Ex Vivo Molecular Studies and In Silico Small Molecule Inhibition of Plasmodium falciparum Bromodomain Protein 1
Abstract
1. Introduction
2. Results
2.1. Ex Vivo Study
2.1.1. Malaria Prevalence and Sample Size Estimation
- n = required sample size;
- T = Z-score for a 95% confidence level (1.96);
- P = prevalence rate (0.1224);
- M = margin of error (0.05);
2.1.2. PfBDP1 Gene Sequencing and Alignment
2.2. In Silico Study
2.2.1. Protein Structure Retrieval and Alignment
2.2.2. Active Site Determination of PfBDP1 Crystal Structure
2.2.3. Pharmacophore Modeling
2.2.4. Virtual Screening
2.2.5. Post-Screening Analysis
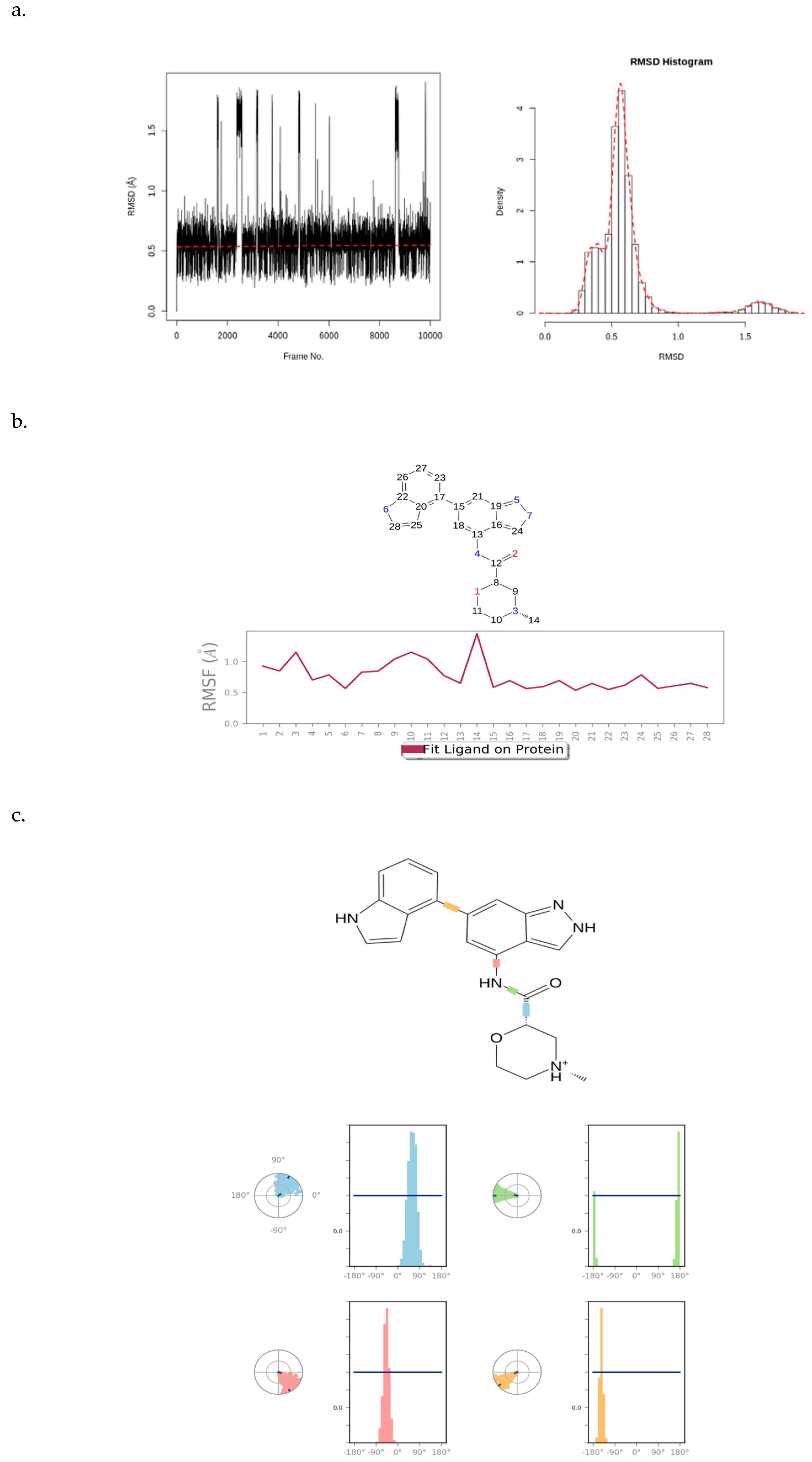
2.2.6. Molecular Dynamics Simulation of the Lead Molecule and PfBDP1 Complex
2.3. Validation of MCL Through Biological Assays
2.3.1. Parasite-Inhibitory Activity
2.3.2. Combination Therapy
2.3.3. Target Validation by Gene Expression Analysis
2.3.4. Acute Toxicity
3. Discussion
4. Materials and Methods
4.1. Ex Vivo Study
4.1.1. Study Location and Participant Recruitment
4.1.2. Sample Collection and Processing
4.1.3. Molecular Procedure
4.1.4. DNA Amplification and Sequencing
4.2. In Silico Study
4.2.1. Protein Structure Retrieval and Alignment
4.2.2. Active Site Determination of PfBDP1
4.2.3. Pharmacophore Modeling
4.2.4. Preparation of the Protein and Ligands for Virtual Screening
4.2.5. Virtual Screening
4.2.6. Post-Screening Analysis
4.2.7. Molecular Dynamics Simulation of the Lead Molecule and PfBDP1 Complex
4.3. Experimental Support for Computational Predictions
5. Conclusions
Author Contributions
Funding
Institutional Review Board Statement
Informed Consent Statement
Data Availability Statement
Acknowledgments
Conflicts of Interest
Abbreviations
| PfBDP1 | Plasmodium falciparum bromodomain protein 1 |
| PfGCN5 | Plasmodium falciparum general control non-depressible protein 5 |
| RBC | Red blood cell |
| PDB | Protein data bank |
| RMSD | Root mean square deviation |
| RMSF | Root mean square fluctuation |
References
- World Health Organization (WHO). World Malaria Report 2023; World Health Organization: Geneva, Switzerland, 2023. [Google Scholar]
- World Health Organization (WHO). World Malaria Report 2022; World Health Organization: Geneva, Switzerland, 2022. [Google Scholar]
- Suresh, N.; Haldar, K. Mechanisms of artemisinin resistance in Plasmodium falciparum malaria. Curr. Opin. Pharmacol. 2018, 42, 46. [Google Scholar] [CrossRef]
- Walters, H.; Temesvari, L. Target acquired: Transcriptional regulators as drug targets for protozoan parasites. Int. J. Parasitol. 2021, 51, 599–611. [Google Scholar] [CrossRef]
- Reid, A.J.; Talman, A.M.; Bennett, H.M.; Gomez, A.R.; Sanders, M.J.; Illingworth, C.R.J.; Billker, O.; Berriman, M.; Lawniczak, M.K.N. Single-cell RNA-seq reveals hidden transcriptional variation in malaria parasites. elife 2018, 7, e33105. [Google Scholar] [CrossRef] [PubMed]
- Duffy, M.F.; Selvarajah, S.A.; Josling, G.A.; Petter, M. Epigenetic regulation of the Plasmodium falciparum genome. Brief Funct Genomics 2014, 13, 203–216. [Google Scholar] [CrossRef] [PubMed]
