Pearson Correlation-Based Feature Selection for Document Classification Using Balanced Training
Abstract
1. Introduction
2. Literature Review
3. Proposed Method
3.1. Data Augmentation
| Algorithm 1. Dataset balancing using a secondary dataset |
| Input: |
| Output: |
| Step 1: |
| Step 2: |
| Step 3: |
| Step 4: |
| Step 5: Step 6: |
| return |
3.2. Network Architectures
3.2.1. AlexNet
3.2.2. VGG19
3.3. Feature Fusion and Selection
4. Experimental Results
4.1. Datasets
4.2. Evaluation
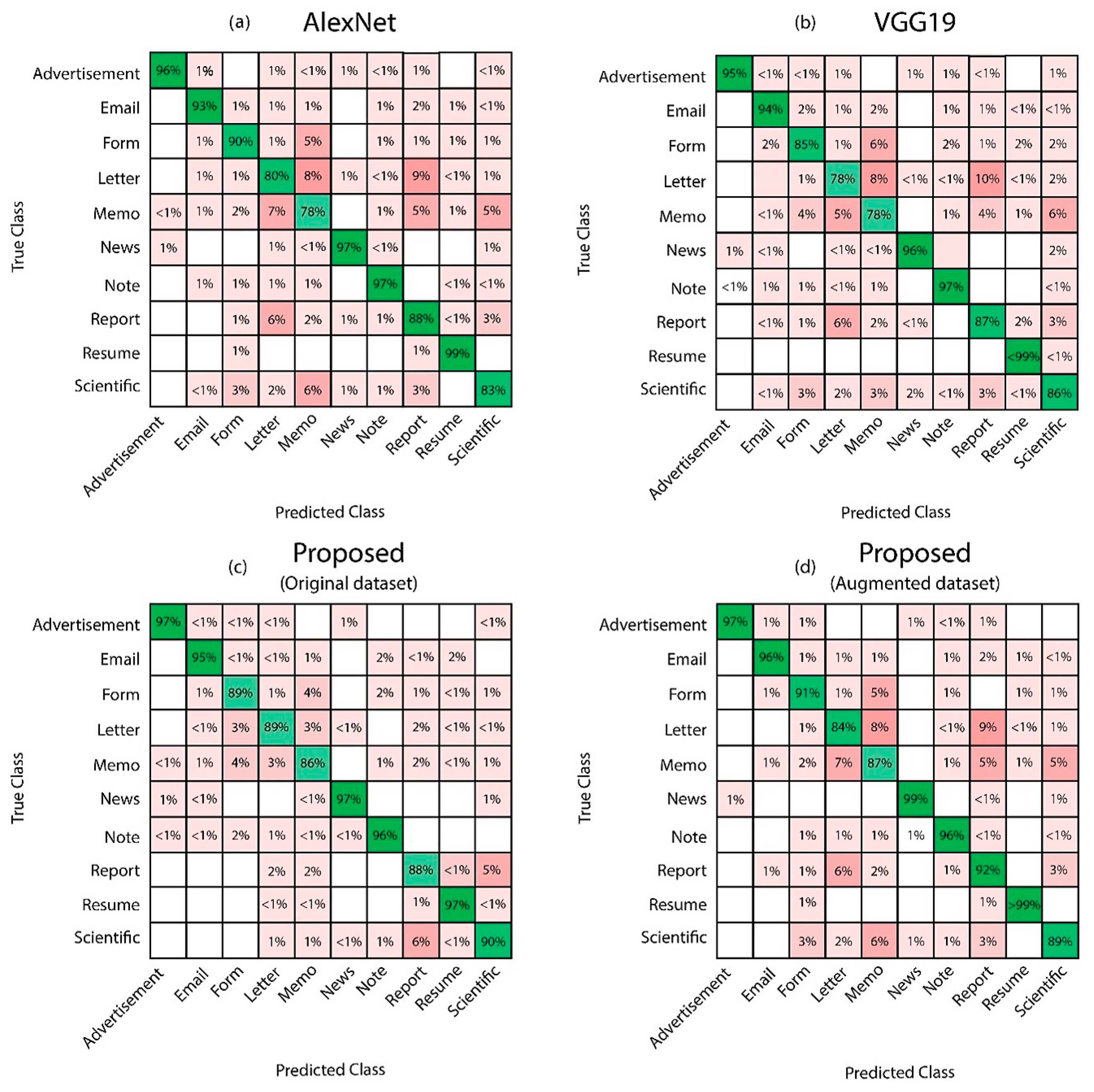
4.3. Classification Results
4.4. Discussion
5. Conclusions
Author Contributions
Funding
Conflicts of Interest
References
- He, S.; Schomaker, L. Beyond OCR: Multi-faceted understanding of handwritten document characteristics. Pattern Recognit. 2017, 63, 321–333. [Google Scholar] [CrossRef]
- Giotis, A.P.; Sfikas, G.; Gatos, B.; Nikou, C. A survey of document image word spotting techniques. Pattern Recognit. 2017, 68, 310–332. [Google Scholar] [CrossRef]
- Chen, K.; Seuret, M.; Liwicki, M.; Hennebert, J.; Ingold, R. Page segmentation of historical document images with convolutional autoencoders. In Proceedings of the 13th International Conference on Document Analysis and Recognition (ICDAR), Tunis, Tunisia, 23–26 August 2015; pp. 1011–1015. [Google Scholar] [CrossRef]
- Samanta, O.; Roy, A.; Parui, S.K.; Bhattacharya, U. An HMM framework based on spherical-linear features for online cursive handwriting recognition. Inf. Sci. 2018, 441, 133–151. [Google Scholar] [CrossRef]
- Noce, L.; Gallo, I.; Zamberletti, A. Query and Product Suggestion for Price Comparison Search Engines based on Query-product Click-through Bipartite Graphs. In Proceedings of the 12th International Conference on Web Information Systems and Technologies, WEBIST 2016, Rome, Italy, 23–25 April 2016; Volume 1, pp. 17–24. [Google Scholar]
- Crowe, J.P. Library Indexing System and Method. U.S. Patent US20150066945A1, 1 January 2019. [Google Scholar]
- Zamberletti, A.; Noce, L.; Gallo, I. Text localization based on fast feature pyramids and multi-resolution maximally stable extremal regions. In Proceedings of the Asian Conference on Computer Vision, ACCV 2014, Singapore, 1–5 November 2014; pp. 91–105. [Google Scholar] [CrossRef]
- Gallo, I.; Zamberletti, A.; Noce, L. Interactive object class segmentation for mobile devices. In Proceedings of the 27th SIBGRAPI Conference on Graphics, Patterns and Images (SIBGRAPI), Rio de Janeiro, Brazil, 26–30 August 2014; pp. 73–79. [Google Scholar] [CrossRef]
