What Can We Learn from Depth Camera Sensor Noise?
Abstract
:1. Introduction
2. Background
2.1. Depth Imaging
- Stereo imaging [7,8]—Cameras using this technology consist of at least two cameras that capture standard 2D RGB images. They are positioned in parallel along a baseline and are activated simultaneously to capture multiple views of the same scene. Correspondences between points in the two views are determined and triangulation is used to compute the distance from camera of the 3D scene points.
- Structured light (Projected-light sensors) [9,10,11]—This active sensing technology, projects patterns of IR light onto the scene. The projected pattern of IR light is captured by the camera’s IR sensor. The patterns of light are designed to easily determine correspondences between the original light pattern that was projected and the pattern of light reflected from the scene. As in stereo imaging, triangulation is then used to compute the depth of the 3D scene points.
- Time of flight (ToF) [12,13]—Cameras with this sensing technology project an IR light wave which is reflected from objects in the scene and captured back by the camera’s IR sensor. The shift between the projected light and the captured reflected light allows to estimate the distance from the camera to the scene object. Two types of ToF cameras are used: Continuous wave modulation [14] in which the frequency of the projected IR wave is varied and the phase delay is measured to evaluate depth. Pulse light modulation [15] in which a very short pulse of light is projected and the time till its return is measured. This approach avoids dealing with phase and thus overcomes issues of phase ambiguity.
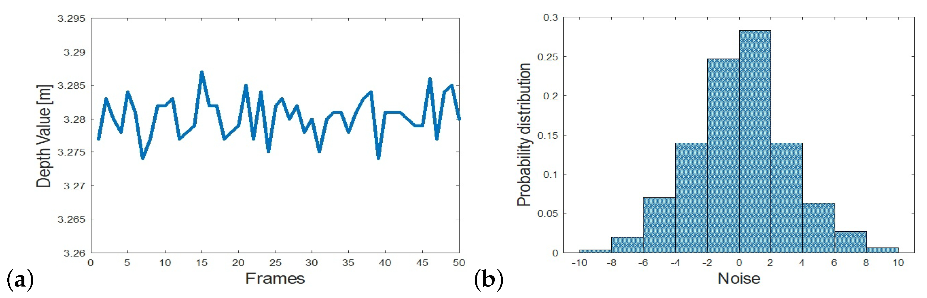
2.2. Depth Camera Sensor Noise
3. Determining Object Position from Sensor Noise
4. Determining Source Camera from Sensor Noise
5. Distinguishing Real from Fake Faces Using Sensor Noise
6. Determining Scene Illumination Direction from Sensor Noise
7. Shadows in Depth Images
7.1. Shadow Size
7.2. Sensor Shadow as a Source Camera Identifier
7.3. Sensor Shadow Inconsistencies
8. Conclusions
Author Contributions
Funding
Institutional Review Board Statement
Informed Consent Statement
Data Availability Statement
Conflicts of Interest
References
- Halmetschlager-Funek, G.; Suchi, M.; Kampel, M.; Vincze, M. An empirical evaluation of ten depth cameras: Bias, precision, lateral noise, different lighting conditions and materials, and multiple sensor setups in indoor environments. IEEE Robot. Autom. Mag. 2018, 26, 67–77. [Google Scholar] [CrossRef]
- Mallick, T.; Das, P.P.; Majumdar, A.K. Characterizations of Noise in Kinect Depth Images: A Review. IEEE Sens. J. 2014, 14, 1731–1740. [Google Scholar] [CrossRef]
- Khoshelham, K.; Elberink, E.O. Accuracy and resolution of kinect depth data for indoor mapping applications. IEEE Sens. J. 2012, 12, 1437–1454. [Google Scholar] [CrossRef] [PubMed] [Green Version]