- Quinn, J.E.; Jeninga, M.D.; Limm, K.; Pareek, K.; Meißgeier, T.; Bachmann, A.; Duffy, M.F.; Petter, M. The Putative Bromodomain Protein PfBDP7 of the Human Malaria Parasite Plasmodium falciparum Cooperates with PfBDP1 in the Silencing of Variant Surface. Front. Cell. Dev. Biol. 2022, 10, 816558. [Google Scholar] [CrossRef] [PubMed]
- Josling, G.A.; Selvarajah, S.A.; Petter, M.; Duffy, M.F. The role of bromodomain proteins in regulating gene expression. Genes 2012, 3, 320–343. [Google Scholar] [CrossRef]
- Zaware, N.; Zhou, M. Bromodomain biology and drug discovery. Nat. Struct. Mol. Biol. 2019, 26, 870–879. [Google Scholar] [CrossRef]
- Josling, G.A.; Petter, M.; Oehring, S.C.; Gupta, A.P.; Dietz, O.; Wilson, D.W.; Schubert, T.; Längst, G.; Gilson, P.R.; Crabb, B.S.; et al. A Plasmodium falciparum bromodomain protein regulates invasion gene expression. Cell Host Microbe 2015, 17, 741–751. [Google Scholar] [CrossRef]
- Aurrecoechea, C.; Brestelli, J.; Brunk, B.P.; Dommer, J.; Fischer, S.; Gajria, B.; Gao, X.; Gingle, A.; Grant, G.; Harb, O.S.; et al. PlasmoDB: A functional genomic database for malaria parasites. Nucleic Acids Res. 2009, 37, D539–D543. [Google Scholar] [CrossRef]
- Singh, A.K.; Phillips, M.; Alkrimi, S.; Tonelli, M.; Boyson, S.P.; Malone, K.L.; Nix, J.C.; Glass, K.C. Structural insights into acetylated histone ligand recognition by the BDP1 bromodomain of Plasmodium falciparum. Int. J. Biol. Macromol. 2022, 223, 316–326. [Google Scholar] [CrossRef]
- Rawat, M.; Malhotra, R.; Shintre, S.; Pani, S.; Karmodiya, K. Role of PfGCN5 in nutrient sensing and transcriptional regulation in Plasmodium falciparum. J. Biosci. 2020, 45, 11. [Google Scholar] [CrossRef]
- Santos, J.M.; Josling, G.; Ross, P.; Joshi, P.; Orchard, L.; Campbell, T.; Schieler, A.; Cristea, I.M.; Llinás, M. Red blood cell invasion by the malaria parasite is coordinated by the PfAP2-I transcription factor. Cell Host Microbe 2017, 21, 731.e10–741.e10. [Google Scholar] [CrossRef]
- Jeffers, V.; Yang, C.; Huang, S.; Sullivan, W.J. Bromodomains in Protozoan Parasites: Evolution, Function, and Opportunities for Drug Development. Microbiol. Mol. Biol. Rev. 2017, 81, e00047-16. [Google Scholar] [CrossRef]
- Toenhake, C.G.; Fraschka, S.A.-K.; Vijayabaskar, M.S.; Westhead, D.R.; van Heeringen, S.J.; Bártfai, R. Chromatin accessibility-based characterization of the gene regulatory network underlying Plasmodium falciparum blood-stage development. Cell Host Microbe 2018, 23, 557–569. [Google Scholar] [CrossRef]
- Glass, K.; Singh, A.; Vulikh, M.; Phillips, M.; Tonelli, M.; Patel, T.; Demeler, B.; Nix, J. Plasmodium falciparum Bromodomain Protein 1 (PfBDP1): A master regulator of red blood cell invasion genes. Struct. Dyn. 2025, 12 (Suppl. S2), A399. [Google Scholar] [CrossRef]
- Chung, C.W. Small molecule bromodomain inhibitors: Extending the druggable genome. Prog. Med. Chem. 2012, 51, 1–55. [Google Scholar] [CrossRef] [PubMed]
