Virtual Reality Pursuit: Using Individual Predispositions towards VR to Understand Perceptions of a Virtualized Workplace Team Experience
Abstract
1. Introduction
1.1. Presence in VR
1.2. Embodiment in VR
1.3. Task Motivation
2. Literature Review
2.1. Virtualized Workplace Teams
VR Workplace Teams
2.2. Team Experiences
2.2.1. Perceived Effectiveness
2.2.2. Knowledge Sharing
2.3. VR Predisposition
2.4. Environmental Features of VR
2.5. Current Studies
2.6. Power Analysis
3. Materials and Methods
3.1. Study 1
3.1.1. Participants
3.1.2. Procedures
3.1.3. Measures
- VR Pursuit. VR Pursuit encompasses the intentions and motivations that lead individuals to voluntarily engage with VR. This concept was taken from [44] where we adapted the 19-item Video Game Pursuit (VGPu) Scale [44] with the four original subscales: intentional gameplay, video game self-efficacy, enjoyment of games, and prone to game immersion. The adaptations changed the points of reference from the words video game and play to the words VR and use. The remaining language was unchanged. We are calling this adapted scale the Virtual Reality (VR) Pursuit Scale with the revised subscales: intentional VR use α = 0.85, VR self-efficacy α = 0.92, enjoyment of VR α = 0.88, and prone to VR immersion α = 34. Because item 2 from the prone to VR immersion subscale created a below-acceptable reliability value, we dropped that item and only used the overall VR Pursuit Scale which produced good reliability with the current sample α = 0.93.
- Intimidation with VR. We define intimidation with VR as having a general sense of discomfort or confusion when using VR [44]. We measured this using a 6-item Intimidation with VR Scale α = 0.88, which was similarly adapted from the Intimidation with Games Scale where the words video game and play were changed to VR and use [44].
3.2. Study 2
3.2.1. Participants
3.2.2. Procedures
3.2.3. VR Activity
3.2.4. Pre-Survey Measures
- Demographic Questions. Participants reported age, gender, ethnicity, industry of future work, and access to a VR system. Table 2 provides a summary of the demographic information.
- Prior Knowledge. A single-item question was written for the purpose of this study and sought to understand the preexisting knowledge participants had about being an airline pilot, which is relevant to the scenario presented in study 2.
- Time Monitoring. Time monitoring is a time management behavior, defined as monitoring and controlling time through determining needs, setting goals, and prioritizing and planning tasks to achieve these goals [47]. Time Monitoring (α = 0.79) was measured with a 6-item scale [48] and adapted to reference the VR activity.
- VR Pursuit. VR Pursuit is described in detail in the study 1 measures. All but one of the subscales produced good reliability estimates: intentional VR use α = 0.73, VR self-efficacy α = 0.90, enjoyment of VR α = 0.92, and prone to VR immersion α = 0.43. The second item in the subscale prone to VR immersion was dropped again due to poor reliability. Only the overall VR pursuit measure was used, which demonstrated good reliability of α = 0.87.
3.2.5. Post-Survey Measures
- Presence. Presence is defined as a perceptual illusion in which individuals know they are in a virtual environment that is not reality, but nonetheless experience a feeling of truly being in the virtual environment [14]. Presence was measured using the 5-item Physical Presence subscale (α = 0.71) from the Multimodal Presence Scale [49].
- Task Motivation. Task motivation describes feeling intrinsically motivated to complete a provided task and following one’s own enjoyment or satisfaction of the task rather than pursuing an explicit reward [50]. The 15-item Intrinsic Motivation Inventory [51] was used to assess task motivation. This included four subscales: interest-enjoyment α = 0.90, perceived competence α = 0.52, effort-importance α = 0.74, and pressure-tension α = 0.72.
- Perceived Effectiveness. The perceived effectiveness of a team is characterized by the contributions, quality of work, interactions, knowledge, skills, and abilities exhibited within a team [35]. Perceived effectiveness for this study was measured using the 10-item Interacting with Teammates Subscale from the Team Member Effectiveness Scale α = 0.87 [35].
- VR Discomfort. We define VR discomfort as the degree of unpleasant symptoms a participant reports having experienced while in the VR environment. VR discomfort was measured using the 6-item Distress Subfactor of the Presence Scale α = 0.83 [54].
