Spectral Analysis of Muscle Hemodynamic Responses in Post-Exercise Recovery Based on Near-Infrared Spectroscopy
Abstract
1. Introduction
2. Materials and Methods
2.1. Subjects
2.2. Experiment Procedures
2.3. NIRS Measurement
2.4. Wavelet Transform
2.5. Data Analysis
2.6. Statistical Analysis
3. Results
3.1. Total Wavelet Energy
3.2. Wavelet Amplitude in Six Frequency Intervals
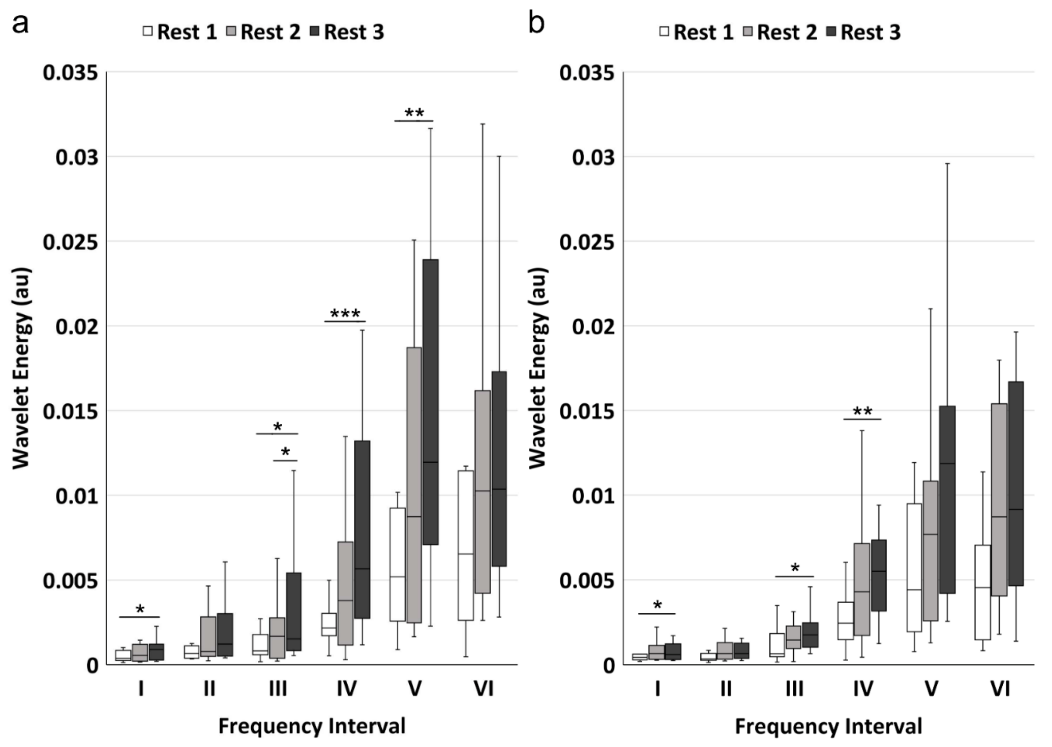
3.3. Wavelet Energy in Six Frequency Intervals
4. Discussion
4.1. Muscle Hemodynamic Response Detected by Channel 1
4.2. Skin Hemodynamic Response Detected by Channel 2
4.3. Methodological Consideration
5. Conclusions
Author Contributions
Funding
Institutional Review Board Statement
Informed Consent Statement
Data Availability Statement
Conflicts of Interest
References
- Husmann, F.; Mittlmeier, T.; Bruhn, S.; Zschorlich, V.; Behrens, M. Impact of blood flow restriction exercise on muscle fatigue development and recovery. Med. Sci. Sports Exerc. 2018, 50, 436–446. [Google Scholar] [CrossRef] [PubMed]
- Loscalzo, J.; Vita, J.A. Ischemia, hyperemia, exercise, and nitric oxide. Complex physiology and complex molecular adaptations. Circulation 1994, 90, 2556–2559. [Google Scholar] [CrossRef] [PubMed]
- Bangsbo, J.; Hellsten, Y. Muscle blood flow and oxygen uptake in recovery from exercise. Acta Physiol. Scand. 1998, 162, 305–312. [Google Scholar] [CrossRef] [PubMed]
- Joyner, M.J.; Casey, D.P. Muscle blood flow, hypoxia, and hypoperfusion. J. Appl. Physiol. 2014, 116, 852–857. [Google Scholar] [CrossRef]
- Murrant, C.L.; Lamb, I.R.; Novielli, N.M. Capillary endothelial cells as coordinators of skeletal muscle blood flow during active hyperemia. Microcirculation 2017, 24, e12348. [Google Scholar] [CrossRef]
- Lamb, I.R.; Murrant, C.L. Potassium inhibits nitric oxide and adenosine arteriolar vasodilatation via KIR and Na+/K+ ATPase: Implications for redundancy in active hyperaemia. J. Physiol. 2015, 593, 5111–5126. [Google Scholar] [CrossRef]
- Hansen, J.; Sander, M.; Hald, C.F.; Victor, R.G.; Thomas, G.D. Metabolic modulation of sympathetic vasoconstriction in human skeletal muscle: Role of tissue hypoxia. J. Physiol. 2000, 527, 387–396. [Google Scholar] [CrossRef]
- Jobsis, F.F. Noninvasive, infrared monitoring of cerebral and myocardial oxygen sufficiency and circulatory parameters. Science 1977, 198, 1264–1267. [Google Scholar] [CrossRef]
- Ferrari, M.; Muthalib, M.; Quaresima, V. The use of near-infrared spectroscopy in understanding skeletal muscle physiology: Recent developments. Philos. Trans. R. Soc. A 2011, 369, 4577–4590. [Google Scholar] [CrossRef]
- Pereira, M.I.; Gomes, P.S.; Bhambhani, Y.N. A brief review of the use of near infrared spectroscopy with particular interest in resistance exercise. Sports Med. 2007, 37, 615–624. [Google Scholar] [CrossRef]
