Energy Optimization in Dual-RIS UAV-Aided MEC-Enabled Internet of Vehicles
Abstract
:1. Introduction
1.1. Background
1.2. Contribution
- A novel dual-MEC IoV architecture is proposed, where a rapidly deployed and dynamically repositioned UAV-based ARSU equipped with a MEC server facilitates the computation offloading and also acts as an intermediate decode-and-forward (DF) aerial relay enabling the communication between vehicles and a GRSU. Full offloading is applied and a trade-off between energy consumption and delay is obtained by efficiently using the computing resources at both ARSU and GRSU.
- In practice, the direct communication links between vehicles (ARSU) and ARSU (GRSU) may be vulnerable to fading and blockage effects due to large objects in the propagation environment. Thus, the proposed architecture leverages a dual-RIS deployment strategy to assist the direct communication. It is considered that one RIS unit is positioned close to the vehicles and a second RIS unit is positioned towards GRSU. Owing to the dynamic and highly mobile vehicular environment, imperfect estimation of the reflection phases is introduced. Hence, wireless transmission via the RIS units with phase errors is assumed. In order to obtain a 3-D realistic geometrical positioning of the vehicles, ARSU, GRSU, and RIS units, while accurately modeling the mobility characteristics, velocity and distance vectors are utilized.
- Moreover, this paper formulates a multi-variable optimization problem to minimize the weighted total energy consumption (WTEC) from both the vehicles and ARSU perspective and elongate their endurance. In this respect, the Lagrange dual method along with a subgradient-based algorithm are leveraged to provide optimal solutions for the transmit power allocation, timeslot scheduling, and task allocation. Moreover, an asymptotic analysis of the WTEC is included as the number of reflecting elements increases. The numerical results illustrate the total computation-based and communication-based delay (TCCD) and WTEC, focus on the benefits of the dual-RIS-based data offloading, and affirm the efficiency of the optimization method.
1.3. Structure
2. System Model
2.1. Geometrical Characteristics and Mobility Model
2.2. Computation Offloading Model
3. Wireless Transmission Model
3.1. Direct Links without RIS Units