4. Results
4.1. Study 1
4.2. Study 2
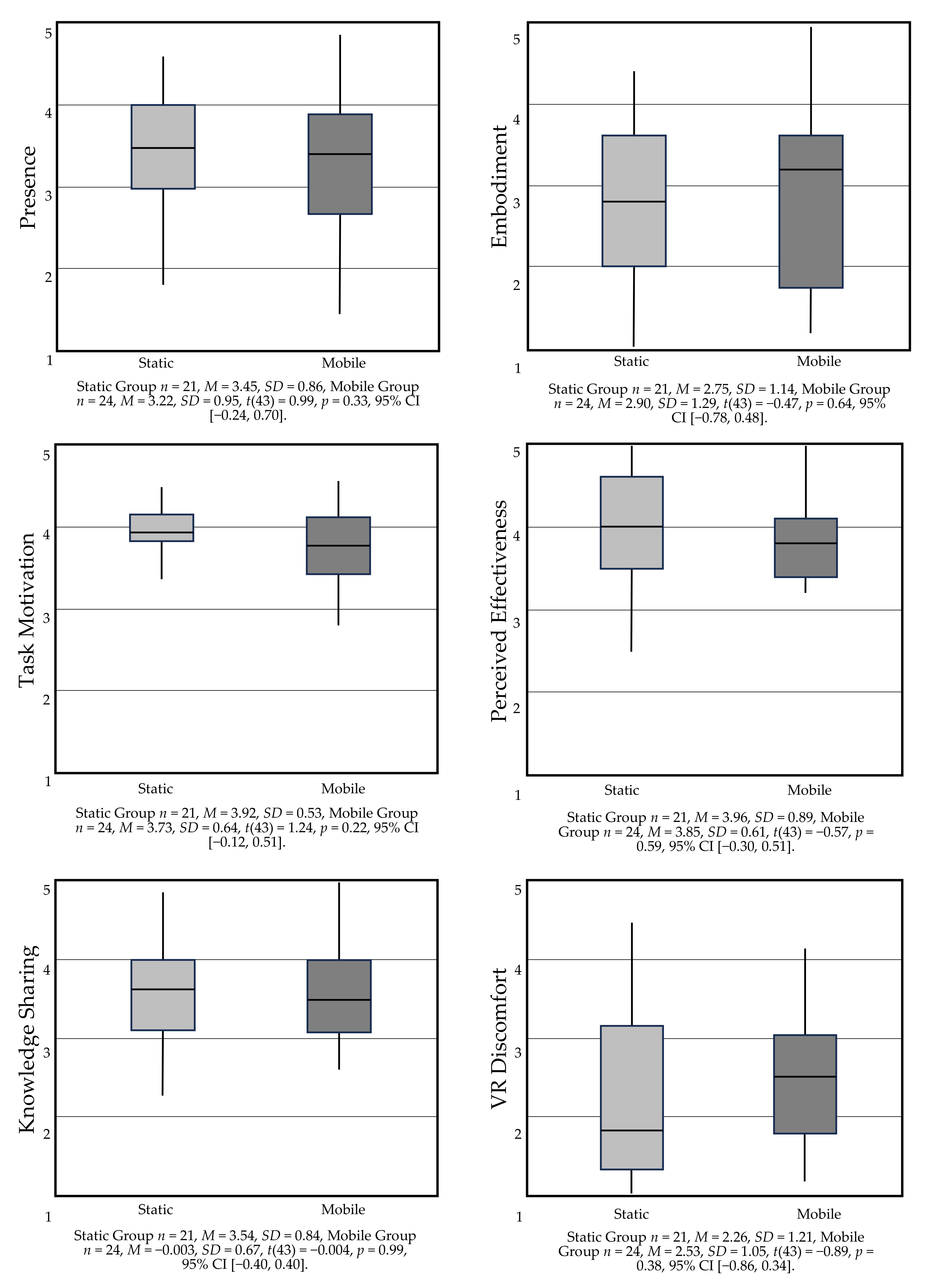
4.2.1. Hypothesis Testing
4.2.2. Additional Analyses
5. Discussion
5.1. Limitations
5.2. Future Research
6. Conclusions
Supplementary Materials
Author Contributions
Funding
Institutional Review Board Statement
Informed Consent Statement
Data Availability Statement
Conflicts of Interest
References
- Schess, N.B. Then and now: How technology has changed the workplace. Hofstra Labor Employ. Law J. 2012, 30, 435–457. Available online: https://scholarlycommons.law.hofstra.edu/hlelj/vol30/iss2/7 (accessed on 25 January 2024). [CrossRef]
- Weiner, E.J.; Sanchez, D.R. Cognitive ability in virtual reality: Validity evidence for VR game-based assessments. Int. J. Sel. Assess 2020, 28, 215–235. [Google Scholar] [CrossRef]
- Xie, B.; Liu, H.; Alghofaili, R.; Zhang, Y.; Jiang, Y.; Lobo, F.D.; Li, C.; Li, W.; Huang, H.; Akdere, M.; et al. A review on Virtual Reality skill training applications. Front. Virtual Real. 2021, 2, 645153. [Google Scholar] [CrossRef]
- Abramczuk, K.; Bohdanowicz, Z.; Muczyński, B.; Skorupska, K.H.; Cnotkowski, D. Meet me in VR! Can VR space help remote teams connect: A seven-week study with Horizon Workrooms. Int. J. Hum. Comput. Stud. 2023, 179, 103104. [Google Scholar] [CrossRef]
- Olson, J.; Olson, L. Virtual team effectiveness and sequence of conditions. Team Perform. Manag. 2013, 18, 256–276. [Google Scholar] [CrossRef]
- Berg, L.P.; Vance, J.M. Industry use of Virtual Reality in product design and manufacturing: A survey. Virtual Real. 2017, 21, 1–17. [Google Scholar] [CrossRef]
- Malik, A.A.; Masood, T.; Bilberg, A. Virtual Reality in manufacturing: Immersive and collaborative artificial-reality in design of human-robot workspace. Int. J. Comput. Integr. Manuf. 2020, 33, 22–37. [Google Scholar] [CrossRef]
- Pretsch, J.; Pretsch, E.; Saretzki, J.; Kraus, H.; Grossmann, G. Improving employee well-being by means of Virtual Reality–REALEX: An empirical case study. Eur. J. Econ. Bus. 2021, 6, 95–105. [Google Scholar] [CrossRef]
- Šímová, T.; Zychová, K.; Fejfarová, M. Metaverse in the virtual workplace. Vision 2024, 28, 19–34. Available online: https://prze-cinek.medium.com/vr-transcripts-mark-zuckerberg-interview-in-the-metaverse-lex-friedman-podcast-398-b38663104a46 (accessed on 25 January 2024). [CrossRef]
- Manghisi, V.M.; Evangelista, A.; Uva, A.E. A Virtual Reality approach for assisting sustainable human-centered ergonomic design: The ErgoVR tool. Procedia Comput. Sci. 2022, 200, 1338–1346. [Google Scholar] [CrossRef]
- Burdea, G.C.; Coiffet, P. Virtual reality technology. John Wiley Sons 2003, 12, 663–664. [Google Scholar] [CrossRef]
- Wu, S.-Y.; Wang, W.-T.; Hsiao, M.-H. Knowledge sharing among healthcare practitioners: Identifying the psychological and motivational facilitating factors. Front. Psychol. 2021, 12, 736277. [Google Scholar] [CrossRef] [PubMed]
