SoftMatch: Comparing Scanpaths Using Combinatorial Spatio-Temporal Sequences with Fractal Curves
Abstract
1. Introduction
1.1. String Editing Methods
- Shape, used to measure the similarity in scanpath shape by producing the differences in aligned saccades as a vector.
- Length, used to measure the similarity in saccadic amplitude through the difference in saccade vector endpoints.
- Direction, used to measure the distance between saccades using their angles.
- Position, used to measure the Euclidean distance between aligned fixations.
- Duration, used to measure how long a fixation lingers between aligned fixations.
1.2. Human Gaze Physiology
1.3. Saccades and Fixations in Scanpaths
1.4. Fractal Space Filling Curves
1.5. Recurrence Measurement with Multidimensional Data
1.6. Problems with Assumed Collinearity
2. Methods
2.1. Stimuli and Participants
2.2. Fixation Position Using Hilbert Curves
2.3. Outlier Identification
2.4. Time Binning
2.5. Measuring Curve Similarity
2.6. Method Parameters
2.6.1. Quantisation
2.6.2. Time Binning
3. Statistics and Testing
4. Results
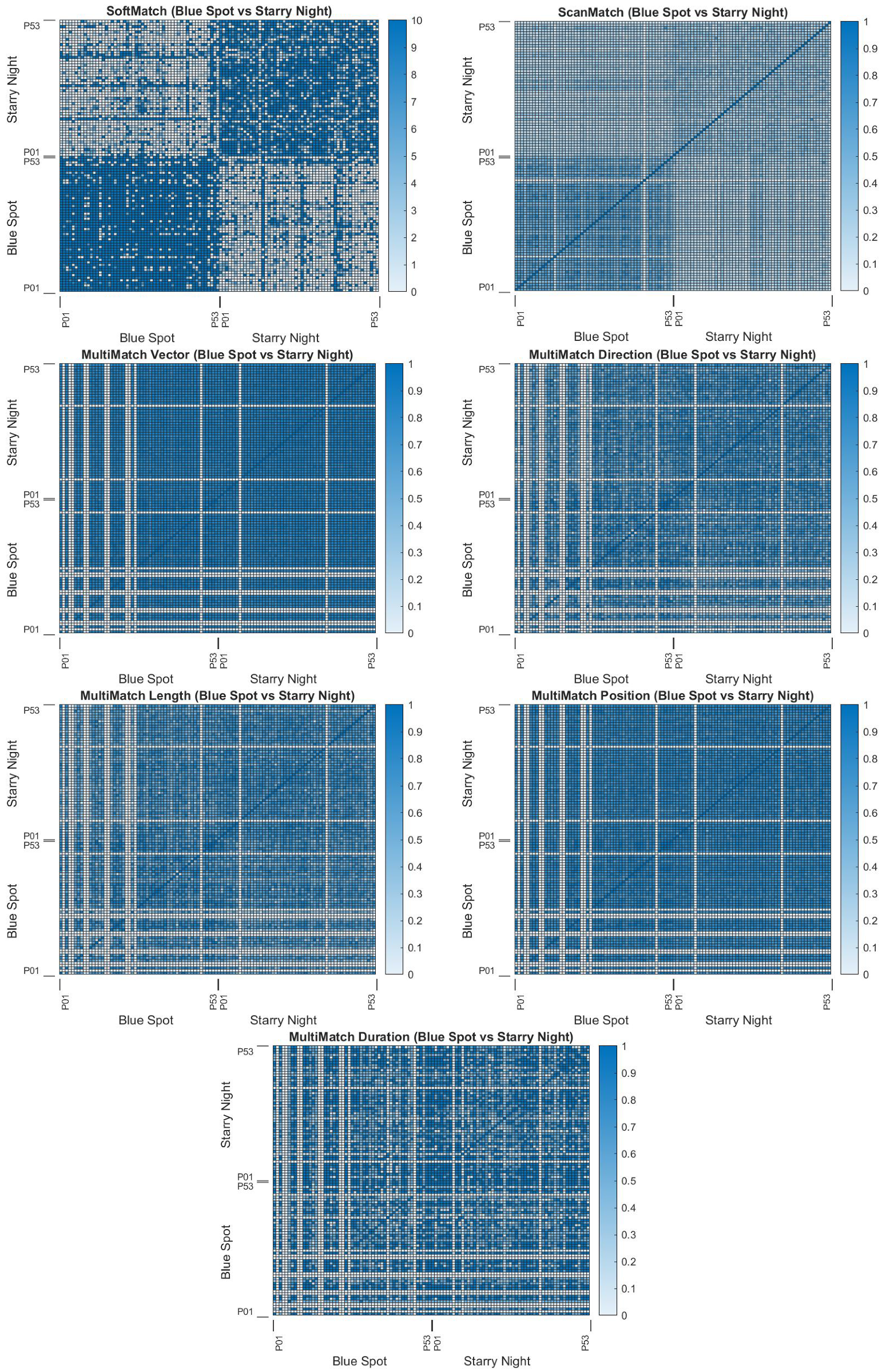