- Moustakim, M.; Clark, P.G.; Trulli, L.; Fuentes de Arriba, A.L.; Ehebauer, M.T.; Chaikuad, A.; Murphy, E.J.; Mendez-Johnson, J.; Daniels, D.; Hou, C.D.; et al. Discovery of a PCAF Bromodomain Chemical Probe. Angew. Chem. Int. Ed. 2017, 56, 827–831. [Google Scholar] [CrossRef]
- Amann, M.; Warstat, R.; Rechten, K.K.; Theuer, P.; Schustereder, M.; Clavey, S.; Breit, B.; Einsle, O.; Hügle, M.; Petter, M.; et al. A novel inhibitor against the Bromodomain Protein 1 of the malaria pathogen Plasmodium falciparum. ChemMedChem 2025, 20, e202500024. [Google Scholar] [CrossRef]
- Chen, L.; Yap, J.L.; Yoshioka, M.; Lanning, M.E.; Fountain, R.N.; Raje, M.; Scheenstra, J.A.; Strovel, J.W.; Fletcher, S. BRD4 Structure-Activity Relationships of Dual PLK1 Kinase/BRD4 Bromodomain Inhibitor BI-2536. ACS Med. Chem. Lett. 2015, 6, 764–769. [Google Scholar] [CrossRef]
- Chua, M.J.; Robaa, D.; Skinner-Adams, T.S.; Sippl, W.; Andrews, K.T. Activity of bromodomain protein inhibitors/binders against asexual-stage Plasmodium falciparum parasites. Int. J. Parasitol. Drugs Drug Resist. 2018, 8, 189–193. [Google Scholar] [CrossRef]
- Filippakopoulos, P.; Knapp, S. Targeting bromodomains: Epigenetic readers of lysine acetylation. Nat. Rev. Drug Discov. 2014, 13, 337–356. [Google Scholar] [CrossRef] [PubMed]
- Brogi, S.; Ramalho, T.C.; Kuca, K.; Medina-Franco, J.L.; Valko, M. Editorial: In silico Methods for Drug Design and Discovery. Front. Chem. 2020, 8, 612. [Google Scholar] [CrossRef]
- Vardhan, S.; Sahoo, S. In silico ADMET and molecular docking study on searching potential inhibitors from limonoids and triterpenoids for COVID-19. Comput. Biol. Med. 2020, 124, 103936. [Google Scholar] [CrossRef]
- Lipinski, C.A.; Lombardo, F.; Dominy, B.W.; Feeney, P.J. Experimental and computational approaches to estimate solubility and permeability in drug discovery and development settings. Adv. Drug Deliv. Rev. 2012, 64, 4–17. [Google Scholar] [CrossRef]
- Veber, D.F.; Johnson, S.R.; Cheng, H.-Y.; Smith, B.R.; Ward, K.W.; Kopple, K.D. Molecular properties that influence the oral bioavailability of drug candidates. J. Med. Chem. 2002, 45, 2615–2623. [Google Scholar] [CrossRef] [PubMed]
- Lobanov M, Bogatyreva N, Galzitskaya O. Radius of gyration as an indicator of protein structure compactness. Mol. Biol. 2008, 42, 623–628. [CrossRef]
- Oladejo, D.O.; Dokunmu, T.M.; Tebamifor, M.E.; Omunagbe, M.B.; Okafor, E.O.; Iweala, E.E. Acute oral toxicity and antimalarial studies of 7-[(7-methoxy-4,5-dihydro-1H-benzo[g]indazol-3-yl) carbonyl]-2-phenyl-5,6,7,8-tetrahydropyrazolo [1,5-a] pyrido [4,3-d] pyrimidin-9 (1H)-one in mouse models. Sci. Afr. 2024, 24, e02194. [Google Scholar] [CrossRef]
- Oladejo, D.O.; Anzaku, D.O.; Mamudu, C.O.; Elugbadebo, T.; Dokunmu, T.M.; Adebiyi, E.F.; Iweala, E.E. Gene expression levels and inhibitory effect of 7-[(7-methoxy-4,5-dihydro-1H-benzo[g]indazol-3-yl) carbonyl]-2-phenyl-5,6,7,8-tetrahydropyrazolo [1,5-a] pyrido [4,3-d] Pyrimidin-9 (1H)-one (MCL) against AP2-I and BDP1 in malaria experimental models. Sci. Afr. 2024, 23, e02010. [Google Scholar] [CrossRef]
