Planar Junctionless Field-Effect Transistor for Detecting Biomolecular Interactions
Abstract
:1. Introduction
2. Materials and Methods
2.1. pH Test Buffers
2.2. Design Considerations for Planar Junctionless FETs
2.2.1. Wafer Specifications
2.2.2. Thin and Lightly Doped Device Layer
2.3. Device Fabrication
2.3.1. Cleaning SOI Wafer
2.3.2. Thinning Silicon Device Layer
2.3.3. Doping Source and Drain Regions
2.3.4. Defining Silicon Islands
2.3.5. Source and Drain Patterning
2.3.6. Metal Contacts Lift-Off
2.3.7. SU-8 Passivation Layer and Channels
2.4. Chip Design and Encapsulation
2.5. pH Measurement Setup
2.6. Vgs vs. pH and Ids vs. pH Characterization
2.7. Drift Analysis
3. Results and Discussion
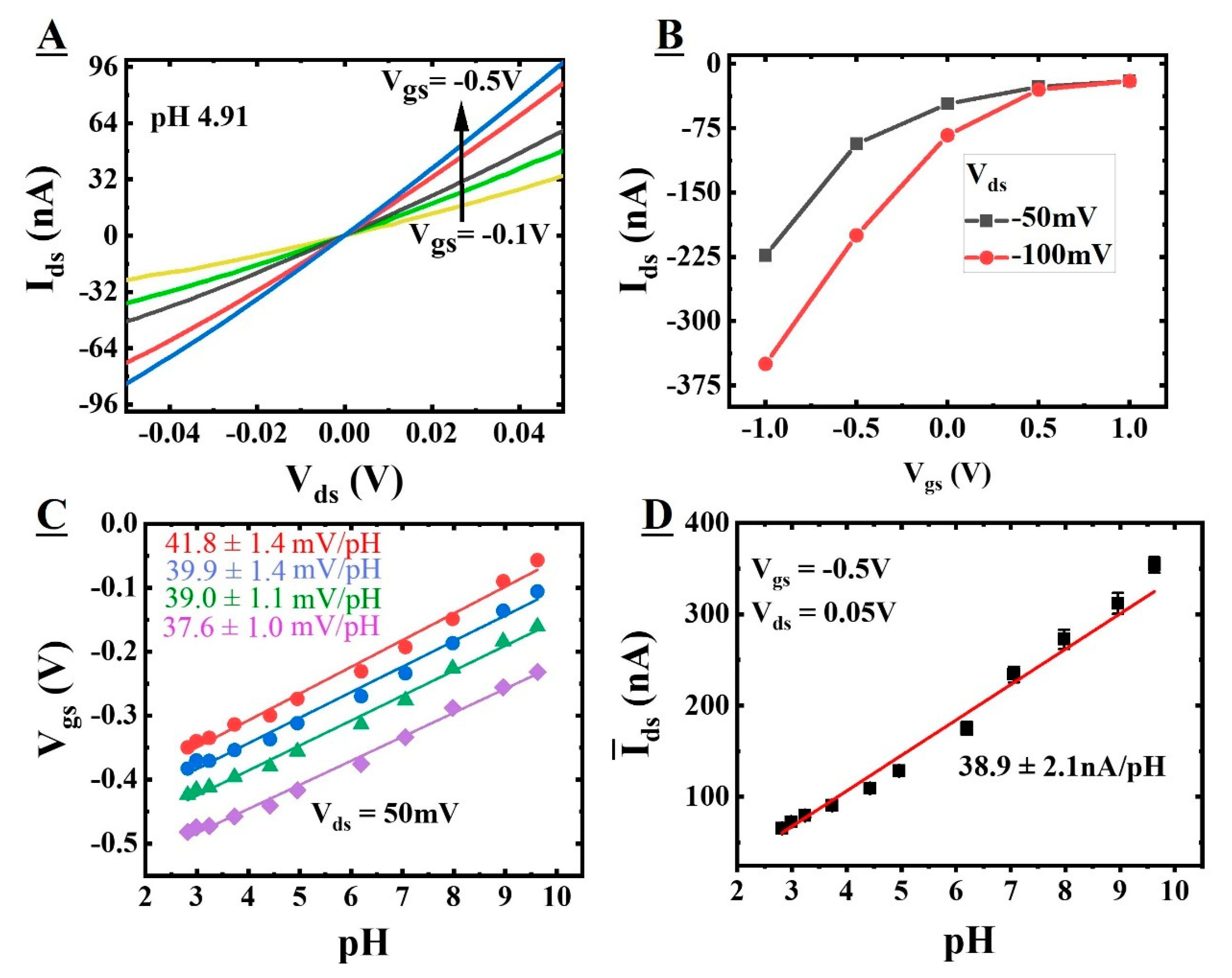
3.1. pH Characterization of 2D Planar JUNCTIONLESS FETs
3.2. Calculating Surface States
3.3. Measuring APTES Functionalization and Monitoring Peptide-Protein Interactions Using Surface Plasmon Resonance (SPR)
3.4. Stability of the Sensor
4. Conclusions
Supplementary Materials
Author Contributions
Funding
Institutional Review Board Statement
Informed Consent Statement
Data Availability Statement
Acknowledgments
Conflicts of Interest
References
- Timp, W.; Timp, G. Beyond mass spectrometry, the next step in proteomics. Sci. Adv. 2020, 6, eaax8978. [Google Scholar] [CrossRef] [Green Version]
- Dallas, D.C.; Guerrero, A.; Parker, E.A.; Robinson, R.C.; Gan, J.N.; German, J.B.; Barile, D.; Lebrilla, C.B. Current peptidomics: Applications, purification, identification, quantification, and functional analysis. Proteomics 2015, 15, 1026–1038. [Google Scholar] [CrossRef] [PubMed]
- Szymczak, L.C.; Kuo, H.Y.; Mrksich, M. Peptide Arrays: Development and Application. Anal. Chem. 2018, 90, 266–282. [Google Scholar] [CrossRef] [PubMed]
- Singh, R.P.; Oh, B.K.; Choi, J.W. Application of peptide nucleic acid towards development of nanobiosensor arrays. Bioelectrochemistry 2010, 79, 153–161. [Google Scholar] [CrossRef] [PubMed]
- Lu, Y.C.; Robbins, P.F. Cancer immunotherapy targeting neoantigens. Semin. Immunol. 2016, 28, 22–27. [Google Scholar] [CrossRef] [PubMed] [Green Version]
- Harndahl, M.; Rasmussen, M.; Roder, G.; Pedersen, I.D.; Sorensen, M.; Nielsen, M.; Buus, S. Peptide-MHC class I stability is a better predictor than peptide affinity of CTL immunogenicity. Eur. J. Immunol. 2012, 42, 1405–1416. [Google Scholar] [CrossRef] [PubMed]
- Ray, S.; Mehta, G.; Srivastava, S. Label-free detection techniques for protein microarrays: Prospects, merits and challenges. Proteomics 2010, 10, 731–748. [Google Scholar] [CrossRef] [PubMed]
