Skyrmion Dynamics in a Double-Disk Geometry under an Electric Current: Part Two
Abstract
:1. Introduction
2. Theoretical Model
3. Results
3.1. Static Behavior
3.2. Dynamic Regime
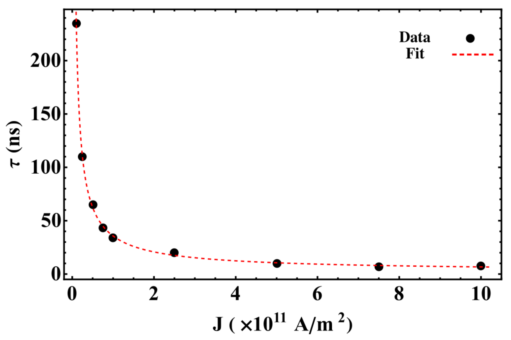
- Convergence to stagnation: In this regime, the balance between the restoration, STT, and inter-skyrmions forces allows each skyrmion to reach stagnation points after a brief transient. This behavior was previously reported in asymmetric circular-STNO devices [38] and is illustrated in Figure 3a. This regime appears for small J and , and is characterized by the stagnation angle shown in Figure 3b, which illustrates this angle that characterizes the equilibrium position of both skyrmions as a function of J for and . From this figure, we observe that increases with J, reaching a critical value, , that depends on . For , no more stagnation points were obtained for each . We can notice that obeys different power laws, as a function of J depending on . For instance, at , we find that . The stagnation points can be also analyzed from the transient time, , necessary so that the skyrmions may reach their equilibrium positions. In this case, we studied the behavior of as a function of the current density for an interconnected disk with . The obtained results are depicted in Figure 4, where we notice a decrease in the transient time as the electric current increases. This behavior can be explained by the low skyrmion precession velocity due to the unbalanced forces for small current densities. That is, the increase in the skyrmion velocity as a function of the current density yields a smaller time by which the skyrmions reach their equilibrium positions.
- Oscillatory motion: In this regime, both skyrmions keep precessing following different types of trajectories. Three examples of these trajectories are shown in Figure 5. This behavior occurs for small and A/m2, resulting from the strength of the STT force, which creates a restoration force that prevents the annihilation of skyrmions at the borders of the double-disk structure.The specific trajectory followed by the skyrmions depends on J and and results from the balance between the restoration, STT, and skyrmion–skyrmion interaction forces. Examples of the dynamical behaviors for , , and (from top to bottom) at are depicted in Figure 5. For each value of the electric current, we show the trajectory in the phase space, the time series of the component, and the corresponding global fast Fourier transform (FFT) for one skyrmion calculated as follows , where is the FFT of the -component. Note that it is only needed to present the FFT of one skyrmion, since the other is identical. In the upper panels, at A/m2, we can observe that each skyrmion precesses around its electrode. Moreover, the time series show that the trajectories are anti-synchronized because when the x component of one of the skyrmions is at its maximum value, the other is at its minimum value. The same behavior is observed for the y components. From the FFT, it is clear that states are multi-periodic, with the main peak at GHz. The intermediate panels show the trajectories for . Here, we can observe that the skyrmion motions are periodic with the principal frequency at GHz, such that they are confined to the region between the electrodes. Again, the trajectories are anti-synchronized in the x and y components. Finally, the bottom panels of Figure 5 show periodic motions for A/m2, with the principal frequency at GHz. In contrast to the previous cases, the phase space plot shows that both skyrmions rotate around the region outside the electrodes, with a phase shift between them, as shown in the time series.
- Annihilation: Annihilation regimes are characterized by at least one skyrmion annihilation after a transient time. We highlight here that two different final states are related to this regime. In the first one, called total annihilation, both skyrmions annihilate, and the disks exhibit anti-parallel (Figure 6a) or parallel (Figure 6b) saturated magnetization, and if the current is high enough, once the borders of the skyrmion touch the edges of the disk, the skyrmion is quickly annihilated. A different behavior corresponds to what we call partial annihilation, which consists of the annihilation of just one skyrmion, and the other keeps oscillating around the electrode (Figure 6c), or close to the center of the double-disk system (Figure 6d). It is important to notice that if a low current is injected during the annihilation processes (global or partial), it is possible to create a domain wall at the center of the system that creates two domains with anti-parallel magnetization (Figure 6a,c). However, as in figures, for higher currents, such as A/m2. Figure 6b,d, creating a domain wall is no longer possible, and the magnetization in both disks after the annihilation process is parallel. Videos of the different annihilation processes are included as Supplementary Materials.




