The Status of Indigenous Chicken Genetic Resources: An Analysis of Farmers’ Perspectives and Implications for Breed Conservation Priorities in Zambia
Abstract
1. Introduction
Main Objectives
- To evaluate the status of indigenous chicken breeds among small-scale farmers in eastern, central, and southern livelihood zones;
 - To evaluate the factors impacting the status of chicken breeds in Zambia;
 - To assess the perceptions of farmers on the status of indigenous chicken breeds in Zambia.
 
2. Materials and Methods
2.1. Varying Agro-Ecological Conditions
2.2. Sampling Strategy
2.3. Data Analysis
2.4. Data Storage and Ethics
3. Results
3.1. Type of Respondents in the Qualtrics Survey
3.2. Selected Indigenous Livestock Owned by Respondents
3.3. Chicken Breeds Owned by Farmers
3.4. Introduction of New Chicken Breeds
3.5. Sources of Chicken Breeding Stock
3.6. Reasons for Trying New or Exotic Breeds
3.7. Farmers’ View on the Loss of Some Indigenous Chicken Breeds
3.8. Farmers’ Concern about the Loss of Some Indigenous Chicken Breeds
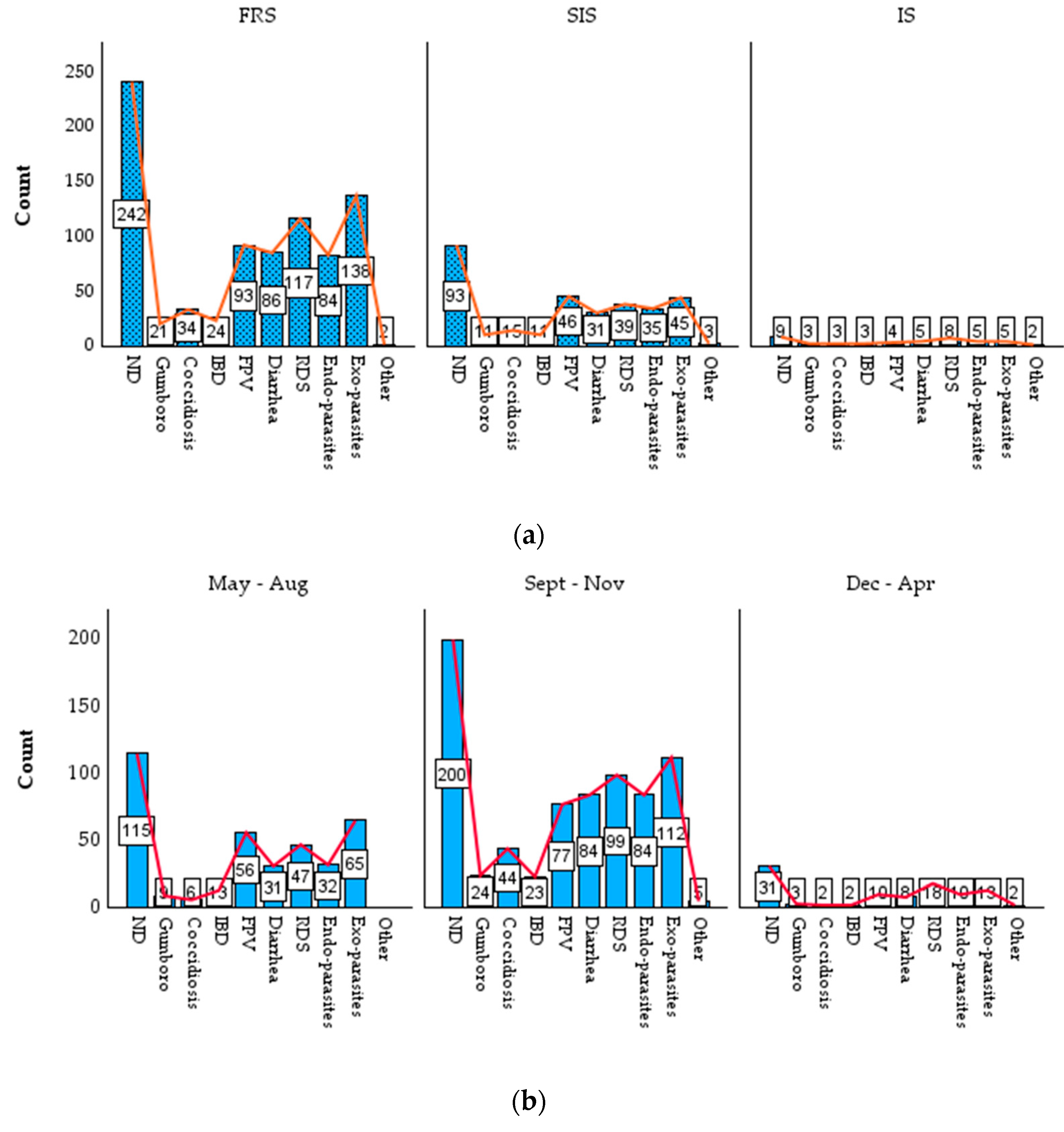
3.9. Production System, Season, and Prevalence of Poultry Diseases
4. Discussion
4.1. Household Type and Access to Agricultural Resources
4.2. Common Chicken Breeds among Small-Scale Farmers
4.3. Sourcing Breeding Stock
4.4. What Farmers Consider When Selecting Chicken Breeds
4.5. Impact of Losing Locally Adapted Chicken Breeds
4.6. Impact of Diseases on the Indigenous Chicken Sector
5. Conclusions
Author Contributions
Funding
