Holocene Paleoenvironmental Reconstruction at 47° S (Patagonia, Argentina) from Sedimentary Sequences (Fens and Lagoon) and Archaeological Sites: A Regional Synthesis
Abstract
1. Introduction
2. Materials and Methods
2.1. Environmental Setting and Vegetation Patterns at 47° S in Southern Patagonia
2.2. Pollen Analysis
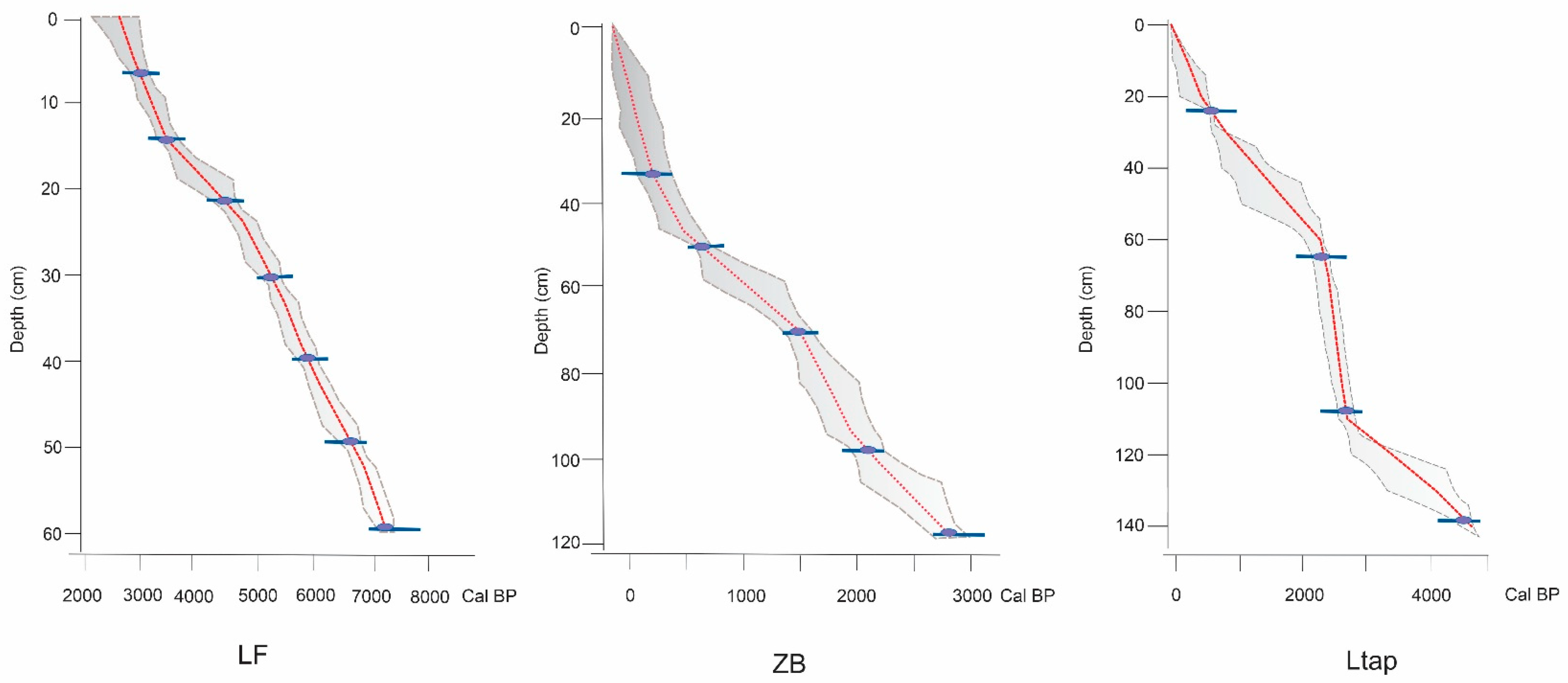
2.3. Chronological Data
3. Results
3.1. Pollen Analysis
3.1.1. Lago Pueyrredón
3.1.2. Parque Nacional Patagonia and Bajo Caracoles
3.1.3. Indices
4. Discussion
4.1. Contributions of Archaeological Sites to Paleoenvironmental Reconstruction
4.2. Paleoenvironmental Changes at 47° S in a Regional Context
5. Conclusions
Author Contributions
Funding
Data Availability Statement
Acknowledgments
Conflicts of Interest
References
- Markgraf, V. Paleoenvironments and paleoclimates in Tierra del Fuego and southernmost Patagonia, South America. Palaeogeogr. Palaeoclimatol. Palaeoecol. 1993, 102, 53–68. [Google Scholar] [CrossRef]
- Heusser, C.J. Ice Age Southern Andes: A Chronicle of Paleoecological Events; Developments in Quaternary Science; Elsevier: Amsterdam, The Netherlands, 2003; Volume 3, 240p. [Google Scholar]
- Haberzettl, T.; Fey, M.; Lücke, A.; Maidana, N.; Mayr, C.; Ohlendorf, C.; Schäbitz, F.; Schleser, G.H.; Wille, M.; Zolitschka, B. Climatically induced lake level changes during the last two millennia as reflected in sediments of Laguna Potrok Aike, southern Patagonia (Santa Cruz, Argentina). J. Paleolimnol. 2005, 33, 283–302. [Google Scholar] [CrossRef]
- Moreno, P.I.; William, I.; Henríquez, W.I.; Rodrigo, P.; Villa-Martínez, R.P. Environmental evolution of the Andes east of the North Patagonian Icefield since ∼19.3 ka. Quat. Sci. Rev. 2025, 364, 109467. [Google Scholar] [CrossRef]
- Mancini, M.V. Holocene vegetation and climate changes from a peat pollen record of the forest–steppe ecotone, southwest of Patagonia (Argentina). Quat. Sci. Rev. 2009, 28, 1490–1497. [Google Scholar] [CrossRef]
- Wille, M.; Schäbitz, F. Late-glacial and Holocene climate dynamics at the steppe/forest ecotone in southernmost Patagonia, Argentina: The pollen record from a fen near Brazo Sur, Lago Argentino. Veg. Hist. Archaeobot. 2009, 18, 225–234. [Google Scholar] [CrossRef]
- Shulmeister, J.; Goodwin, I.; Renwick, J.; Harle, K.; Armand, L.; McGlone, M.S.; Cook, E.; Dodson, J.; Hesse, P.P.; Mayewski, P.; et al. The Southern Hemisphere westerlies in the Australasian sector over the last glacial cycle: A synthesis. Quat. Int. 2004, 118–119, 23–53. [Google Scholar] [CrossRef]
- Moreno, P.; François, J.; Villa-Martínez, R.; Moy, C. Millennial-scale variability in Southern Hemisphere westerly wind activity over the last 5000 years in SW Patagonia. Quat. Sci. Rev. 2009, 28, 25–38. [Google Scholar] [CrossRef]
- Garreaud, R.D.; López, P.; Minvielle, M.; Rojas, M. Large-scale control on the Patagonian climate. J. Clim. 2013, 26, 215–230. [Google Scholar] [CrossRef]