- Kim, A.; Ah, C.S.; Yu, H.Y.; Yang, J.H.; Baek, I.B.; Ahn, C.G.; Park, C.W.; Jun, M.S.; Lee, S. Ultrasensitive, label-free, and real-time immunodetection using silicon field-effect transistors. Appl. Phys. Lett. 2007, 91, 103901. [Google Scholar] [CrossRef]
- Bange, A.; Halsall, H.B.; Heineman, W.R. Microfluidic immunosensor systems. Biosens. Bioelectron. 2005, 20, 2488–2503. [Google Scholar] [CrossRef] [PubMed]
- Avolio, R.; Grozdanov, A.; Avella, M.; Barton, J.; Cocca, M.; De Falco, F.; Dimitrov, A.T.; Errico, M.E.; Fanjul-Bolado, P.; Gentile, G.; et al. Review of pH sensing materials from macro- to nano-scale: Recent developments and examples of seawater applications. Crit. Rev. Environ. Sci. Technol. 2022, 52, 979–1021. [Google Scholar] [CrossRef]
- Pfattner, R.; Foudeh, A.M.; Chen, S.C.; Niu, W.J.; Matthews, J.R.; He, M.Q.; Bao, Z.N. Dual-Gate Organic Field-Effect Transistor for pH Sensors with Tunable Sensitivity. Adv. Electron. Mater. 2019, 5, 1800381. [Google Scholar] [CrossRef] [Green Version]
- Rigante, S.; Scarbolo, P.; Wipf, M.; Stoop, R.L.; Bedner, K.; Buitrago, E.; Bazigos, A.; Bouvet, D.; Calame, M.; Schonenberger, C.; et al. Sensing with Advanced Computing Technology: Fin Field-Effect Transistors with High-k Gate Stack on Bulk Silicon. Acs Nano 2015, 9, 4872–4881. [Google Scholar] [CrossRef] [PubMed]
- Toumazou, C.; Georgiou, P.; Bergveld, P. Piet Bergveld-40 years of ISFET technology: From neuronal sensing to DNA sequencing. Electron. Lett. 2011, 47, S7–S12. [Google Scholar] [CrossRef]
- Stern, E.; Wagner, R.; Sigworth, F.J.; Breaker, R.; Fahmy, T.M.; Reed, M.A. Importance of the Debye screening length on nanowire field effect transistor sensors. Nano Lett. 2007, 7, 3405–3409. [Google Scholar] [CrossRef] [PubMed] [Green Version]
- Espinosa, F.M.; Uhlig, M.R.; Garcia, R. Molecular Recognition by Silicon Nanowire Field-Effect Transistor and Single-Molecule Force Spectroscopy. Micromachines 2022, 13, 97. [Google Scholar] [CrossRef] [PubMed]
- Arjmand, T.; Legallais, M.; Nguyen, T.T.T.; Serre, P.; Vallejo-Perez, M.; Morisot, F.; Salem, B.; Ternon, C. Functional Devices from Bottom-Up Silicon Nanowires: A Review. Nanomaterials 2022, 12, 1043. [Google Scholar] [CrossRef] [PubMed]
- Rollo, S.; Rani, D.; Olthuis, W.; Pascual Garcia, C. The influence of geometry and other fundamental challenges for bio-sensing with field effect transistors. Biophys. Rev. 2019, 11, 757–763. [Google Scholar] [CrossRef]
- Rollo, S.; Rani, D.; Leturcq, R.; Olthuis, W.; Pascual Garcia, C. High Aspect Ratio Fin-Ion Sensitive Field Effect Transistor: Compromises toward Better Electrochemical Biosensing. Nano Lett. 2019, 19, 2879–2887. [Google Scholar] [CrossRef] [Green Version]