Institutional Review Board Statement
Informed Consent Statement
Data Availability Statement
Acknowledgments
Conflicts of Interest
References
- Fumihito, A.; Miyake, T.; Sumi, S.-I.; Takada, M.; Ohno, S.; Kondo, N. One subspecies of the red junglefowl (Gallus gallus gallus) suffices as the matriarchic ancestor of all domestic breeds. Proc. Natl. Acad. Sci. USA 1994, 91, 12505–12509. [Google Scholar] [CrossRef] [PubMed]
 - Alders, R.; Pym, R. Village poultry: Still important to millions, eight thousand years after domestication. World’s Poult. Sci. J. 2009, 65, 181–190. [Google Scholar] [CrossRef]
 - Dementieva, N.V.; Shcherbakov, Y.S.; Tyshchenko, V.I.; Terletsky, V.P.; Vakhrameev, A.B.; Nikolaeva, O.A.; Ryabova, A.E.; Azovtseva, A.I.; Mitrofanova, O.V.; Peglivanyan, G.K.; et al. Comparative analysis of molecular RFLP and SNP markers in assessing and understanding the genetic diversity of various chicken breeds. Genes 2022, 13, 1876. [Google Scholar] [CrossRef] [PubMed]
 - Bélanger, J.; Pilling, D. (Eds.) The State of the World’s Biodiversity for Food and Agriculture; Food Agriculture Organisation (FAO): Rome, Italy, 2019; Available online: http://www.fao.org/3/CA3129EN/ca3129en.pdf (accessed on 20 June 2021).
 - FAO. The Food and Agricultural Organisation of the United Nations. The Second Report on the State of the World’s Animal Genetic Resources for Food and Agriculture; Scherf, B.D., Pilling, D., Eds.; FAO: Rome, Italy, 2015; Available online: http://www.fao.org/3/a-i4787e.pdf (accessed on 5 February 2020).