- Doshi, K.; Pandya, N.; Datt, M. In silico assessment of natural products and approved drugs as potential inhibitory scaffolds targeting aminoacyl-tRNA synthetases from Plasmodium. Biotech. 2020, 10, 470. [Google Scholar] [CrossRef]
- Malmquist, N.A.; Moss, T.A.; Mecheri, S.; Scherf, A.; Fuchter, M.J. Small-molecule histone methyltransferase inhibitors display rapid antimalarial activity against all blood stage forms in Plasmodium falciparum. Proc. Natl. Acad. Sci. USA 2012, 109, 16708–16713. [Google Scholar] [CrossRef]
- Daina, A.; Michielin, O.; Zoete, V. SwissADME: A free web tool to evaluate pharmacokinetics, drug-likeness and medicinal chemistry friendliness of small molecules. Sci Rep. 2017, 7, 42717. [Google Scholar] [CrossRef] [PubMed]
- Gombar, V.K.; Polli, J.W.; Humphreys, J.E.; Wring, S.A.; Serabjit-Singh, C.S. Predicting P-Glycoprotein Substrates by a Quantitative Structure-Activity Relationship Model. J. Pharm. Sci. 2004, 93, 957–968. [Google Scholar] [CrossRef]
- Makris, T.M.; Denisov, I.; Schlichting, I.; Sligar, S.G. Activation of molecular oxygen by cytochrome P450. In Cytochrome P450: Structure, Mechanism, and Biochemistry, 3rd ed.; Springer: Cham, Switzerland, 2005; pp. 149–182. [Google Scholar] [CrossRef]
- Di, L. The role of drug metabolizing enzymes in clearance. Expert Opin Drug Metab Toxicol. 2014, 10, 379–393. [Google Scholar] [CrossRef] [PubMed]
- Mallick, P.; Taneja, G.; Moorthy, B.; Ghose, R. Regulation of drug-metabolizing enzymes in infectious and inflammatory disease: Implications for biologics–small molecule drug interactions. Expert Opin Drug Metab. Toxicol. 2017, 13, 605–616. [Google Scholar] [CrossRef] [PubMed]
- Dong, D.; Wu, B.; Chow, D.; Hu, M. Substrate selectivity of drug-metabolizing cytochrome P450s predicted from crystal structures and in silico modeling. Drug Metab. Rev. 2012, 44, 192–208. [Google Scholar] [CrossRef]
- Zhou, S.-F.; Wang, B.; Yang, L.-P.; Liu, J.-P. Structure, function, regulation and polymorphism and the clinical significance of human cytochrome P450 1A2. Drug Metab. Rev. 2010, 42, 268–354. [Google Scholar] [CrossRef]
- Gunes, A.; Dahl, M.L. Variation in CYP1A2 activity and its clinical implications: Influence of environmental factors and genetic polymorphisms. Pharmacogenomics 2008, 9, 625–637. [Google Scholar] [CrossRef]
- Lee, C.R.; Goldstein, J.A.; Pieper, J.A. Cytochrome P450 2C9 polymorphisms: A comprehensive review of the in-vitro and human data. Pharmacogenetics Genom. 2002, 12, 251–263. [Google Scholar] [CrossRef]
- Lu, Y.; Cederbaum, A.I. CYP2E1 and oxidative liver injury by alcohol. Free. Radic. Biol. Med. 2008, 44, 723–738. [Google Scholar] [CrossRef]
- Boulenc, X.; Djebli, N.; Shi, J.; Perrin, L.; Brian, W.; Van Horn, R.; Hurbin, F. Effects of omeprazole and genetic polymorphism of CYP2C19 on the clopidogrel active metabolite. Drug Metab. Dispos. 2012, 40, 187–197. [Google Scholar] [CrossRef]