- Kilteni, K.; Normand, J.M.; Sanchez-Vives, M.V.; Slater, M. Extending body space in immersive Virtual Reality: A very long arm illusion. PLoS ONE 2012, 7, e40867. [Google Scholar] [CrossRef] [PubMed]
- Slater, M. Immersion and the illusion of presence in Virtual Reality. Br. J. Psychol. 2018, 109, 431–433. [Google Scholar] [CrossRef] [PubMed]
- Kim, B.; de Visser, E.; Phillips, E. Two uncanny valleys: Re-evaluating the uncanny valley across the full spectrum of real-world human-like robots. Comput. Hum. Behav. 2022, 135, 107340. [Google Scholar] [CrossRef]
- Cummings, J.J.; Bailenson, J.N. How immersive is enough? A meta-analysis of the effect of immersive technology on user presence. Media Psychol. 2016, 19, 272–309. [Google Scholar] [CrossRef]
- Gall, D.; Roth, D.; Stauffert, J.P.; Zarges, J.; Latoschik, M.E. Embodiment in Virtual Reality intensifies emotional responses to virtual stimuli. Front. Psychol. 2021, 12, 674179. [Google Scholar] [CrossRef]
- Yee, N.; Bailenson, J. The Proteus Effect: The effect of transformed self-representation on behavior. Hum. Com-mun. Res. 2007, 33, 271–290. [Google Scholar] [CrossRef]
- Bem, D.J. Self-perception theory. Adv Exp. Soc. Psychol. 1972, 6, 1–62. [Google Scholar] [CrossRef]
- Botvinick, M.; Cohen, J. Rubber hands ‘feel’ touch that eyes see. Nature 1998, 391, 756. [Google Scholar] [CrossRef]
- Tham, J.; Duin, A.H.; Gee, L.; Ernst, N.; Abdelqader, B.; McGrath, M. Understanding Virtual Reality: Presence, embodiment, and professional practice. IEEE Trans. Prof. Commun. 2018, 61, 178–195. [Google Scholar] [CrossRef]
- Hirt, E.R.; Melton, R.J.; McDonald, H.E.; Harackiewicz, J.M. Processing goals, task interest, and the mood–performance relationship: A mediational analysis. J. Personal. Soc. Psychol. 1996, 71, 245–261. [Google Scholar] [CrossRef] [PubMed]
- Amabile, T.M. Motivational synergy: Toward new conceptualizations of intrinsic and extrinsic motivation in the workplace. Hum. Resour. Manag. Rev. 1993, 3, 185–201. [Google Scholar] [CrossRef]
- Cooper, N.; Milella, F.; Pinto, C.; Cant, I.; White, M.; Meyer, G. The effects of substitute multisensory feedback on task performance and the sense of presence in a virtual reality environment. PLoS ONE 2018, 13, e0191846. [Google Scholar] [CrossRef] [PubMed]
- Deci, E.L. Effects of externally mediated rewards on intrinsic motivation. J. Personal. Soc. Psychol. 1971, 18, 105–115. [Google Scholar] [CrossRef]
- Glunk, U. Group creativity: Innovation through collaboration/group creativity: Music, theater, collaboration. Eur. J. Work Organ. Psychol. 2004, 13, 301–304. Available online: https://www.taylorfrancis.com/chapters/edit/10.4324/9780203083741-16/group-creativity-keith-sawyer (accessed on 25 January 2024). [CrossRef]
- Franken, E.; Bentley, T.; Shafaei, A.; Farr-Wharton, B.; Onnis, L.; Omari, M. Forced flexibility and remote working: Opportunities and challenges in the new normal. J. Manag. Organ. 2021, 27, 1131–1149. [Google Scholar] [CrossRef]