- Di Giminiani, R.; Cardinale, M.; Ferrari, M.; Quaresima, V. Validation of Fabric-Based Thigh-Wearable EMG Sensors and Oximetry for Monitoring Quadricep Activity during Strength and Endurance Exercises. Sensors 2020, 20, 4664. [Google Scholar] [CrossRef]
- Ferguson, S.A.; Allread, W.G.; Le, P.; Rose, J.; Marras, W.S. Shoulder Muscle Fatigue during Repetitive Tasks as Measured by Electromyography and Near-Infrared Spectroscopy. Hum. Factors 2013, 55, 1077–1087. [Google Scholar] [CrossRef]
- Felici, F.; Quaresima, V.; Fattorini, L.; Sbriccoli, P.; Filligoi, G.C.; Ferrari, M. Biceps brachii myoelectric and oxygenation changes during static and sinusoidal isometric exercises. J. Electromyogr. Kines. 2009, 19, E1–E11. [Google Scholar] [CrossRef] [PubMed]
- Re, R.; Pirovano, I.; Contini, D.; Spinelli, L.; Torricelli, A. Time domain near infrared spectroscopy device for monitoring muscle oxidative metabolism: Custom probe and in vivo applications. Sensors 2018, 18, 264. [Google Scholar] [CrossRef]
- Grassi, B.; Quaresima, V. Near-infrared spectroscopy and skeletal muscle oxidative function in vivo in health and disease: A review from an exercise physiology perspective. J. Biomed. Opt. 2016, 21, 091313. [Google Scholar] [CrossRef]
- Li, Z.Y.; Zhang, M.; Chen, G.Q.; Luo, S.T.; Liu, F.F.; Li, J.P. Wavelet analysis of lumbar muscle oxygenation signals during whole-body vibration: Implications for the development of localized muscle fatigue. Eur. J. Appl. Physiol. 2012, 112, 3109–3117. [Google Scholar] [CrossRef]
- Addison, P.S. A review of wavelet transform time–frequency methods for NIRS-based analysis of cerebral autoregulation. IEEE Rev. Biomed. Eng. 2015, 8, 78–85. [Google Scholar] [CrossRef]
- Shiogai, Y.; Stefanovska, A.; McClintock, P.V.E. Nonlinear dynamics of cardiovascular ageing. Phys. Rep. 2010, 488, 51–110. [Google Scholar] [CrossRef]
- Stefanovska, A. Physics of the human cardiovascular system. Contemp. Phys. 1999, 40, 31–55. [Google Scholar] [CrossRef]
- Tan, Q.; Zhang, M.; Wang, Y.; Zhang, M.; Wang, B.; Xin, Q.; Li, Z. Age-related alterations in phase synchronization of oxyhemoglobin concentration changes in prefrontal tissues as measured by near-infrared spectroscopy signals. Microvasc. Res. 2016, 103, 19–25. [Google Scholar] [CrossRef] [PubMed]
- Li, Z.; Zhang, M.; Xin, Q.; Luo, S.; Cui, R.; Zhou, W.; Lu, L. Age-related changes in spontaneous oscillations assessed by wavelet transform of cerebral oxygenation and arterial blood pressure signals. J. Cereb. Blood Flow Metab. 2013, 33, 692–699. [Google Scholar] [CrossRef]
- Bračič, M.; Stefanovska, A. Wavelet-based analysis of human blood-flow dynamics. Bull. Math. Biol. 1998, 60, 919–935. [Google Scholar] [CrossRef]