3.2. Indirect Links through RIS Units
3.3. Asymptotic Rate
4. Minimization of Energy Consumption
4.1. Problem Formulation
4.2. Problem Solution
| Algorithm 1: Optimal Solution to Problem (P1). |
|
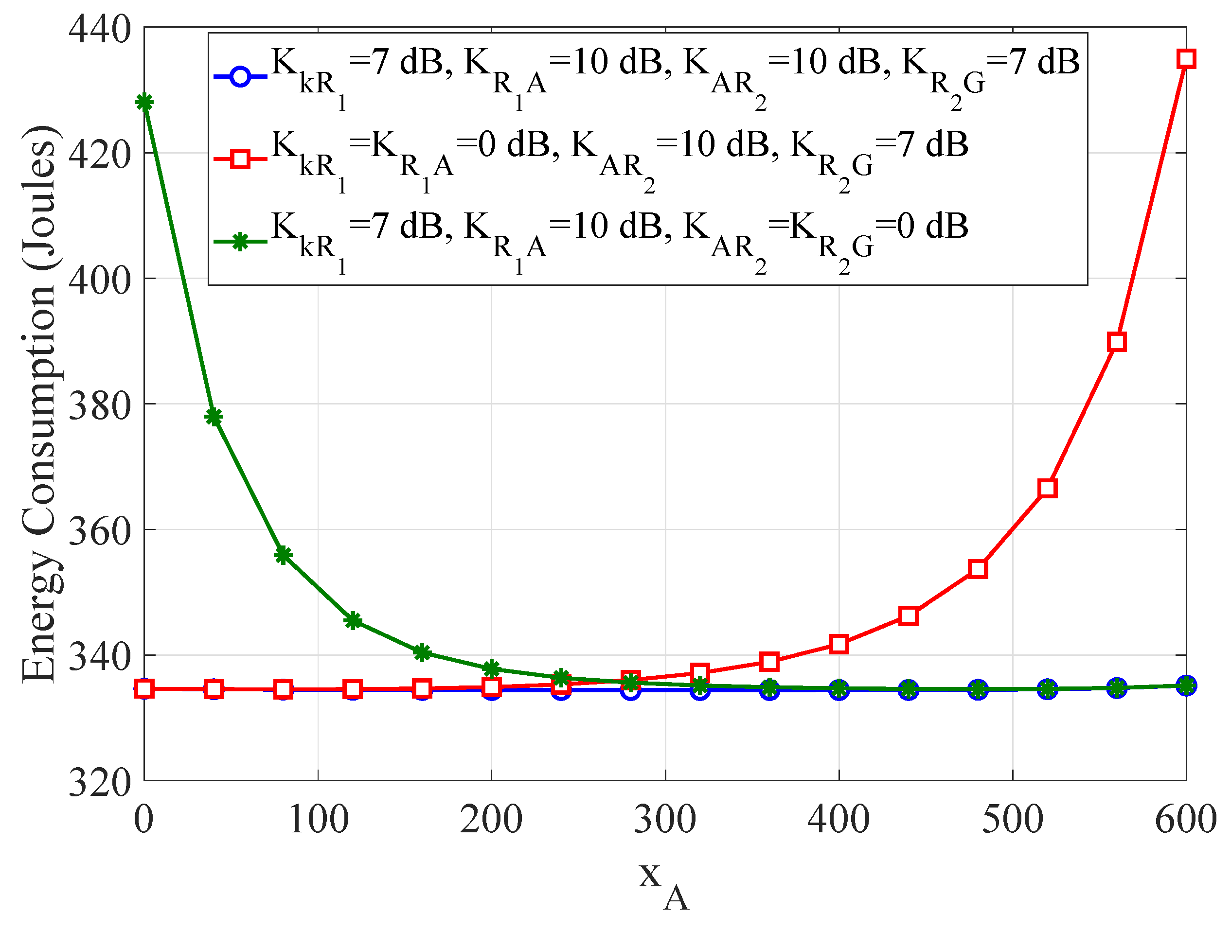
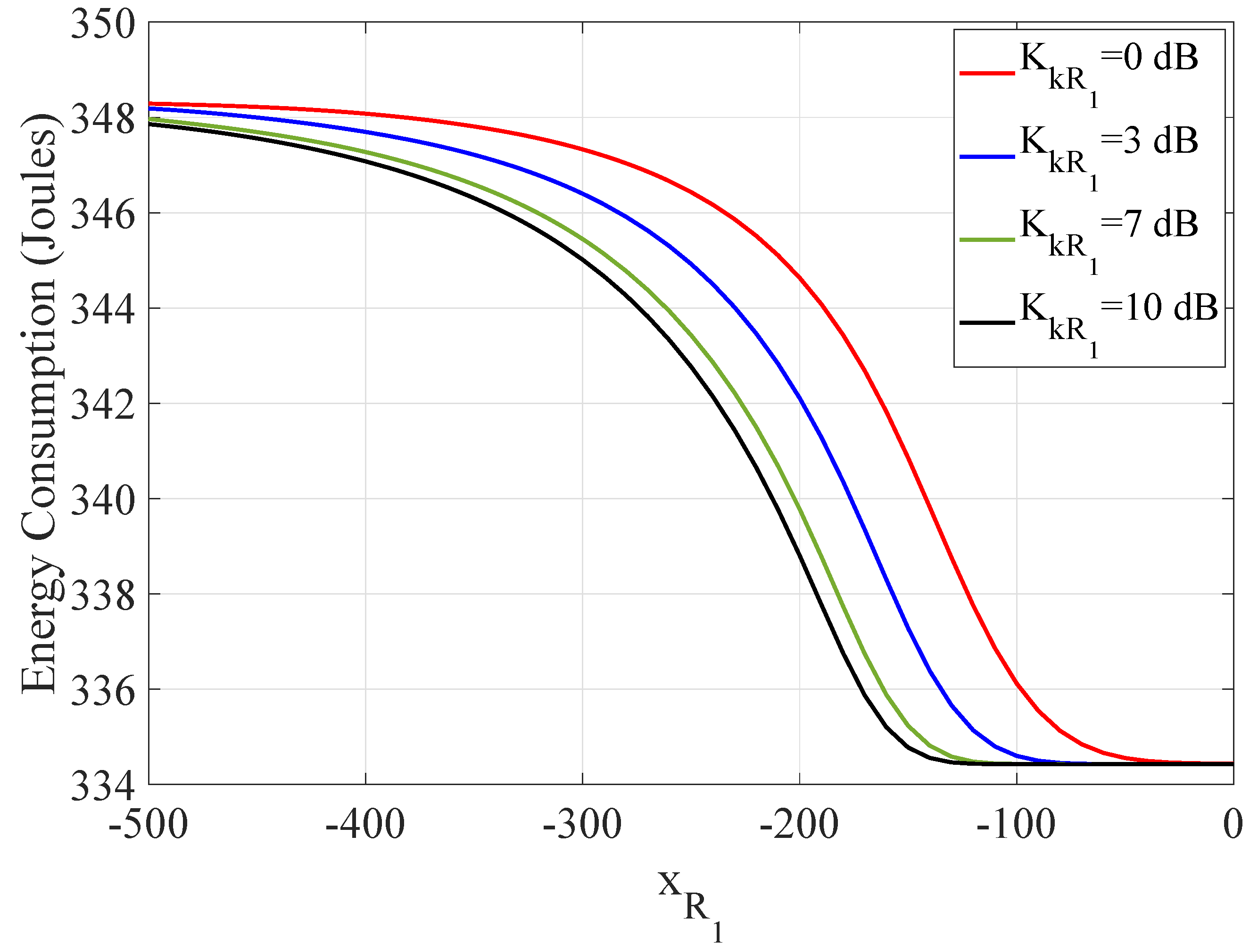
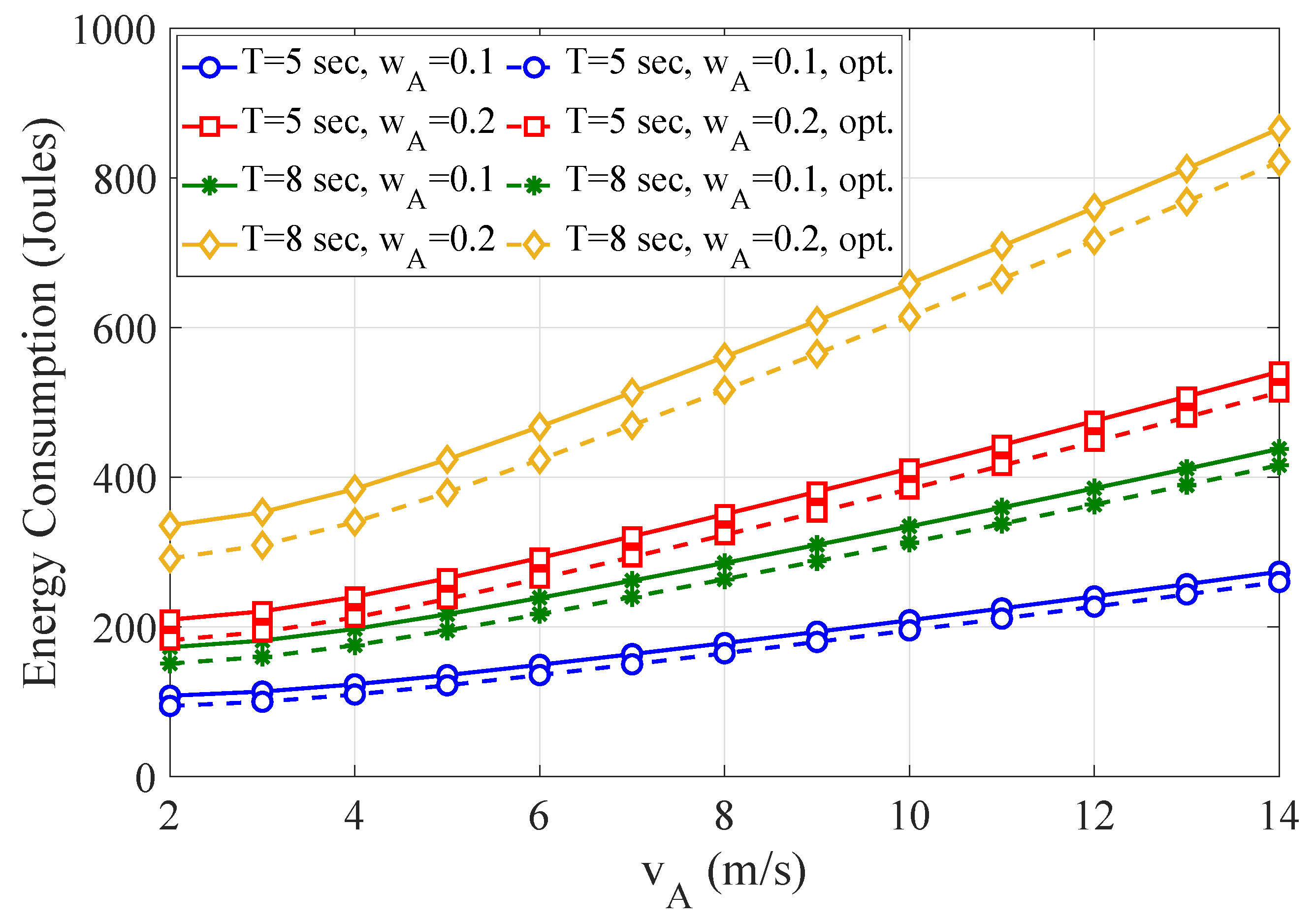
5. Numerical Results and Discussion
6. Conclusions
Author Contributions
Funding
Conflicts of Interest
References
- Storck, C.R.; Duarte-Figueiredo, F. A 5G V2X Ecosystem Providing Internet of Vehicles. Sensors 2019, 19, 550. [Google Scholar] [CrossRef] [PubMed] [Green Version]
- Thibault, L.; De Nunzio, G.; Sciarretta, A. A Unified Approach for Electric Vehicles Range Maximization via Eco-Routing, Eco-Driving, and Energy Consumption Prediction. IEEE Trans. Intell. Veh. 2018, 3, 463–475. [Google Scholar] [CrossRef]
- Zhang, J.; Letaief, K.B. Mobile Edge Intelligence and Computing for the Internet of Vehicles. Proc. IEEE 2020, 108, 246–261. [Google Scholar] [CrossRef] [Green Version]
- Lin, K.; Li, C.; Li, Y.; Savaglio, C.; Fortino, G. Distributed Learning for Vehicle Routing Decision in Software Defined Internet of Vehicles. IEEE Trans. Intell. Transp. Syst. 2021, 22, 3730–3741. [Google Scholar] [CrossRef]
- Zhou, J.; Tian, D.; Wang, Y.; Sheng, Z.; Duan, X.; Leung, V.C.M. Reliability-Oriented Optimization of Computation Offloading for Cooperative Vehicle-Infrastructure Systems. IEEE Signal Process. Lett. 2019, 26, 104–108. [Google Scholar] [CrossRef]
- Zhao, J.; Li, Q.; Gong, Y.; Zhang, K. Computation Offloading and Resource Allocation For Cloud Assisted Mobile Edge Computing in Vehicular Networks. IEEE Trans. Veh. Technol. 2019, 68, 7944–7956. [Google Scholar] [CrossRef]
- Ning, Z.; Huang, J.; Wang, X.; Rodrigues, J.J.P.C.; Guo, L. Mobile Edge Computing-Enabled Internet of Vehicles: Toward Energy-Efficient Scheduling. IEEE Netw. 2019, 33, 198–205. [Google Scholar] [CrossRef]
- Lamb, Z.W.; Agrawal, D.P. Analysis of Mobile Edge Computing for Vehicular Networks. Sensors 2019, 19, 1303. [Google Scholar] [CrossRef] [Green Version]
- Liu, Y.; Yu, H.; Xie, S.; Zhang, Y. Deep Reinforcement Learning for Offloading and Resource Allocation in Vehicle Edge Computing and Networks. IEEE Trans. Veh. Technol. 2019, 68, 11158–11168. [Google Scholar] [CrossRef]