4. Conclusions
Supplementary Materials
Author Contributions
Funding
Institutional Review Board Statement
Informed Consent Statement
Data Availability Statement
Acknowledgments
Conflicts of Interest
Abbreviations
| DMI | Dzyaloshinskii–Moriya Interaction |
| STNO | Spin Torque Nano-Oscillator |
| STT | Spin-Transfer Torque |
| LLGS | Landau–Lifshitz–Gilbert–Slonczewski |
| J | Electric Current Density |
| FFT | Fast Fourier Transformation |
| SD | State Diagram |
References
- Qi, X.-L.; Zhang, S.-C. The quantum spin Hall effect and topological insulators. Phys. Today 2010, 63, 33. [Google Scholar] [CrossRef] [Green Version]
- Hasan, M.Z.; Kane, C.L. Colloquium: Topological insulators. Rev. Mod. Phys. 2010, 82, 3045. [Google Scholar] [CrossRef] [Green Version]
- Qi, X.-L.; Zhang, S.-C. Topological insulators and superconductors. Rev. Mod. Phys. 2011, 83, 1057. [Google Scholar] [CrossRef] [Green Version]
- Ando, Y. Topological Insulator Materials. J. Phys. Soc. Jpn. 2013, 82, 102001. [Google Scholar] [CrossRef] [Green Version]
- Teixeira, A.W.; Carvalho-Santos, V.L.; Fonseca, J.M. Effective potential for emergent Majorana fermions in superconductor systems. Phys. Lett. A 2020, 384, 126182. [Google Scholar] [CrossRef] [Green Version]
- Rajaraman, R. Solitons and Instantons; North-Holland: Amsterdam, The Netherland, 1984. [Google Scholar]
- Leonov, A.O.; Kézsmárki, I. Asymmetric isolated skyrmions in polar magnets with easy-plane anisotropy. Phys. Rev. B 2017, 96, 014423. [Google Scholar] [CrossRef] [Green Version]
- Moon, K.-W.; Yoon, J.; Kim, C.; Hwang, C. Existence of in-Plane Magnetic Skyrmion and its Motion under Current Flow. Phys. Rev. Appl. 2019, 12, 064054. [Google Scholar] [CrossRef] [Green Version]
- Zhang, X.; Xia, J.; Shen, L.; Ezawa, M.; Tretiakov, O.A.; Zhao, G.; Liu, X.; Zhou, Y. Static and dynamic properties of bimerons in a frustrated ferromagnetic monolayer. Phys. Rev. B 2020, 101, 144435. [Google Scholar] [CrossRef]
- Araújo, A.S.; Lopes, R.J.C.; Carvalho-Santos, V.L.; Pereira, A.R.; Silva, R.L.; Silva, R.C.; Altbir, D. Typical skyrmions versus bimerons: A long-distance competition in ferromagnetic racetracks. Phys. Rev. B 2020, 102, 104409. [Google Scholar] [CrossRef]
- Bogdanov, A.; Hubert, A. Thermodynamically stable magnetic vortex states in magnetic crystals. J. Magn. Magn. Mater. 1994, 138, 255–269. [Google Scholar] [CrossRef]
- Kézsmarki, I.; Bordács, S.; Milde, P.; Neuber, E.; Eng, L.M.; White, J.S.; Ronnow, H.M.; Dewhurst, C.D.; Mochizuki, M.; Yanai, K.; et al. Néel-type skyrmion lattice with confined orientation in the polar magnetic semiconductor GaV4S8. Nat. Mater. 2015, 14, 1116. [Google Scholar] [CrossRef] [PubMed] [Green Version]
- Amaral, M.A.; Silva, R.L.; Pereira, A.R.; Moura-Melo, W.A. Discrete double core skyrmions in magnetic thin films. J. Magn. Magn. Mater. 2009, 321, 3360. [Google Scholar] [CrossRef]
- Thiaville, A.; Rohart, S.; Jué Cros, V.; Fert, A. Dynamics of Dzyaloshinskii domain walls in ultrathin magnetic films. Europhys. Lett. 2012, 100, 57002. [Google Scholar] [CrossRef] [Green Version]
- Dzyaloshinskii, I.E. A thermodynamic theory of “weak” ferromagnetism of antiferromagnetics. J. Phys. Chen. Solids 1958, 4, 241. [Google Scholar] [CrossRef]
- Moriya, T. Anisotropic Superexchange Interaction and Weak Ferromagnetism. Phys. Rev. 1960, 120, 91. [Google Scholar] [CrossRef] [Green Version]