- Cascio, W.F. Managing a virtual workplace. Acad. Manag. Perspect. 2000, 14, 81–90. [Google Scholar] [CrossRef]
- Martini, R.; Aquilino, L.; Buissé, S.; Dumais, A.; Pion, V.; St. Rose, E.; Sveistrup, H.; Ste-Marie, D.M. Implicit learning of an embedded regularity in older adults using a SRT reaching task in a virtual reality medium. Annu. Rev. CyberTherapy Telemed. 2006, 4, 103–110. [Google Scholar] [CrossRef]
- Alsharo, M.; Gregg, D.; Ramirez, R. Virtual team effectiveness: The role of knowledge sharing and trust. Inf. Manag. 2017, 54, 479–490. [Google Scholar] [CrossRef]
- Castellani, D.; Perri, A.; Scalera, V.G. Knowledge integration in multinational enterprises: The role of inventors crossing national and organizational boundaries. J. World Bus. 2022, 57, 101290. [Google Scholar] [CrossRef]
- Machado, S.M.B.; Diirr, B. Professional experience characterization on information systems teams collaboration. In Proceedings of the XIX Brazilian Symposium on Information Systems, Maceio, Brazil, 29 May–1 June 2023; pp. 468–475. [Google Scholar] [CrossRef]
- Kengatharan, N. A knowledge-based theory of the firm: Nexus of intellectual capital, productivity and firms’ performance. Int. J. Manpow. 2019, 40, 1056–1074. [Google Scholar] [CrossRef]
- Boies, K.; Fiset, J.; Gill, H. Communication and trust are key: Unlocking the relationship between leadership and team performance and creativity. Leadersh. Q. 2015, 26, 1080–1094. [Google Scholar] [CrossRef]
- Ohland, M.W.; Loughry, M.L.; Woehr, D.J.; Bullard, L.G.; Felder, R.M.; Finelli, C.J.; Layton, R.A.; Pomeranz, H.R.; Schmucker, D.G. The comprehensive assessment of team member effectiveness: Development of a behaviorally anchored rating scale for self- and peer evaluation. Acad. Manag. Learn. Educ. 2012, 11, 609–630. [Google Scholar] [CrossRef]
- Gilson, L.L.; Maynard, M.T.; Young, N.C.J.; Vartiainen, M.; Hakonen, M. Virtual teams research: 10 years, 10 themes, and 10 opportunities. J. Manag. 2015, 41, 1313–1337. [Google Scholar] [CrossRef]
- Forster, N. The potential impact of third-wave technologies on organisations. Leadersh. Organ. Dev. J. 2000, 21, 254–263. [Google Scholar] [CrossRef]
- Kozlowski, S.W.J.; Ilgen, D.R. Enhancing the effectiveness of work groups and teams. Psychol. Sci. Public Interest 2006, 7, 77–124. [Google Scholar] [CrossRef]
- Salas, E.; Sims, D.E.; Klein, C. Team work and performance: A review of team research. J. Appl. Psychol. 2009, 94, 535–550. [Google Scholar] [CrossRef]
- Kuliga, S.F.; Thrash, T.; Dalton, R.C.; Hölscher, C. Virtual reality as an empirical research tool—Exploring user experience in a real building and a corresponding virtual model. Comput. Environ. Urban Syst. 2015, 54, 363–375. [Google Scholar] [CrossRef]
- Davenport, T.H.; Prusak, L. Working knowledge: How organizations manage what they know. Harv. Bus. Sch. Press 1998, 2000, 2. [Google Scholar] [CrossRef]
