Abstract
Coal mining is known to have negative impacts on the environment, necessitating land rehabilitation after mining activities. Amongst the problems associated with coal mining is the accumulation of acid mine drainage characterized by large amounts of heavy metals and high acidity. The impact of these environmental problems on the ecosystem around mining areas underscores a need to devise strategies that will ensure sustainable restoration of the ecosystem integrity to ensure environmental protection. Of these, treatment of acid mine drainage using calcium sulfate dihydrate, which is subsequently used for irrigation during phytoremediation, holds great promise for restoration of open-cast mines. However, although grasses are used for rehabilitation of coal mined areas, the impacts of treated mine water on the germination, seedling emergence, and plant growth of grasses are not well known. The aim of the study was to evaluate the germination and early seedling growth responses of different forage grasses to treated mine water. Seven forage grass species were selected, with four species represented by two varieties while others were represented by one variety, totaling 11 forage grasses. For each plant entry, 100 seeds were placed in J.R. Petri’s dishes lined with Whatman No. 2 filter paper and watered with distilled and mine water to assess germination. For the seedling establishment experiment, only five species were studied, in which twenty seeds per species were sown in pots containing mine soil and irrigated using distilled and treated mine water. The final germination percentage (FGP), germination rate index (GRI), corrected germination rate index (CGRI), and T50 were determined for the germination trail and total biomass was assessed for the seedling growth trail. The highest FGP for all grasses was attained under controlled conditions, using distilled water, ranging from 38–94%. All grasses germinated when watered using treated mine water and had a FGP ranging from 20–91%. Relative to distilled water, GRI and CGRI were highest only for L. multiflorum cv AgriBoost when seeds were watered using the treated mine water. All grasses watered with treated mine water produced high biomass for the first two weeks, after which biomass production started to decline. Two grasses, Eragrostis curvula cv Ermelo and Lolium multiflorum cv Archie, showed tolerance to treated mine water irrespective of its high electrical conductivity (557 mS∙m−1). Therefore, these grasses could be used in the rehabilitation of coal-mined areas irrigated with treated mine water.
1. Introduction
Coal mining is the cornerstone for economic development in South Africa. However, the country’s economic development outcompetes the demands for nature conservation and protection of the environment [1]. South Africa has approximately 6000 abandoned mines with high environmental risk factors such as soil contamination by toxic minerals [2]. Furthermore, coal mining is an environmentally unfriendly practice due to the large volume of waste material and tailings generated and dumped onto the aboveground surface area. As a result, a large portion of land requires rehabilitation [3]. Phytoremediation is one technique that has been described as a cost-effective solution to this problem around mine disturbed areas. This technique involves the use of plants to remove elemental contaminants from the soil through shoot biomass [4].
However, the greatest failure in re-vegetating mined lands is caused by poor mine soil quality. This includes factors such as poor soil structure, low nutrient composition, water logging, and inefficient rooting depth as a result of soil compaction [5]. Truter et al. [6] reported that re-vegetation programs around mined areas of South Africa, particularly the Mpumalanga region, were slow due to limiting factors such as the high acidity and nutrient deficiencies in mine soil. Soils with such characteristics’ present hostile environmental conditions for seed germination and plant establishment.
Secondly, large volumes of acid mine drainage (AMD) are among the most challenging issues around abandoned as well as operating mining areas. Therefore, due to its remarkable impact on the environment, the production of a high volume of AMD necessitates scientific intervention [7]. Unless properly treated, AMD has a potential to impose serious environmental threats due to the amount of toxic heavy metals it carries. As reported by Akhtar [8], most coalfields are concentrated in the Emalahleni region, Mpumalanga, and a large volume of AMD is generated in this area, particularly during mine closure.
Acid mine drainage is usually treated with calcium sulfate dihydrate (CaSO4•2H2O) to neutralize its acidity and precipitate out some heavy metals [9]. During mine rehabilitation, treated mine water is often used for irrigation to support germination as well as growth and development of the plant species used for rehabilitation. However, due to high salt ions in treated mine water, re-vegetation programs might be slow due to salt ion toxicity on plant growth and development. Also, the rehabilitation programs often fail due to poor species selection [1]. The selection criteria for the grasses used in this study were based on the field study on herbaceous species composition around coal mine areas. This was conducted prior to the gemination and seedling growth experiment. Therefore, these grasses were identified in and around areas adjacent to the mining colliery. Specifically, the study aimed to identify forage grasses that are well adapted to treated mine water for restoration of open-cast mines.