 - Guèye, E.H.F. Village egg and fowl meat production in Africa. World’s Poult. Sci. J. 1998, 54, 73–86. [Google Scholar] [CrossRef]
 - Guèye, E. The Role of family poultry in poverty alleviation, food security and the promotion of gender equality in rural Africa. Outlook Agric. 2000, 29, 129–136. [Google Scholar] [CrossRef]
 - Okeno, T.O.; Magothe, T.M.; Kahi, A.K.; Peters, K.J. Breeding objectives for indigenous chicken: Model development and application to different production systems. Trop. Anim. Health Prod. 2012, 45, 193–203. [Google Scholar] [CrossRef] [PubMed]
 - Queenan, K.; Alders, R.; Maulaga, W.; Lumbwe, H.; Rukambile, E.; Zulu, E.; Bagnol, B.; Rushton, J. An appraisal of the indigenous chicken market in Tanzania and Zambia: Are the markets ready for improved outputs from village production systems? Livest. Res. Rural. Dev. 2016, 28. Available online: https://www.lrrd.org/lrrd28/10/cont2810.htm (accessed on 18 January 2021).
 - Simainga, S.; Moreki, J.; Band, F.; Sakuya, N. Socioeconomic study of family poultry in Mongu and Kalabo Districts of Zambia. J. Livest. Res. Rur. Dev. 2011, 23. Available online: https://lrrd.cipav.org.co/lrrd23/2/sima23031.htm (accessed on 15 October 2020).
 - Manyelo, T.G.; Selaledi, L.; Hassan, Z.M.; Mabelebele, M. Local chicken breeds of Africa: Their description, uses and conservation methods. Animals 2020, 10, 2257. [Google Scholar] [CrossRef]
 - Kpomasse, C.C.; Kouame, Y.A.E.; N’nanle, O.; Houndonougbo, F.M.; Tona, K.; Oke, O.E. The productivity and resilience of the indigenous chickens in the tropical environments: Improvement and future perspectives. J. Appl. Anim. Res. 2023, 51, 456–469. [Google Scholar] [CrossRef]
 - MFL. Enhanced Smallholder Agribusiness Promotion Programme: Practical Village Chicken Business Facilitation Manual for Field Extension Facilitators; IFAD: Rome, Italy, 2020. [Google Scholar]
 - Rodríguez, L.C.; Herrero, M.; Baltenweck, I. Community-based interventions for the use and conservation of animal genetic resources: The case of indigenous scavenger chicken production in Benin. J. Trop. Anim. Health. Prod. 2011, 43, 961–966. [Google Scholar] [CrossRef] [PubMed]
 - Swatson, H. Workshop on Smallholder Poultry Development: School of Agriculture and Agribusiness, University of Natal, Pietermaritzburg, South Africa, 29th to 30th October 2003. Br. Poult. Sci. J. 2004, 45, 294–295. [Google Scholar]
 - Bwalya, R.; Kalinda, T. An analysis of the value chain for indigenous chickens in Zambia’s Lusaka and Central Provinces. J. Agric. Stud. 2014, 2, 32–51. [Google Scholar] [CrossRef]
 - ZAMSTAT. Ministry of Fisheries and Livestock: The 2022 Livestock Survey Report. Information Center Publications: Agriculture and Environment Statistics; Zambia Statistics Agency: Lusaka, Zambia, 2022. Available online: https://www.zamstats.gov.zm/agriculture-environment-statistics/ (accessed on 14 January 2023).
