Relationship between NDVI of Patches and Cover Area of Grasses, Shrubs and Bare Soil Components of a Semi-Arid Steppe from North-West Patagonia, Argentina
Abstract
:1. Introduction
2. Materials and Methods
2.1. Study Area
2.2. Experimental Design
2.3. Surface Reflectance Measurements
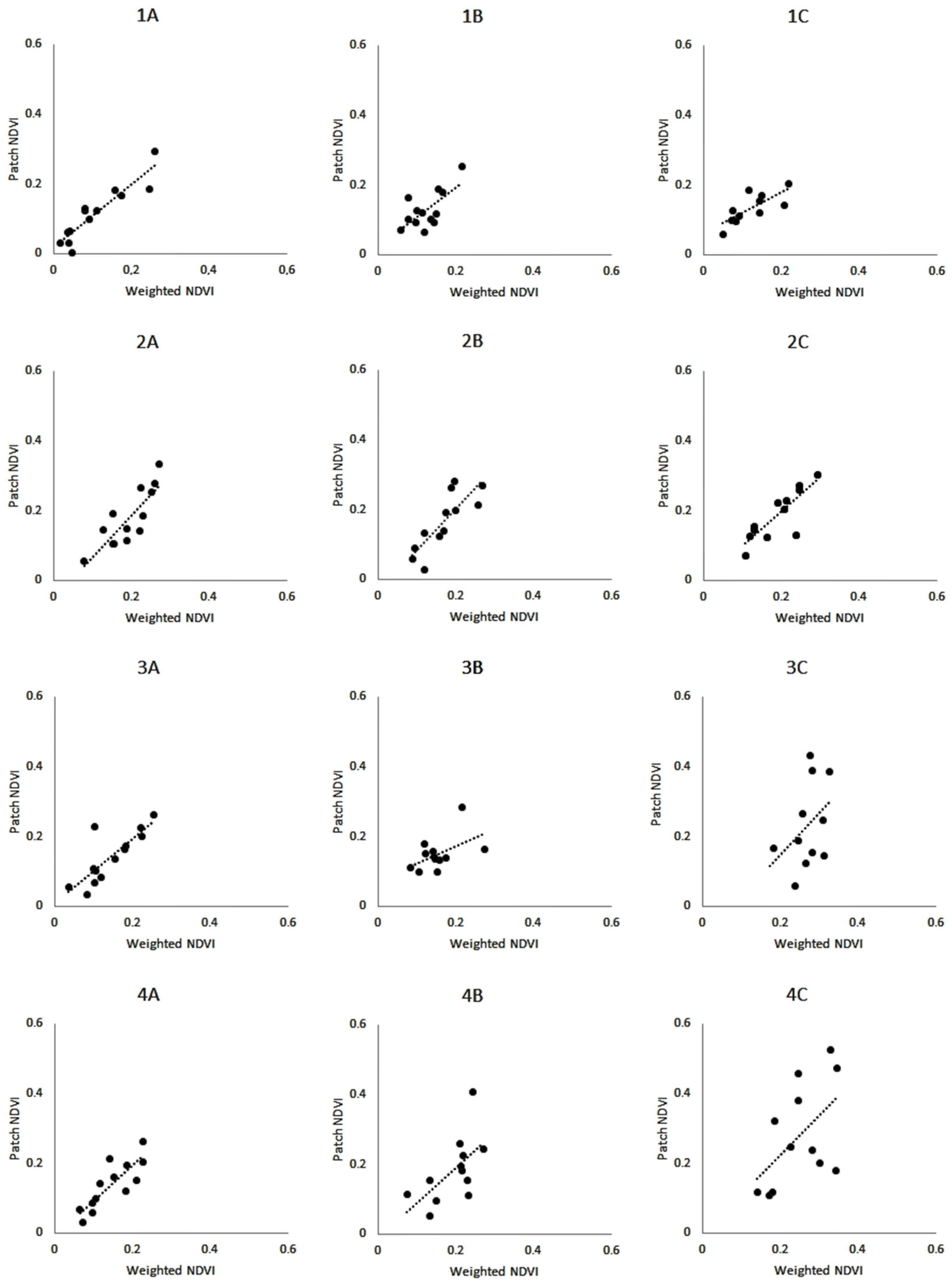
3. Results
4. Discussion
Author Contributions
Funding
Institutional Review Board Statement
Informed Consent Statement
Data Availability Statement
Acknowledgments
Conflicts of Interest
References
- Buzzi, M.A.; Rueter, B.L.; Ghermandi, L. Multiple spectral indices to predict the variability of structural and functional attributes in arid areas. Ecol. Austral 2017, 27, 055–062. [Google Scholar] [CrossRef]
 - Tucker, C.J. Red and photographic infrared linear combinations for monitoring vegetation. Remote Sens. Environ. 1979, 8, 127–150. [Google Scholar] [CrossRef]
 - Paruelo, J.M.; Jobbágy, E.G.; Sala, O.E. Current distribution of ecosystem functional types in temperate South America. Ecosystems 2001, 4, 683–698. [Google Scholar] [CrossRef]
 - McNaughton, S.J.; Oesterheld, M.; Frank, D.A.; Williams, K.J. Ecosystem-level patterns of primary productivity and herbivory in terrestrial habitats. Nature 1989, 341, 142–144. [Google Scholar] [CrossRef] [PubMed]
 - Bradley, B.A.; Jacob, R.W.; Hermance, J.F.; Mustard, J.F. A curve fitting procedure to derive inter-annual phenologies from time series of noisy satellite NDVI data. Remote Sens. Environ. 2007, 106, 137–145. [Google Scholar] [CrossRef]
 - Borak, J.S.; Lambin, E.F.; Strahler, A.H. The use of temporal metrics for land cover change detection at coarse spatial scales. Int. J. Remote Sens. 2000, 21, 1415–1432. [Google Scholar] [CrossRef]
 - Hall-Beyer, M. Comparison of single-year and multiyear NDVI time series principal components in cold temperate biomes. IEEE Trans. Geosci. Remote Sens. 2003, 41, 2568–2574. [Google Scholar] [CrossRef]
 - Kariyeva, J.; Van Leeuwen, W.J. Environmental drivers of NDVI-based vegetation phenology in Central Asia. Remote Sens. 2011, 3, 203–246. [Google Scholar] [CrossRef]
 - Easdale, M.H.; Bruzzone, O.; Mapfumo, P.; Tittonell, P. Phases or regimes? R evisiting NDVI trends as proxies for land degradation. Land Degrad. Dev. 2018, 29, 433–445. [Google Scholar] [CrossRef]