2. Materials and Methods
2.1. Germination Experiment
This experiment was conducted at the University of Pretoria Experimental Farm, Pretoria, South Africa (25°45′ S 28°16′ E), 1327 m above sea level. Commonly used forage grasses were obtained from a local commercial seed distributer and were used for the germination and seedling growth experiments. These seeds were tested for viability before the commencement of the experiments using tetrazolium chloride. One hundred seeds of each of the eleven grasses (Table 1) were placed in a Julius Richard Petri (J.R. Petri) dish lined with Whatman No. 2 filter paper. The seeds were allowed to germinate in distilled water or treated mine water which has an electrical conductivity of 557 mS∙m−1 and it was collected from acid mine drainage in Pittsburgh, which was later treated with calcium sulfate dihydrate. Treated mine water was also tested and treated for lead, cadmium, lithium, and other toxic elements since it is also used for the irrigation of pastures used for grazing animals. The eleven grasses × two treatment combinations were replicated three times in a completely randomized design. The petri dishes were randomly placed on germination benches in an air-conditioned glasshouse with constant temperatures set at 25 to 30 °C (daytime) and 10 to 15 °C (nighttime) to mimic field conditions, with a 12 h photoperiod. The entire experiment was repeated (2 runs).
Table 1.
List of forage grass species used for the germination experiment.
The J.R. Petri dishes were watered twice daily for six days, which was later reduced to once daily towards the end of the experiment. Observations were performed daily in the morning and afternoon. Seeds were considered germinated after the appearance of a 2 mm radical. All germinated seeds were counted and removed from each J.R. Petri dish daily. Towards the end of the experiments, irrigation continued according to INTERNATIONAL SEED TESTING ASSOCIATION [10] using a solution containing 0.02% KNO2 to induce germination of potentially dormant seeds to ensure there was no germination for at least three consecutive days towards the end of the experiment.
Germination performance was assessed through final germination percentage (FGP) using Equation (1) [11].
Germination rate index (GRI) and corrected germination rate index (CGRI) were calculated as daily germination percentage divided by the number of days since their placement on treatment solutions [11].
Germination rate index values were corrected for final germination to obtain corrected germination rate index by dividing with the respective final germination percentage and multiplying them by hundred [11].
T50 = Ti + (N/2 − ni) (tj − ti)/(nj − ni), where T50 is the mean germination time, N is the final number of germinated seeds, and ni and nj are the total number of seeds germinated in adjacent counts at time Ti and Tj, respectively, when ni < N/2 < nj. Time is the germination time [11].
2.2. Seedling Growth Experiment
The selected grasses used for the seedling growth experiment were Eragrostis curvula cv Ermelo, Lolium multiflorum cv Archie and cv AgriBoost, Cynodon dactylon cv Bermuda, and Megathyrsus maximus cv PUK8. Twenty seeds of each of these grasses were sown in pots containing mine soil from the mine disturbed area and irrigated using distilled water until the two-leaf stage. The mine soil was collected in a disturbed mine at KleinKlopje Colliery Emalahleni, Mpumalanga Province, South Africa. The mine soil was a sandy clay loam. The main characteristics of this soil consist of 67.8% sand, 11.5% clay, and 12.9% loam with a pH of 5.3. Forage grasses were further selected based on germination performance and the most dominant forage grasses identified during a field survey. The seedlings were established and grown in an air-conditioned glasshouse, maintained at temperatures of 25 to 30 °C for daytime temperatures and 10 to 15 °C for nighttime temperatures, with a 12 h photoperiod.
At the two-leaf stage, all pots were thinned to ten uniform seedlings for each grass. The seedlings were watered once a day with treated mine water with an electrical conductivity of 557 mS∙m−1 and distilled water as the control conditions. The chemical composition of the treated mine water is presented in Table 2.
Table 2.
Chemical composition of treated mine water used for irrigation of sites under rehabilitation. Mine wastewater was treated using calcium sulfate dihydrate before the experiment was conducted.