- Okubo, T.; Chung, S.; Kawamura, H. Multiple-q states and the skyrmion lattice of the triangular-lattice Heisenberg antiferromagnet under magnetic fields. Phys. Rev. Lett. 2012, 108, 017206. [Google Scholar] [CrossRef] [PubMed] [Green Version]
- Leonov, A.O.; Mostovoy, M. Multiply periodic states and isolated skyrmions in an anisotropic frustrated magnet. Nat. Commun. 2015, 6, 8275. [Google Scholar] [CrossRef] [Green Version]
- Rutonjski, M.S.; Pantic, M.R.; Pavkov-Hrvojevic, M.V. Effects of frustation and Dzyaloshinskii-Moriya interaction on the spin-1/2 anisotropic Heisenberg antiferromagnet with the application to La2CuO4. Phys. Status Solidi B 2020, 258, 2000508. [Google Scholar] [CrossRef]
- Vidal-Silva, N.; Riveros, A.; Tejo, F.; Escrig, J.; Altbir, D. Controlling the nucleation and annihilation of skyrmions with magnetostatic interactions. Appl. Phys. Lett. 2019, 115, 082405. [Google Scholar] [CrossRef]
- Castillo-Sepúlveda, S.; Corona, R.M.; Nú nez, A.S.; Altbir, D. Twisted skyrmions through dipolar interactions. J. Magn. Magn. Mater. 2015, 484, 451–455. [Google Scholar] [CrossRef]
- Kravchuk, V.P.; Röβler, U.K.; Volkov, O.M.; Sheka, D.D.; van den Brink, J.; Makarov, D.; Fuchs, H.; Fangohr, H.; Gaididei, Y. Topologically stable magnetization states on a spherical shell: Curvature-stabilized skyrmions. Phys. Rev. B 2016, 94, 144402. [Google Scholar] [CrossRef] [Green Version]
- Yang, J.; Abert, C.; Suess, D.; Kim, S.-K. Intrinsic DMI-free skyrmion formation and robust dynamic behaviors in magnetic hemispherical shells. Sci. Rep. 2021, 11, 3886. [Google Scholar] [CrossRef] [PubMed]
- Carvalho-Santos, V.L.; Corona, R.M.; Altbir, D.; Castillo-Sepúlveda, S. Shifts in the skyrmion stabilization due to curvature effects in dome- and antidome-shaped surfaces. Phys. Rev. B 2020, 102, 024444. [Google Scholar] [CrossRef]
- Sampaio, J.; Cros, V.; Rohart, S.; Thiaville, A.; Fert, A. Nucleation, stability and current-induced motion of isolated magnetic skyrmions in nanostructures. Nat. Nanotechnol. 2013, 8, 839–844. [Google Scholar] [CrossRef]
- Parkin, S.; Yang, S.-H. Memory on the racetrack. Nat. Nanotechnol. 2015, 10, 195–198. [Google Scholar] [CrossRef] [PubMed]
- Fert, A.; Reyren, N.; Cros, V. Magnetic skyrmions: Advances in physics and potential applications. Nature 2017, 2, 17031. [Google Scholar] [CrossRef] [Green Version]
- Romming, N.; Hanneken, C.; Menzel, M.; Bickel, J.E.; Wolter, B.; von Bergmann, K.; Kubetzka, A.; Wiesendanger, R. Writing and deleting single magnetic skyrmions. Science 2013, 341, 636–639. [Google Scholar] [CrossRef] [Green Version]
- Moon, K.W.; Kim, D.H.; Je, S.G.; Chun, B.S.; Kim, W.D.; Qui, Z.Q.; Choe, S.B.; Hwang, C.Y. Skyrmion motion driven by oscillating magnetic field. Sci. Rep. 2016, 6, 20360. [Google Scholar] [CrossRef] [Green Version]
- Dai, Y.Y.; Wang, H.; Yang, T.; Zhang, Z.D. Resonant excitation of coupled skyrmions by spin-transfer torque. Int. J. Mod. Phys. B 2016, 30, 1550254. [Google Scholar] [CrossRef]
- Zhang, S.; Wang, J.; Zheng, Q.; Zhu, Q.; Liu, X.; Chen, S.; Jin, C.; Liu, Q.; Jia, C.; Xue, D. Current-induced magnetic skyrmions oscillator. New J. Phys. 2015, 17, 023061. [Google Scholar] [CrossRef]
- Garcia-Sanchez, F.; Sampaio, J.; Reyren, N.; Cros, V.; Kim, J.-V. A skyrmion-based spin-torque nano-oscillator. New J. Phys. 2016, 18, 075011. [Google Scholar] [CrossRef]
- Lin, S.-Z.; Reichhardt, C.; Saxena, A. Manipulation of skyrmions in nanodisks with a current pulse and skyrmion rectifier. Appl. Phys. Lett. 2013, 102, 222405. [Google Scholar] [CrossRef] [Green Version]
