costa, J.P.; Lopes, I.; Duarte, A.C.; Rocha-Santos, T. Environmental exposure to microplastics: An overview on possible human health effects. Sci. Total Environ. 2019, 702, 134455. [Google Scholar] [CrossRef]
- Sun, J.; Dai, X.; Wang, Q.; van Loosdrecht, M.C.; Ni, B.-J. Microplastics in wastewater treatment plants: Detection, occurrence and removal. Water Res. 2019, 152, 21–37. [Google Scholar] [CrossRef]
- Cole, M.; Webb, H.; Lindeque, P.K.; Fileman, E.S.; Halsband, C.; Galloway, T.S. Isolation of microplastics in biota-rich seawater samples and marine organisms. Sci. Rep. 2014, 4, 4528. [Google Scholar] [CrossRef]
- Liu, M.; Lu, S.; Chen, Y.; Cao, C.; Bigalke, M.; He, D. Analytical Methods for Microplastics in Environments: Current Advances and Challenges. In Microplastics in Terrestrial Environments; Springer: Berlin/Heidelberg, Germany, 2020; pp. 3–24. [Google Scholar] [CrossRef]
- Nguyen, B.; Claveau-Mallet, D.; Hernandez, L.M.; Xu, E.G.; Farner, J.M.; Tufenkji, N. Separation and Analysis of Microplastics and Nanoplastics in Complex Environmental Samples. Accounts Chem. Res. 2019, 52, 858–866. [Google Scholar] [CrossRef]
- Fok, L.; Lam, T.W.L.; Li, H.-X.; Xu, X.-R. A meta-analysis of methodologies adopted by microplastic studies in China. Sci. Total Environ. 2019, 718, 135371. [Google Scholar] [CrossRef]
- Nabi, I.; Bacha, A.-U.; Zhang, L. A review on microplastics separation techniques from environmental media. J. Clean. Prod. 2022, 337, 130458. [Google Scholar] [CrossRef]
- Elkhatib, D.; Oyanedel-Craver, V. A Critical Review of Extraction and Identification Methods of Microplastics in Wastewater and Drinking Water. Environ. Sci. Technol. 2020, 54, 7037–7049. [Google Scholar] [CrossRef] [PubMed]
- Tirkey, A.; Upadhyay, L.S.B. Microplastics: An overview on separation, identification and characterization of microplastics. Mar. Pollut. Bull. 2021, 170, 112604. [Google Scholar] [CrossRef] [PubMed]
- Löder, M.G.J.; Gerdts, G. Methodology Used for the Detection and Identification of Microplastics—A Critical Appraisal. In Marine Anthropogenic Litter; Springer: Berlin/Heidelberg, Germany, 2015; pp. 201–227. [Google Scholar] [CrossRef]
- Ngo, P.L.; Pramanik, B.K.; Shah, K.; Roychand, R. Pathway, classification and removal efficiency of microplastics in wastewater treatment plants. Environ. Pollut. 2019, 255, 113326. [Google Scholar] [CrossRef]
- Li, J.; Liu, H.; Chen, J.P. Microplastics in freshwater systems: A review on occurrence, environmental effects, and methods for microplastics detection. Water Res. 2018, 137, 362–374. [Google Scholar] [CrossRef]
- Xu, X.; Hou, Q.; Xue, Y.; Jian, Y.; Wang, L. Pollution characteristics and fate of microfibers in the wastewater from textile dyeing wastewater treatment plant. Water Sci. Technol. 2018, 78, 2046–2054. [Google Scholar] [CrossRef]
- Gies, E.A.; LeNoble, J.L.; Noël, M.; Etemadifar, A.; Bishay, F.; Hall, E.R.; Ross, P.S. Retention of microplastics in a major secondary wastewater treatment plant in Vancouver, Canada. Mar. Pollut. Bull. 2018, 133, 553–561. [Google Scholar] [CrossRef]
- Castelluccio, S.; Alvim, C.B.; Bes-Piá, M.A.; Mendoza-Roca, J.A.; Fiore, S. Assessment of Microplastics Distribution in a Biological Wastewater Treatment. Microplastics 2022, 1, 141–155. [Google Scholar] [CrossRef]