- Sauvola, J.; Pietikäinen, M. Adaptive document image binarization. Pattern Recognit. 2000, 33, 225–236. [Google Scholar] [CrossRef]
- Hu, J.; Kashi, R.; Wilfong, G. Comparison and classification of documents based on layout similarity. Inf. Retr. 2000, 2, 227–243. [Google Scholar] [CrossRef]
- Brodić, D.; Milivojević, Z.N. Text skew detection using combined entropy algorithm. Inf. Technol. Control 2017, 46, 308–318. [Google Scholar] [CrossRef]
- Ptak, R.; Żygadło, B.; Unold, O. Projection-based text line segmentation with a variable threshold. Int. J. Appl. Math. Comput. Sci. 2017, 27, 195–206. [Google Scholar] [CrossRef]
- Akhtar, Z.; Lee, J.W.; Khan, M.A.; Sharif, M.; Khan, S.A.; Riaz, N. Optical character recognition (OCR) using partial least square (PLS) based feature reduction: An application to artificial intelligence for biometric identification. J. Enterp. Inf. Manag. 2020. [Google Scholar] [CrossRef]
- Tensmeyer, C.; Martinez, T. Analysis of convolutional neural networks for document image classification. In Proceedings of the 14th IAPR International Conference on Document Analysis and Recognition (ICDAR), Kyoto, Japan, 9–15 November 2017; pp. 388–393. [Google Scholar] [CrossRef]
- Kumar, B.S.; Ravi, V. Text Document Classification with PCA and One-Class SVM. In Proceedings of the 5th International Conference on Frontiers in Intelligent Computing: Theory and Applications, FICTA 2016, Bhubaneswar, India, 16–17 September 2016; pp. 107–115. [Google Scholar] [CrossRef]
- Kipf, T.N.; Welling, M. Semi-supervised classification with graph convolutional networks. In Proceedings of the 5th International Conference on Learning Representations, ICLR 2017, Toulon, France, 24–26 April 2017. [Google Scholar]
- Lenc, L.; Král, P. Deep neural networks for Czech multi-label document classification. In Proceedings of the International Conference on Intelligent Text Processing and Computational Linguistics, Konya, Turkey, 3–9 April 2016; pp. 460–471. [Google Scholar]
- Jiang, X.; Ringwald, M.; Blake, J.A.; Arighi, C.; Zhang, G.; Shatkay, H. An effective biomedical document classification scheme in support of biocuration: Addressing class imbalance. Database 2019, 2019. [Google Scholar] [CrossRef]
- Das, A.; Roy, S.; Bhattacharya, U.; Parui, S.K. Document Image Classification with Intra-Domain Transfer Learning and Stacked Generalization of Deep Convolutional Neural Networks. In Proceedings of the 24th International Conference on Pattern Recognition (ICPR), Beijing, China, 20–24 August 2018; pp. 3180–3185. [Google Scholar] [CrossRef]