- Soderstrom, T.; Stefanovska, A.; Veber, M.; Svensson, H. Involvement of sympathetic nerve activity in skin blood flow oscillations in humans. Am. J. Physiol.-Heart Circ. 2003, 284, H1638–H1646. [Google Scholar] [CrossRef]
- Iatsenko, D.; McClintock, P.V.; Stefanovska, A. Nonlinear mode decomposition: A noise-robust, adaptive decomposition method. Phys. Rev. E 2015, 92, 032916. [Google Scholar] [CrossRef]
- Tan, Q.T.; Wang, Y.; Chen, T.L.W.; Wong, D.W.C.; Yan, F.; Li, Z.Y.; Zhang, M. Exercise-Induced Hemodynamic Changes in Muscle Tissue: Implication of Muscle Fatigue. Appl. Sci. 2020, 10, 3512. [Google Scholar] [CrossRef]
- Hermens, H.J.; Freriks, B.; Merletti, R.; Stegeman, D.; Blok, J.; Rau, G.; Disselhorst-Klug, C.; Hägg, G. European recommendations for surface electromyography. Roessingh Res. Dev. 1999, 8, 13–54. [Google Scholar]
- Xie, H.; Zhang, M.; Huo, C.; Xu, G.; Li, Z.; Fan, Y. Tai Chi Chuan exercise related change in brain function as assessed by functional near–infrared spectroscopy. Sci. Rep. 2019, 9, 1–14. [Google Scholar] [CrossRef] [PubMed]
- Stefanovska, A.; Bracic, M.; Kvernmo, H.D. Wavelet analysis of oscillations in the peripheral blood circulation measured by laser Doppler technique. IEEE Trans. Bio.-Med. Eng. 1999, 46, 1230–1239. [Google Scholar] [CrossRef] [PubMed]
- Daubechies, I.; Bates, B.J. Ten lectures on wavelets. J. Acoust. Soc. Am. 1993, 1671. [Google Scholar] [CrossRef]
- Latka, M.; Turalska, M.; Glaubic-Latka, M.; Kolodziej, W.; Latka, D.; West, B.J. Phase dynamics in cerebral autoregulation. Am. J. Physiol.-Heart Circ. 2005, 289, H2272–H2279. [Google Scholar] [CrossRef]
- Stefanovska, A. Dynamics of blood oxygenation gives better insight into tissue hypoxia than averaged values. Am. J. Physiol.-Heart Circ. 2009, 296, H1224–H1226. [Google Scholar] [CrossRef][Green Version]
- Tan, Q.; Zhang, M.; Wang, Y.; Zhang, M.; Wang, Y.; Xin, Q.; Wang, B.; Li, Z. Frequency-specific functional connectivity revealed by wavelet-based coherence analysis in elderly subjects with cerebral infarction using NIRS method. Med. Phys. 2015, 42, 5391–5403. [Google Scholar] [CrossRef]
- Ba, A.; Delliaux, S.; Bregeon, F.; Levy, S.; Jammes, Y. Post-exercise heart rate recovery in healthy, obeses, and COPD subjects: Relationships with blood lactic acid and PaO2 levels. Clin. Res. Cardiol. 2009, 98, 52–58. [Google Scholar] [CrossRef]
- Zhang, C.; Rogers, P.A.; Merkus, D.; Muller-Delp, J.M.; Tiefenbacher, C.P.; Potter, B.; Knudson, J.D.; Rocic, P.; Chilian, W.M. Regulation of coronary microvascular resistance in health and disease. In Microcirculation; Elsevier: Amsterdam, The Netherlands, 2008; pp. 521–549. [Google Scholar]
- Johnson, P.C. The myogenic response. News Physiol. Sci. 1991, 6, 41–42. [Google Scholar]