 - Bruzzone, O.; Easdale, M.H. Archetypal temporal dynamics of arid and semi-arid rangelands. Remote Sens. Environ. 2021, 254, 112279. [Google Scholar] [CrossRef]
 - Easdale, M.H.; Perri, D.; Bruzzone, O.A. Arid and semiarid rangeland responses to non-stationary temporal dynamics of environmental drivers. Remote Sens. Appl. Soc. Environ. 2022, 27, 100796. [Google Scholar] [CrossRef]
 - Jiang, P.; Ding, W.G.; Yuan, Y.; Hu, L.; Ye, W. Identifying trend shifts in vegetation greenness in China from 1982 to 2015. Land Degrad. Dev. 2022, 33, 1434–1445. [Google Scholar] [CrossRef]
 - Lu, H.; Raupach, M.R.; McVicar, T.R.; Barrett, D.J. Decomposition of vegetation cover into woody and herbaceous components using AVHRR NDVI time series. Remote Sens. Environ. 2003, 86, 1–18. [Google Scholar] [CrossRef]
 - Blanco, L.J.; Paruelo, J.M.; Oesterheld, M.; Biurrun, F.N. Spatial and temporal patterns of herbaceous primary production in semi-arid shrublands: A remote sensing approach. J. Veg. Sci. 2016, 27, 716–727. [Google Scholar] [CrossRef]
 - Archibald, S.; Scholes, R.J. Leaf green-up in a semi-arid African savanna-separating tree and grass responses to environmental cues. J. Veg. Sci. 2007, 18, 583–594. [Google Scholar]
 - Duncan, J.; Stow, D.; Franklin, J.; Hope, A. Assessing the relationship between spectral vegetation indices and shrub cover in the Jornada Basin, New Mexico. Int. J. Remote Sens. 1993, 14, 3395–3416. [Google Scholar] [CrossRef]
 - León, R.J.; Bran, D.; Collantes, M.; Paruelo, J.M.; Soriano, A. Grandes unidades de vegetación de la Patagonia extra andina. Ecol. Austral 1998, 8, 125–144. [Google Scholar]
 - Godagnone, R.E.; Bran, D. (Eds.) Inventario Integrado de Los Recursos Naturales de La Provincia de Río Negro: Geología, Hidrogeología, Geomorfología, Suelos, Clima, Vegetación y Fauna; Ediciones INTA: Buenos Aires, Argentina, 2009; p. 392.
 - Aguiar, M.R.; Sala, O.E. Patch structure, dynamics and implications for the functioning of arid ecosystems. Trends Ecol. Evol. 1999, 14, 273–277. [Google Scholar] [CrossRef]
 - Davison, J.E.; Breshears, D.D.; Van Leeuwen, W.J.; Casady, G.M. Remotely sensed vegetation phenology and productivity along a climatic gradient: On the value of incorporating the dimension of woody plant cover. Glob. Ecol. Biogeogr. 2011, 20, 101–113. [Google Scholar] [CrossRef]