- Lamy, F.; Kilian, R.; Arz, H.W.; Francois, J.P.; Kaiser, J.; Prange, M.; Steinke, T. Holocene changes in the position and intensity of the southern westerly wind belt. Nat. Geosci. 2010, 3, 695–699. [Google Scholar] [CrossRef]
- Varma, V.; Prange, M.; Lamy, F.; Merkel, U.; Schulz, M. Solar-forced shifts of the Southern Hemisphere Westerlies during the late Holocene. Clim. Past Discuss. 2010, 6, 369–384. [Google Scholar] [CrossRef]
- Fletcher, M.-S.; Moreno, P.I. Zonally symmetric changes in the strength and position of the Southern Westerlies drove atmospheric CO2 variations over the past 14 k.y. Geology 2011, 39, 419–422. [Google Scholar] [CrossRef]
- Markgraf, V.; Bradbury, P.; Schwalb, A.; Burns, S.; Stern, C.; Ariztegui, D.; Gilli, A.; Anselmetti, F.; Stine, S.; Maidana, N. Holocene palaeoclimates of southern Patagonia: Limnological and environmental history of Lago Cardiel, Argentina. Holocene 2003, 13, 581–591. [Google Scholar] [CrossRef]
- Villa-Martínez, R.; Moreno, P.I.; Valenzuela, M.A. Deglacial and postglacial vegetation changes on the eastern slopes of the central Patagonian Andes (47 °S). Quat. Sci. Rev. 2012, 32, 86–99. [Google Scholar] [CrossRef]
- McCulloch, R.D.; Figuerero Torres, M.J.; Mengoni Goñalons, G.L.; Barclay, R.; Mansilla, C. A Holocene record of environmental change from Río Zeballos, central Patagonia. Holocene 2017, 27, 941–950. [Google Scholar] [CrossRef]
- Mancini, M.V.; Bamonte, F.P.; Marcos, M.A.; Sottile, G.D.; Echeverría, M.E. Análisis y métodos paleoecológicos para la reconstrucción de comunidades de bosque y estepas de Patagonia, Argentina. Publ. Electrón. Asoc. Paleontol. Argent. 2018, 18, 77–101. [Google Scholar] [CrossRef]
- Mancini, M.V.; de Porras, M.E.; Bamonte, F.P. Southernmost South America Steppes: Vegetation and its modern pollen-assemblages representation. In Steppe Ecosystems: Dynamics, Land Use and Conservation; Germano, D.G., Ed.; Nova Science Publishers, Inc.: Hauppauge, NY, USA, 2012; pp. 141–156. [Google Scholar]
- Bamonte, F.P.; Mancini, M.V.; Sottile, G.D.; Marcos, M.A.; Gogorza, C.S.G. Vegetation dynamics from Lago San Martín area (southwest Patagonia, Argentina) during the last 6,500 years. Veg. Hist. Archaeobot. 2015, 24, 267–277. [Google Scholar] [CrossRef]
- Marcos, M.A.; Bamonte, F.P.; Echeverría, M.E.; Sottile, G.D.; Mancini, M.V. Changes in vegetation and human–environment interactions during the Holocene in the Lake Pueyrredón area (southern Patagonia). Veg. Hist. Archaeobot. 2022, 31, 291–305. [Google Scholar] [CrossRef]
- Marcos, M.A.; Bamonte, F.P.; Echeverría, M.E.; Sottile, G.D.; Mancini, M.V. Paleoenvironmental changes for the last 3000 cal years BP in the Pueyrredón Lake basin, southern Patagonia, Argentina. Quaternary 2022, 5, 49. [Google Scholar] [CrossRef]
- Bamonte, F.P.; Marcos, M.A.; Echeverría, M.E.; Sottile, G.D.; Panarello, H.O.; Mancini, M.V. A new record of paleoenvironmental conditions from the northeastern San Martín Lake Basin (Patagonia, Argentina): Vegetation reconstruction from pollen and carbon isotopes since 10,200 cal years BP. Publ. Electrón. Asoc. Paleontol. Argent. 2023, 23, 1–17. [Google Scholar] [CrossRef]