- Magni, S.; Binelli, A.; Pittura, L.; Giacomo, C.; Della, C.; Carla, C.; Regoli, F. The fate of microplastics in an Italian Wastewater Treatment Plant. Sci. Total Environ. 2019, 652, 602–610. [Google Scholar] [CrossRef]
- Gündoğdu, S.; Çevik, C.; Güzel, E.; Kilercioğlu, S. Microplastics in municipal wastewater treatment plants in Turkey: A comparison of the influent and secondary effluent concentrations. Environ. Monit. Assess. 2018, 190, 626. [Google Scholar] [CrossRef]
- Cristaldi, A.; Fiore, M.; Zuccarello, P.; Conti, G.O.; Grasso, A.; Nicolosi, I.; Copat, C.; Ferrante, M. Efficiency of Wastewater Treatment Plants (WWTPs) for Microplastic Removal: A Systematic Review. Int. J. Environ. Res. Public Health 2020, 17, 8014. [Google Scholar] [CrossRef] [PubMed]
- Talvitie, J.; Mikola, A.; Koistinen, A.; Setälä, O. Solutions to microplastic pollution—Removal of microplastics from wastewater effluent with advanced wastewater treatment technologies. Water Res. 2017, 123, 401–407. [Google Scholar] [CrossRef] [PubMed]
- Zeri, C.; Adamopoulou, A.; Koi, A.; Koutsikos, N.; Lytras, E.; Dimitriou, E. Rivers and Wastewater-Treatment Plants as Microplastic Pathways to Eastern Mediterranean Waters: First Records for the Aegean Sea, Greece. Sustainability 2021, 13, 5328. [Google Scholar] [CrossRef]
- Di Bella, G.; Corsino, S.F.; De Marines, F.; Lopresti, F.; La Carrubba, V.; Torregrossa, M.; Viviani, G. Occurrence of Microplastics in Waste Sludge of Wastewater Treatment Plants: Comparison between Membrane Bioreactor (MBR) and Conventional Activated Sludge (CAS) Technologies. Membranes 2022, 12, 371. [Google Scholar] [CrossRef]
- Weis, J.S.; Palmquist, K.H. Reality Check: Experimental Studies on Microplastics Lack Realism. Appl. Sci. 2021, 11, 8529. [Google Scholar] [CrossRef]
- De Falco, F.; Gullo, M.P.; Gentile, G.; Di Pace, E.; Cocca, M.; Gelabert, L.; Brouta-Agnésa, M.; Rovira, A.; Escudero, R.; Villalba, R.; et al. Evaluation of microplastic release caused by textile washing processes of synthetic fabrics. Environ. Pollut. 2018, 236, 916–925. [Google Scholar] [CrossRef]
- Xu, C.; Zhang, B.; Gu, C.; Shen, C.; Yin, S.; Aamir, M.; Li, F. Are We Underestimating the Sources of Microplastic Pollution in Terrestrial Environment? J. Hazard. Mater. 2020, 400, 123228. [Google Scholar] [CrossRef] [PubMed]
- Deng, H.; Wei, R.; Luo, W.; Hu, L.; Li, B.; Di, Y.; Shi, H. Microplastic pollution in water and sediment in a textile industrial area. Environ. Pollut. 2020, 258, 113658. [Google Scholar] [CrossRef]
- Xu, C.; Zhou, G.; Lu, J.; Shen, C.; Dong, Z.; Yin, S.; Li, F. Spatio-vertical distribution of riverine microplastics: Impact of the textile industry. Environ. Res. 2022, 211, 112789. [Google Scholar] [CrossRef]
- Cesa, F.S.; Turra, A.; Baruque-Ramos, J. Synthetic fibers as microplastics in the marine environment: A review from textile perspective with a focus on domestic washings. Sci. Total Environ. 2017, 598, 1116–1129. [Google Scholar] [CrossRef]
- Henry, B.; Laitala, K.; Klepp, I.G. Microplastic Pollution from Textiles: A Literature Review; Consumption Research Norway: Oslo, Norway, 2018; Available online: https://oda.oslomet.no/oda-xmlui/handle/20.500.12199/5360 (accessed on 25 July 2022).