- Rashid, M.; Khan, M.A.; Sharif, M.; Raza, M.; Sarfraz, M.M.; Afza, F. Object detection and classification: A joint selection and fusion strategy of deep convolutional neural network and SIFT point features. Multimed. Tools Appl. 2019, 78, 15751–15777. [Google Scholar] [CrossRef]
- Nasir, I.M.; Rashid, M.; Shah, J.H.; Sharif, M.; Awan, M.Y.H.; Alkinani, M.H. An Optimized Approach for Breast Cancer Classification for Histopathological Images Based on Hybrid Feature Set. Curr. Med. Imaging 2020, 16. [Google Scholar] [CrossRef] [PubMed]
- Nasir, I.-M.; Khan, M.A.; Alhaisoni, M.; Saba, T.; Rehman, A.; Iqbal, T.A. Hybrid Deep Learning Architecture for the Classification of Superhero Fashion Products: An Application for Medical-Tech Classification. Comput. Model. Eng. Sci. 2020, 124, 1–9. [Google Scholar] [CrossRef]
- Kapočiūtė-Dzikienė, J.; Damaševičius, R.; Woźniak, M. Sentiment analysis of lithuanian texts using traditional and deep learning approaches. Computers 2019, 8, 4. [Google Scholar] [CrossRef]
- Wei, W.; Ke, Q.; Nowak, J.; Korytkowski, M.; Scherer, R.; Woźniak, M. Accurate and fast URL phishing detector: A convolutional neural network approach. Comput. Netw. 2020, 178, 107275. [Google Scholar] [CrossRef]
- Khan, M.A.; Ashraf, I.; Alhaisoni, M.; Damaševičius, R.; Scherer, R.; Rehman, A.; Bukhari, S.A.C. Multimodal brain tumor classification using deep learning and robust feature selection: A machine learning application for radiologists. Diagnostics 2020, 10, 565. [Google Scholar] [CrossRef] [PubMed]
- Pipiras, L.; Maskeliūnas, R.; Damaševičius, R. Lithuanian Speech Recognition Using Purely Phonetic Deep Learning. Computers 2019, 8, 76. [Google Scholar] [CrossRef]
- Zhang, M.; Jing, W.; Lin, J.; Fang, N.; Wei, W.; Woźniak, M.; Damaševičius, R. NAS-HRIS: Automatic design and architecture search of neural network for semantic segmentation in remote sensing images. Sensors 2020, 20, 5292. [Google Scholar] [CrossRef]
- Nisa, M.; Shah, J.H.; Kanwal, S.; Raza, M.; Khan, M.A.; Damaševičius, R.; Blažauskas, T. Hybrid malware classification method using segmentation-based fractal texture analysis and deep convolution neural network features. Appl. Sci. 2020, 10, 4966. [Google Scholar] [CrossRef]
- Sun, Z.; Lin, D.; Wei, W.; Woźniak, M.; Damasevicius, R. Road detection based on shearlet for GF-3 synthetic aperture radar images. IEEE Access 2020, 8, 28133–28141. [Google Scholar] [CrossRef]
- Bella, F.Z.A.; El Rhabi, M.; Hakim, A.; Laghrib, A. Reduction of the non-uniform illumination using nonlocal variational models for document image analysis. J. Frankl. Inst. 2018, 355, 8225–8244. [Google Scholar] [CrossRef]