- Bamonte, F.P.; Echeverría, M.E.; Marcos, M.A. Last glacial–interglacial transition and early Holocene vegetation reconstruction: Pollen and plant macrofossil analysis from a Subantarctic forest sequence at 49°S. Rev. Palaeobot. Palynol. 2025, 343, 105415. [Google Scholar] [CrossRef]
- Sottile, G.D.; Bamonte, F.P.; Mancini, M.V.; Bianchi, M.M. Insights into Holocene vegetation and climate changes at the southeastern side of the Andes: Nothofagus forest and Patagonian steppe fire records. Holocene 2012, 22, 1201–1214. [Google Scholar] [CrossRef]
- Echeverría, M.E.; Bamonte, F.P.; Marcos, M.A.; Sottile, G.D.; Mancini, M.V. Past vegetation reconstruction maps and paleoclimatic variability inferred by pollen records in southern Patagonia Argentina since the Late Glacial–Holocene transition. J. S. Am. Earth Sci. 2022, 116, 103834. [Google Scholar] [CrossRef]
- Markgraf, V.; Huber, U.M. Late and postglacial vegetation and fire history in southern Patagonia and Tierra del Fuego. Palaeogeogr. Palaeoclimatol. Palaeoecol. 2010, 297, 351–366. [Google Scholar] [CrossRef]
- Moreno, P.I.; Villa-Martínez, R.; Cárdenas, M.L.; Sagredo, E.A. Deglacial changes of the southern margin of the southern westerly winds revealed by terrestrial records from SW Patagonia (52°S). Quat. Sci. Rev. 2012, 41, 1–21. [Google Scholar] [CrossRef]
- Moreno, P.I.; Simi, E.; Villa-Martínez, R.P.; Vilanova, I. Early arboreal colonization, postglacial resilience of deciduous Nothofagus forests, and the Southern Westerly Wind influence in central-east Andean Patagonia. Quat. Sci. Rev. 2019, 218, 61–74. [Google Scholar] [CrossRef]
- Maldonado, A.; de Porras, M.E.; Martel-Cea, A.; Reyes, O.; Nuevo-Delaunay, A.; Méndez, C. Holocene environmental dynamics of the Lago Cochrane/Pueyrredón Valley, Central West Patagonia (47°S). Front. Earth Sci. 2022, 10, 833637. [Google Scholar] [CrossRef]
- Bamonte, F.P.; Mancini, M.V. Palaeoenvironmental changes since the Pleistocene–Holocene transition: Pollen analysis from a wetland in southwestern Patagonia (Argentina). Rev. Palaeobot. Palynol. 2011, 165, 103–110. [Google Scholar] [CrossRef]
- Mosquera, B.; Mancini, M.V. Paleoenvironmental analysis of wet meadow in the Deseado Massif: Implications for the Holocene occupation of Argentinian Patagonia. Holocene 2021, 31, 1609–1620. [Google Scholar] [CrossRef]
- Marcos, M.A.; Bamonte, F.P.; Echeverría, M.E.; Mancini, M.V. Southern Patagonian archaeological sites (47°–49° S; 72° W, Argentina) as pollen records: Pollen preservation analysis considerations for accurate paleoenvironmental reconstructions. J. Anthropol. Archaeol. Sci. 2020, 2, 205–219. [Google Scholar]
- Marcos, M.A.; Bamonte, F.P.; Mancini, M.V. Utilización de los datos polínicos en sitios arqueológicos de Patagonia: Metodologías estadísticas, alcances y límites interpretativos. Comechingonia 2020, 24, 105–136. [Google Scholar]