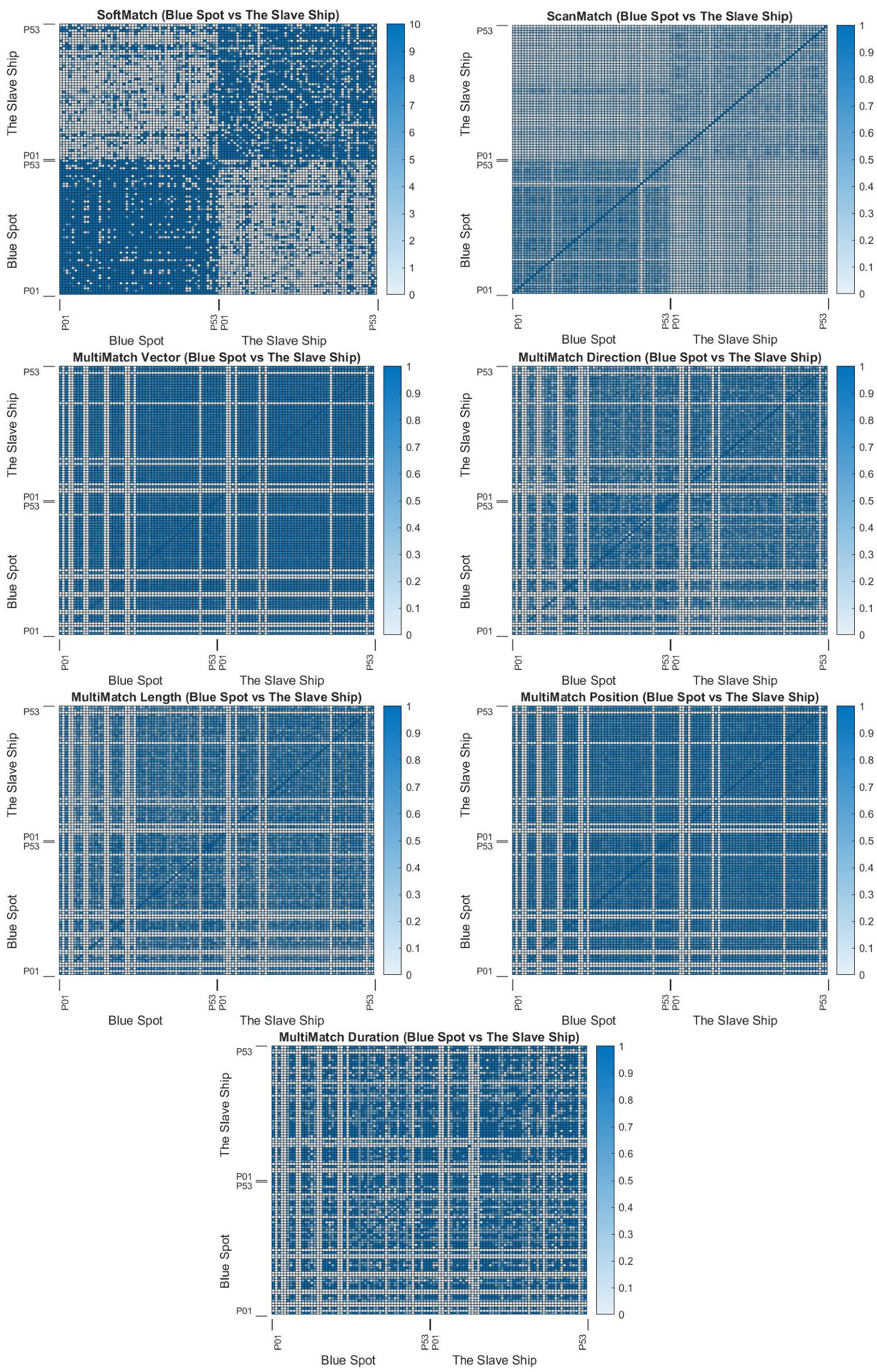
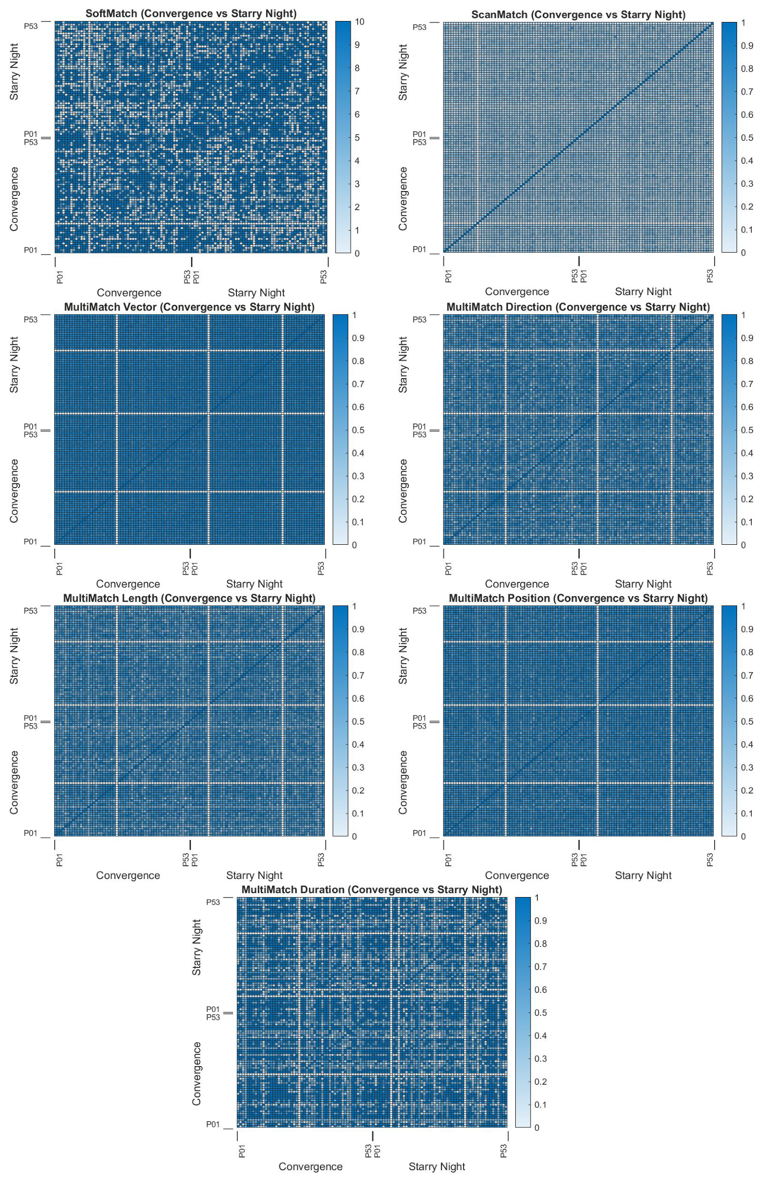
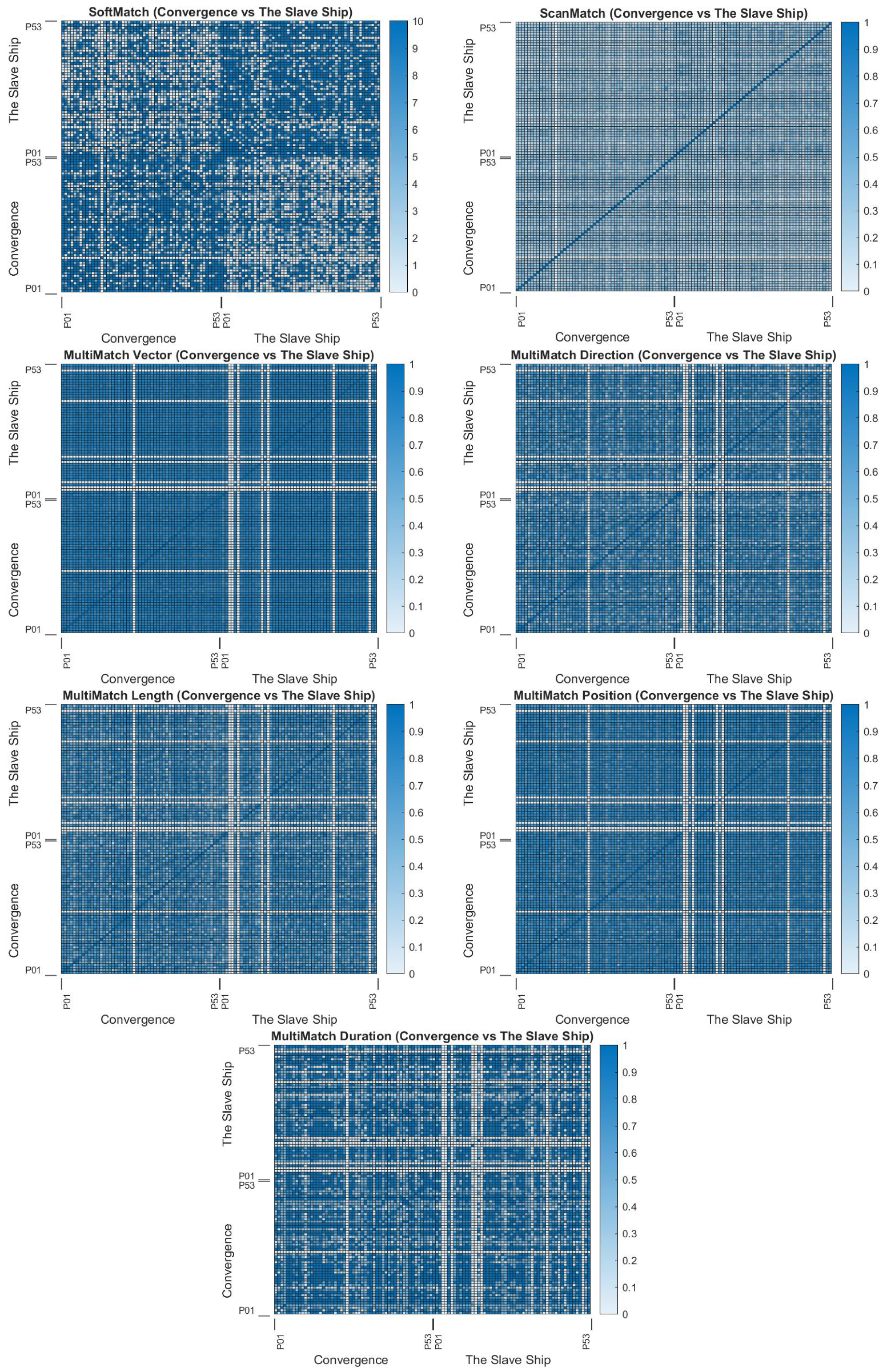
4.1. Artificial Scanpath Matching Experiment
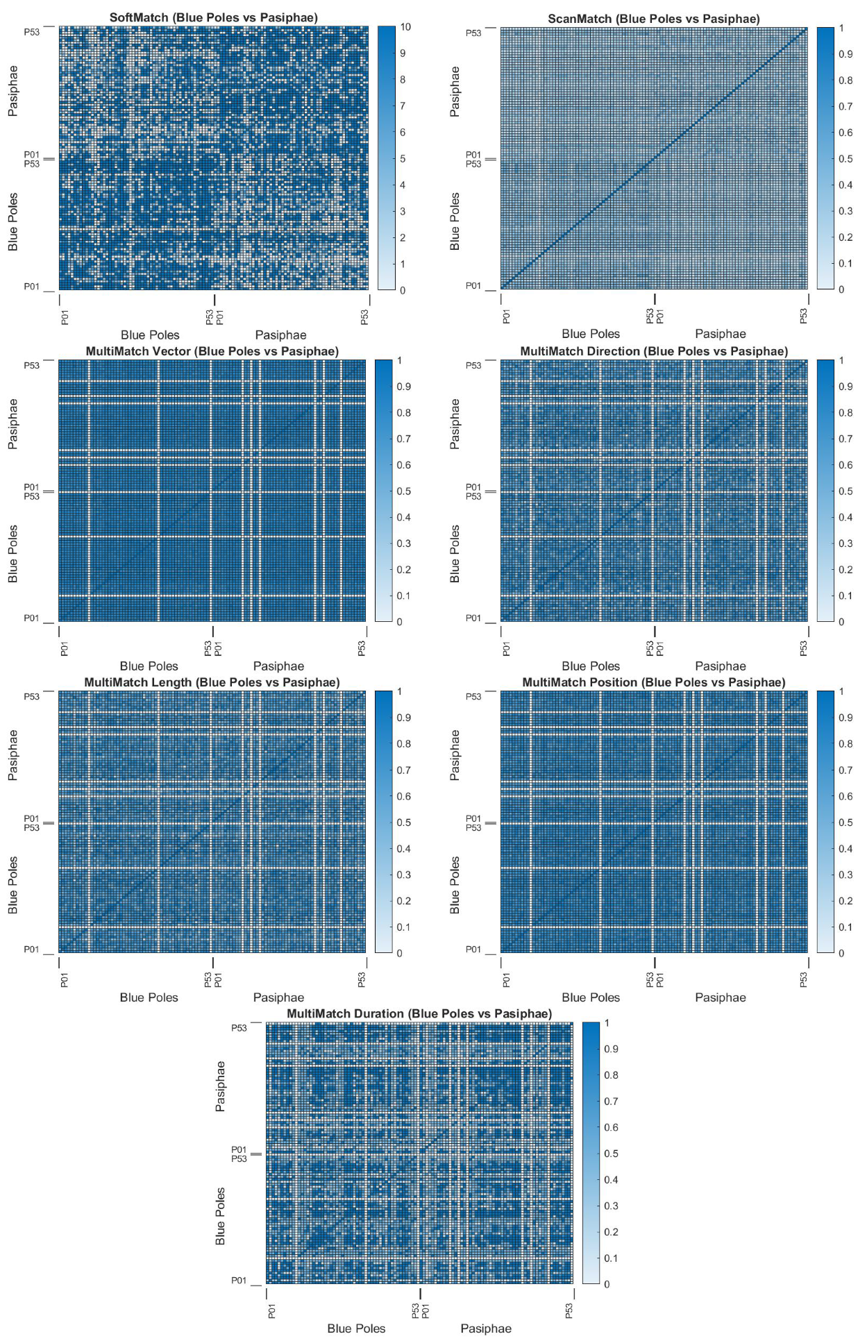
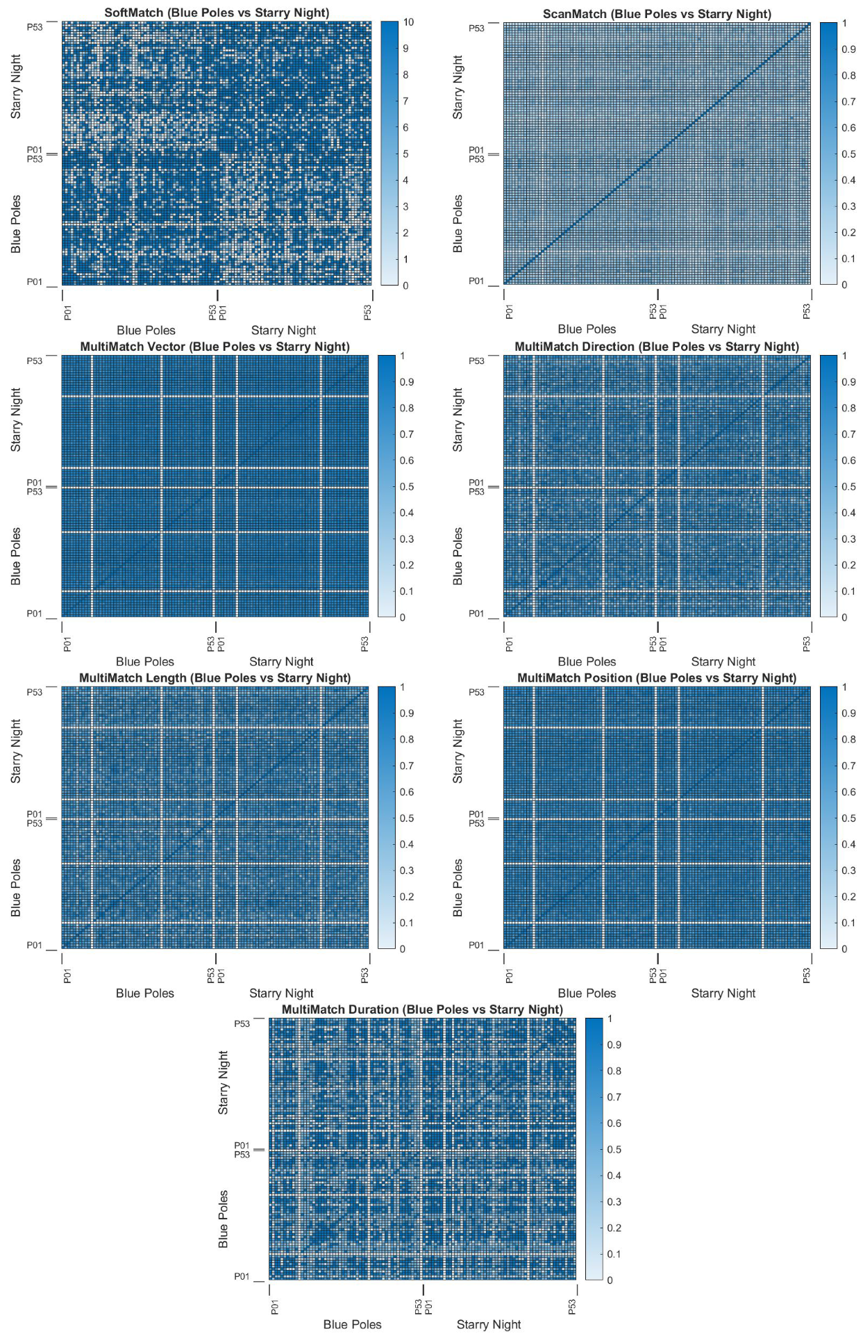
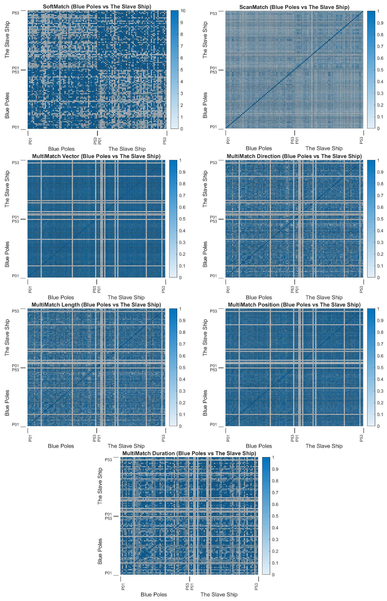
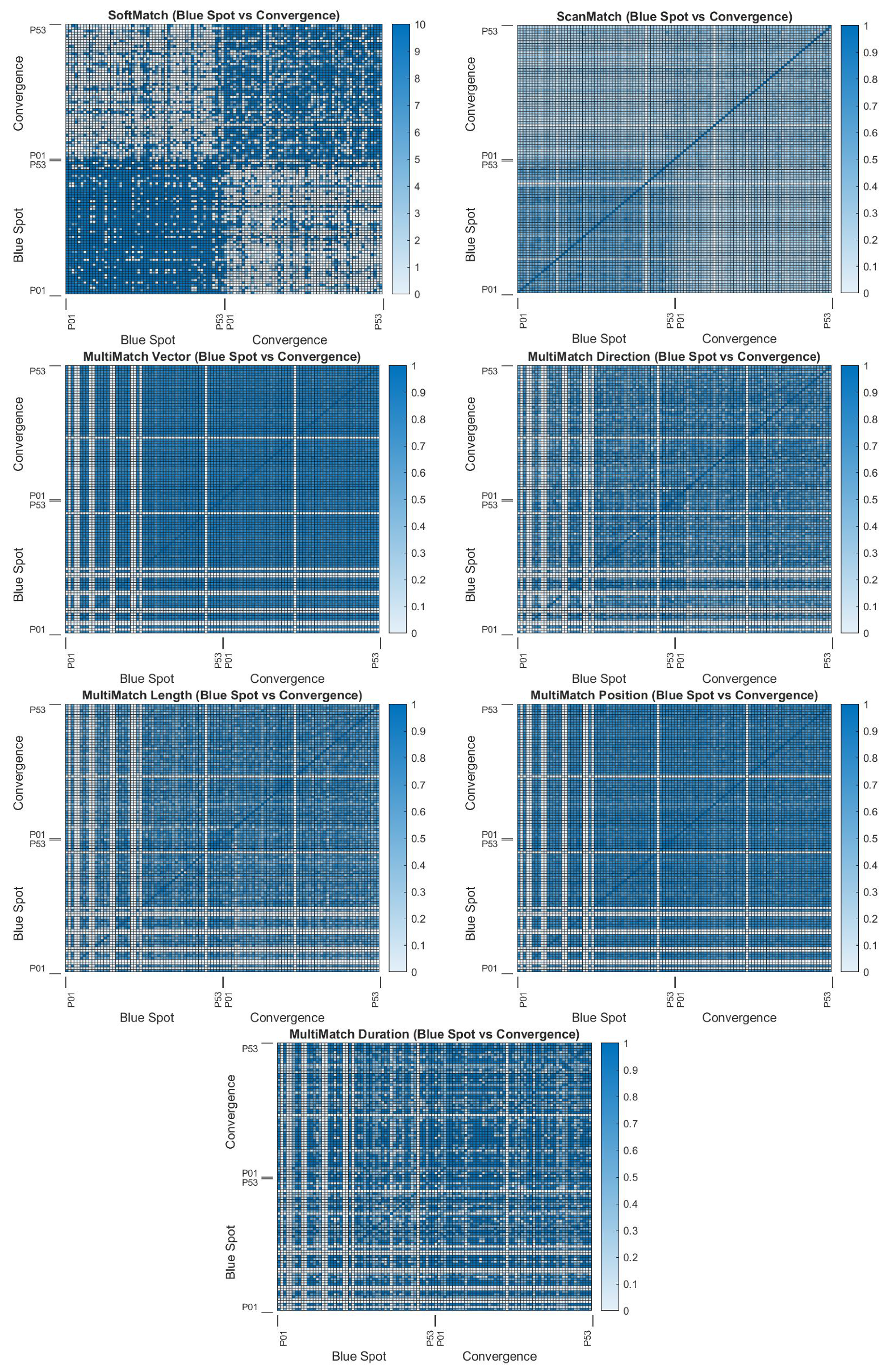
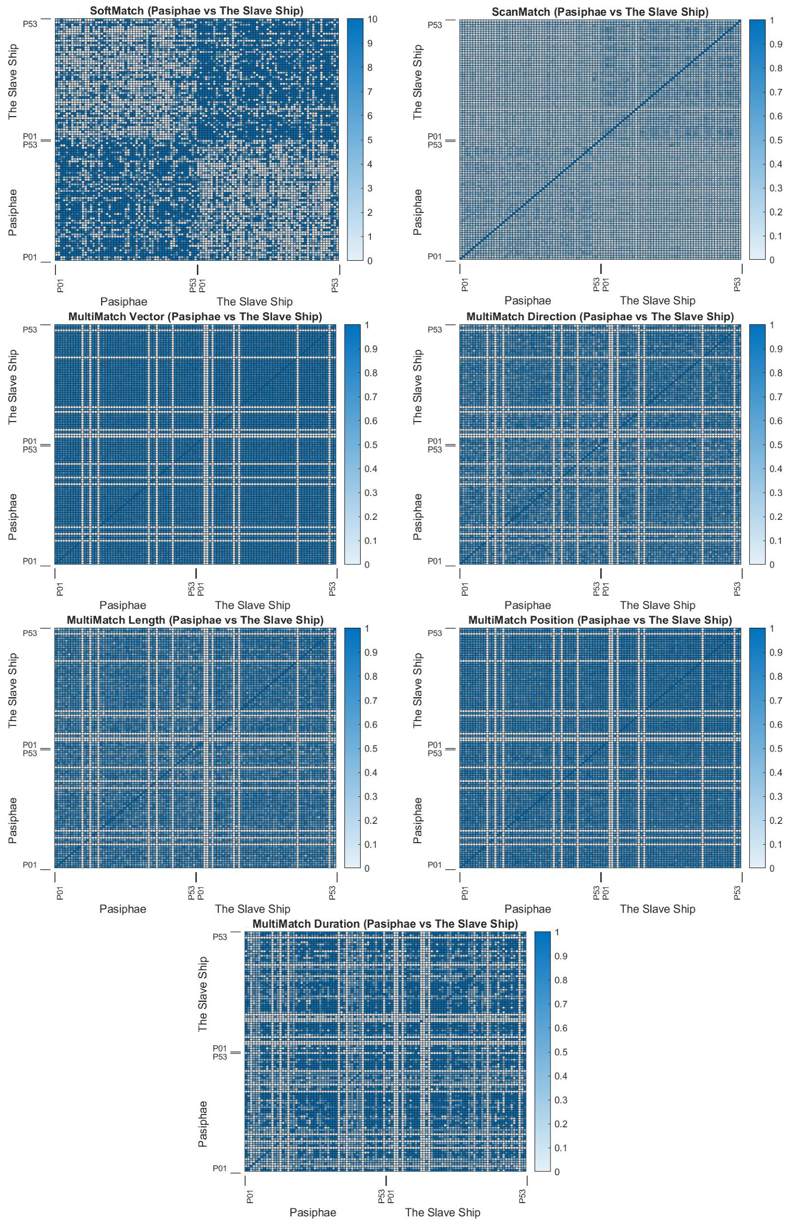
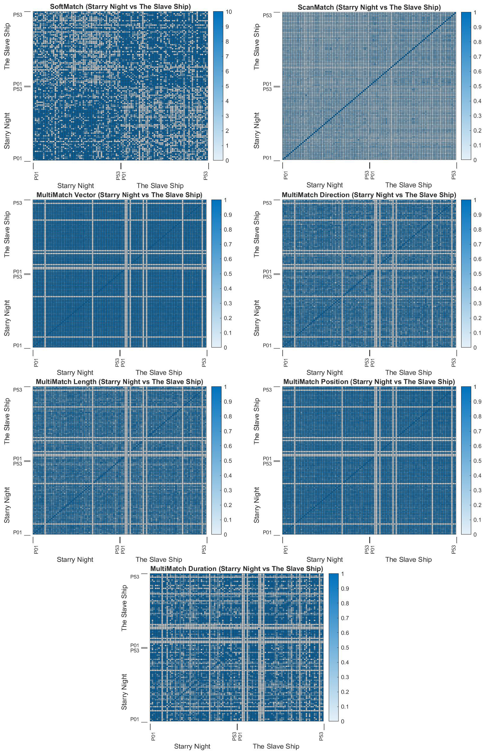
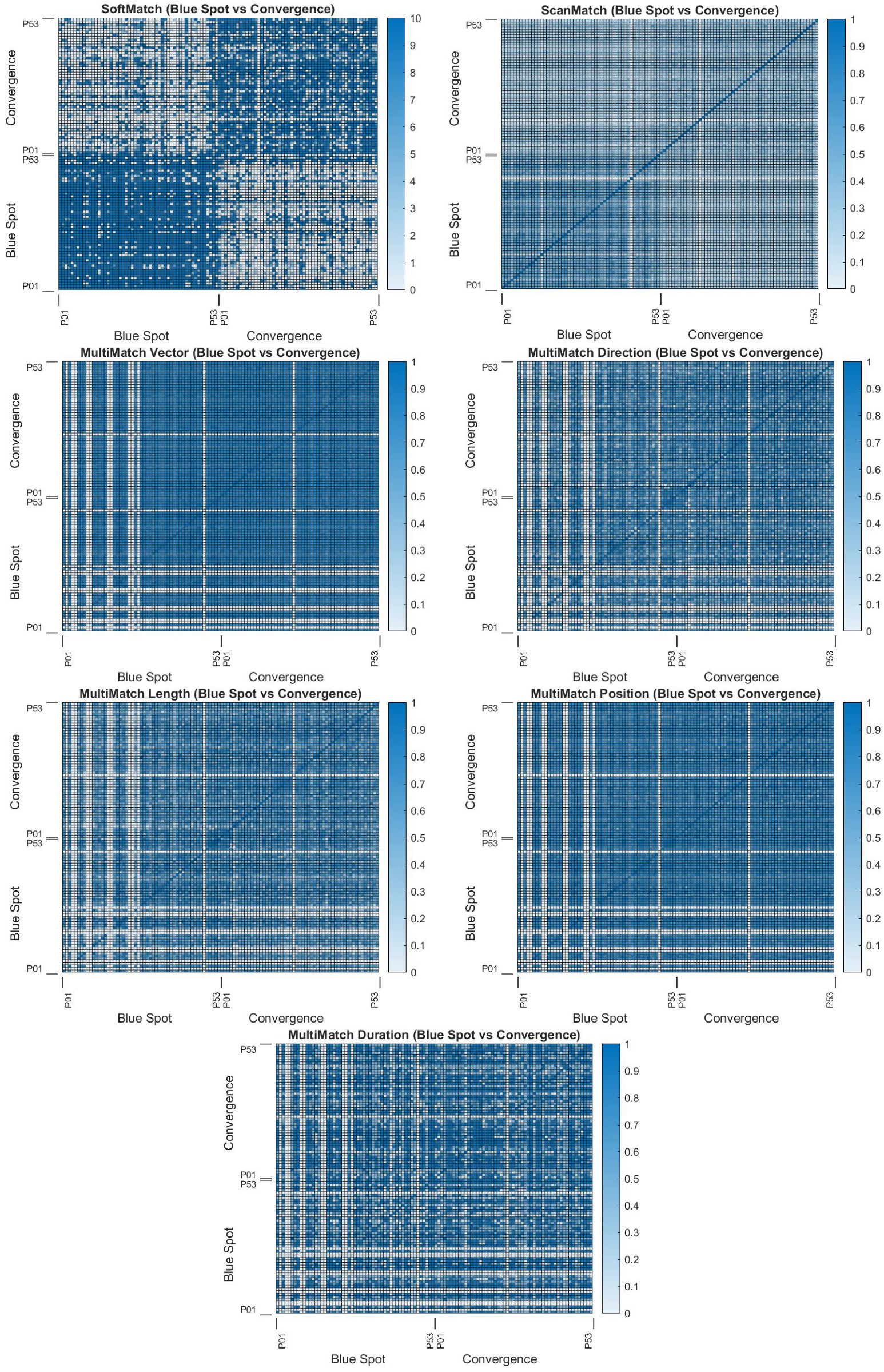
4.2. Real Scanpath Matching Experiment
Reliability and Uniformity
5. Discussion
6. Conclusions