- Zanger, U.; Schwab, M. Cytochrome P450 enzymes in drug metabolism: Regulation of gene expression, enzyme activities, and impact of genetic variation. Pharmacol. Ther. 2013, 138, 103–141. [Google Scholar] [CrossRef] [PubMed]
- Stingl, J.C.; Brockmöller, J.; Viviani, R. Genetic variability of drug-metabolizing enzymes: The dual impact on psychiatric therapy and regulation of brain function. Mol. Psychiatry 2012, 18, 273–287. [Google Scholar] [CrossRef]
- Gelston, E.A.; Coller, J.K.; Lopatko, O.V.; James, H.M.; Schmidt, H.; White, J.M.; Somogyi, A.A. Methadone inhibits CYP2D6 and UGT2B7/2B4 in vivo: A study using codeine in methadone- and buprenorphine-maintained subjects. Br. J. Clin. Pharmacol. 2011, 73, 786–794. [Google Scholar] [CrossRef]
- Lewis, D.V.; Lake, B.; Dickins, M. Substrates of human cytochromes P450 from families CYP1 and CYP2: Analysis of enzyme selectivity and metabolism. Drug Metab. Drug Interact. 2004, 20, 111–142. [Google Scholar] [CrossRef] [PubMed]
- Datta, R.; Das, D.; Das, S. Efficient lipophilicity prediction of molecules employing deep-learning models. Chemom. Intell. Lab. Syst. 2021, 213, 104309. [Google Scholar] [CrossRef]
- Sander, T. OSIRIS property explorer. In Organic Chemistry Portal; Idorsia Pharmaceuticals Ltd.: Allschwil, Switzerland, 2001. [Google Scholar]
- Wu, C.; Benet, L. Predicting drug disposition via application of BCS: Transport/absorption/elimination interplay and development of a biopharmaceutics drug disposition classification system. Pharm. Res. 2005, 22, 11–23. [Google Scholar] [CrossRef] [PubMed]
- Ursu, O.; Rayan, A.; Goldblum, A.; Oprea, T.I. Understanding drug-likeness. WIREs Comput. Mol. Sci. 2011, 1, 760–781. [Google Scholar] [CrossRef]
- Egbert, M.; Whitty, A.; Keserű, G.M.; Vajda, S. Why Some Targets Benefit from beyond Rule of Five Drugs. J. Med. Chem. 2019, 62, 10005–10025. [Google Scholar] [CrossRef]
- Alonso, H.; Bliznyuk, A.; Gready, J. Combining docking and molecular dynamics simulations in drug design. Med. Res. Rev. 2006, 26, 531–568. [Google Scholar] [CrossRef]
- Behrouz, S.; Rad, M.N.S.; Shahraki, B.T.; Fathalipour, M.; Behrouz, M.; Mirkhani, H. Design, synthesis, and in silico studies of novel eugenyloxy propanol azole derivatives having potent antinociceptive activity and evaluation of their β-adrenoceptor blocking property. Mol. Divers. 2019, 23, 147–164. [Google Scholar] [CrossRef]
- Chodankar, R.S.; Mahajan, A.A. Characterization and In-silico toxicity prediction of degradation products of felbamate. Futur. J. Pharm. Sci. 2021, 7, 198. [Google Scholar] [CrossRef]
- Bowers, K.J.; Chow, E.; Xu, H.; Dror, R.O.; Eastwood, M.P.; Gregersen, B.A.; Klepeis, J.L.; Kolossvary, I.; Moraes, M.A.; Sacerdoti, F.D.; et al. Scalable algorithms for molecular dynamics simulations on commodity clusters. In Proceedings of the 2006 ACM/IEEE Conference on Supercomputing, New York, NY, USA, 11 November 2006. [Google Scholar] [CrossRef]