Three pots of each of the five grasses × two treatment solutions, over four sampling periods, were completely randomized in the glasshouse. Enough pots were prepared to allow for four weekly destructive samplings. The entire experiment was repeated (2 runs). At the end of each of four consecutive weeks, three pots per cultivar were destructively sampled (harvested). All plants in each pot were gently washed free of the soil and oven dried at 65 °C until a constant mass was achieved, and the final mass was used for both root and aboveground biomass to determine total biomass per grass. Representative plants sampled during the thinning exercise were used to estimate the total biomass at the beginning of each run.
3. Statistical Analysis
The data on FGP, GRI, CGRI and T50 was first tested for normality and homoscedasticity using Kolmogorov–Smirnof and White tests. Thereafter, data were subjected to two-way ANOVA using GLM procedure of SAS 9.1.1. [12]. Mean separation was conducted using Fishers’ protected LSD(0.05). The total biomass was subjected to two-way ANOVA using GLM procedures. SAS using a p-diff. procedure of statistical analyses systems from [12] was conducted for the mean separation at (p ≤ 0.05) on the total biomass. The growth performance was assessed through a regression analysis of the total biomass production against time (sampling period) in SigmaPlot13.0, Systat Software, 2014.
4. Results
4.1. Effect of Treated Mine Water on Cumulative Germination of Different Grasses
Treated mine water had been tested in different field conditions to evaluate its feasibility for agricultural crop production in South Africa [9,13]. However, there is still limited information with regards to seed germination of forage grasses watered with treated mine water from South Africa. The germination results from this study showed that the best-performing grasses could be excellent candidates for rehabilitation of mined areas, irrigated with treated mine water [14]. Results from the current study showed that different grasses started to germinate within 3, 4, 6, and 8 days when watered using the treated mine water, and germination initiation also varied when watered by distilled water. The highest cumulative germination was recorded for Lolium multiflorum cv Archie and Eragrostis curvula cv Ermelo. Germination increased abruptly for Eragrostis curvula cv Ermelo and Lolium multiflorum cv Archie, with Eragrostis curvula cv Ermelo reaching 80% germination on day eight.
For these seeds, germination started three days after planting and attained maximum cumulative germination within 10–12 days. This was followed by Eragrostis curvula cv Agpal, Digiteria eriantha cv Irene, and Pennisetum clandestinum cv Whittet, which only started germinating on day four and had a lower cumulative germination over the germination period. However, other grasses had even lower cumulative germination and prolonged periods (up to 16 days) to reach their maximum germination percentages (Figure 1). Digiteria eriantha cv Irene was the poorest of all grasses evaluated in terms of germination performance, with its germination being the lowest every day during its last 4 days of germination. Despite that, some grasses, such as Digiteria eriantha cv Irene, Lolium multiflorum cv Archie, and Festuca arundinacea cv Feugo, continued to show poor salinity tolerance present in TMW. Eragrostis curvula cv Ermelo and Lolium multiflorum cv Archie, alongside Eragrostis curvula cv Agpal and Pennisetum clandestinum cv Whittet, had a strong tolerance to TMW, showing a potential for phytoremediation of open-cast coal mines [14]. It is likely that the early initiation of germination in all grasses was as a result of other minerals present in treated mine water.
Figure 1.
Cumulative germination curve of different grass seeds germinated under treated mine water (557 mS∙m−1). Bars extending beyond each point denote the standard error of mean (SEM).