- Hsu, M.-H.; Chang, C.-M. The impact of knowledge sharing on work performance: The mediating role of organizational learning. Int. J. Hum. Resour. Manag. 2014, 25, 561–577. [Google Scholar]
- Howard, M.C. A meta-analysis and systematic literature review of virtual reality rehabilitation programs. Comput. Hum. Behav. 2017, 70, 317–327. [Google Scholar] [CrossRef]
- Sanchez, D.R.; Langer, M. Video game pursuit (VGPu) scale development: Designing and validating a scale with implications for game-based learning and assessment. Simul. Gaming 2020, 51, 55–86. [Google Scholar] [CrossRef]
- Faul, F.; Erdfelder, E.; Lang, A.G.; Buchner, A. G*Power 3: A flexible statistical power analysis program for the social, behavioral, and biomedical sciences. Behav. Res. Methods 2007, 39, 175–191. [Google Scholar] [CrossRef]
- Stasser, G.; Titus, W. Pooling of unshared information in group decision making: Biased information sampling during discussion. J. Personal. Soc. Psychol. 1985, 48, 1467–1478. [Google Scholar] [CrossRef]
- Eilam, B.; Aharon, I. Students’ planning in the process of self-regulated learning. Contemp. Educ. Psychol. 2003, 28, 304–334. [Google Scholar] [CrossRef]
- Claessens, B.J. Perceived Control of Time: Time Management and Personal Effectiveness at Work. Ph.D. Thesis, Technische Universiteit Eindhoven, Eindhoven, The Netherlands, 2004. [Google Scholar] [CrossRef]
- Makransky, G.; Lilleholt, L.; Aaby, A. Development and validation of the Multimodal Presence Scale for Virtual Reality environments: A confirmatory factor analysis and item response theory approach. Comput. Hum. Behav. 2017, 72, 276–285. [Google Scholar] [CrossRef]
- Vaughan, N.; Gabrys, B.; Dubey, V.N. An overview of self-adaptive technologies within virtual reality training. Comput. Sci. Rev. 2016, 22, 65–87. [Google Scholar] [CrossRef]
- Ryan, R.M. Control and information in the intrapersonal sphere: An extension of cognitive evaluation theory. J. Personal. Soc. Psychol. 1982, 43, 450–461. [Google Scholar] [CrossRef]
- Van den Hooff, B.; Huysman, M. Managing knowledge sharing: Emergent and engineering approaches. Inf. Manag. 2009, 46, 1–8. [Google Scholar] [CrossRef]
- Van den Hooff, B.; de Ridder, J.A. Knowledge sharing in context: The influence of organizational commitment, communication climate, and CMC use on knowledge sharing. J. Knowl. Manag. 2004, 8, 117–130. [Google Scholar] [CrossRef]
- Grigorovici, D.M.; Constantin, C.D. Experiencing interactive advertising beyond rich media: Impacts of ad type and presence on brand effectiveness in 3D gaming immersive virtual environments. J. Interact. Advert. 2004, 5, 22–36. [Google Scholar] [CrossRef]
- Huang, J.L.; Curran, P.G.; Keeney, J.; Poposki, E.M.; DeShon, R.P. Detecting and deterring insufficient effort responding to surveys. J. Bus. Psychol. 2012, 27, 99–114. [Google Scholar] [CrossRef]
- Huang, J.L.; Liu, M.; Bowling, N.A. Insufficient effort responding: Examining an insidious confound in survey data. J. Appl. Psychol. 2015, 100, 828. [Google Scholar] [CrossRef] [PubMed]