- Rajan, N.K.; Duan, X.X.; Reed, M.A. Performance limitations for nanowire/nanoribbon biosensors. Wires Nanomed. Nanobi. 2013, 5, 629–645. [Google Scholar] [CrossRef] [PubMed]
- Narang, R.; Saxena, M.; Gupta, M. Analytical Model of pH sensing Characteristics of Junctionless Silicon on Insulator ISFET. IEEE Trans. Electron Devices 2017, 64, 1742–1750. [Google Scholar] [CrossRef]
- Kutovyi, Y.; Madrid, I.; Zadorozhnyi, I.; Boichuk, N.; Kim, S.H.; Fujii, T.; Jalabert, L.; Offenhaeusser, A.; Vitusevich, S.; Clement, N. Noise suppression beyond the thermal limit with nanotransistor biosensors. Sci. Rep. 2020, 10, 12678. [Google Scholar] [CrossRef] [PubMed]
- Grove, A.S. Physics and Technology of Semiconductor Devices; Wiley: New York, NY, USA, 1967; 366p. [Google Scholar]
- Poate, J.M.; Tisone, T.C. Kinetics and Mechanism of Platinum Silicide Formation on Silicon. Appl. Phys. Lett. 1974, 24, 391–393. [Google Scholar] [CrossRef]
- Cohen, S.S.; Piacente, P.A.; Gildenblat, G.; Brown, D.M. Platinum Silicide Ohmic Contacts to Shallow Junctions in Silicon. J. Appl. Phys. 1982, 53, 8856–8862. [Google Scholar] [CrossRef]
- Naem, A.A. Platinum Silicide Formation Using Rapid Thermal-Processing. J. Appl. Phys. 1988, 64, 4161–4167. [Google Scholar] [CrossRef]
- Faber, E.J.; Wolters, R.A.M.; Schmitz, J. On the kinetics of platinum silicide formation. Appl. Phys. Lett. 2011, 98, 082102. [Google Scholar] [CrossRef]
- Chizh, K.V.; Dubkov, V.P.; Senkov, V.M.; Pirshin, I.V.; Arapkina, L.V.; Mironov, S.A.; Orekhov, A.S.; Yuryev, V.A. Low-temperature formation of platinum silicides on polycrystalline silicon. J. Alloys Compd. 2020, 843, 155908. [Google Scholar] [CrossRef]
- Idczak, K.; Owczarek, S.; Markowski, L. Platinum silicide formation on selected semiconductors surfaces via thermal annealing and intercalation. Appl. Surf. Sci. 2022, 572, 151345. [Google Scholar] [CrossRef]
- Gueye, R.; Akiyama, T.; Briand, D.; de Rooij, N.F. Fabrication and formation of Ta/Pt-Si ohmic contacts applied to high-temperature Through Silicon Vias (TSVs). Sens. Actuators A Phys. 2013, 191, 45–50. [Google Scholar] [CrossRef]
- Schasfoort, R.B.M.; Bergveld, P.; Kooyman, R.P.H.; Greve, J. Possibilities and Limitations of Direct Detection of Protein Charges by Means of an Immunological Field-Effect Transistor. Anal. Chim. Acta 1990, 238, 323–329. [Google Scholar] [CrossRef] [Green Version]
- Kanai, Y.; Ohmuro-Matsuyama, Y.; Tanioku, M.; Ushiba, S.; Ono, T.; Inoue, K.; Kitaguchi, T.; Kimura, M.; Ueda, H.; Matsumoto, K. Graphene Field Effect Transistor-Based Immunosensor for Ultrasensitive Noncompetitive Detection of Small Antigens. ACS Sens. 2020, 5, 24–28. [Google Scholar] [CrossRef] [PubMed]