- Zhou, H.; Zhou, L.; Ma, K. Microfiber from textile dyeing and printing wastewater of a typical industrial park in China: Occurrence, removal and release. Sci. Total Environ. 2020, 739, 140329. [Google Scholar] [CrossRef] [PubMed]
- Chan, C.K.; Park, C.; Chan, K.M.; Mak, D.C.; Fang, J.K.; Mitrano, D.M. Microplastic Fibre Releases from Industrial Wastewater Effluent: A Textile Wet-Processing Mill in China. Environ. Chem. 2021, 18, 93–100. [Google Scholar] [CrossRef]
- Magalhães, S.; Alves, L.; Romano, A.; Medronho, B.; Rasteiro, M.D.G. Extraction and Characterization of Microplastics from Portuguese Industrial Effluents. Polymers 2022, 14, 2902. [Google Scholar] [CrossRef] [PubMed]
- Tchobanoglous, G.; Stensel, H.D.; Tsuchihashi, R.; Burton, G.; Abu-Orf, M.; Bowden, H.; von Pfuel, S. Wastewater Engineering: Treatment and Resource Recovery; McGraw-Hill Education: New York, NY, USA, 2014. [Google Scholar]
- Akyildiz, S.H.; Bellopede, R.; Fiore, S.; Yalcin, B.; Sezgin, H.; Yalcin-Enis, İ. Preliminary Assessment of Microfibers Amount in Textile Wastewater. In Proceedings of the 6th Symposium on Circular Economy and Urban Mining, Capri, Italy, 18–20 May 2022; CISA Publisher: Padua, Italy, 2022. [Google Scholar]
- Zhang, C.; Zhou, H.; Cui, Y.; Wang, C.; Li, Y.; Zhang, D. Microplastics in offshore sediment in the Yellow Sea and East China Sea, China. Environ. Pollut. 2018, 244, 827–833. [Google Scholar] [CrossRef] [PubMed]
- Mathalon, A.; Hill, P. Microplastic fibers in the intertidal ecosystem surrounding Halifax Harbor, Nova Scotia. Mar. Pollut. Bull. 2014, 81, 69–79. [Google Scholar] [CrossRef]
- Balestra, V.; Bellopede, R. Microplastic pollution in show cave sediments: First evidence and detection technique. Environ. Pollut. 2021, 292, 118261. [Google Scholar] [CrossRef]
- Monteiro, S.S.; Rocha-Santos, T.; Prata, J.C.; Duarte, A.C.; Girão, A.V.; Lopes, P.; Cristovão, T.; da Costa, J.P. A Straightforward Method for Microplastic Extraction from Organic-Rich Freshwater Samples. Sci. Total Environ. 2022, 815, 152941. [Google Scholar] [CrossRef]
- Zhou, Y.; Liu, X.; Wang, J. Characterization of microplastics and the association of heavy metals with microplastics in suburban soil of central China. Sci. Total Environ. 2019, 694, 133798. [Google Scholar] [CrossRef]
- Raju, S.; Carbery, M.; Kuttykattil, A.; Senthirajah, K.; Lundmark, A.; Rogers, Z.; Scb, S.; Evans, G.; Palanisami, T. Improved methodology to determine the fate and transport of microplastics in a secondary wastewater treatment plant. Water Res. 2020, 173, 115549. [Google Scholar] [CrossRef]
- Conley, K.; Clum, A.; Deepe, J.; Lane, H.; Beckingham, B. Wastewater treatment plants as a source of microplastics to an urban estuary: Removal efficiencies and loading per capita over one year. Water Res. X 2019, 3, 100030. [Google Scholar] [CrossRef]
- Lares, M.; Ncibi, M.C.; Sillanpää, M.; Sillanpää, M. Intercomparison study on commonly used methods to determine microplastics in wastewater and sludge samples. Environ. Sci. Pollut. Res. 2019, 26, 12109–12122. [Google Scholar] [CrossRef] [PubMed]
- Liu, Y.; Wang, B.; Pileggi, V.; Chang, S. Methods to recover and characterize microplastics in wastewater treatment plants. Case Stud. Chem. Environ. Eng. 2022, 5, 100183. [Google Scholar] [CrossRef]
- Hidalgo-Ruz, V.; Gutow, L.; Thompson, R.C.; Thiel, M. Microplastics in the Marine Environment: A Review of the Methods Used for Identification and Quantification. Environ. Sci. Technol. 2012, 46, 3060–3075. [Google Scholar] [CrossRef] [PubMed]
- Song, Y.K.; Hong, S.H.; Jang, M.; Han, G.M.; Rani, M.; Lee, J.; Shim, W.J. A comparison of microscopic and spectroscopic identification methods for analysis of microplastics in environmental samples. Mar. Pollut. Bull. 2015, 93, 202–209. [Google Scholar] [CrossRef] [PubMed]
- JRC, Joint Research Centre. Guidance on Monitoring of Marine Litter in European Seas. A Guidance Document within the Common Implementation Strategy for the Marine Strategy Framework Directive. MSFD Technical Subgroup on Marine Litter. 2013. Available online: https://op.europa.eu/en/publication-detail/-/publication/76da424f-8144-45c6-9c5b-78c6a5f69c5d/language-en (accessed on 9 July 2022).