4.2. Final Germination Percentage of Different Grasses Germinated under Treated Mine Water
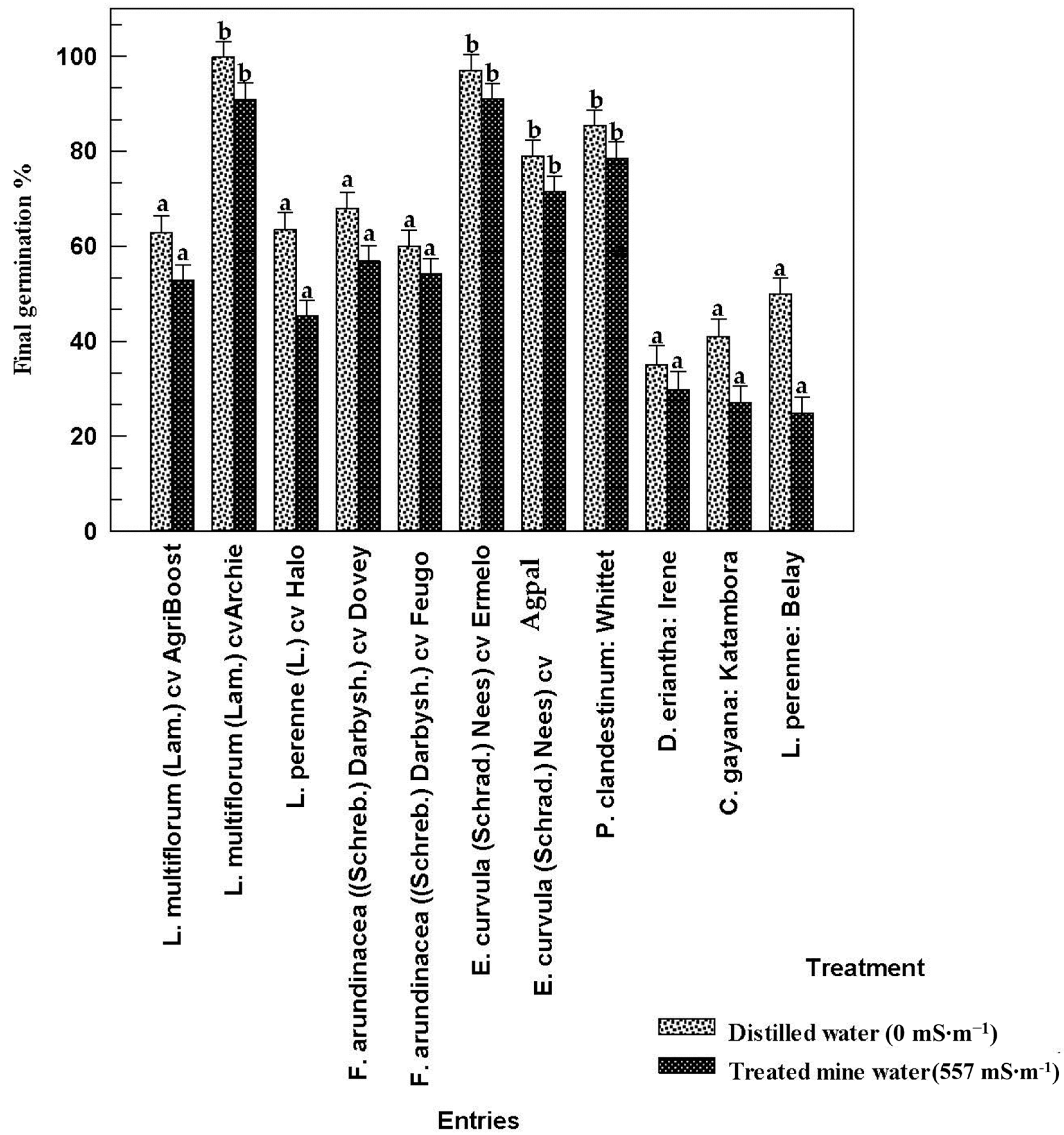
There were no statistical differences within treatments, which implies that the seeds of all examined taxa were not very sensitive to TMW salinity. Final germination percentages in forage grasses watered with treated mine water differed across all species and cultivars (Figure 2). For seeds germinated using treated mine water, the highest FGP was recorded for Lolium multiflorum cv Archie (91%) and Eragrostis curvula cv Ermelo (90%), followed by P. clandestinum cv Whittet (85%). There were no significant differences (p > 0.05) between L. multiflorum cv Archie, E. curvula cv Ermelo, E. curvula cv Agpal, and P. clandestinum cv Whittet. For the other grasses, the final germination percentage when watered using the treated mine water ranged from 24–56%. The final germination percentage for Festuca arundinacea cv Dovey, Festuca arundinacea cv Fuego, Lolium multiflorum cv AgriBoost, and Pennisetum clandestinum cv Whittet ranged from 50 to 85%. The lowest final germination percentages were recorded for Lolium perenne cv Halo, Digiteria eriantha cv Irene, Chloris gayana, and Lolium perenne cv Belay with 45, 29, 26, and 24%, respectively (Figure 2).
Figure 2.
Final germination percentage of different grasses germinated under treated mine water. T-bars extending beyond the bar graphs denote standard error of mean (SEM). Different lowercase letters denote significant differences between grass species across treatments at (p ≤ 0.05) using Fishers’ protected LSD(0.05).