- Thong, J.T.L.; Choi, W.K.; Chong, C.W. TMAH etching of silicon and the interaction of etching parameters. Sens. Actuat. A-Phys. 1997, 63, 243–249. [Google Scholar] [CrossRef]
- Guarnieri, V.; Biazi, L.; Marchiori, R.; Lago, A. Platinum metallization for MEMS application. Focus on coating adhesion for biomedical applications. Biomatter 2014, 4, e28822. [Google Scholar] [CrossRef] [PubMed] [Green Version]
- Sinha, A.K. Electrical Characteristics and Thermal-Stability of Platinum Silicide-to-Silicon Ohmic Contacts Metalized with Tungsten. J. Electrochem. Soc. 1973, 120, 1767–1771. [Google Scholar] [CrossRef]
- Medina-Bailon, C.; Kumar, N.; Dhar, R.P.S.; Todorova, I.; Lenoble, D.; Georgiev, V.P.; Garcia, C.P. Comprehensive Analytical Modelling of an Absolute pH Sensor. Sensors 2021, 21, 5190. [Google Scholar] [CrossRef] [PubMed]
- Tarasov, A.; Wipf, M.; Stoop, R.L.; Bedner, K.; Fu, W.; Guzenko, V.A.; Knopfmacher, O.; Calame, M.; Schonenberger, C. Understanding the electrolyte background for biochemical sensing with ion-sensitive field-effect transistors. ACS Nano 2012, 6, 9291–9298. [Google Scholar] [CrossRef]
- vanHal, R.E.G.; Eijkel, J.C.T.; Bergveld, P. A general model to describe the electrostatic potential at electrolyte oxide interfaces. Adv. Colloid. Interfac. 1996, 69, 31–62. [Google Scholar] [CrossRef] [Green Version]
- Rani, D.; Pachauri, V.; Mueller, A.; Vu, X.T.; Nguyen, T.C.; Ingebrandt, S. On the Use of Scalable NanoISFET Arrays of Silicon with Highly Reproducible Sensor Performance for Biosensor Applications. Acs Omega 2016, 1, 84–92. [Google Scholar] [CrossRef] [Green Version]
- Kumar, N.; Dhar, R.P.S.; García, C.P.; Georgiev, V. Discovery of Amino Acid fingerprints transducing their amphoteric signatures by field-effect transistors. Nanoscience 2022. [Google Scholar] [CrossRef]
- Dhar, R.; Kumar, N.; Pascual Garcia, C.; Georgiev, V. Assessing the effect of Scaling High-Aspect-Ratio ISFET with Physical Model Interface for Nano-Biosensing Application. Solid-State Electron. 2022, 195, 108374. [Google Scholar] [CrossRef]
- Parizi, K.B.; Xu, X.Q.; Pal, A.; Hu, X.L.; Wong, H.S.P. ISFET pH Sensitivity: Counter-Ions Play a Key Role. Sci. Rep. 2017, 7, 41305. [Google Scholar] [CrossRef] [Green Version]
- Bandiziol, A.; Palestri, P.; Pittino, F.; Esseni, D.; Selmi, L. A TCAD-Based Methodology to Model the Site-Binding Charge at ISFET/Electrolyte Interfaces. IEEE Trans. Electron Devices 2015, 62, 3379–3386. [Google Scholar] [CrossRef]
- Rani, D.; Rollo, S.; Olthuis, W.; Krishnamoorthy, S.; Garcia, C.P. Combining Chemical Functionalization and FinFET Geometry for Field Effect Sensors as Accessible Technology to Optimize pH Sensing. Chemosensors 2021, 9, 20. [Google Scholar] [CrossRef]