 - Lubungu, M.; Mofya-Mukuka, R. The Status of the Smallholder Livestock Sector in Zambia; IAPRI: Lusaka, Zambia, 2012. [Google Scholar]
 - Gao, C.; Du, W.; Tian, K.; Wang, K.; Wang, C.; Sun, G.; Kang, X.; Li, W. Analysis of conservation priorities and runs of homozygosity patterns for Chinese indigenous chicken breeds. Animals 2023, 13, 599. [Google Scholar] [CrossRef] [PubMed]
 - Nyemba, R.C.; Dakora, F.D. Evaluating N 2 fixation by food grain legumes in farmers’ fields in three agroecological zones of Zambia, using 15 N natural abundance. Biol. Fertil. Soils 2010, 46, 461–470. [Google Scholar] [CrossRef]
 - Utts, J.M.; Heckard, R.F. Mind on Statistics, 3rd ed.; Cengage Learning: Boston, MA, USA, 2007. [Google Scholar]
 - Yekinni, O. Women’s participation in development programs and food security status. J. Agric. Food Inform. 2020, 11, 28–35. [Google Scholar] [CrossRef]
 - Mumba, B. Exploration of factors influencing men’s attitude toward women empowerment in Zambia. Afr. Geograph. Rev. 2022, 41, 108–124. [Google Scholar] [CrossRef]
 - Wily, L.A. The law is to blame: The vulnerable status of common property rights in Sub-Saharan Africa. J. Dev. Change 2011, 42, 733–757. [Google Scholar] [CrossRef]
 - Hasanbasri, A.; Koolwal, G.; Kilic, T.; Moylan, H. Multidimensionality of land ownership among men and women in Sub-Saharan Africa. J. Law. Econ. 2023, 66, 581–608. [Google Scholar] [CrossRef]
 - Slavchevska, V.; Doss, C.R.; de la OCampos, A.P.; Brunelli, C. Beyond ownership: Women’s and men’s land rights in Sub-Saharan Africa. Oxf. Dev. Studies 2021, 49, 2–22. [Google Scholar] [CrossRef]
 - Dolberg, F. Poultry production for livelihood improvement and poverty alleviation. In Poultry in the 21st Century; FAO: Rome, Italy, 2007; p. 26. [Google Scholar]
 - Bett, H.K.; Peters, K.; Nwankwo, U.; Bokelmann, W. Estimating consumer preferences and willingness to pay for the underutilised indigenous chicken products. Food Pol. J. 2013, 41, 218–225. [Google Scholar] [CrossRef]
 - Dumas, S.E.D.; Lungu, L.; Mulambya, N.; Daka, W.; Lewis, D.; Travis, A. Effect of sustainable poultry interventions on household food security and resilience in game management areas of Zambia’s Luangwa Valley: A before-and-after study. Lancet Glob. Health 2017, 5, S24. [Google Scholar] [CrossRef]
 - Kanyama, C.M.; Moss, A.F.; Crowley, T.M. Strategies for promoting sustainable use and conservation of indigenous chicken breeds in Sub-Saharan Africa: Lessons from low-income countries [Version 5; peer review: 1 approved with reservation, 1 not approved]. F1000Research 2023, 11, 251. Available online: https://f1000research.com/articles/11-251 (accessed on 10 October 2023). [CrossRef]
 - Mueller, J.P.; Rischkowsky, B.; Haile, A.; Philipsson, J.; Mwai, O.; Besbes, B.; Zárate, A.V.; Tibbo, M.; Mirkena, T.; Duguma, G.; et al. Community-based livestock breeding programmes: Essentials and examples. J. Anim. Breed. Genet. 2015, 132, 155–168. [Google Scholar] [CrossRef] [PubMed]
 - PAZ. Poultry Association of Zambia Weekly Poultry News. Weekly Poultry News, 2023, Issue 13, 26 May 2023. Available online: http://paoz.info/articles/ (accessed on 5 June 2023).