- Hansen, J.; Thomas, G.D.; Harris, S.A.; Parsons, W.J.; Victor, R.G. Differential sympathetic neural control of oxygenation in resting and exercising human skeletal muscle. J. Clin. Investig. 1996, 98, 584–596. [Google Scholar] [CrossRef][Green Version]
- Kvandal, P.; Stefanovska, A.; Veber, M.; Kvermmo, H.D.; Kirkebøen, K.A. Regulation of human cutaneous circulation evaluated by laser Doppler flowmetry, iontophoresis, and spectral analysis: Importance of nitric oxide and prostaglandines. Microvasc. Res. 2003, 65, 160–171. [Google Scholar] [CrossRef]
- Stewart, J.M.; Taneja, I.; Goligorsky, M.S.; Medow, M.S. Noninvasive measure of microvascular nitric oxide function in humans using very low-frequency cutaneous laser Doppler flow spectra. Microcirculation 2007, 14, 169–180. [Google Scholar] [CrossRef]
- Kvernmo, H.D.; Stefanovska, A.; Bracic, M.; Kirkebøen, K.A.; Kvernebo, K. Spectral analysis of the laser Doppler perfusion signal in human skin before and after exercise. Microvasc. Res. 1998, 56, 173–182. [Google Scholar] [CrossRef]
- Rodrigues, L.M.; Rocha, C.; Ferreira, H.T.; Silva, H.N. Lower limb massage in humans increases local perfusion and impacts systemic hemodynamics. J. Appl. Physiol. 2020, 128, 1217–1226. [Google Scholar] [CrossRef]
- Chuang, M.-L.; Ting, H.; Otsuka, T.; Sun, X.-G.; Chiu, F.; Hansen, J.E.; Wasserman, K. Muscle deoxygenation as related to work rate. Med. Sci. Sports Exerc. 2002, 34, 1614–1623. [Google Scholar] [CrossRef]
- Buono, M.J.; Miller, P.W.; Hom, C.; Pozos, R.S.; Kolkhorst, F.W. Skin blood flow affects in vivo near-infrared spectroscopy measurements in human skeletal muscle. Jpn. J. Physiol. 2005, 55, 241–244. [Google Scholar] [CrossRef] [PubMed]
- Tew, G.A.; Ruddock, A.D.; Saxton, J.M. Skin blood flow differentially affects near-infrared spectroscopy-derived measures of muscle oxygen saturation and blood volume at rest and during dynamic leg exercise. Eur. J. Appl. Physiol. 2010, 110, 1083–1089. [Google Scholar] [CrossRef]
- Davis, S.L.; Fadel, P.J.; Cui, J.; Thomas, G.D.; Crandall, C.G. Skin blood flow influences near-infrared spectroscopy-derived measurements of tissue oxygenation during heat stress. J. Appl. Physiol. 2006, 100, 221–224. [Google Scholar] [CrossRef]





| Frequency Interval (Hz) | Physiological Origins | |
|---|---|---|
| I | 0.6–2 | cardiac activity |
| II | 0.145–0.6 | respiratory activity |
| III | 0.052–0.145 | myogenic activity |
| IV | 0.021–0.052 | neurogenic activity |
| V | 0.0095–0.021 | NO-related endothelial activity |
| VI | 0.005–0.0095 | endothelial activity |
| Channel | Median Value | p Value | |||
|---|---|---|---|---|---|
| Phase 1 | Phase 2 | Phase 3 | |||
| Channel 1 | 0.017 | 0.028 | 0.032 | 0.004 | ** |
| Channel 2 | 0.015 | 0.029 | 0.037 | 0.056 | |
| Frequency Interval | Median Value | p Value | ||||