- Batut, B.; Hiltemann, S.; Bagnacani, A.; Baker, D.; Bhardwaj, V.; Blank, C.; Bretaudeau, A.; Brillet-Guéguen, L.; Čech, M.; Chilton, J.; et al. Community-Driven Data Analysis Training for Biology. Cell Syst. 2018, 6, 752–758.e1. [Google Scholar] [CrossRef] [PubMed]
- Sievers, F.; Higgins, D.G. Clustal Omega for making accurate alignments of many protein sequences. Protein Sci. 2018, 27, 135–145. [Google Scholar] [CrossRef] [PubMed]
- Laskowski, R.A.; Jabłońska, J.; Pravda, L.; Vařeková, R.S.; Thornton, J.M. PDBsum: Structural summaries of PDB entries. Protein Sci. 2018, 27, 129–134. [Google Scholar] [CrossRef] [PubMed]
- Tian, W.; Chen, C.; Lei, X.; Zhao, J.; Liang, J. CASTp 3.0: Computed atlas of surface topography of proteins. Nucleic Acids Res. 2018, 46, 363–367. [Google Scholar] [CrossRef]
- Dundas, J.; Ouyang, Z.; Tseng, J.; Binkowski, A.; Turpaz, Y.; Liang, J. CASTp: Computed atlas of surface topography of proteins with structural and topographical mapping of functionally annotated residues. Nucleic Acids Res. 2006, 34, W116–W118. [Google Scholar] [CrossRef]
- Sharma, A.; Yogavel, M.; Sharma, A. Structural and functional attributes of malaria parasite diadenosine tetraphosphate hydrolase. Sci Rep. 2016, 6, 19981. [Google Scholar] [CrossRef]
- Sunseri, J.; Koes, D. Pharmit: Interactive exploration of chemical space. Nucleic Acids Res. 2016, 44, 442–448. [Google Scholar] [CrossRef]
- Pettersen, E.F.; Goddard, T.D.; Huang, C.C.; Couch, G.S.; Greenblatt, D.M.; Meng, E.C.; Ferrin, T.E. UCSF Chimera—A visualization system for exploratory research and analysis. J. Comput. Chem. 2004, 25, 1605–1612. [Google Scholar] [CrossRef]
- Singh, I.; Mishra, S. Molecular docking analysis of Pyrimethamine derivatives with Plasmodium falciparum dihydrofolate reductase. Bioinformation 2018, 14, 232–235. [Google Scholar] [CrossRef]
- O’Boyle, N.M.; Banck, M.; James, C.A.; Morley, C.; Vandermeersch, T.; Hutchison, G.R. Open Babel: An Open chemical toolbox. J. Cheminform. 2011, 3, 33. [Google Scholar] [CrossRef] [PubMed]
- Morris, G.M.; Huey, R.; Lindstrom, W.; Sanner, M.F.; Belew, R.K.; Goodsell, D.S.; Olson, A.J. AutoDock4 and AutoDockTools4: Automated docking with selective receptor flexibility. J. Comput. Chem. 2009, 30, 2785–2791. [Google Scholar] [CrossRef] [PubMed]
- Lohidakshan, K.; Rajan, M.; Ganesh, A.; Paul, M.; Jerin, J. Pass and Swiss ADME collaborated in silico docking approach to the synthesis of certain pyrazoline spacer compounds for dihydrofolate reductase inhibition and antimalarial activity. Bangladesh J. Pharmacol. 2018, 13, 23–29. [Google Scholar] [CrossRef]
- Torres, E.; Moreno, E.; Ancizu, S.; Barea, C.; Galiano, S.; Aldana, I.; Monge, A.; Pérez-Silanes, S. New 1, 4-di-N-oxide-quinoxaline-2-ylmethylene isonicotinic acid hydrazide derivatives as anti-Mycobacterium tuberculosis agents. Bioorg. Med. Chem. Lett. 2011, 21, 3699–3703. [Google Scholar] [CrossRef]
- BIOVIA Discovery Studio Visualizer; Dassault Systems: San Diego, CA, USA, 2017.