4.3. Effect of TMW on Germination Speed of Different Forage Grasses
Germination was initiated very early from day 4 to day 5 for all entries after application of treated mine water (TMW) (Table 3). However, germination increased abruptly for Ermelo and Archie, with Ermelo achieving a significantly higher germination above 80% earlier on day 8 compared to other entries. Both Ermelo and Archie attained higher germination (>70%) at a very short space of time, and their germination ceased earlier (day 12) than other forage grasses. Other forage grasses stopped germinating later between day 14 and day 16. Pennisetum clandestinum cv Whittet and Eragrostis curvula cv Agpal had a moderate germination, with Eragrostis curvula cv Agpal tipping off at day 14, while Pennisetum clandestinum cv Whittet achieved similar germination at day 15. Apart from the fact that Pennisetum clandestinum cv Whittet and Eragrostis curvula cv Agpal achieved highest germination later (day 14–15) than Archie, their germination during their last days of germination was insignificantly different (p < 0.05). Germination of Lolium multiflorum cv AgriBoost, Festuca arundinacea cv Dovey, Festuca arundinacea cv Feugo, Lolium perenne cv Halo, Lolium perenne cv Belay, and Digiteria eriantha cv Irene followed similar patterns characterized by a small day-to-day variation in germination.
Table 3.
The effect of treated mine water on GRI, CGRI, and T50 of different grasses.
4.4. Total Biomass of Different Forage Grasses Watered with Distilled Water or Treated Mine Water (557 mS∙m−1)
The biomass changes of the grasses over four weeks are presented in Figure 3. The highest biomass production across all grasses irrigated with distilled water was recorded for Megathyrsus maximus cv PUK8 after week four, as it surpassed 2 g DM plants−1. Eragrostis curvula cv Ermelo, Lolium multiflorum cv Archie, and Cynodon dactylon cv Bermuda had high growth when watered with treated mine water, whereas post-week two, the highest growth of grasses decline was recorded for Lolium multiflorum cv Archie, Cynodon dactylon cv Bermuda, Eragrostis curvula cv Ermelo, and Megathyrsus maximus cv PUK8. The decline in final germination with an increase in salinity could be ascribed to the continuous uptake of Na+ and Cl− ions at high amounts [15]. Accumulation of these ions could have reduced the enzymatic and hormonal activities, including mobilization and synthesis of the embryonic sugars and proteins of the seeds [16]. Amongst these enzymes is alpha amylase (α amylase), which helps in degrading the starch reserves during imbibition. Therefore, impaired water uptake by salt ions means the reduction in performance of the α amylase enzyme [17]. Akhtar et al. [8] reported that grass seeds tend to lose viability when subjected to high saline conditions.
Figure 3.
Total biomass of different forage grasses watered with distilled water or treated mine water (557 mS∙m−1) grown on mine soil. Bars extending beyond each point denote the standard error of mean (SEM).
4.5. Relationship between Total Biomass Production of Different Forage Grasses Grown on Mine Soil Watered with Distilled Water or Treated Mine Water
The fitted relationships to model total biomass over time for the grasses are presented in Table 4. The biomass production was examined in seedlings and increased with increasing number of weeks for all grasses watered with distilled water. By week four, all grasses showed a general increase in biomass when watered with distilled water. When watered with treated mine water, biomass changes were of a quadratic nature, all showing a decline after week two. Generally, biomass production was high in all grasses watered with the treated mine water. The treated mine water resulted in high biomass production in relation to the biomass produced when grasses were irrigated with distilled water.
Table 4.
Regression equations for total biomass production of different forage grasses grown on mine soil watered with distilled water (0 mS∙m−1) or treated mine water (557 mS∙m−1).
5. Discussion
5.1. Cumulative Germination of Different Forage Grasses Watered with Treated Mine Water
Treated mine water resulted in high cumulative germination in all grasses (Figure 1). This could be linked to beneficial effects of other elements in treated mine water (Table 2), regardless of the high salt ions found in treated mine water. These results are consistent with the research work conducted by Tsegay and Gebreslassie [18] on plant seeds tested in mineral nutrient resources for seedling growth and development for comparison of plants from calcareous and silicate soils. Our results are also in accordance with [5], who recorded seed imbibition initiation of Pennisetum clandestinum seeds four days after placement in treatment solutions. It is likely that the early initiation of germination in all grasses was as a result of other minerals present in treated mine water. Calcium sulfate dihydrate, which is used to neutralize the acid mine drainage, contains phosphorous and other various nutrients that we infer that they masked the effect of salinity in treated mine water (Table 2).