- Jovanovic, P. Meaningful immersion with immersive virtual reality in higher education. In Technology and the Curriculum: Summer 2023; Ontario Tech University: Oshawa, ON, Canada, 2023; Available online: https://pressbooks.pub/techcurr2023/chapter/meaningful-immersion-with-immersive-virtual-reality-in-higher-education/ (accessed on 15 January 2024).
- Denisova, A.; Cairns, P. Player experience and deceptive expectations of difficulty adaptation in digital games. Entertain. Comput. 2019, 29, 56–68. [Google Scholar] [CrossRef]
- Radiah, R.; Mäkelä, V.; Prange, S.; Rodriguez, S.D.; Piening, R.; Zhou, Y.; Alt, F. Remote VR studies: A framework for running virtual reality studies remotely via participant-owned HMDs. ACM Trans. Comput. Hum. Interact. 2021, 28, 1–36. [Google Scholar] [CrossRef]
- Felnhofer, A.; Kothgassner, O.D.; Beutl, L.; Hlavacs, H.; Kryspin-Exner, I. Is virtual reality made for men only? Exploring gender differences in the sense of presence. Proc. Int. Soc. Presence Res. 2012, 25, 103–112. [Google Scholar]
- Moser, I.; Chiquet, S.; Strahm, S.K.; Mast, F.W.; Bergamin, P. Group decision-making in multi-user immersive virtual reality. Cyberpsychology Behav. Soc. Netw. 2020, 23, 846–853. [Google Scholar] [CrossRef]
- van Zelderen, A.P.A.; Masters-Waage, T.C.; Dries, N.; Menges, J.I.; Sanchez, D.R. Simulating virtual organizations for research: A comparative empirical evaluation of text-based, video, and virtual reality video vignettes. Organ. Res. Methods 2024. [Google Scholar] [CrossRef]
- Gonçalves, R.; Pedrozo, A.L.; Coutinho, E.S.F.; Figueira, I.; Ventura, P. Efficacy of virtual reality exposure therapy in the treatment of PTSD: A systematic review. PLoS ONE 2012, 7, e0048469. [Google Scholar] [CrossRef]
- Pavic, K.; Vergilino-Perez, D.; Gricourt, T.; Chaby, L. Because I’m happy—An overview on fostering positive emotions through virtual reality. Front. Virtual Real. 2022, 3, 788820. [Google Scholar] [CrossRef]
- Higgins, S.; Alcock, S.; De Aveiro, B.; Daniels, W.; Farmer, H.; Besharati, S. Perspective matters: A systematic review of immersive virtual reality to reduce racial prejudice. Virtual Real. 2023, preprint. [Google Scholar] [CrossRef]
- Nesher Shoshan, H.; Wehrt, W. Understanding “Zoom fatigue”: A mixed-method approach. Appl. Psychol. 2022, 71, 827–852. [Google Scholar] [CrossRef]




| Variable | Category | Count | Percent |
|---|---|---|---|
| Gender | Female | 58 | 65% |
| Male | 28 | 31% | |
| Trans Male | 1 | 1% | |
| Genderqueer/Non-binary | 3 | 3% | |
| Ethnicity | White or Caucasian | 18 | 20% |
| Black, African American, or Other African Origin | 4 | 5% | |
| Latina/o/x or Hispanic | 41 | 45% | |
| Asian American or Asian Origin | 15 | 17% | |
| Native American or Alaska Native | 1 | 1% | |
| Two or more Races | 11 | 12% | |
| Industry | Accommodations and Food Services | 26 | 29% |
| Administrative and Support Services | 7 | 8% | |