- Zhang, J.; Guo, H.; Liu, J.; Zhang, Y. Task Offloading in Vehicular Edge Computing Networks: A Load-Balancing Solution. IEEE Trans. Veh. Technol. 2020, 69, 2092–2104. [Google Scholar] [CrossRef]
- Boukerche, A.; Soto, V. An Efficient Mobility-Oriented Retrieval Protocol for Computation Offloading in Vehicular Edge Multi-Access Network. IEEE Trans. Intell. Transp. Syst. 2020, 21, 2675–2688. [Google Scholar] [CrossRef]
- Ning, Z.; Zhang, K.; Wang, X.; Guo, L.; Hu, X.; Huang, J.; Hu, B.; Kwok, R.Y.K. Intelligent Edge Computing in Internet of Vehicles: A Joint Computation Offloading and Caching Solution. IEEE Trans. Intell. Transp. Syst. 2021, 22, 2212–2225. [Google Scholar] [CrossRef]
- Zhou, F.; Hu, R.Q.; Li, Z.; Wang, Y. Mobile Edge Computing in Unmanned Aerial Vehicle Networks. IEEE Wirel. Commun. 2020, 27, 140–146. [Google Scholar] [CrossRef] [Green Version]
- Nomikos, N.; Michailidis, E.T.; Trakadas, P.; Vouyioukas, D.; Karl, H.; Martrat, J.; Zahariadis, T.; Papadopoulos, K.; Voliotis, S. A UAV-Based Moving 5G RAN for Massive Connectivity of Mobile Users and IoT Devices. Veh. Commun. 2020, 25, 100250. [Google Scholar] [CrossRef]
- Michailidis, E.T.; Potirakis, S.M.; Kanatas, A.G. AI-Inspired Non-Terrestrial Networks for IIoT: Review on Enabling Technologies and Applications. IoT 2020, 1, 21–48. [Google Scholar] [CrossRef]
- Hu, X.; Wong, K.; Yang, K.; Zheng, Z. UAV-Assisted Relaying and Edge Computing: Scheduling and Trajectory Optimization. IEEE Trans. Wirel. Commun. 2019, 18, 4738–4752. [Google Scholar] [CrossRef]
- Li, L.; Wen, X.; Lu, Z.; Pan, Q.; Jing, W.; Hu, Z. Energy-Efficient UAV-Enabled MEC System: Bits Allocation Optimization and Trajectory Design. Sensors 2019, 19, 4521. [Google Scholar] [CrossRef] [Green Version]
- Hu, Q.; Cai, Y.; Yu, G.; Qin, Z.; Zhao, M.; Li, G.Y. Joint Offloading and Trajectory Design for UAV-Enabled Mobile Edge Computing Systems. IEEE Internet Things J. 2019, 6, 1879–1892. [Google Scholar] [CrossRef]
- Zhan, C.; Hu, H.; Sui, X.; Liu, Z.; Niyato, D. Completion Time and Energy Optimization in the UAV-Enabled Mobile-Edge Computing System. IEEE Internet Things J. 2020, 7, 7808–7822. [Google Scholar] [CrossRef]
- Zhang, L.; Ansari, N. Latency-Aware IoT Service Provisioning in UAV-Aided Mobile-Edge Computing Networks. IEEE Internet Things J. 2020, 7, 10573–10580. [Google Scholar] [CrossRef]