5.2. Final Germination Percentage of Forage Grasses Watered with TMW
The final germination percentage under treated mine water might be due to the influence of other essential elements found in treated mine water, such as phosphorus, potassium, and calcium presented in Table 2. These elements are essential for plant growth and during the plant developmental stage [19]. The treated mine water can be fully utilized for irrigation of plant stands during pasture establishment; however, proper irrigation management must be implemented [20]. For example, [21] assessed the accumulation of ions during seed gemination and development of two S. salsa species of different subspecies under saline conditions. Their results demonstrated a positive correlation between the accumulation of potassium and sodium ions and the germination percentage. This has been seen as part of the adaptation strategy to saline environments. If not properly monitored, treated mine water can result in soil salinization and thus lead to a reduction in plant growth and development, particularly in plants that are salt-sensitive [9]. Again, similar results by Muscolo et al. [5] recorded a moderate salinity tolerance in Pennisetum clandestinum germinated under varying sodium chloride concentrations, and therefore, this forage grass species can be used to restore mined areas. Furthermore, its growth form would also play a pivotal role for soil surface cover.
5.3. Effect of TMW on Germination Speed of Different Forage Grasses
High GRI and CGRI values for Ermelo and Archie provide an indication about the vigor and strength of the germinating seeds [19]. This also showed that at low or no salinity level in distilled water, the speed of germination was not reduced due to low levels of toxic ions such as Na+ [22]. However, at high salinity levels in treated mine water, ion imbalance and toxicity might have reduced GRI and CGRI for some germinated seeds. Our results are consistent with [23], who reported that the corrected germination rate index was reduced significantly with increasing salinity for several plant species studied. Kaouther et al.; Munns [15,22] reported that salt stress resulted in decreased germination percentage and corrected germination rate index.
5.4. Total Biomass of Different Forage Grasses Irrigated with Treated Mine Water
The decline in biomass of all grasses after week two might be due to precipitation of salt ions such as sulfate ions in treated mine water, which has detrimental effects on plant growth. Beletse et al. [13] reported foliar injuries due to irrigation using treated mine water, and these injuries were associated with nutrient deficiencies, such as K, Mg, and NO3. Under soils affected by salt ions, uptake of essential nutrients like K by plants is limited by salt ions such as SO−4, and these may rise to toxic levels in the older transpiring leaves. This injury usually results in a reduction in leaf area, and thus, a reduction in CO2 assimilation and plant growth thereof [16,21]. The decline in final germination with an increase in salinity could be ascribed to the continuous uptake of Na+ and Cl− ions at high amounts. Accumulation of these ions could have reduced the enzymatic and hormonal activities, including mobilization and synthesis of the embryonic sugars and proteins of the seeds [16].
6. Conclusions
The results showed that treated mine water had no adverse effect on the final germination percentage of all forage grasses evaluated, and, therefore, TMW could be used for irrigation during mine rehabilitation using these highly tolerant forage grasses. However, these grasses showed a different cumulative germination pattern, with some grasses germinating equally within the first few days after placement both in distilled water and treated mine water. Therefore, the grasses with faster germination can be used for mine rehabilitation under irrigation by treated mine water. However, for rapid grass coverage, Lolium multiflorum cv Archie and Eragrostis curvula cv Ermelo should be prioritized since they were the first grasses to germinate. This showed that the two grasses had the ability to quickly germinate and were likely to avoid accumulation of toxic ions during the germination process. Therefore, these are grasses that could be used for phytoremediation of mined areas irrigated with treated mine water. Time taken to reach 50% of the final germination generally differed across all grasses, where some grasses took longer to reach FGP. However, Lolium multiflorum cv Archie, Eragrostis curvula cv Ermelo, and Chloris gayana cv Katambora had the lowest T50 values, indicating that the three grasses could germinate and grow rapidly when planted for mine rehabilitation. Lolium multiflorum cv Archie, Eragrostis curvula cv Ermelo, and Pennisetum clandestinum cv Whittet maintained high germination speeds (GRI and CGRI) relative to the other grasses. The total biomass for all grasses responded positively to treated mine water up to week two, after which biomass production declined at a very high rate. This decline was partly due to leaf abscission. However, the declining rate in biomass production for Lolium multiflorum cv AgriBoost was low post-week two. This also shows that this grass had high a tolerance to salt ions carried by treated mine water, which makes it one of the potential candidates for phytoremediation. Lolium multiflorum cv Archie, Eragrostis curvula cv Ermelo, Pennisetum clandestinum cv Whittet, and Eragrostis curvula cv Agpal are recommended for phytoremediation of mined areas; thus, they germinate in treated mine water quickly and achieve a high final germination percentage as well as significant biomass production.