- Komineas, S.; Papanicolaou, N. Skyrmion dynamics in chiral ferromagnets. Phys. Rev. B 2015, 92, 064412. [Google Scholar] [CrossRef] [Green Version]
- Jin, C.; Ma, Y.; Song, C.; Xia, H.; Wang, J.; Zhang, C.; Zeng, Z.; Wang, J.; Liu, Q. High-frequency spin transfer nano-oscillator based on the motion of skyrmions in an annular groove. New J. Phys. 2020, 22, 033001. [Google Scholar] [CrossRef]
- Gobel, B.; Henk, J.; Mertig, I. A ferromagnetic skyrmion-based nano-oscillator with modified profile of Dzyaloshinskii-Moriya interaction. Sci. Rep. 2019, 9, 9521. [Google Scholar] [PubMed] [Green Version]
- Castillo-Sepúlveda, S. Appearance of stagnation points in skyrmion-based STNO due to geometric asymmetries. J. Magn. Magn. Mater. 2020, 503, 166589. [Google Scholar] [CrossRef]
- Castillo-Sepúlveda, S.; Vélez, J.A.; Corona, R.M.; Carvalho-Santos, V.L.; Laroze, D.; Altbir, D. Skyrmion dynamics in a double-disk geometry under an electric current. Nanomaterials 2022, 12, 3086. [Google Scholar] [CrossRef]
- Capic, D.; Garanin, D.A.; Chudnovsky, E.M. Skyrmion-skyrmion interaction in a magnetic film. J. Phys. Condens. Matter. 2020, 32, 415803. [Google Scholar] [CrossRef] [PubMed]
- Bogdanov, A. New localized solutions of the nonlinear field equations. JETP Lett. 1995, 62, 247–251. [Google Scholar]
- Robler, U.K.; Leonov, A.A.; Bogdanov, A. Chiral skyrmionic matter in non-centrosymmetric magnets. J. Phys. Conf. Ser. 2011, 303, 012105. [Google Scholar]
- Vansteenkiste, A.; Leliaert, J.; Dvornik, M.; Helsen, M.; Garcia-Sanchez, F.; van Waeyenberge, B. The design and verification of Mumax3. AIP Adv. 2014, 4, 107133. [Google Scholar] [CrossRef] [Green Version]
- Leonov, A.O.; Monchesky, T.L.; Romming, N.; Kubetzka, A.; Bogdanov, A.N.; Wiesendanger, R. The propertie of isolated chiral skyrmions in thin magnetic films. New J. Phys. 2016, 18, 065003. [Google Scholar] [CrossRef]
- Thiele, A.A. Steady-State Motion of Magnetic Domains. Phys. Rev. Lett. 1973, 30, 230. [Google Scholar] [CrossRef]



Publisher’s Note: MDPI stays neutral with regard to jurisdictional claims in published maps and institutional affiliations. |
© 2022 by the authors. Licensee MDPI, Basel, Switzerland. This article is an open access article distributed under the terms and conditions of the Creative Commons Attribution (CC BY) license (https://creativecommons.org/licenses/by/4.0/).
Share and Cite
Castillo-Sepúlveda, S.; Vélez, J.A.; Corona, R.M.; Carvalho-Santos, V.L.; Laroze, D.; Altbir, D. Skyrmion Dynamics in a Double-Disk Geometry under an Electric Current: Part Two. Nanomaterials 2022, 12, 3793. https://doi.org/10.3390/nano12213793
Castillo-Sepúlveda S, Vélez JA, Corona RM, Carvalho-Santos VL, Laroze D, Altbir D. Skyrmion Dynamics in a Double-Disk Geometry under an Electric Current: Part Two. Nanomaterials. 2022; 12(21):3793. https://doi.org/10.3390/nano12213793
Chicago/Turabian StyleCastillo-Sepúlveda, Sebastián, Javier A. Vélez, Rosa M. Corona, Vagson L. Carvalho-Santos, David Laroze, and Dora Altbir. 2022. "Skyrmion Dynamics in a Double-Disk Geometry under an Electric Current: Part Two" Nanomaterials 12, no. 21: 3793. https://doi.org/10.3390/nano12213793
APA StyleCastillo-Sepúlveda, S., Vélez, J. A., Corona, R. M., Carvalho-Santos, V. L., Laroze, D., & Altbir, D. (2022). Skyrmion Dynamics in a Double-Disk Geometry under an Electric Current: Part Two. Nanomaterials, 12(21), 3793. https://doi.org/10.3390/nano12213793