- Garreaud, R.D.; Vuille, M.; Compagnucci, R.; Marengo, J. Present-day South American climate. Palaeogeogr. Palaeoclimatol. Palaeoecol. 2009, 281, 180–195. [Google Scholar] [CrossRef]
- Moreno, P.I.; Kaplan, M.R.; François, J.P.; Villa-Martínes, R.; Moy, C.M.; Stern, C.R.; Kubik, P.W. Renewed glacial activity during the Antarctic cold reversal and persistence of cold conditions until 11.5 ka in southwestern Patagonia. Geology 2009, 37, 375–378. [Google Scholar] [CrossRef]
- Mancini, M.V.; Franco, N.V.; Brook, G.A. Palaeoenvironment and early human occupation of southernmost South America (South Patagonia, Argentina). Quat. Int. 2013, 299, 13–22. [Google Scholar] [CrossRef]
- Franco, N.V.; Brook, G.A.; Guraieb, S.G.; Mancini, M.V.; Guarido, A.L.; Mehl, A.; Montenegro, T. Reuse of burial sites during the late Holocene: Evidence from multiple human burials at the Río Bote 1 rockshelter, upper Santa Cruz River basin (Southern Patagonia, Argentina). Lat. Am. Antiq. 2017, 28, 476–494. [Google Scholar] [CrossRef]
- Echeverría, M.E.; Sottile, G.D.; Mancini, M.V.; Fontana, S.L. New insights into postglacial vegetation dynamics and environmental conditions of Península Avellaneda, southwest Patagonia, revealed by plant macro-fossils and pollen analysis. Mires Peat. 2018, 21, 1–18. [Google Scholar] [CrossRef]
- Mancini, M.V.; Paez, M.M.; Prieto, A.R. Cambios paleoambientales durante los últimos 7000 años en el ecotono bosque–estepa (47°–48° S), Santa Cruz, Argentina. Ameghiniana 2002, 39, 151–162. [Google Scholar]
- Sottile, G.D.; Echeverría, M.E.; Tonello, M.S.; Marcos, M.A.; Bamonte, F.P.; Rayo, C.; Mancini, M.V. Dinámica de la vegetación andina del lago Argentino (50°S, 72°O) desde el retiro de los glaciares ca. 12,000 años cal AP. Andean Geol. 2020, 47, 599–627. [Google Scholar] [CrossRef]
- Echeverría, M.E.; Sottile, G.D.; Mancini, M.V.; Fontana, S.L. Nothofagus forest dynamics and palaeoenvironmental variations during the mid and late Holocene, in southwest Patagonia. Holocene 2014, 24, 957–969. [Google Scholar] [CrossRef]
- Horta, L.R.; Marcos, M.A.; Bozzuto, D.L.; Mancini, M.V.; Sacchi, M. Paleogeographic and paleoenvironmental variations of the Pueyrredón Lake–Posadas–Salitroso area during the Holocene and their relationship to occupational dynamics. Palaeogeogr. Palaeoclimatol. Palaeoecol. 2016, 449, 541–552. [Google Scholar] [CrossRef]
- Horta, L.R.; Marcos, M.A.; Sacchi, M.; Bozzuto, D.L.; Georgieff, S.M.; Mancini, M.V. Paleogeographic and paleoenvironmental evolution in northwestern Santa Cruz (Argentina), and its influence on human occupation dynamics during the late Pleistocene–early Holocene. Palaeogeogr. Palaeoclimatol. Palaeoecol. 2019, 516, 44–53. [Google Scholar] [CrossRef]
- Bamonte, F.P.; Mancini, M.V.; Belardi, J.B.; Espinosa, S. Inferencias paleoambientales a partir del an’alisis polínico de sitios arqueol’ogicos del ’area del lago San Martín (Santa Cruz, Argentina). Magallania 2013, 41, 155–169. [Google Scholar] [CrossRef]