Author Contributions
Conceptualization, M.M. (Mziwanda Mangwane), I.C.M., M.M. (Mthunzi Mndela), S.D. and F.V.N.-C.; methodology, formal analysis, investigation, and data curation, M.M. (Mziwanda Mangwane), I.C.M., M.M. (Mthunzi Mndela), F.V.N.-C., S.D. and N.L.; writing—original draft preparation, M.M. (Mziwanda Mangwane), I.C.M., M.M. (Mthunzi Mndela), S.D., F.V.N.-C. and T.J.T.; project administration, writing—review and editing, M.M. (Mziwanda Mangwane), F.V.N.-C., M.M. (Mthunzi Mndela), T.J.T. and N.L.; funding acquisition, T.J.T. and N.L. All authors have read and agreed to the published version of the manuscript.
Funding
Agricultural Research Council Range and Forage (ARC-NRF, grant number P02000044).
Data Availability Statement
Data used in this study are available on request.
Acknowledgments
The authors are grateful to the Agricultural Research Council for financially supporting this study and a special gratitude to the University of Pretoria for availing its resources to the authors to successfully complete the study. A special thanks also goes to Francouis Muller, Mzamo Mndela, Aphelele Mangwane, Bafana Jerom Mncina, and Dolly Mthethwa for their technical support during the inception and data collection of the study.
Conflicts of Interest
The authors declare no conflict of interest.
References
- Jadia, C.D.; Fulekar, M.H. Phytoremediation of heavy metals: Recent techniques. Afr. J. Biotechnol. 2009, 8, 921–928. [Google Scholar]
- Ochonogor, R.O.; Atagana, H.I. Phytoremediation of Heavy Metal Contaminated Soil by Psoralea Pinnata. Int. J. Environ. Sci. Dev. 2014, 5, 440. [Google Scholar] [CrossRef]
- Kumar, B.M. Mining waste contaminated lands: An uphill battle for improving crop productivity. J. Degrad. Min. Lands Manag. 2013, 1, 43–50. [Google Scholar] [CrossRef]
- Ahlawat Sainger, P.; Dhankhar Sainger, R.M.; Kaushik, A.; Singh, R.P. Assessment of heavy metal tolerance in native plant species from soils contaminated with electroplating effluent. Ecotoxicol. Environ. Saf. 2011, 74, 2284–2291. [Google Scholar] [CrossRef] [PubMed]
- Muscolo, A.; Panuccio, M.R.; Eshel, A. Ecophysiology of Pennisetum clandestinum: A valuable salt tolerant grass. Environ. Exp. Bot. 2013, 92, 55–63. [Google Scholar] [CrossRef]
- Truter, W.F.; Rethman, N.F.G.; Potgieter, C.E.; Kruger, R.A. Re-vegetation of cover soils and coal discard material ameliorated with class F fly ash. In Proceedings of the 2009 Word of Coal Ash Conference, Lexington, KY, USA, 4–7 May 2009. [Google Scholar]
- McCarthy, T.S.; Pretorius, K. Coal Mining on the Highveld and Its Implications for Future Water Quality in the Vaal River System; Water Institute of Southern Africa’s Mine Water Division & International Mine Water Association: Pretoria, South Africa, 2009. [Google Scholar]
- Akhtar, P.; Hussain, F. Salinity tolerance of three range grasses at germination and early growth stages. Pak. J. Bot. 2008, 40, 2437–2441. [Google Scholar]
- Annandale, J.G.; Beletse, Y.G.; De Jager, P.C.; Jovanovic, N.Z.; Steyn, J.M.; Benadé, N.; Lorentz, S.A.; Hodgson, F.D.; Usher, B.; Vermeulen, D.; et al. Predicting the Environmental Impact and Sustainability of Irrigation with Coal Mine Water; Report No 1149/01/07; Water Research Commission and Coaltech: Pretoria, South Africa, 2007. [Google Scholar]