| Agriculture, Forestry, Fishing, and Hunting | 1 | 1% | |
| Arts, Entertainment, and Recreation | 11 | 12% | |
| Educational Services | 16 | 18% | |
| Finance and Insurance | 1 | 1% | |
| Government | 1 | 1% | |
| Health Care and Social Assistance | 9 | 10% | |
| Information Technology | 2 | 2% | |
| Management of Companies and Enterprises | 1 | 1% | |
| Professional, Scientific, and Technical Services | 2 | 2% | |
| Retail | 13 | 15% | |
| VR Access | HTC Vive | 22 | 24% |
| Index | 2 | 2% | |
| Oculus | 1 | 1% | |
| Other (not listed here) | 62 | 70% | |
| No access to a VR system | 3 | 3% |
| Variable | Category | Count | Percent |
|---|---|---|---|
| Gender | Female | 23 | 51% |
| Male | 20 | 45% | |
| Genderqueer/Non-binary | 2 | 4% | |
| Ethnicity | White or Caucasian | 7 | 15% |
| Black, African American, or Other African Origin | 8 | 18% | |
| Latina/o/x or Hispanic | 17 | 38% | |
| Asian American or Asian Origin | 9 | 20% | |
| Middle Eastern or North African Origin | 1 | 2% | |
| Two or more Races | 3 | 7% | |
| Industry | Accommodations and Food Services | 5 | 11% |
| Administrative and Support Services | 1 | 2% | |
| Agriculture, Forestry, Fishing, and Hunting | 1 | 2% | |
| Arts, Entertainment, and Recreation | 8 | 18% | |
| Educational Services | 8 | 18% | |
| Finance and Insurance | 2 | 5% | |
| Government | 1 | 2% | |
| Health Care and Social Assistance | 2 | 5% | |
| Professional, Scientific, and Technical Services | 4 | 8% | |
| Retail | 9 | 20% | |
| Transportation and Warehousing | 3 | 7% | |
| Utilities | 1 | 2% | |
| VR Access | HTC Vive | 22 | 48% |
| Oculus | 3 | 7% | |
| Other (not listed here) | 20 | 45% |
| M | SD | 1 | 2 | 3 | 4 | |
|---|---|---|---|---|---|---|
| 1. Gender | 0.33 | 0.47 | ||||
| 2. Age | 26.10 | 8.20 | 0.14 | |||
| 3. VR Pursuit | 2.95 | 0.70 | 0.24 * | 0.26 * | 0.93 | |
| 4. Intimidation with VR | 2.60 | 0.86 | −0.29 ** | −0.17 | −0.69 *** | 0.88 |
| M | SD | 1 | 2 | 3 | 4 | 5 | 6 | 7 | 8 | 9 | |
|---|---|---|---|---|---|---|---|---|---|---|---|
| 1. Gender | 0.47 | 0.50 | |||||||||
| 2. Age | 26.40 | 6.58 | 0.07 | ||||||||
| 3. VR Pursuit | 2.88 | 0.51 | 0.27 | 0.12 | 0.87 | ||||||
| 4. Presence | 3.32 | 0.79 | <0.01 | 0.04 | 0.34 * | 0.71 | |||||
| 5. Embodiment | 2.83 | 1.04 | −0.08 | 0.19 | 0.26 | 0.69 *** | 0.85 | ||||
| 6. Task Motivation | 3.81 | 0.53 | 0.05 | 0.06 | 0.30 * | 0.58 *** | 0.27 | 0.86 | |||
| 7. Perceived Effectiveness | 3.90 | 0.65 | 0.16 | 0.11 | 0.30 * | 0.44 ** | 0.40 ** | 0.38 ** | 0.87 | ||
| 8. Knowledge Sharing | 3.54 | 0.65 | 0.02 | 0.28 | 0.23 | 0.36 * | 0.25 | 0.32 * | 0.77 *** | 0.79 | |
| 9. VR Discomfort | 2.40 | 0.98 | 0.05 | −0.30 * | −0.18 | −0.39 ** | −0.30 * | −0.54 *** | −0.39 ** | −0.35 * | 0.83 |
| Subscale | Question |
|---|---|
| Intentional VR Use | I spend many hours each week using VR. |
| I have searched for information (e.g., magazines or websites) to improve my VR skills. | |
| I plan to continue improving my VR skills. | |