- Zhang, X.; Zhong, Y.; Liu, P.; Zhou, F.; Wang, Y. Resource Allocation for a UAV-Enabled Mobile-Edge Computing System: Computation Efficiency Maximization. IEEE Access 2019, 7, 113345–113354. [Google Scholar] [CrossRef]
- Zhou, F.; Wu, Y.; Hu, R.Q.; Qian, Y. Computation Rate Maximization in UAV-Enabled Wireless-Powered Mobile-Edge Computing Systems. IEEE J. Sel. Areas Commun. 2018, 36, 1927–1941. [Google Scholar] [CrossRef] [Green Version]
- Han, R.; Wen, Y.; Bai, L.; Liu, J.; Choi, J. Rate Splitting on Mobile Edge Computing for UAV-Aided IoT Systems. IEEE Trans. Cogn. Commun. Netw. 2020, 6, 1193–1203. [Google Scholar] [CrossRef]
- Zhang, T.; Xu, Y.; Loo, J.; Yang, D.; Xiao, L. Joint Computation and Communication Design for UAV-Assisted Mobile Edge Computing in IoT. IEEE Trans. Ind. Informatics 2020, 16, 5505–5516. [Google Scholar] [CrossRef] [Green Version]
- Zhang, L.; Zhao, Z.; Wu, Q.; Zhao, H.; Xu, H.; Wu, X. Energy-Aware Dynamic Resource Allocation in UAV Assisted Mobile Edge Computing Over Social Internet of Vehicles. IEEE Access 2018, 6, 56700–56715. [Google Scholar] [CrossRef]
- Zhao, L.; Yang, K.; Tan, Z.; Li, X.; Sharma, S.; Liu, Z. A Novel Cost Optimization Strategy for SDN-Enabled UAV-Assisted Vehicular Computation Offloading. IEEE Trans. Intell. Transp. Syst. 2020. [Google Scholar] [CrossRef]
- Jeong, S.; Simeone, O.; Kang, J. Mobile Edge Computing via a UAV-Mounted Cloudlet: Optimization of Bit Allocation and Path Planning. IEEE Trans. Veh. Technol. 2018, 67, 2049–2063. [Google Scholar] [CrossRef] [Green Version]
- Zhang, J.; Zhou, L.; Tang, Q.; Ngai, E.C.-H.; Hu, X.; Zhao, H.; Wei, J. Stochastic Computation Offloading and Trajectory Scheduling for UAV-Assisted Mobile Edge Computing. IEEE Internet Things J. 2019, 6, 3688–3699. [Google Scholar] [CrossRef]
- Michailidis, E.T.; Miridakis, N.I.; Michalas, A.; Skondras, E.; Vergados, D.J.; Vergados, D.D. Energy Optimization in Massive MIMO UAV-Aided MEC-Enabled Vehicular Networks. arXiv 2021, arXiv:2102.03907. [Google Scholar]
- Gong, S.; Lu, X.; Hoang, D.T.; Niyato, D.; Shu, L.; Kim, D.I.; Liang, Y.-C. Toward Smart Wireless Communications via Intelligent Reflecting Surfaces: A Contemporary Survey. IEEE Commun. Surv. Tutorials 2020, 22, 2283–2314. [Google Scholar] [CrossRef]
- Hashida, H.; Kawamoto, Y.; Kato, N. Intelligent Reflecting Surface Placement Optimization in Air-Ground Communication Networks Toward 6G. IEEE Wirel. Commun. 2020, 27, 146–151. [Google Scholar] [CrossRef]