- Deng, J.; Dong, W.; Socher, R.; Li, L.-J.; Li, K.; Fei-Fei, L. Imagenet: A large-scale hierarchical image database. In Proceedings of the IEEE Conference on Computer Vision and Pattern Recognition, CVPR 2009, Miami, FL, USA, 20–25 June 2009. [Google Scholar] [CrossRef]
- Russell, B.C.; Torralba, A.; Murphy, K.P.; Freeman, W.T. LabelMe: A database and web-based tool for image annotation. Int. J. Comput. Vis. 2008, 77, 157–173. [Google Scholar] [CrossRef]
- Alom, M.Z.; Taha, T.M.; Yakopcic, C.; Westberg, S.; Sidike, P.; Nasrin, M.S.; Hasan, M.; Van Essen, B.C.; Awwal, A.A.S.; Asari, V.K. A State-of-the-Art Survey on Deep Learning Theory and Architectures. Electronics 2019, 8, 292. [Google Scholar] [CrossRef]
- Li, X.; Zhang, G.; Huang, H.H.; Wang, Z.; Zheng, W. Performance analysis of GPU-based convolutional neural networks. In Proceedings of the International Conference on Parallel Processing, Philadelphia, PA, USA, 16–19 August 2016; pp. 67–76. [Google Scholar] [CrossRef]
- Krizhevsky, A.; Sutskever, I.; Hinton, G.E. Imagenet classification with deep convolutional neural networks. Commun. ACM 2017, 60, 84–90. [Google Scholar] [CrossRef]
- Szegedy, C.; Liu, W.; Jia, Y.; Sermanet, P.; Reed, S.; Anguelov, D.; Rabinovich, A. Going deeper with convolutions. In Proceedings of the IEEE Conference on Computer Vision and Pattern Recognition, Boston, MA, USA, 8–10 June 2015; pp. 1–9. [Google Scholar]
- Zeiler, M.D.; Fergus, R. Visualizing and understanding convolutional networks. In Proceedings of the European Conference on Computer Vision, Zurich, Switzerland, 6–12 September 2014; pp. 818–833. [Google Scholar] [CrossRef]
- Simonyan, K.; Zisserman, A. Very deep convolutional networks for large-scale image recognition. arXiv 2014, arXiv:1409.1556. [Google Scholar]
- He, K.; Zhang, X.; Ren, S.; Sun, J. Deep residual learning for image recognition. In Proceedings of the IEEE Conference on Computer Vision and Pattern Recognition, Las Vegas, NV, USA, 27–30 June 2016; pp. 770–778. [Google Scholar] [CrossRef]
- Blum, A. On-line algorithms in machine learning. In Online Algorithms; Fiat, A., Woeginger, G.J., Eds.; Springer: Berlin/Heidelberg, Germany, 1998; pp. 306–325. [Google Scholar]
- Harley, A.W.; Ufkes, A.; Derpanis, K.G. Evaluation of Deep Convolutional Nets for Document Image Classification and Retrieval. In Proceedings of the 13th International Conference on Document Analysis and Recognition ICDAR 2015, Tunis, Tunisia, 23–26 August 2015; pp. 991–995. [Google Scholar] [CrossRef]