- Das, M. Man-Made Cellulose Fibre Reinforcements (MMCFR). In Biocomposites for High-Performance Applications; Woodhead Publishing: Sawston, UK, 2017; pp. 23–55. [Google Scholar]





| Samples | 17 February | 23 March | 8 June | 13 June | 14 June |
|---|---|---|---|---|---|
| Inflow | F1 = 447 | F1 = 268 | F1 = 1921 | F1 = 870 | F1 = 1022 |
| F2 = 449 | |||||
| F2 = 446 | F3 = 767 | F2 = 834 | F2 = 539 | F2 = 642 | |
| Total = 893 | Total * = 4452 | Total = 2755 | Total = 1409 | Total = 1664 | |
| Outflow | F1 = 310 | F1 = 491 | F1 = 625 | F1 = 476 | F1 = 343 |
| F2 = 416 | |||||
| F3 = 428 | F2 = 375 | F2 = 391 | F2 = 377 | ||
| F4 = 635 | |||||
| F5 = 434 | Total = 1000 | Total = 867 | Total = 720 | ||
| Total = 2404 | |||||
| % Decrease | 65 | 46 | 63 | 38 | 56 |
| Samples | 17 February | 23 March | 8 June | 13 June | 14 June |
|---|---|---|---|---|---|
| Inflow | Acrylic | Acrylic | Acrylic | Acrylic | Acrylic |
| Cotton | Cotton | Cotton | Cotton | Cotton | |
| Polyester | Polyester | Polyamide | Polyester | Polyester | |
| Polypropylene | Polyester | Viscose (rayon) | Viscose (rayon) | ||
| Viscose (rayon) | Viscose (rayon) | ||||
| Wool | |||||
| Outflow | Acrylic | Cotton | Cotton | Acrylic | Cotton |
| Cotton | Polyester | Polyamide | Cotton | Polyester | |
| Polypropylene | Polyester | Polyester | |||
| Wool |
Publisher’s Note: MDPI stays neutral with regard to jurisdictional claims in published maps and institutional affiliations. |
© 2022 by the authors. Licensee MDPI, Basel, Switzerland. This article is an open access article distributed under the terms and conditions of the Creative Commons Attribution (CC BY) license (https://creativecommons.org/licenses/by/4.0/).
Share and Cite
Akyildiz, S.H.; Bellopede, R.; Sezgin, H.; Yalcin-Enis, I.; Yalcin, B.; Fiore, S. Detection and Analysis of Microfibers and Microplastics in Wastewater from a Textile Company. Microplastics 2022, 1, 572-586. https://doi.org/10.3390/microplastics1040040
Akyildiz SH, Bellopede R, Sezgin H, Yalcin-Enis I, Yalcin B, Fiore S. Detection and Analysis of Microfibers and Microplastics in Wastewater from a Textile Company. Microplastics. 2022; 1(4):572-586. https://doi.org/10.3390/microplastics1040040
Chicago/Turabian StyleAkyildiz, Sinem Hazal, Rossana Bellopede, Hande Sezgin, Ipek Yalcin-Enis, Bahattin Yalcin, and Silvia Fiore. 2022. "Detection and Analysis of Microfibers and Microplastics in Wastewater from a Textile Company" Microplastics 1, no. 4: 572-586. https://doi.org/10.3390/microplastics1040040
APA StyleAkyildiz, S. H., Bellopede, R., Sezgin, H., Yalcin-Enis, I., Yalcin, B., & Fiore, S. (2022). Detection and Analysis of Microfibers and Microplastics in Wastewater from a Textile Company. Microplastics, 1(4), 572-586. https://doi.org/10.3390/microplastics1040040