- Bamonte, F.P.; Marcos, M.A. Reconstrucción de paleoambientes a partir del registro polínico de secuencias arqueológicas en el oeste de Santa Cruz: Análisis de escalas y la relación con las ocupaciones humanas. In Arqueología de la Patagonia: El Pasado en las Arenas; Otero, J.G., Svoboda, A., Banegas, A., Eds.; Instituto de Diversidad y Evolución Austral: Chubut, Argentina, 2019; pp. 505–516. ISBN 978-987-46578-1-7. [Google Scholar]
- Brook, G.A.; Franco, N.V.; Ambrústolo, P.; Mancini, M.V.; Wang, L.; Fern’andez, P.M. Evidence of the earliest humans in the southern Deseado massif (Patagonia, Argentina), mylodontidae, and changes in water availability. Quat. Int. 2015, 363, 107–125. [Google Scholar] [CrossRef]
- Paruelo, J.M.; Beltrán, A.; Jobbágy, E.; Sala, O.E.; Golluscio, R. The climate of Patagonia: General patterns and controls on biotic processes. Ecol. Austral 1998, 8, 85–101. [Google Scholar]
- Oyarzabal, M.; Clavijo, J.; Oakley, L.; Biganzoli, F.; Tognetti, P.; Barberis, I.; Maturo, H.M.; Arag’on, R.; Campanello, P.I.; Prado, D.; et al. Unidades de vegetación de la Argentina. Ecol. Austral 2018, 28, 40–63. [Google Scholar] [CrossRef]
- Mercer, J.H.; Sutter, J.F. Late Miocene—Earliest Pliocene glaciation in southern Argentina: Implications for global ice-sheet history. Palaeogeogr. Palaeoclimatol. Palaeoecol. 1982, 38, 185–206. [Google Scholar] [CrossRef]
- Turner, K.J.; Fogwill, C.J.; McCulloch, R.D.; Sugden, D.E. Deglaciation of the eastern flank of the North Patagonian Icefield and associated continental-scale lake diversions. Geogr. Ann. Ser. A Phys. Geogr. 2005, 87, 363–374. [Google Scholar] [CrossRef]
- Glasser, N.F.; Jansson, K.N.; Harrison, S.; Kleman, J. The glacial geomorphology and Pleistocene history of South America between 38° S and 56° S. Quat. Sci. Rev. 2008, 27, 365–390. [Google Scholar] [CrossRef]
- Almonacid, L.; Pessacg, N.; Díaz, B.; Peri, P. Climate regionalization of Santa Cruz province, Argentina. Atmósfera 2023, 37, 245–258. [Google Scholar] [CrossRef]
- Faegri, K.; Iversen, J. Textbook of Pollen Analysis, 4th ed.; John Wiley and Sons: Hoboken, NJ, USA, 1989; 314p. [Google Scholar]
- Gray, J. Palynological techniques. In Handbook of Paleontological Techniques; Kummel, B., Raup, D., Eds.; W. H. Freeman: San Francisco, CA, USA, 1965; pp. 471–587. [Google Scholar]
- Bennet, K.D.; Willis, K.J. Pollen. In Tracking Environmental Changes Using Lake Sediments; Smol, J.P., Birks, H.J.B., Last, W.M., Eds.; Terrestrial; Algal and Siliceous Indicators; Kluwer Academic Publishers: Dordrecht, The Netherlands, 2001; Volume 3, pp. 5–32. [Google Scholar]
- Grimm, E.C. Tilia Software; Research and Collections Center, Illinois State Museum: Springfield, IL, USA, 2004. [Google Scholar]
- Blaauw, M.; Christen, J.A. Flexible paleoclimate age-depth models using an autoregressive gamma process. Bayesian Anal. 2011, 6, 457–474. [Google Scholar] [CrossRef]