- Li, S.; Duo, B.; Yuan, X.; Liang, Y.; Renzo, M.D. Reconfigurable Intelligent Surface Assisted UAV Communication: Joint Trajectory Design and Passive Beamforming. IEEE Wirel. Commun. Lett. 2020, 9, 716–720. [Google Scholar] [CrossRef] [Green Version]
- Wei, Z.; Cai, Y.; Sun, Z.; Ng, D.W.K.; Yuan, J.; Zhou, M.; Sun, L. Sum-Rate Maximization for IRS-Assisted UAV OFDMA Communication Systems. IEEE Trans. Wirel. Commun. 2021, 20, 2530–2550. [Google Scholar] [CrossRef]
- Ranjha, A.; Kaddoum, G. URLLC Facilitated by Mobile UAV Relay and RIS: A Joint Design of Passive Beamforming, Blocklength, and UAV Positioning. IEEE Internet Things J. 2021, 8, 4618–4627. [Google Scholar] [CrossRef]
- Bai, T.; Pan, C.; Deng, Y.; Elkashlan, M.; Nallanathan, A.; Hanzo, L. Latency Minimization for Intelligent Reflecting Surface Aided Mobile Edge Computing. IEEE J. Sel. Areas Commun. 2020, 38, 2666–2682. [Google Scholar] [CrossRef]
- Chu, Z.; Xiao, P.; Shojafar, M.; Mi, D.; Mao, J.; Hao, W. Intelligent Reflecting Surface Assisted Mobile Edge Computing for Internet of Things. IEEE Wirel. Commun. Lett. 2021, 10, 619–623. [Google Scholar] [CrossRef]
- Zhou, F.; You, C.; Zhang, R. Delay-Optimal Scheduling for IRS-Aided Mobile Edge Computing. IEEE Wirel. Commun. Lett. 2021, 10, 740–744. [Google Scholar] [CrossRef]
- Huang, S.; Wang, S.; Wang, R.; Wen, M.; Huang, K. Reconfigurable Intelligent Surface Assisted Mobile Edge Computing with Heterogeneous Learning Tasks. IEEE Trans. Cogn. Commun. Netw. 2021. [Google Scholar] [CrossRef]
- Shao, C.; Leng, S.; Zhang, Y.; Vinel, A.; Jonsson, M. Performance Analysis of Connectivity Probability and Connectivity-Aware MAC Protocol Design for Platoon-Based VANETs. IEEE Trans. Veh. Technol. 2015, 64, 5596–5609. [Google Scholar] [CrossRef]
- Mei, H.; Wang, K.; Zhou, D.; Yang, K. Joint Trajectory-Task-Cache Optimization in UAV-Enabled Mobile Edge Networks for Cyber-Physical System. IEEE Access 2019, 7, 156476–156488. [Google Scholar] [CrossRef]
- Xu, W.; Zhou, H.; Cheng, N.; Lyu, F.; Shi, W.; Chen, J.; Shen, X. Internet of vehicles in big data era. Ieee/Caa J. Autom. Sin. 2018, 5, 19–35. [Google Scholar] [CrossRef]
- Zhang, W.; Wen, Y.; Guan, K.; Kilper, D.; Luo, H.; Wu, D.O. Energy-optimal mobile cloud computing under stochastic wireless channel. IEEE Trans. Wirel. Commun. 2013, 12, 4569–4581. [Google Scholar] [CrossRef]