 - Adeyemo, S.; Salako, A.; Emikpe, B.; Ogie, A.; Oladele, P. Comparative disease resistance to Newcastle disease in Nigerian local ecotype chickens: Probable genetic influence. Bull. Anim. Health Prod. Afr. 2012, 60, 359–368. [Google Scholar]
 - Bobbo, A.; Baba, S.; Yahaya, M.; El-Yuguda, A. Susceptibility of three phenotypes of village chickens to Newcastle disease in Adamawa State. Alexandria. J. Vet. Sci. 2013, 39, 133–140. [Google Scholar]
 - Wang, Y.; Lupiani, B.; Reddy, S.; Lamont, S.J.; Zhou, H. RNA-seq analysis revealed novel genes and signaling pathways associated with disease resistance to avian influenza virus infection in chickens. Poult. Sci. J. 2014, 93, 485–493. [Google Scholar] [CrossRef] [PubMed]
 - Ipara, B.O.; Otieno, D.J.; Nyikal, R.; Makokha, N.S. The contribution of extensive chicken production systems and practices to Newcastle disease outbreaks in Kenya. Trop. Anim. Health. Prod. 2021, 53, 164. [Google Scholar] [CrossRef]
 - Mubamba, C.; Ramsay, G.; Abolnik, C.; Dautu, G.; Gummow, B. Combining value chain and social network analysis as a viable tool for informing targeted disease surveillance in the rural poultry sector of Zambia. Transbound. Emerg. Dis. J. 2018, 65, 1786–1796. [Google Scholar] [CrossRef] [PubMed]
 - Mujyambere, V.; Adomako, K.; Olympio, S.O.; Ntawubizi, M.; Nyinawamwiza, L.; Mahoro, J.; Conroy, A. Local chickens in East African region: Their production and potential. Poult. Sci. J. 2022, 101, 101547. [Google Scholar] [CrossRef]
 - Rischkowsky, B.; Pilling, D. The State of the World’s Animal Genetic Resources for Food and Agriculture; Food Agriculture Organisation: Rome, Italy, 2007. [Google Scholar]
 - Hoffmann, I. The global plan of action for animal genetic resources and the conservation of poultry genetic resources. World’s Poult. Sci. J. 2009, 65, 286–297. [Google Scholar] [CrossRef]
 










| Chicken Breed | Description | Wt-F, M (kg) | Days to 1st Egg | Egg Wt (g)  | Eggs/ Cycle  | Cycles/ Year  | Eggs/ Year  | Hatch Rate (%) | Resistance | Refs | 
|---|---|---|---|---|---|---|---|---|---|---|
| i. Naked Neck | Featherless necks, red eyes and earlobes | 1.1–3.0, 1.5–3.5, | 129 | 55.5 | 18 | >3 | 139 | High | Very high | [11,12] | 
| ii. Short-Legged | Varying feather colours, hardy breed | 1.3–2.1 | 180 | 30–38.8 | 14–18 | 56–80 | 40–80 | High | High | [6,12,13] | 
| iii. Crested | Raised feathers on the head | 1.3–2.0 | 180 | <50 | 18 | 2–4 | 50–80 | High | High | [13] | 
| iv. Dwarf | Small prolific varying colours, light-shelled eggs | 0.7–2.1 | 160–180 | 30.7 | 10–12 | 3–4 | 80 | Mod | Very high | [6,12,13,14] | 
| v. Barred Feathers | Guinea fowl-like black, brown spots | 1.1–2.5, 2.1–4.0 | 180 | 40–50 | 10–14 | 2–4 | 40–80 | Mod | Mod | [11,13] | 
| vi. Frizzled Feathered | Shed feathers in the hot season | 1.3–1.9 1.3–3.0  | 180 | >41.9 | 6–12 | 2–4 | 40–60 | High | Very high | [11,12] | 
| vii. Feathered Shanks | Feathered shanks | 2.1 | 180 | <40 | Vary | 2–4 | < 100 | Mod | High | [13] | 
| viii. Zambi (common) | Variety of colours, lay brown eggs | 1.9 | 180 | 49.7 | Vary | 2–4 | 50–100 | Mod | High | [13,14] | 
| ix. Black Australorps | Black feathers; other colours exist  | >2.0 | 125–130 | >50 | - | - | 250 | Incubate eggs  | Mod | [13] | 