- Choo, B.; Landau, M.; DeVore, M.; Beling, P.A. Statistical Analysis-Based Error Models for the Microsoft Kinect Depth Sensor. Sensors 2014, 14, 17430–17450. [Google Scholar] [CrossRef] [PubMed] [Green Version]
- Kazmi, W.; Foix, S.; Alenya, G.; Andersen, H.J. Indoor and outdoor depth imaging of leaves with time-of-flight and stereo vision sensors: Analysis and comparison. ISPRS J. Photogramm. Remote Sens. 2014, 88, 128–146. [Google Scholar] [CrossRef] [Green Version]
- Bilissi, E.; Langford, M. Langford’s Advanced Photography; Focal Press: Oxford, UK, 2011. [Google Scholar]
- Scharstein, D.; Szeliski, R. A taxonomy and evaluation of dense two-frame stereo correspondence algorithms. Int. J. Comput. Vis. 2002, 47, 7–42. [Google Scholar] [CrossRef]
- Grewe, L.L.; Kak, A.C. Stereo Vision. In Handbook of Pattern Recognition and Image Processing: Computer Vision; Young, T.Y., Ed.; Academic Press: Cambridge, MA, USA, 1994; pp. 239–317. [Google Scholar]
- Geng, J. Structured-light 3D surface imaging: A tutorial. Adv. Opt. Photonics 2011, 3, 128–160. [Google Scholar] [CrossRef]
- Sa, A.M.; de Medeiros Filho, E.S.; Carvalho, P.C.P.; Velho, L. Coded structured light for 3d-photography: An overview. Rita 2002, 9, 203–219. [Google Scholar]
- Freedman, B.; Shpunt, A.; Machline, M.; Arieli, Y. Depth Mapping Using Projected Patterns. US Patent Number 20080240502, 3 April 2012. [Google Scholar]
- Foix, S.; Aleny, G.; Torras, C. Lock-in Time-of-Flight (ToF’) Cameras: A Survey. IEEE Sens. J. 2011, 11, 1917–1926. [Google Scholar] [CrossRef] [Green Version]
- Hansard, M.; Lee, S.; Choi, O.; Horaud, R. Time of Flight Cameras: Principles, Methods, and Applications; Springer: London, UK, 2012. [Google Scholar]
- Frank, M.; Plaue, M.; Rapp, H.; Köthe, U.; Jähne, B.; Hamprecht, F.A. Theoretical and experimental error analysis of continuous-wave time-of-flight range cameras. Opt. Eng. 2009, 48, 013602. [Google Scholar]
- Sarbolandi, H.; Plack, M.; Kolb, A. Pulse based time-of-flight range sensing. Sensors 2018, 18, 1679. [Google Scholar] [CrossRef] [PubMed] [Green Version]
- Remondino, F.; Stoppa, D. TOF Range-Imaging Cameras; Springer: Berlin, Germany, 2013. [Google Scholar]
- Grzegorzek, M.; Theobalt, C.; Koch, R.; Kolb, A. Time-of-Flight and Depth Imaging. Sensors, Algorithms and Applications; Springer: Berlin, Germany, 2013. [Google Scholar]
- Falie, D.; Buzuloiu, V. Noise Characteristics of 3D Time-of-Flight Cameras. In Proceedings of the International Symposium on Signals, Circuits and Systems, ISSCS, Iasi, Romania, 13–14 July 2007; Volume 1, pp. 1–4. [Google Scholar]
- Lachat, E.; Macher, H.; Mittet, M.A.; Landes, T.; Grussenmeyer, P. First Experiences with Kinect v2 Sensor for Close Range 3d Modelling. ISPRS—Int. Arch. Photogramm. Remote. Sens. Spat. Inf. Sci. 2015, XL-5/W4, 93–100. [Google Scholar] [CrossRef] [Green Version]
- Mure-Dubois, J.; Hugli, H. Real-time scattering compensation for time-of-flight camera. In Proceedings of the ICVS Workshop on Camera Calibration Methods for Computer, Bielefeld, Germany, 21–24 March 2007. [Google Scholar]