- Ghorbanpour, M.; Falamaki, C. A novel method for the fabrication of ATPES silanized SPR sensor chips: Exclusion of Cr or Ti intermediate layers and optimization of optical/adherence properties. Appl. Surf. Sci. 2014, 301, 544–550. [Google Scholar] [CrossRef]
- Wipf, M.; Stoop, R.L.; Navarra, G.; Rabbani, S.; Ernst, B.; Bedner, K.; Schonenberger, C.; Calame, M. Label-Free FimH Protein Interaction Analysis Using Silicon Nanoribbon BioFETs. ACS Sens. 2016, 1, 781–788. [Google Scholar] [CrossRef]
- Ozkumur, E.; Needham, J.W.; Bergstein, D.A.; Gonzalez, R.; Cabodi, M.; Gershoni, J.M.; Goldberg, B.B.; Unlu, M.S. Label-free and dynamic detection of biomolecular interactions for high-throughput microarray applications. Prac. Natl. Acad. Sci. USA 2008, 105, 7988–7992. [Google Scholar] [CrossRef] [PubMed] [Green Version]






| Surface Groups | Surface Concentration (ng/cm2) | Calculated Molecular Density (/cm2) |
|---|---|---|
| APTES | 470 | 1.3 × 1015 |
| Peptide | 70 | 2.3 × 1013 |
| pAb (solution concentrations in the range of 0.1–20 µg/mL) | 7–934 | 2.8 × 1010–1.8 × 1012 |
Publisher’s Note: MDPI stays neutral with regard to jurisdictional claims in published maps and institutional affiliations. |
© 2022 by the authors. Licensee MDPI, Basel, Switzerland. This article is an open access article distributed under the terms and conditions of the Creative Commons Attribution (CC BY) license (https://creativecommons.org/licenses/by/4.0/).
Share and Cite
Shukla, R.P.; Bomer, J.G.; Wijnperle, D.; Kumar, N.; Georgiev, V.P.; Singh, A.C.; Krishnamoorthy, S.; Pascual García, C.; Pud, S.; Olthuis, W. Planar Junctionless Field-Effect Transistor for Detecting Biomolecular Interactions. Sensors 2022, 22, 5783. https://doi.org/10.3390/s22155783
Shukla RP, Bomer JG, Wijnperle D, Kumar N, Georgiev VP, Singh AC, Krishnamoorthy S, Pascual García C, Pud S, Olthuis W. Planar Junctionless Field-Effect Transistor for Detecting Biomolecular Interactions. Sensors. 2022; 22(15):5783. https://doi.org/10.3390/s22155783
Chicago/Turabian StyleShukla, Rajendra P., J. G. Bomer, Daniel Wijnperle, Naveen Kumar, Vihar P. Georgiev, Aruna Chandra Singh, Sivashankar Krishnamoorthy, César Pascual García, Sergii Pud, and Wouter Olthuis. 2022. "Planar Junctionless Field-Effect Transistor for Detecting Biomolecular Interactions" Sensors 22, no. 15: 5783. https://doi.org/10.3390/s22155783
APA StyleShukla, R. P., Bomer, J. G., Wijnperle, D., Kumar, N., Georgiev, V. P., Singh, A. C., Krishnamoorthy, S., Pascual García, C., Pud, S., & Olthuis, W. (2022). Planar Junctionless Field-Effect Transistor for Detecting Biomolecular Interactions. Sensors, 22(15), 5783. https://doi.org/10.3390/s22155783