- Stigler, S.M. Francis Galton’s account of the invention of correlation. Stat. Sci. 1989, 4, 73–79. [Google Scholar] [CrossRef]
- Senliol, B.; Gulgezen, G.; Yu, L.; Cataltepe, Z. Fast Correlation Based Filter (FCBF) with a different search strategy. In Proceedings of the 23rd International Symposium on Computer and Information Sciences, ISCIS’08, Istanbul, Turkey, 27–29 October 2008; pp. 1–4. [Google Scholar] [CrossRef]
- Afzal, M.Z.; Capobianco, S.; Malik, M.I.; Marinai, S.; Breuel, T.M.; Dengel, A.; Liwicki, M. Deepdocclassifier: Document classification with deep convolutional neural network. In Proceedings of the 13th International Conference on Document Analysis and Recognition (ICDAR), Tunis, Tunisia, 23–26 August 2015; pp. 1111–1115. [Google Scholar] [CrossRef]
- Kölsch, A.; Afzal, M.Z.; Ebbecke, M.; Liwicki, M. Real-time document image classification using deep CNN and extreme learning machines. In Proceedings of the 14th IAPR International Conference on Document Analysis and Recognition (ICDAR), Kyoto, Japan, 9–15 November 2017. [Google Scholar] [CrossRef]
- Afzal, M.Z.; Kölsch, A.; Ahmed, S.; Liwicki, M. Cutting the error by half: Investigation of very deep cnn and advanced training strategies for document image classification. In Proceedings of the 14th IAPR International Conference on Document Analysis and Recognition (ICDAR), Kyoto, Japan, 9–15 November 2017. [Google Scholar] [CrossRef]
- Sarkhel, R.; Nandi, A. Deterministic routing between layout abstractions for multi-scale classification of visually rich documents. In Proceedings of the 28th International Joint Conference on Artificial Intelligence, Macao, China, 10–16 August 2019; pp. 3360–3366. [Google Scholar]
- Wiedemann, G.; Heyer, G. Multi-modal page stream segmentation with convolutional neural networks. Lang. Resour. Eval. 2019, 1–24. [Google Scholar] [CrossRef]
- Lewis, D.; Agam, G.; Argamon, S.; Frieder, O.; Grossman, D.; Heard, J. Building a test collection for complex document information processing. In Proceedings of the 29th Annual Int. ACM SIGIR Conference (SIGIR 2006), Seattle, WA, USA, 6–11 August 2006; pp. 665–666. [Google Scholar]
- Arshad, H.; Khan, M.A.; Sharif, M.I.; Yasmin, M.; Tavares, J.M.R.S.; Zhang, Y.-D.; Satapathy, S.C. A multilevel paradigm for deep convolutional neural network features selection with an application to human gait recognition. Expert Syst. 2020, e12541. [Google Scholar] [CrossRef]
- Khan, M.A.; Zhang, Y.-D.; Khan, S.A.; Attique, M.; Rehman, A.; Seo, S. A resource conscious human action recognition framework using 26-layered deep convolutional neural network. Multimed. Tools Appl. 2020, 1–23. [Google Scholar] [CrossRef]