|---|---|---|---|---|---|---|
| Phase 1 | Phase 2 | Phase 3 | ||||
| Channel 1 | I | 0.042 | 0.049 | 0.064 | 0.038 | * |
| II | 0.098 | 0.102 | 0.117 | 0.344 | ||
| III | 0.222 | 0.320 | 0.328 | 0.001 | ** | |
| IV | 0.663 | 0.933 | 1.104 | <0.001 | *** | |
| V | 1.813 | 2.382 | 2.414 | 0.002 | ** | |
| VI | 3.437 | 4.295 | 4.501 | 0.189 | ||
| Channel 2 | I | 0.045 | 0.052 | 0.053 | 0.017 | * |
| II | 0.068 | 0.082 | 0.081 | 0.282 | ||
| III | 0.207 | 0.317 | 0.311 | 0.057 | ||
| IV | 0.758 | 1.016 | 1.037 | 0.002 | ** | |
| V | 1.626 | 1.916 | 2.348 | 0.031 | * | |
| VI | 2.976 | 4.135 | 4.200 | 0.165 | ||
| Frequency Interval | Median Value (10−3) | p Value | ||||
|---|---|---|---|---|---|---|
| Phase 1 | Phase 2 | Phase 3 | ||||
| Channel 1 | I | 0.378 | 0.549 | 0.897 | 0.011 | * |
| II | 0.659 | 0.775 | 1.214 | 0.057 | ||
| III | 0.814 | 1.673 | 1.522 | 0.007 | ** | |
| IV | 2.166 | 3.786 | 5.665 | 0.001 | ** | |
| V | 5.191 | 8.734 | 11.954 | 0.005 | ** | |
| VI | 6.530 | 10.265 | 10.361 | 0.282 | ||
| Channel 2 | I | 0.431 | 0.656 | 0.597 | 0.031 | * |
| II | 0.343 | 0.657 | 0.658 | 0.282 | ||
| III | 0.647 | 1.446 | 1.757 | 0.015 | * | |
| IV | 2.448 | 4.294 | 5.496 | 0.002 | ** | |
| V | 4.409 | 7.674 | 11.868 | 0.074 | ||
| VI | 4.538 | 8.708 | 9.148 | 0.058 | ||
Publisher’s Note: MDPI stays neutral with regard to jurisdictional claims in published maps and institutional affiliations. |
© 2021 by the authors. Licensee MDPI, Basel, Switzerland. This article is an open access article distributed under the terms and conditions of the Creative Commons Attribution (CC BY) license (https://creativecommons.org/licenses/by/4.0/).
Share and Cite
Tan, Q.; Wang, Y.; Li, Z.; Wang, D.; Lam, W.-K.; Wong, D.W.-C.; Peng, Y.; Zhang, G.; Zhang, M. Spectral Analysis of Muscle Hemodynamic Responses in Post-Exercise Recovery Based on Near-Infrared Spectroscopy. Sensors 2021, 21, 3072. https://doi.org/10.3390/s21093072
Tan Q, Wang Y, Li Z, Wang D, Lam W-K, Wong DW-C, Peng Y, Zhang G, Zhang M. Spectral Analysis of Muscle Hemodynamic Responses in Post-Exercise Recovery Based on Near-Infrared Spectroscopy. Sensors. 2021; 21(9):3072. https://doi.org/10.3390/s21093072
Chicago/Turabian StyleTan, Qitao, Yan Wang, Zengyong Li, Daifa Wang, Wing-Kai Lam, Duo Wai-Chi Wong, Yinghu Peng, Guoxin Zhang, and Ming Zhang. 2021. "Spectral Analysis of Muscle Hemodynamic Responses in Post-Exercise Recovery Based on Near-Infrared Spectroscopy" Sensors 21, no. 9: 3072. https://doi.org/10.3390/s21093072
APA StyleTan, Q., Wang, Y., Li, Z., Wang, D., Lam, W.-K., Wong, D. W.-C., Peng, Y., Zhang, G., & Zhang, M. (2021). Spectral Analysis of Muscle Hemodynamic Responses in Post-Exercise Recovery Based on Near-Infrared Spectroscopy. Sensors, 21(9), 3072. https://doi.org/10.3390/s21093072