- Khawaja, W.; Guvenc, I.; Matolak, D.W.; Fiebig, U.-C.; Schneckenburger, N. A Survey of Air-to-Ground Propagation Channel Modeling for Unmanned Aerial Vehicles. IEEE Commun. Surv. Tutorials 2019, 21, 2361–2391. [Google Scholar] [CrossRef] [Green Version]
- Zeng, Y.; Wu, Q.; Zhang, R. Accessing From the Sky: A Tutorial on UAV Communications for 5G and Beyond. Proc. IEEE 2019, 107, 2327–2375. [Google Scholar] [CrossRef] [Green Version]
- Nguyen, A.-N.; Vo, V.N.; So-In, C.; Ha, D.-B. System Performance Analysis for an Energy Harvesting IoT System Using a DF/AF UAV-Enabled Relay with Downlink NOMA under Nakagami-m Fading. Sensors 2021, 21, 285. [Google Scholar] [CrossRef] [PubMed]
- Yanmaz, E.; Kuschnig, R.; Bettstetter, C. Channel Measurements over 802.11a–based UAV-to-Ground Links. In Proceedings of the IEEE Global Communications Conference (GLOBECOM’11), Houston, TX, USA, 5–9 December 2011; pp. 1280–1284. [Google Scholar] [CrossRef]
- Kumbhani, B.; Kshetrimayum, R.S. MIMO Wireless Communications Over Generalized Fading Channels; CRC Press: Boca Raton, FL, USA, 2017. [Google Scholar]
- Gradshteyn, I.S.; Ryzhik, I.M. Table of Integrals, Series, and Products, 6th ed.; Academic: New York, NY, USA, 2000. [Google Scholar]
- Rappaport, T. Wireless Communications: Principles and Practice, 2nd ed.; Prentice-Hall: Upper Saddle River, NJ, USA, 2002. [Google Scholar]
- Badiu, M.; Coon, J.P. Communication Through a Large Reflecting Surface With Phase Errors. IEEE Wirel. Commun. Lett. 2020, 9, 184–188. [Google Scholar] [CrossRef] [Green Version]
- Mardia, K.V.; Jupp, P.E. Directional Statistics; Wiley: Chichester, UK, 2000. [Google Scholar]
- Simon, M.K.; Alouini, M.S. Digital Communications over Fading Channels, 2nd ed.; Wiley: New York, NY, USA, 2004. [Google Scholar]
- Miridakis, N.I.; Tsiftsis, T.A.; Alexandropoulos, G.C. MIMO Underlay Cognitive Radio: Optimized Power Allocation, Effective Number of Transmit Antennas and Harvest-Transmit Tradeoff. IEEE Trans. Green Commun. Netw. 2018, 2, 1101–1114. [Google Scholar] [CrossRef]
- Martos-Naya, E.; Romero-Jerez, J.M.; Lopez-Martinez, F.J.; Paris, J.F. A MATLAB Program for the Computation of the Confluent Hypergeometric Function Φ2. 2016. Available online: https://riuma.uma.es/xmlui/handle/10630/12068 (accessed on 15 April 2021).