- Khan, M.A.; Sharif, M.I.; Raza, M.; Anjum, A.; Saba, T.; Shad, S.A. Skin lesion segmentation and classification: A unified framework of deep neural network features fusion and selection. Expert Syst. 2019, e12497. [Google Scholar] [CrossRef]
- Khan, M.A.; Akram, T.; Sharif, M.; Javed, K.; Rashid, M.; Bukhari, S.A.A. An integrated framework of skin lesion detection and recognition through saliency method and optimal deep neural network features selection. Neural Comput. Appl. 2020, 32, 15929–15948. [Google Scholar] [CrossRef]







| Variable | Description | Variable | Description |
|---|---|---|---|
| Threshold Value | Sum of images in the ith class | ||
| Difference between the threshold and the sum of a single class | |||
| Tobacco3482 dataset | RVL-CDIP dataset | ||
| Balanced Dataset | Input from the previous neuron | ||
| Output of the current neuron | Weight of the connection between ath and bth neuron | ||
| Activation function | DCNN features of AlexNet | ||
| DCNN features of VGG19 | The merit of feature subset having features | ||
| Feature-classification correlations | Feature-feature correlations | ||
| ith feature | ith weight |
| Classes in Tobacco3482 | # of Images before Augmentation | # of Images after Augmentation | Classes in RVL-CDIP |
|---|---|---|---|
| Advertisement | 230 | 620 | Advertisement |
| 599 | 620 | ||
| Form | 431 | 620 | Form |
| Letter | 567 | 620 | Letter |
| Memo | 620 | 620 | Memo |
| News | 188 | 620 | News Article |
| Note | 201 | 620 | Handwritten |
| Report | 265 | 620 | Scientific Report |
| Resume | 180 | 620 | Resume |
| Scientific | 261 | 620 | Scientific Publication |
| Method | Experiments | Performance Measures | |||||
|---|---|---|---|---|---|---|---|
| AlexNet | VGG-19 | Proposed (Original Dataset) | Proposed (Augmented Dataset) | Accuracy (%) | FNR (%) | Training Time (s) | |
| C-SVM | √ | 90.1 | 9.0 | 670.8 | |||
| √ | 89.6 | 10.4 | 947.3 | ||||
| √ | 92.2 | 7.8 | 329.5 | ||||
| √ | 93.1 | 6.9 | 364.1 | ||||
| Linear Discriminant | √ | 79.7 | 20.3 | 772.5 | |||
| √ | - | - | - | ||||
| √ | 82.4 | 17.6 | 593.2 | ||||
| √ | 84.0 | 16.0 | 659.9 | ||||
| L-SVM | √ | 81.6 | 18.4 | 1731.7 | |||
| √ | 79.0 | 21.0 | 2198.9 | ||||
| √ | 81.8 | 18.2 | 971.3 | ||||
| √ | 84.3 | 15.7 | 1170.2 | ||||
| Q-SVM | √ | 89.6 | 10.4 | 742.2 | |||
| √ | 87.1 | 12.9 | 1996.0 | ||||
| √ | 87.4 | 12.6 | 582.6 | ||||
| √ | 91.8 | 8.2 | 625.2 | ||||
| F-KNN | √ | 87.1 | 12.9 | 846.8 | |||
| √ | 83.7 | 16.3 | 1720.9 | ||||