- Mahato, S.; Singh, A.; Rangan, L.; Jana, C.K. Synthesis, in silico studies and in vitro evaluation for antioxidant and antibacterial properties of diarylmethylamines: A novel class of structurally simple and highly potent pharmacophore. Eur. J. Pharm. Sci. 2016, 88, 202–209. [Google Scholar] [CrossRef]
- Mollazadeh, S.; Sahebkar, A.; Shahlaei, M.; Moradi, S. Nano drug delivery systems: Molecular dynamic simulation. J. Mol. Liq. 2021, 332, 115823. [Google Scholar] [CrossRef]
- Safarizadeh, H.; Garkani-Nejad, Z. Molecular docking, molecular dynamics simulations and QSAR studies on some of 2-arylethenylquinoline derivatives for inhibition of Alzheimer’s amyloid-beta aggregation: Insight into mechanism of interactions and parameters for design of new inhibitors. J. Mol. Graph. Model. 2019, 87, 129–143. [Google Scholar] [CrossRef]
- Oduselu, G.O.; Afolabi, R.; Ademuwagun, I.; Vaughan, A.; Adebiyi, E. Structure-based pharmacophore modeling, virtual screening, and molecular dynamics simulation studies for identification of Plasmodium falciparum 5-aminolevulinate synthase inhibitors. Front. Med. 2023, 9, 1022429. [Google Scholar] [CrossRef]
- Grant, B.; Rodrigues, A.; Elsawy, K.; McCammon, J.; Caves, L. Bio3d: An R package for the comparative analysis of protein structures. Bioinformatics 2006, 22, 2695–2696. [Google Scholar] [CrossRef]












| PfBDP1 Gene Reference Sequence | PfBDP1 B1 | PfBDP1 B2 | PfBDP1 B3 | |
|---|---|---|---|---|
| PfBDP1 gene reference sequence | 100 | 100 | 100 | |
| PfBDP1 B1 | 100 | 100 | 100 | |
| PfBDP1 B2 | 100 | 100 | 100 | |
| PfBDP1 B3 | 100 | 100 | 100 | |
| Pharmacophore Features | Radius (Å) | X (Å) | Y (Å) | Z (Å) |
|---|---|---|---|---|
| Aromatic | 1.10000 | 2.4667 | −1.6340 | 0.09153 |
| Aromatic | 1.10000 | −3.6099 | −2.0197 | −0.1098 |
| Hydrogen donor | 0.5 | 4.081 | 0.402 | −1.0166 |
| Hydrogen donor | 0.5 | −2.8861 | 1.3781 | 0.0286 |
| Hydrogen acceptor | 0.5 | −0.9829 | 2.7091 | 0.1325 |
| Hit Screen Filter | Values |
|---|---|
| Molecular weight | 0 ≤ 500 |
| Rotatable bonds | 0 ≤ 10 |
| LogP | 0 ≤ 5 |
| Polar Surface Area | 0 ≤ 140 |
| Aromatics | 0 ≤ 5 |
| Hydrogen Bond Acceptor | 0 ≤ 10 |
| Hydrogen Bond Donor | 0 ≤ 5 |
| Pharmit Database | CHEMBL25 | ChemDiv | ChemSpace | MCULE | MCULE- ULTIMATE | MolPort | NCI Open Chemical Repository | LabNetwork | Zinc | Total Hits |
|---|---|---|---|---|---|---|---|---|---|---|
| Conformers | 23,136,925 | 21,562,497 | 250,205,463 | 223,460,579 | 378,880,344 | 114,798,054 | 574,117 | 22,051,020 | 123,399,574 | |
| Molecules | 1,752,844 | 1,456,120 | 50,181,678 | 45,257,086 | 126,471,502 | 8,015,098 | 52,237 | 1,794,286 | 13,190,317 | |
| Hits | 392 | 61 | 214 | 366 | 34 | 207 | 4 | 81 | 426 | 1785 |
| Docked Ligand | Binding Affinity (kcal/mol) | Pubchem CIDs |
|---|---|---|
| NSC173206 | −10.7 | 299845 |
| LN00641055 | −10.2 | 346990321 |
| CHEMBL1917932 | −10.1 | 136203003 |
| ZINC8755777 | −10.1 | 40813976 |
| CHEMBL2216838 | −9.9 | 44540403 |
| CHEMBL4555703 | −9.9 | 155556807 |
| CHEMBL1917929 | −9.9 | 136196540 |
| CHEMBL4470706 | −9.8 | 155534625 |
| ZINC9217995 | −9.8 | 40972669 |
| Bromosporine | −7.8 | 72943187 |
| Chloroquine | −6.1 | 2719 |
| NSC173206 | LN00641055 | * CHEMBL1917932 | * ZINC8755777 | * CHEMBL2216838 | * CHEMBL4555703 | * CHEMBL1917929 | CHEMBL4470706 | ZINC9217995 | Bromosporine | Chloroquine | |
|---|---|---|---|---|---|---|---|---|---|---|---|
| Physicochemical Properties | |||||||||||
| Mol. weight (g/mol) | 444.49 | 415.49 | 429.26 | 488.47 | 375.42 | 363.32 | 394.81 | 379.77 | 486.49 | 404.44 | 319.9 |
| NRB | 0 | 6 | 5 | 7 | 4 | 2 | 5 | 2 | 7 | 7 | 1 |