- International Seed Testing Association (ISTA). International Rules for Seed Testing; International Seed Testing Association: Verona, Italy, 2024. [Google Scholar]
- Kader, M.A. Comparison of Seed Germination Calculation Formulae and the Associated Interpretation of Resulting Data. J. Proc. R. Soc. New South Wales 2005, 138, 65–75. [Google Scholar] [CrossRef]
- SAS. Qualification Tools User’s Guide; SAS 9.1.1.; SAS Institute Inc.: Cary, NC, USA, 2003. [Google Scholar]
- Beletse, Y.G.; Annandale, J.G.; Steyn, J.M.; Hall, I.; Aken, M.E. Can crops be irrigated with sodium bicarbonate rich CBM deep aquifer water? I. Theoretical and field evaluation. J. Ecol. Eng. 2008, 33, 26–36. [Google Scholar] [CrossRef]
- Grobbelaar, R.; Usher, B.H.; Cruywagen, L.M.; De Necker, E.; Hodgson, F.D. Long-Term Impact of Intermine Flow from Collieries in the Mpumalanga Area; WRC Report No1056/1/04; Water Research Commission and Coaltech: Pretoria, South Africa, 2004. [Google Scholar]
- Munns, R. Comparative physiology of salt and water stress. Plant Cell Environ. 2002, 25, 239–250. [Google Scholar] [CrossRef] [PubMed]
- Lachiheb, K.; Neffati, M.; Zid, E. Aptitudes germinatives de certaines graminées halophytes spontanées de la Tunisie méridionale. Cah. Options Médit. 2004, 62, 89–93. [Google Scholar]
- Ellis, R.A.; Roberts, E.H. The quantification of ageing and survival in orthodox seeds. Seed Sci. Technol. 1981, 9, 373–409. [Google Scholar]
- Tsegay, B.A.; Gebreslassie, B. The effect of salinity (NaCl) on germination and early seedling growth of Lathyrussativus and Pisumsativum var. abyssinicum. Afr. J. Plant Sci. 2014, 8, 225–231. [Google Scholar]
- Ranal, M.A.; Santana, D.G. How and why to measure the germination process? Rev. Bras. Botânica 2006, 29, 1–11. [Google Scholar] [CrossRef]
- Annandale, J.G.; Jovanovic, N.Z.; Pretorius, J.J.B.; Lorentz, S.A.; Rethman, N.F.G.; Tanner, P.D. Gypsiferous mine water use in irrigation on rehabilitation open-cast mine land: Crop production, soil water and salt balance. Ecol. Eng. 2001, 17, 153–164. [Google Scholar] [CrossRef]
- Li, X.; Zhang, X.D.; Song, J.; Fan, H.; Feng, G.; Wang, B.S. Accumulation of ions during seed development under controlled saline conditions of two Suaeda salsa populations is related to their adaptation to saline environments. Plant Soil 2011, 341, 99–107. [Google Scholar] [CrossRef]
- Kaouther, Z.; Nina, H.; Rezwan, A.; Cherif, H. Evaluation of salt tolerance (NaCl) in Tunisianchili Pepper (Capsicum frutescens L.) on growth, mineral analysis, and solutes synthesis. J. Physiol. Biochem. 2013, 9, 209–228. [Google Scholar]
- Hajlaoui, H.; Maatallah, S.; Nasri, N.; Nasr, H. Germination capacity of some halophytic plant species under increasing salinity. Afr. J. Agric. Res. 2016, 11, 4333–4342. [Google Scholar]
Disclaimer/Publisher’s Note: The statements, opinions and data contained in all publications are solely those of the individual author(s) and contributor(s) and not of MDPI and/or the editor(s). MDPI and/or the editor(s) disclaim responsibility for any injury to people or property resulting from any ideas, methods, instructions or products referred to in the content. |
© 2024 by the authors. Licensee MDPI, Basel, Switzerland. This article is an open access article distributed under the terms and conditions of the Creative Commons Attribution (CC BY) license (https://creativecommons.org/licenses/by/4.0/).