| √ | 85.0 | 15.0 | 742.6 | ||||
| √ | 89.5 | 10.5 | 872.9 | ||||
| M-KNN | √ | 73.8 | 26.2 | 744.9 | |||
| √ | 65.5 | 34.5 | 1920.3 | ||||
| √ | 73.9 | 26.1 | 621.1 | ||||
| √ | 76.5 | 23.5 | 767.4 | ||||
| C-KNN | √ | 74.0 | 26.0 | 1604.8 | |||
| √ | 65.9 | 34.1 | 4147.5 | ||||
| √ | 72.8 | 27.2 | 598.4 | ||||
| √ | 76.4 | 23.6 | 719.1 | ||||
| W-KNN | √ | 87.1 | 12.9 | 951.4 | |||
| √ | 83.0 | 17.0 | 2393.5 | ||||
| √ | 84.3 | 15.7 | 687.2 | ||||
| √ | 88.7 | 11.3 | 746.9 | ||||
| Subspace Discriminant | √ | 89.5 | 10.3 | 5305.0 | |||
| √ | 87.5 | 12.5 | 6304.3 | ||||
| √ | 88.3 | 11.7 | 1716.8 | ||||
| √ | 89.7 | 10.3 | 2079.2 | ||||
| Subspace KNN | √ | 87.0 | 13.0 | 2498.6 | |||
| √ | 83.2 | 16.8 | 2508.9 | ||||
| √ | 86.9 | 13.1 | 1958.2 | ||||
| √ | 89.4 | 10.6 | 2398.9 | ||||
| Classifier | Performance Measures | |||||
|---|---|---|---|---|---|---|
| Sensitivity (%) | Precision (%) | AuC (%) | FNR (%) | Accuracy (%) | Training Time (s) | |
| C-SVM | 91.6 | 91.6 | 99.3 | 8.50 | 91.5 | 3037.7 |
| Linear Discriminant | 81.2 | 81.3 | 89.7 | 18.7 | 81.3 | 3055.7 |
| L-SVM | 84.5 | 84.8 | 98.1 | 15.6 | 84.4 | 2861.1 |
| Q-SVM | 90.3 | 90.3 | 99.0 | 9.70 | 90.3 | 2989.4 |
| F-KNN | 86.7 | 87.0 | 92.6 | 13.2 | 86.8 | 2176.9 |
| M-KNN | 75.0 | 76.3 | 95.5 | 24.9 | 75.1 | 2176.7 |
| C-KNN | 74.5 | 76.0 | 95.3 | 25.5 | 74.5 | 5307.6 |
| W-KNN | 86.9 | 87.4 | 98.5 | 13.0 | 87.0 | 2174.4 |
| Subspace Discriminant | 86.1 | 86.2 | 98.5 | 13.7 | 86.3 | 8794.6 |
| Subspace KNN | 86.9 | 87.0 | 95.5 | 13.0 | 87.0 | 3876.5 |
| Method | Min (%) | Avg (%) | Max (%) | |||
|---|---|---|---|---|---|---|
| C-SVM | 90.7 | 91.45 | 92.2 | 0.75 | 0.5303 | 91.45 ± 1.039 (±1.14%) |
| LD | 79.4 | 80.90 | 82.4 | 1.5 | 1.0606 | 80.9 ± 2.079 (±2.57%) |
| L-SVM | 78.3 | 80.05 | 81.8 | 1.75 | 1.2374 | 80.05 ± 2.425 (±3.03%) |
| Q-SVM | 84.8 | 86.10 | 87.4 | 1.3 | 0.9192 | 86.1 ± 1.802 (±2.09%) |
| F-KNN | 83.2 | 84.10 | 85.0 | 0.9 | 0.6363 | 84.1 ± 1.247 (±1.48%) |
| M-KNN | 70.6 | 72.25 | 73.9 | 1.65 | 1.6670 | 72.25 ± 2.87 (±3.17%) |
| C-KNN | 71.1 | 71.95 | 72.8 | 0.85 | 0.6010 | 71.95 ± 1.178 (±1.64%) |
| W-KNN | 81.6 | 82.95 | 84.3 | 1.35 | 0.9545 | 82.95 ± 1.871 (±2.26%) |
| ESDA | 85.4 | 86.85 | 88.3 | 1.45 | 1.0253 | 86.85 ± 2.010 (±2.31%) |
| ESKNN | 83.2 | 85.05 | 86.9 | 1.85 | 1.3081 | 85.05 ± 2.564 (±3.01%) |
| Method | Min (%) | Avg (%) | Max (%) | |||
|---|---|---|---|---|---|---|
| C-SVM | 92.3 | 92.7 | 93.1 | 0.4 | 0.2828 | 92.7 ± 0.554 (±0.60%) |
| LD | 81.7 | 82.8 | 84.0 | 1.15 | 0.8131 | 82.85 ± 1.594 (±1.92%) |