| NHA | 4 | 5 | 4 | 6 | 4 | 5 | 4 | 4 | 5 | 7 | 2 |
| NHD | 4 | 3 | 4 | 3 | 3 | 2 | 4 | 2 | 3 | 2 | 8 |
| TPSA (Å2) | 98.62 | 99.50 | 111.27 | 116.84 | 86.04 | 73.91 | 111.27 | 79.36 | 107.61 | 135.96 | 28.16 |
| Lipophilicity (cLogP) | 2.70 | 4.10 | 2.84 | 2.74 | 2.14 | 3.25 | 2.35 | 3.49 | 3.26 | 1.67 | 4.01 |
| Water solubility (LOG ESOL) | −5.50 | −5.80 | −4.41 | −4.76 | −3.77 | −4.19 | −3.81 | −4.62 | −5.15 | −2.96 | −4.55 |
| Drug-likeness | −0.33 | −1.67 | 3.68 | 6.40 | 8.60 | 0.31 | 5.61 | −0.50 | 2.96 | −9.91 | 7.39 |
| Drug score | 0.31 | 0.14 | 0.49 | 0.53 | 0.78 | 0.39 | 0.59 | 0.31 | 0.46 | 0.31 | 0.25 |
| Pharmacokinetics | |||||||||||
| GI Absorption | High | High | High | High | High | High | High | High | High | Low | High |
| BBB Permeant | No | No | No | No | No | No | No | No | No | No | Yes |
| CYP1A2 Inhibitor | Yes | No | Yes | No | Yes | Yes | Yes | Yes | Yes | Yes | Yes |
| CYP2C19 Inhibitor | Yes | Yes | No | Yes | Yes | No | No | No | No | No | No |
| CYP2C9 Inhibitor | No | Yes | No | Yes | No | No | No | No | Yes | Yes | No |
| CYP2D6 Inhibitor | No | No | No | Yes | Yes | Yes | No | Yes | Yes | Yes | Yes |
| Synthetic accessibility | 6.24 | 3.81 | 3.42 | 4.34 | 3.25 | 2.72 | 3.41 | 2.69 | 4.27 | 3.45 | 2.76 |
| Toxicity risks | |||||||||||
| Mutagenic | Low risk | Low risk | Low risk | Low risk | Low risk | Low risk | Low risk | Low risk | Low risk | Low risk | Low risk |
| Tumorigenic | Low risk | High risk | Low risk | Low risk | Low risk | Low risk | Low risk | Low risk | Low risk | Low risk | High risk |
| Irritant | Low risk | Medium | Low risk | Low risk | Low risk | Low risk | Low risk | Low risk | Low risk | Low risk | Low risk |
| Reproductive | Low risk | Low risk | Low risk | Low risk | Low risk | Low risk | Low risk | Low risk | Low risk | Low risk | High-Risk |
Disclaimer/Publisher’s Note: The statements, opinions and data contained in all publications are solely those of the individual author(s) and contributor(s) and not of MDPI and/or the editor(s). MDPI and/or the editor(s) disclaim responsibility for any injury to people or property resulting from any ideas, methods, instructions or products referred to in the content. |
© 2025 by the authors. Licensee MDPI, Basel, Switzerland. This article is an open access article distributed under the terms and conditions of the Creative Commons Attribution (CC BY) license (https://creativecommons.org/licenses/by/4.0/).
Share and Cite
Oladejo, D.O.; Dokunmu, T.M.; Oduselu, G.O.; Oladejo, D.O.; Ogunlana, O.O.; Iweala, E.E.J. Ex Vivo Molecular Studies and In Silico Small Molecule Inhibition of Plasmodium falciparum Bromodomain Protein 1. Drugs Drug Candidates 2025, 4, 29. https://doi.org/10.3390/ddc4030029
Oladejo DO, Dokunmu TM, Oduselu GO, Oladejo DO, Ogunlana OO, Iweala EEJ. Ex Vivo Molecular Studies and In Silico Small Molecule Inhibition of Plasmodium falciparum Bromodomain Protein 1. Drugs and Drug Candidates. 2025; 4(3):29. https://doi.org/10.3390/ddc4030029
Chicago/Turabian StyleOladejo, David O., Titilope M. Dokunmu, Gbolahan O. Oduselu, Daniel O. Oladejo, Olubanke O. Ogunlana, and Emeka E. J. Iweala. 2025. "Ex Vivo Molecular Studies and In Silico Small Molecule Inhibition of Plasmodium falciparum Bromodomain Protein 1" Drugs and Drug Candidates 4, no. 3: 29. https://doi.org/10.3390/ddc4030029
APA StyleOladejo, D. O., Dokunmu, T. M., Oduselu, G. O., Oladejo, D. O., Ogunlana, O. O., & Iweala, E. E. J. (2025). Ex Vivo Molecular Studies and In Silico Small Molecule Inhibition of Plasmodium falciparum Bromodomain Protein 1. Drugs and Drug Candidates, 4(3), 29. https://doi.org/10.3390/ddc4030029