Author Contributions
Funding
Institutional Review Board Statement
Informed Consent Statement
Data Availability Statement
Acknowledgments
Conflicts of Interest
Appendix A















| SoftMatch | p-Value | Effect Size | ||||
|---|---|---|---|---|---|---|
| Match Pair | AvA vs. AvA | AvA vs. AvB | BvB vs. AvB | BvB vs. BvB | AvA vs. AvB | BvB vs. AvB |
| Blue Poles vs. Blue Spot | 0.49465 | 0.017122 | 1.93 × | 0.52246 | 0.43011 | 1.0109 |
| Blue Poles vs. Convergence | 0.49347 | 0.25058 | 0.30436 | 0.51081 | 0.19909 | 0.17048 |
| Blue Poles vs. Pasiphae | 0.48679 | 0.0087026 | 0.0022738 | 0.50324 | 0.43256 | 0.54812 |
| Blue Poles vs. Starry Night | 0.4884 | 0.097013 | 0.02734 | 0.50217 | 0.29583 | 0.3799 |
| Blue Poles vs. Slave Ship | 0.49834 | 0.036134 | 0.0073515 | 0.50448 | 0.38241 | 0.53199 |
| Blue Spot vs. Convergence | 0.50753 | 1.44 × | 0.021894 | 0.51176 | 1.0166 | 0.45826 |
| Blue Spot vs. Pasiphae | 0.51529 | 6.16 × | 0.021169 | 0.52246 | 1.0056 | 0.47291 |
| Blue Spot vs. Starry Night | 0.52459 | 1.77 × | 0.0067916 | 0.50401 | 1.0136 | 0.50545 |
| Blue Spot vs. Slave Ship | 0.50692 | 7.68 × | 0.0001946 | 0.5177 | 1.0438 | 0.83333 |