| x. Kruoillers | Spotted, white-red feathers | 2.5–3.0 | - | - | - | - | 150 | Incubate eggs  | High | [13] | 
| xi. Sussex | Brown, light, white, speckled, tinted eggs | 3.6–4.8 | - | - | - | - | 240 | Incubate eggs  | High | [13] | 
| xii. Rhode Island Red | Reddish brown colour, yellow skin | 2.5–3.9 | - | - | - | - | 200 | - | Low | [13] | 
| xiii. Boschvelds | Light red-white spots (25% Ovambo, 25% Matabele, and 50% Venda) | 1.7–2.6 2.5–3.0  | 130–150 | 46–53.4 | - | - | 200–250 | High (Incubate) | Low | [11] | 
| Livelihood Zones | ||||
|---|---|---|---|---|
| Eastern | Central | Southern | Total | |
| Gender | N (%) | N (%) | N (%) | N (%) | 
| Male | 128 (81.0 a) | 79 (79.0 a) | 85 (85.0 a) | 292 (81.6) | 
| Female | 30 (19.0 a) | 21 (21.0 a) | 12 (12.0 a) | 63 (17.6) | 
| Other | 0 (01) | 0 (01) | 2 (2.0 a) | 2 (0.6) | 
| Prefer not to say | 0 (0.01) | 0 (0.01) | 1 (1.0 a) | 1 (0.3) | 
| Total | 158 (100) | 100 (100) | 100 (100) | 358 (100) | 
| Livelihood Zone | ||||||||||||
|---|---|---|---|---|---|---|---|---|---|---|---|---|
| Eastern | Central | Southern | Overall | |||||||||
| Type | Mean | Sum | SD | Mean | Sum | SD | Mean | Sum | SD | Mean | Sum | SD | 
| IC | 44 a | 6916 | 78 | 44 a | 4391 | 66 | 48 a | 4805 | 67 | 45 | 16,112 | 71 | 
| Goats | 11 a | 1014 | 16 | 11 a | 491 | 10 | 21 b | 1521 | 19 | 14 | 3026 | 17 | 
| Cattle | 11 a | 1498 | 13 | 13 a | 510 | 11 | 41 b | 3175 | 78 | 21 | 5183 | 47 | 
Disclaimer/Publisher’s Note: The statements, opinions and data contained in all publications are solely those of the individual author(s) and contributor(s) and not of MDPI and/or the editor(s). MDPI and/or the editor(s) disclaim responsibility for any injury to people or property resulting from any ideas, methods, instructions or products referred to in the content.  | 
© 2024 by the authors. Licensee MDPI, Basel, Switzerland. This article is an open access article distributed under the terms and conditions of the Creative Commons Attribution (CC BY) license (https://creativecommons.org/licenses/by/4.0/).
Share and Cite
Kanyama, C.M.; Ngosa, M.; Moss, A.F.; Crowley, T.M. The Status of Indigenous Chicken Genetic Resources: An Analysis of Farmers’ Perspectives and Implications for Breed Conservation Priorities in Zambia. Poultry 2024, 3, 161-176. https://doi.org/10.3390/poultry3020013
Kanyama CM, Ngosa M, Moss AF, Crowley TM. The Status of Indigenous Chicken Genetic Resources: An Analysis of Farmers’ Perspectives and Implications for Breed Conservation Priorities in Zambia. Poultry. 2024; 3(2):161-176. https://doi.org/10.3390/poultry3020013
Chicago/Turabian StyleKanyama, Christopher M., Mathews Ngosa, Amy F. Moss, and Tamsyn M. Crowley. 2024. "The Status of Indigenous Chicken Genetic Resources: An Analysis of Farmers’ Perspectives and Implications for Breed Conservation Priorities in Zambia" Poultry 3, no. 2: 161-176. https://doi.org/10.3390/poultry3020013
APA StyleKanyama, C. M., Ngosa, M., Moss, A. F., & Crowley, T. M. (2024). The Status of Indigenous Chicken Genetic Resources: An Analysis of Farmers’ Perspectives and Implications for Breed Conservation Priorities in Zambia. Poultry, 3(2), 161-176. https://doi.org/10.3390/poultry3020013
        