- Hogg, A.G.; Heaton, T.J.; Hua, Q.; Palmer, J.G.; Turney, C.S.M.; Southon, J.; Bayliss, A.; Blackwell, P.G.; Boswijk, G.; Bronk Ramsey, C.; et al. SHCal20 Southern Hemisphere Calibration, 0–55,000 Years cal BP. Radiocarbon 2020, 62, 759–778. [Google Scholar] [CrossRef]
- Marcos, M.A.; Bamonte, F.P.; Echeverria, M.E. Landscapes of the past: Vegetation and climate changes in Parque Nacional Patagonia since the Mid-Holocene. In Proceedings of the XL Jornadas Argentinas de Botánica, Mar del Plata, Argentina, 23–26 September 2025. [Google Scholar]
- Coronato, F.R. Le rôle de L’elevage Ovindans la Construction du Territoire de la Patagonie, L’Institut des Sciences et Industries du Vivant etde l’Environnement; AgroParisTech: Massy, France, 2010. [Google Scholar]
- Stine, S.; Stine, M. A record from Lake Cardiel of climate change in southern South America. Nature 1990, 345, 705–708. [Google Scholar] [CrossRef]
- Gilli, A.; Ariztegui, D.; Anselmetti, F.S.; McKenzie, J.A.; Markgraf, V.; Hajdas, I.; McCulloch, R.D. Mid-Holocene strengthening of the southern westerlies in South America—Sedimentological evidences from Lago Cardiel, Argentina (49 °S). Glob. Planet. Change 2005, 49, 75–93. [Google Scholar] [CrossRef]
- Tonello, M.S.; Mancini, M.V.; Sepp¨a, H. Quantitative reconstruction of Holocene precipitation changes in southern Patagonia. Quatern. Res. 2009, 72, 410–420. [Google Scholar] [CrossRef]
- Iglesias, V.; Haberle, S.G.; Holz, A.; Whitlock, C. Holocene dynamics of temperate rainforests in West-Central Patagonia. Front. Ecol. Evol. 2018, 5, 177. [Google Scholar] [CrossRef]
- de Porras, M.E.; Mancini, M.V.; Prieto, A.R. Vegetation changes and human occupation in the Patagonian steppe, Argentina, during the late Holocene. Veg. Hist. Archaeobot. 2009, 18, 235–244. [Google Scholar] [CrossRef]
- Echeverría, M.E.; Bamonte, F.P.; Marcos, M.A.; Sottile, G.D.; Mancini, M.V. Palaeohydric balance variations in eastern Andean environments in southern Patagonia (48°–52.5°S): Major trends and forcings during the last ca. 8000 cal yrs BP. Rev. Palaeobot. Palynol. 2017, 246, 242–250. [Google Scholar] [CrossRef]
- Waldmann, N.D.; Ariztegui, D.; Anselmetti, F.S.; Austin, J.A., Jr.; Moy, C.M.; Stern, C.; Recasens, C.; Dunbar, R.B. Holocene climatic fluctuations and positioning of the Southern Hemisphere westerlies in Tierra del Fuego (54° S), Patagonia. J. Quat. Sci. 2010, 25, 1063–1075. [Google Scholar] [CrossRef]
- Schimpf, D.; Kilian, R.; Kronz, A.; Simon, K.; Spötl, C.; Wörner, G.; Deininger, M.; Mangini, A. The significance of chemical, isotopic, and detrital components in three coeval stalagmites from the super-humid southernmost Andes (53°S) as high-resolution palaeo-climate proxies. Quat. Sci. Rev. 2011, 30, 443–459. [Google Scholar] [CrossRef]





| CODE LAB | DEPTH cm | AGE 14C | CAL YEARS BP | REFERENCES | |
|---|---|---|---|---|---|
| CMN1 | [41,42] | ||||
| UGAMS 4019 | Layer 4 | 1950 ± 30 | 1841 | ||
| UGAMS 4022 | Layer 5 | 2530 ± 170 | 2539 | ||
| UGAMS 1654 | Layer 7 | 5160 ± 50 | 5800 | ||