| L-SVM | 82.6 | 83.4 | 84.3 | 0.85 | 0.6010 | 83.45 ± 1.178 (1.41%) |
| Q-SVM | 89.4 | 90.6 | 91.8 | 1.2 | 0.8485 | 90.6 ± 1.663 (±1.84%) |
| F-KNN | 87.1 | 88.3 | 89.5 | 1.2 | 0.8485 | 88.3 ± 1.663 (±1.88%) |
| M-KNN | 73.8 | 75.1 | 76.5 | 1.35 | 0.9545 | 75.1 ± 1.871 (±2.59%) |
| C-KNN | 73.6 | 75.1 | 76.4 | 1.4 | 0.9899 | 75.0 ± 1.940 (±2.59%) |
| W-KNN | 84.9 | 86.8 | 88.7 | 1.9 | 1.3435 | 86.8 ± 2.633 (±3.03%) |
| ESDA | 85.7 | 87.7 | 89.7 | 2.0 | 1.4142 | 87.7 ± 2.772 (±3.16%) |
| ESKNN | 86.3 | 87.8 | 89.4 | 1.55 | 1.0969 | 87.85 ± 2.148 (±2.45%) |
| Paper | Dataset | Accuracy (%) | Training Time (s) | Prediction Time (s) |
|---|---|---|---|---|
| Afzal et al. [44] | Tobacco3482 | 77.6 | - | - |
| Kölsch et al. [45] | Tobacco3482 | 83.24 | - | - |
| Afzal et al. [46] | Tobacco3482 | 91.13 | - | - |
| Sarkhel & Nandi [47] | Tobacco3482 | 82.78 | - | - |
| Wiedemann & Heyer [48] | Tobacco-800 | 93 | - | - |
| Proposed | Primary: Tobacco3482 Secondary: RVL-CDIP | AlexNet: 90.1 | 670.8 | 2.34 |
| VGG19: 89.6 | 947.3 | 3.95 | ||
| Original: 92.2 | 329.5 | 1.62 | ||
| Augmented: 93.1 | 364.1 | 0.78 |
Publisher’s Note: MDPI stays neutral with regard to jurisdictional claims in published maps and institutional affiliations. |
© 2020 by the authors. Licensee MDPI, Basel, Switzerland. This article is an open access article distributed under the terms and conditions of the Creative Commons Attribution (CC BY) license (http://creativecommons.org/licenses/by/4.0/).
Share and Cite
Nasir, I.M.; Khan, M.A.; Yasmin, M.; Shah, J.H.; Gabryel, M.; Scherer, R.; Damaševičius, R. Pearson Correlation-Based Feature Selection for Document Classification Using Balanced Training. Sensors 2020, 20, 6793. https://doi.org/10.3390/s20236793
Nasir IM, Khan MA, Yasmin M, Shah JH, Gabryel M, Scherer R, Damaševičius R. Pearson Correlation-Based Feature Selection for Document Classification Using Balanced Training. Sensors. 2020; 20(23):6793. https://doi.org/10.3390/s20236793
Chicago/Turabian StyleNasir, Inzamam Mashood, Muhammad Attique Khan, Mussarat Yasmin, Jamal Hussain Shah, Marcin Gabryel, Rafał Scherer, and Robertas Damaševičius. 2020. "Pearson Correlation-Based Feature Selection for Document Classification Using Balanced Training" Sensors 20, no. 23: 6793. https://doi.org/10.3390/s20236793
APA StyleNasir, I. M., Khan, M. A., Yasmin, M., Shah, J. H., Gabryel, M., Scherer, R., & Damaševičius, R. (2020). Pearson Correlation-Based Feature Selection for Document Classification Using Balanced Training. Sensors, 20(23), 6793. https://doi.org/10.3390/s20236793