- Kong, N.; Milstein, L.B. Average SNR of a generalized diversity selection combining scheme. IEEE Commun. Lett. 1999, 3, 57–59. [Google Scholar] [CrossRef]
- Brychkov, Y.A.; Kim, Y.S.; Rathie, A.K. On new reduction formulas for the Humbert functions Ψ2, Φ2 and Φ3. Integral Transform. Spec. Funct. 2017, 28, 350–360. [Google Scholar] [CrossRef]
- Erdelyi, A. Beitrag zur Theorie der Konfluenten Hypergeometrischen Funktionen von Mehreren Veränderlichen; Hölder-Pichler-Tempsky in Komm: Vienna, Austria, 1937. [Google Scholar]
- Abramowitz, M.; Stegun, I.A. Handbook of Mathematical Functions with Formulas, Graphs, and Mathematical Tables, 9th ed.; Dover: New York, NY, USA, 1972. [Google Scholar]
- Boyd, S.; Vandenberghe, L. Convex Optimization; Cambridge Univ. Press: Cambridge, UK, 2004. [Google Scholar]
- Corless, R.M.; Gonnet, G.H.; Hare, D.E.G.; Jeffrey, D.J.; Knuth, D.E. On the Lambert W function. Adv. Comput. Math. 1996, 5, 329–359. [Google Scholar] [CrossRef]
- Grant, M.; Boyd, S.; Ye, Y. CVX: MATLAB Software for Disciplined Convex Programming, version 2.0 beta. 2013. Available online: http://cvxr.com/cvx (accessed on 15 April 2021).
- Sujit, P.B.; Saripalli, S.; Sousa, J.B. Unmanned Aerial Vehicle Path Following: A Survey and Analysis of Algorithms for Fixed-Wing Unmanned Aerial Vehicles. IEEE Control Syst. Mag. 2014, 34, 42–59. [Google Scholar] [CrossRef]










| References | Network Type | Key Technologies | Optimization Target |
|---|---|---|---|
| [5] | Vehicle-to-infrastructure (V2I) | Computation offloading | Lower bound of expected reliability |
| [6] | Vehicular network | Mobile edge computing (MEC), cloud computing | Offloading decisions |
| [7] | Internet of Vehicles (IoV) | MEC | Energy efficiency |
| [8] | Vehicular ad-hoc network (VANET) | MEC | Resource allocation |
| [9] | Internet of Things (IoT) | Vehicular edge computing (VEC) | Resource allocation |
| [10] | Vehicular network | VEC, software-defined networking (SDN) | Processing delay |
| [11] | Vehicle-to-vehicle (V2V) and V2I | VEC, geolocation information | Reliable data retrieval |
| [12] | IoV | MEC, edge intelligence | Total network delay |
| [16] | Cellular network | MEC, unmanned aerial vehicle (UAV) | Energy consumption |
| [17] | Computing system | MEC, UAV | Energy consumption |
| [18] | Computing system | MEC, UAV | Maximum Delay and trajectory |
| [19] | Computing system | MEC, UAV | Task completion time |
| [20] | IoT | MEC, UAV | Average latency |
| [21] | Computing system | MEC, UAV | Computation efficiency |
| [22] | Computing system | MEC, UAV, wireless power transfer (WPT) | Computation rate |
| [23] | IoT | Centralized and distributed MEC, UAV | Energy efficiency |
| [24] | IoT | MEC, UAV | Energy consumption |
| [25] | Social IoV (SIoV) | MEC, UAV | Resource allocation and trajectory |
| [26] | Vehicular network | MEC, UAV, SDN | Task execution time |
| [27] | Computing system | MEC, UAV, non-orthogonal multiple access (NOMA) | Bit allocation and trajectory |
| [28] | Computing system | MEC, UAV, stochastic offloading | Energy consumption |
| [29] | Vehicular network | MEC, UAV, massive multiple-input multiple-output (MIMO) | Energy consumption |
| [32] | Communication system | UAV, reconfigurable intelligent surface (RIS) | Achievable rate |