| UGAMS4020 | Layer 8 | 7790 ± 30 | 8500 | ||
| LF | [19] | ||||
| DAMMS-028033 | 6 | 2959 ± 39 | 3059 | ||
| DAMMS-024153 | 14 | 3387 ± 29 | 3583 | ||
| DAMMS-024152 | 22 | 4225 ± 29 | 4721 | ||
| UGAMS-A26640 | 31 | 4771 ± 25 | 5475 | ||
| UGAMS-A26641 | 41 | 5350 ± 26 | 6086 | ||
| UGAMS-A26649 | 51 | 6081 ± 26 | 6886 | ||
| DAMMS-014679 | 63 | 6610 ± 33 | 7471 | ||
| ZB | [20] | ||||
| DAMS-028827 | 35 | 264 ± 25 | 286 | ||
| DAMS-028031 | 51 | 843 ± 23 | 709 | ||
| DAMS- 028032 | 72 | 1722 ± 24 | 1580 | ||
| DAMS-028826 | 100 | 2188 ± 24 | 2245 | ||
| DAMS-014678 | 120 | 2845 ± 29 | 2841 | ||
| COCU | [20] | ||||
| CODE LAB | DEPTH cm | AGE 14C | CAL YEARS BP | ||
| UGAMS-5883 | Layer 2 | 460 ± 20 | 493 | ||
| UGAMS-5884 | Layer 3 | 2080 ± 20 | 2040 | ||
| CMN2 | [41] | ||||
| UGAMS 5881 | Layer 4 | 945 ± 15 | 1020 | ||
| UGAMS 5882 | Layer 7 | 1600 ± 20 | 1448 | ||
| MLTap | |||||
| DAMS-054065 | 24 | 595 ± 15 | 548 | [58] | |
| DAMS-046908 | 64 | 2448 ± 20 | 2594 | ||
| DAMS-046907 | 108 | 2550 ± 20 | 2738 | ||
| DAMS-054066 | 139 | 4173 ± 26 | 4681 | ||
| Cisne 7 | New data | ||||
| UGAMS 5880 | Layer 2 | 2140 ± 20 | 2117 | ||
| UGAMS 5879 | Layer 3 | 3070 ± 25 | 3236 |
Disclaimer/Publisher’s Note: The statements, opinions and data contained in all publications are solely those of the individual author(s) and contributor(s) and not of MDPI and/or the editor(s). MDPI and/or the editor(s) disclaim responsibility for any injury to people or property resulting from any ideas, methods, instructions or products referred to in the content. |
© 2025 by the authors. Licensee MDPI, Basel, Switzerland. This article is an open access article distributed under the terms and conditions of the Creative Commons Attribution (CC BY) license (https://creativecommons.org/licenses/by/4.0/).
Share and Cite
Marcos, M.A.; Bamonte, F.P.; Echeverria, M.E. Holocene Paleoenvironmental Reconstruction at 47° S (Patagonia, Argentina) from Sedimentary Sequences (Fens and Lagoon) and Archaeological Sites: A Regional Synthesis. Foss. Stud. 2025, 3, 15. https://doi.org/10.3390/fossils3040015
Marcos MA, Bamonte FP, Echeverria ME. Holocene Paleoenvironmental Reconstruction at 47° S (Patagonia, Argentina) from Sedimentary Sequences (Fens and Lagoon) and Archaeological Sites: A Regional Synthesis. Fossil Studies. 2025; 3(4):15. https://doi.org/10.3390/fossils3040015
Chicago/Turabian StyleMarcos, Maria A., Florencia P. Bamonte, and Marcos E. Echeverria. 2025. "Holocene Paleoenvironmental Reconstruction at 47° S (Patagonia, Argentina) from Sedimentary Sequences (Fens and Lagoon) and Archaeological Sites: A Regional Synthesis" Fossil Studies 3, no. 4: 15. https://doi.org/10.3390/fossils3040015
APA StyleMarcos, M. A., Bamonte, F. P., & Echeverria, M. E. (2025). Holocene Paleoenvironmental Reconstruction at 47° S (Patagonia, Argentina) from Sedimentary Sequences (Fens and Lagoon) and Archaeological Sites: A Regional Synthesis. Fossil Studies, 3(4), 15. https://doi.org/10.3390/fossils3040015