 - Huang, C.Y.; Archer, S.R.; McClaran, M.P.; Marsh, S.E. Shrub encroachment into grasslands: End of an era? PeerJ 2018, 6, e5474. [Google Scholar] [CrossRef] [PubMed]
 - Wang, H.; Liu, H.; Huang, N.; Bi, J.; Ma, X.; Ma, Z.; Shangguan, Z.; Zhao, H.; Feng, Q.; Liang, T.; et al. Satellite-derived NDVI underestimates the advancement of alpine vegetation growth over the past three decades. Ecology 2021, 102, e03518. [Google Scholar] [CrossRef] [PubMed]
 - Balata, D.; Gama, I.; Domingos, T.; Proença, V. Using Satellite NDVI Time-Series to Monitor Grazing Effects on Vegetation Productivity and Phenology in Heterogeneous Mediterranean Forests. Remote Sens. 2022, 14, 2322. [Google Scholar] [CrossRef]
 - Cierniewski, J.; Courault, D. Bidirectional reflectance of bare soil surfaces in the visible and near-infrared range. Remote Sens. Rev. 1993, 7, 321–339. [Google Scholar] [CrossRef]
 - Kaleita, A.L.; Tian, L.F.; Hirschi, M.C. Relationship between soil moisture content and soil surface reflectance. Trans. ASAE 2005, 48, 1979–1986. [Google Scholar] [CrossRef]
 - Easdale, M.H.; Bruzzone, O. Spatial distribution of volcanic ash deposits of 2011 Puyehue-Cordón Caulle eruption in Patagonia as measured by a perturbation in NDVI temporal dynamics. J. Volcanol. Geotherm. Res. 2018, 353, 11–17. [Google Scholar] [CrossRef]
 - Irisarri, J.G.N.; Oesterheld, M.; Verón, S.R.; Paruelo, J.M. Grass species differentiation through canopy hyperspectral reflectance. Int. J. Remote Sens. 2009, 30, 5959–5975. [Google Scholar] [CrossRef]
 - Easdale, M.H.; Umaña, F.; Raffo, F.; Fariña, C.; Bruzzone, O. Evaluación de pastizales patagónicos con imágenes de satélites y de vehículos aéreos no tripulados. Ecol. Austral 2019, 29, 306–314. [Google Scholar] [CrossRef]
 - Zhao, Y.; Liu, X.; Wang, Y.; Zheng, Z.; Zheng, S.; Zhao, D.; Bai, Y. UAV-based individual shrub aboveground biomass estimation calibrated against terrestrial LiDAR in a shrub-encroached grassland. Int. J. Appl. Earth Obs. Geoinf. 2021, 101, 102358. [Google Scholar] [CrossRef]
 




| Patches | Area (%) | |||||
|---|---|---|---|---|---|---|
| Type | Replicates | PL | PS | AP | SF | BS | 
| 1. Grass | A | 10 | 14 | - | - | 76 | 
| B | 12 | 23 | - | - | 65 | |
| C | 16 | 31 | - | - | 53 | |