- Hussmann, S.; Hermansk, A.; Edeler, T. Real-Time Motion Artifact Suppression in TOF Camera Systems. IEEE Trans. Instrum. Meas. 2011, 60, 1682–1690. [Google Scholar] [CrossRef]
- Lindner, M.; Kolb, A. Compensation of Motion Artifacts for Time-of-Flight Cameras. In Dynamic 3D Imaging; Kolb, A., Koch, R., Eds.; Springer: Berlin/Heidelberg, Germany, 2009; Volume 5742, pp. 16–27. [Google Scholar]
- Lee, S. Time-of-Flight Depth Camera Motion Blur Detection and Deblurring. IEEE Signal Process. Lett. 2014, 21, 663–666. [Google Scholar] [CrossRef]
- Gupta, M.; Yin, Q.; Nayar, S.K. Structured Light in Sunlight. In Proceedings of the IEEE International Conference on Computer Vision (ICCV), Sydney, Australia, 1–8 December 2013. [Google Scholar]
- Yu, Y.; Song, Y.; Zhang, Y.; Wen, S. A Shadow Repair Approach for Kinect Depth Maps. In Proceedings of the Asian Conference on Computer Vision, ACCV’12 2013, Daejeon, Korea, 5–9 November 2012; pp. 615–626. [Google Scholar]
- Reynolds, M.; Dobos, J.; Peel, L.; Weyrich, T.; Brostow, G.J. Capturing Time-of-Flight data with confidence. In Proceedings of the Computer Vision and Pattern Recognition (CVPR), Colorado Springs, CO, USA, 20–25 June 2011; pp. 945–952. [Google Scholar]
- Andersen, M.R.; Jensen, T.; Lisouski, P.; Mortensen, A.K.; Hansen, M. Kinect Depth Sensor Evaluation for Computer Vision Applications; Technical Report ECE-TR-6; Department of Electrical & Computer Engineering, Aarhus University: Aarhus, Denmark, 2012. [Google Scholar]
- Nguyen, C.; Izadi, S.; Lovell, D. Modeling Kinect Sensor Noise for Improved 3D Reconstruction and Tracking. In Proceedings of the 3D Imaging, Modeling, Processing, Visualization and Transmission (3DIMPVT), Zurich, Switzerland, 13–15 October 2012; pp. 524–530. [Google Scholar]
- Park, J.H.; Shin, Y.D.; Bae, J.H.; Baeg, M.H. Spatial Uncertainty Model for Visual Features Using a Kinect Sensor. Sensors 2012, 12, 8640–8662. [Google Scholar] [CrossRef] [PubMed] [Green Version]
- Smisek, J.; Jancosek, M.; Pajdla, T. 3D with Kinect. In Consumer Depth Cameras for Computer Vision—Research Topics and Applications; Ho, A.T.S., Li, S., Eds.; Springer: New York, NY, USA, 2013. [Google Scholar]
- Microsoft, Kinect (Kinect Version 1). Available online: https://docs.microsoft.com/en-us/archive/blogs/kinectforwindows/ (accessed on 1 January 2020).
- Privman-Horesh, N.; Haider, A.; Hel-Or, H. Forgery Detection in 3D-Sensor Images. In Proceedings of the The IEEE Conference on Computer Vision and Pattern Recognition (CVPR) Workshops, Salt Lake City, UT, USA, 18–23 June 2018. [Google Scholar]
- Hsu, C.W.; Lin, C.J. A Comparison of Methods for Multiclass Support Vector Machines. IEEE Trans. Neural Netw. 2002, 13, 415–425. [Google Scholar] [PubMed] [Green Version]
- Zhang, Z. Microsoft kinect sensor and its effect. IEEE Multimed. 2012, 19, 4–10. [Google Scholar] [CrossRef] [Green Version]
- ZED Stereo Camera by Stereolabs. Available online: https://www.stereolabs.com/ (accessed on 5 February 2022).