| I am proactive in seeking ways to improve my VR skills. | |
| I deliberately seek out VR experiences. | |
| I would call myself a “serious” VR user. | |
| Self-Efficacy with VR | I am good at using VR, compared to others. |
| I am confident in using VR. | |
| I have good VR skills. | |
| I have a lot of experience with using VR. | |
| Based on my knowledge of previous VR usage, I can easily manage VR controls. | |
| I can keep up with a VR experience that moves quickly. | |
| Enjoyment of VR | I enjoy VR. |
| VR is fun. | |
| I like using VR. | |
| I think VR is entertaining. | |
| Prone to VR Immersion | I lose track of time when I use VR. |
| When I use VR, I lose track of my senses (e.g., cannot tell if I am getting hungry or tired). | |
| I am fully immersed when I use VR. |
Disclaimer/Publisher’s Note: The statements, opinions and data contained in all publications are solely those of the individual author(s) and contributor(s) and not of MDPI and/or the editor(s). MDPI and/or the editor(s) disclaim responsibility for any injury to people or property resulting from any ideas, methods, instructions or products referred to in the content. |
© 2024 by the authors. Licensee MDPI, Basel, Switzerland. This article is an open access article distributed under the terms and conditions of the Creative Commons Attribution (CC BY) license (https://creativecommons.org/licenses/by/4.0/).
Share and Cite
Sanchez, D.R.; McVeigh-Schultz, J.; Isbister, K.; Tran, M.; Martinez, K.; Dost, M.; Osborne, A.; Diaz, D.; Farillas, P.; Lang, T.; et al. Virtual Reality Pursuit: Using Individual Predispositions towards VR to Understand Perceptions of a Virtualized Workplace Team Experience. Virtual Worlds 2024, 3, 418-435. https://doi.org/10.3390/virtualworlds3040023
Sanchez DR, McVeigh-Schultz J, Isbister K, Tran M, Martinez K, Dost M, Osborne A, Diaz D, Farillas P, Lang T, et al. Virtual Reality Pursuit: Using Individual Predispositions towards VR to Understand Perceptions of a Virtualized Workplace Team Experience. Virtual Worlds. 2024; 3(4):418-435. https://doi.org/10.3390/virtualworlds3040023
Chicago/Turabian StyleSanchez, Diana R., Joshua McVeigh-Schultz, Katherine Isbister, Monica Tran, Kassidy Martinez, Marjan Dost, Anya Osborne, Daniel Diaz, Philip Farillas, Timothy Lang, and et al. 2024. "Virtual Reality Pursuit: Using Individual Predispositions towards VR to Understand Perceptions of a Virtualized Workplace Team Experience" Virtual Worlds 3, no. 4: 418-435. https://doi.org/10.3390/virtualworlds3040023
APA StyleSanchez, D. R., McVeigh-Schultz, J., Isbister, K., Tran, M., Martinez, K., Dost, M., Osborne, A., Diaz, D., Farillas, P., Lang, T., Leeds, A., Butler, G., & Ferronatto, M. (2024). Virtual Reality Pursuit: Using Individual Predispositions towards VR to Understand Perceptions of a Virtualized Workplace Team Experience. Virtual Worlds, 3(4), 418-435. https://doi.org/10.3390/virtualworlds3040023