| 2. Deciduous shrub–grass | A | 14 | - | 46 | - | 40 | 
| B | 19 | - | 33 | - | 48 | |
| C | 27 | - | 26 | - | 47 | |
| 3. Perennial shrub–grass | A | 21 | - | - | 19 | 60 | 
| B | 20 | - | - | 18 | 62 | |
| C | 26 | - | - | 45 | 29 | |
| 4. Shrub | A | - | - | 34 | - | 66 | 
| B | - | - | 44 | - | 56 | |
| C | - | - | 51 | - | 49 | |
Disclaimer/Publisher’s Note: The statements, opinions and data contained in all publications are solely those of the individual author(s) and contributor(s) and not of MDPI and/or the editor(s). MDPI and/or the editor(s) disclaim responsibility for any injury to people or property resulting from any ideas, methods, instructions or products referred to in the content.  | 
© 2023 by the authors. Licensee MDPI, Basel, Switzerland. This article is an open access article distributed under the terms and conditions of the Creative Commons Attribution (CC BY) license (https://creativecommons.org/licenses/by/4.0/).
Share and Cite
Fariña, C.; Aramayo, V.; Perri, D.; Martín Albarracín, V.; Umaña, F.; Bruzzone, O.A.; Easdale, M.H. Relationship between NDVI of Patches and Cover Area of Grasses, Shrubs and Bare Soil Components of a Semi-Arid Steppe from North-West Patagonia, Argentina. Grasses 2023, 2, 23-30. https://doi.org/10.3390/grasses2010003
Fariña C, Aramayo V, Perri D, Martín Albarracín V, Umaña F, Bruzzone OA, Easdale MH. Relationship between NDVI of Patches and Cover Area of Grasses, Shrubs and Bare Soil Components of a Semi-Arid Steppe from North-West Patagonia, Argentina. Grasses. 2023; 2(1):23-30. https://doi.org/10.3390/grasses2010003
Chicago/Turabian StyleFariña, Clara, Valeria Aramayo, Daiana Perri, Valeria Martín Albarracín, Fernando Umaña, Octavio Augusto Bruzzone, and Marcos H. Easdale. 2023. "Relationship between NDVI of Patches and Cover Area of Grasses, Shrubs and Bare Soil Components of a Semi-Arid Steppe from North-West Patagonia, Argentina" Grasses 2, no. 1: 23-30. https://doi.org/10.3390/grasses2010003
APA StyleFariña, C., Aramayo, V., Perri, D., Martín Albarracín, V., Umaña, F., Bruzzone, O. A., & Easdale, M. H. (2023). Relationship between NDVI of Patches and Cover Area of Grasses, Shrubs and Bare Soil Components of a Semi-Arid Steppe from North-West Patagonia, Argentina. Grasses, 2(1), 23-30. https://doi.org/10.3390/grasses2010003
        