| [33] | Communication system | UAV, RIS | Sum-rate |
| [34] | IoT | UAV, RIS | Decoding error rate |
| [35] | Computing system | MEC, RIS | Latency |
| [36] | IoT | MEC, RIS | Sum computational bits |
| [37] | Computing system | MEC, RIS, NOMA | Delay |
| [38] | Computing system | MEC, RIS, machine learning (ML) | Learning error |
| This paper | IoV | MEC, UAV, RIS | Energy Consumption |
| System and Mobility Parameters | Value |
|---|---|
| Number of vehicles: K | 3 |
| Weight factor for energy consumption for k-th vehicle (ARSU): | 1 (0.1) |
| Parameters of rotary-wing UAV: | 120, 4.3, 0.6, 0.05, 1.225, 0.503,1.1203/2/2G, 11.46 |
| Velocity and moving direction of k-th vehicle in the azimuth domain, respectively: | 60 km/h, |
| Velocity and moving direction of ARSU in the azimuth (elevation) domain, respectively: | 5 m/s, 3 |
| Computation Parameters | Value |
| Task-input data size of k-th vehicle per timeslot: | 0.4 Mbits |
| Task deadline (flight duration of ARSU): T | 8 s |
| Timeslot length: | 0.2 s [24] |
| Maximum central processing unit (CPU) frequency at ARSU: | 3 GHz [24] |
| Required CPU cycles per bit at ARSU: | cycles/bit [24] |
| CPU capacitance coefficient at ARSU: | [24] |
| Wireless Transmission Parameters | Value |
| Target rate: | 1.5 bps/Hz |
| Max. transmit power of k-th vehicle and ARSU, respectively: | 35 dBm, 35 dBm [24] |
| Number of reflecting elements at the 1st RIS and 2nd RIS: L | 64 |
| Number of quantization bits: q | 2 |
| Path-loss exponents: | 3.5, 2.2, 2, 3.5, 2, 2.2 |
| Channel gain at reference distance : | dB [32] |
| Variance of the additive white Gaussian noise (AWGN) at the k-th vehicle, ARSU, 1st RIS, ground road side unit (GRSU), and 2nd RIS: | dBm [32] |
| Nakagami-m fading parameter of the direct link between the k-th vehicle (ARSU) and ARSU (GRSU): | 1 (1) |
| Rician factor for the link between the k-th vehicle and 1st RIS, 1st RIS and ARSU, ARSU and 2nd RIS, and 2nd RIS and GRSU: | 7 dB, 10 dB, 10 dB, 7 dB |
Publisher’s Note: MDPI stays neutral with regard to jurisdictional claims in published maps and institutional affiliations. |
© 2021 by the authors. Licensee MDPI, Basel, Switzerland. This article is an open access article distributed under the terms and conditions of the Creative Commons Attribution (CC BY) license (https://creativecommons.org/licenses/by/4.0/).
Share and Cite
Michailidis, E.T.; Miridakis, N.I.; Michalas, A.; Skondras, E.; Vergados, D.J. Energy Optimization in Dual-RIS UAV-Aided MEC-Enabled Internet of Vehicles. Sensors 2021, 21, 4392. https://doi.org/10.3390/s21134392
Michailidis ET, Miridakis NI, Michalas A, Skondras E, Vergados DJ. Energy Optimization in Dual-RIS UAV-Aided MEC-Enabled Internet of Vehicles. Sensors. 2021; 21(13):4392. https://doi.org/10.3390/s21134392
Chicago/Turabian StyleMichailidis, Emmanouel T., Nikolaos I. Miridakis, Angelos Michalas, Emmanouil Skondras, and Dimitrios J. Vergados. 2021. "Energy Optimization in Dual-RIS UAV-Aided MEC-Enabled Internet of Vehicles" Sensors 21, no. 13: 4392. https://doi.org/10.3390/s21134392
APA StyleMichailidis, E. T., Miridakis, N. I., Michalas, A., Skondras, E., & Vergados, D. J. (2021). Energy Optimization in Dual-RIS UAV-Aided MEC-Enabled Internet of Vehicles. Sensors, 21(13), 4392. https://doi.org/10.3390/s21134392