- Lai, K.; Bo, L.; Ren, X.; Fox, D. A large-scale hierarchical multi-view RGB-D object dataset. In Proceedings of the 2011 IEEE International Conference on Robotics and Automation, Shanghai, China, 9–13 May 2011; pp. 1817–1824. [Google Scholar]
- Nesli, E.; Marcel, S. Spoofing in 2D Face Recognition with 3D Masks and Anti-spoofing with Kinect. In Proceedings of the IEEE 6th International Conference on Biometrics: Theory, Applications and Systems (BTAS’13), Arlington, VA, USA, 29 September–2 October 2013; pp. 1–8. [Google Scholar]
- Sudeep, S.V.N.V.S.; Venkata Kiran, S.; Nandan, D.; Kumar, S. An Overview of Biometrics and Face Spoofing Detection. In Proceedings of the ICCCE 2020, Telangana, India, 1–2 February 2020; pp. 871–881. [Google Scholar]
- Kim, W. Face Anti-spoofing: A Comparative Review and Prospects. IEIE Trans. Smart Process. Comput. 2021, 10, 455–463. [Google Scholar] [CrossRef]
- Thepade, S.D.; Dindorkar, M.R.; Chaudhari, P.R.; Bangar, R.B.; Bang, S.V. The Comprehensive Review of Face Anti-Spoofing Techniques. Int. J. Adv. Sci. Technol. 2020, 29, 8196–8205. [Google Scholar]
- Silberman, N.; Hoiem, D.; Kohli, P.; Fergus, R. Indoor Segmentation and Support Inference from RGBD Images. In Proceedings of the ECCV, Florence, Italy, 7–13 October 2012. [Google Scholar]




















| Correct X-Z Prediction | Avg Z Error | Avg X Error | |
|---|---|---|---|
| 1-rank | 73% | 9.61 cm | 38.54 cm |
| 2-rank | 92% | 1.54 cm | 6.62 cm |
| 3-rank | 97% | 0.31 cm | 1.84 cm |
| Camera Unit | % Correct Camera Type Identification |
|---|---|
| KinectV2 (unit #1) (Training) | 98% |
| KinectV2 (unit #2) | 92% |
| KinectV2 (unit #3) | 95% |
| KinectV2 (private Cam1) | 95% |
| KinectV2 (private Cam2) | 87% |
| KinectV2 (private Cam3) | 86% |
| KinectV2 (private Cam4) | 97% |
| KinectV1 (unit #1) (Training) | 90% |
| KinectV1 (unit #2) | 74% |
| KinectV1 (unit #3) | 75% |
| KinectV1 [36] | 92% |
| KinectV1 [36] | 65% |
| KinectV1 [36] | 68% |
| ZED (training) | 96% |
| Measured | D435 | D415 | KinectV1 | ||
|---|---|---|---|---|---|
| 330 | 930 | 63 | 63 | 98 | 85 |
| 450 | 1050 | 42 | 41 | 63 | 55 |
| 750 | 1350 | 20 | 19 | 30 | 26 |
| 940 | 1410 | 10 | 19 | 29 | 7 |
| 1125 | 1810 | 5 | 11 | 17 | 7 |
| 600 | 1100 | 36 | 24 | 38 | 16 |
| 750 | 1030 | 18 | 11 | 18 | 7 |
| 750 | 1350 | 29 | 18 | 30 | 12 |
Publisher’s Note: MDPI stays neutral with regard to jurisdictional claims in published maps and institutional affiliations. |
© 2022 by the authors. Licensee MDPI, Basel, Switzerland. This article is an open access article distributed under the terms and conditions of the Creative Commons Attribution (CC BY) license (https://creativecommons.org/licenses/by/4.0/).
Share and Cite
Haider, A.; Hel-Or, H. What Can We Learn from Depth Camera Sensor Noise? Sensors 2022, 22, 5448. https://doi.org/10.3390/s22145448
Haider A, Hel-Or H. What Can We Learn from Depth Camera Sensor Noise? Sensors. 2022; 22(14):5448. https://doi.org/10.3390/s22145448
Chicago/Turabian StyleHaider, Azmi, and Hagit Hel-Or. 2022. "What Can We Learn from Depth Camera Sensor Noise?" Sensors 22, no. 14: 5448. https://doi.org/10.3390/s22145448
APA StyleHaider, A., & Hel-Or, H. (2022). What Can We Learn from Depth Camera Sensor Noise? Sensors, 22(14), 5448. https://doi.org/10.3390/s22145448