| Convergence vs. Pasiphae | 0.51362 | 0.015839 | 0.0033566 | 0.49944 | 0.43424 | 0.53429 |
| Convergence vs. Starry Night | 0.51498 | 0.38295 | 0.16885 | 0.49452 | 0.12733 | 0.2462 |
| Convergence vs. Turner | 0.50819 | 0.046322 | 0.0097503 | 0.50245 | 0.3789 | 0.52794 |
| Pasiphae vs. Starry Night | 0.50071 | 0.0028103 | 0.0024894 | 0.49816 | 0.54522 | 0.51281 |
| Pasiphae vs. Slave Ship | 0.52015 | 0.0059023 | 0.0064706 | 0.50023 | 0.62055 | 0.68171 |
| Starry Night vs. Slave Ship | 0.49414 | 0.052357 | 0.046021 | 0.51818 | 0.36831 | 0.40994 |
| ScanMatch | p-Value | Effect Size | ||||
|---|---|---|---|---|---|---|
| Match Pair | AvA vs. AvA | AvA vs. AvB | BvB vs. AvB | BvB vs. BvB | AvA vs. AvB | BvB vs. AvB |
| Blue Poles vs. Blue Spot | 0.50344 | 0.0011269 | 1.70 | 0.50561 | 0.63708 | 1.6689 |
| Blue Poles vs. Convergence | 0.50355 | 0.28329 | 0.51496 | 0.50676 | 0.1836 | −0.0080159 |
| Blue Poles vs. Pasiphae | 0.53182 | 9.86 | 0.20566 | 0.52676 | 0.82049 | 0.2403 |
| Blue Poles vs. Starry Night | 0.49714 | 0.022621 | 0.48565 | 0.49282 | 0.45832 | 0.068167 |
| Blue Poles vs. Slave Ship | 0.50997 | 0.00019244 | 0.0028972 | 0.51166 | 0.74308 | 0.60245 |
| Blue Spot vs. Convergence | 0.51822 | 5.66 | 0.0033476 | 0.50095 | 1.7598 | 0.57523 |
| Blue Spot vs. Pasiphae | 0.5194 | 6.47 | 2.70 | 0.51124 | 2.3258 | 0.9808 |
| Blue Spot vs. Starry Night | 0.50152 | 1.08 | 2.76 | 0.52595 | 2.0374 | 0.80002 |
| Blue Spot vs. Slave Ship | 0.51926 | 3.48 | 4.82 | 0.49876 | 2.2556 | 1.2616 |
| Convergence vs. Pasiphae | 0.50973 | 0.002536 | 0.12405 | 0.51374 | 0.62166 | 0.29488 |
| Convergence vs. Starry Night | 0.50887 | 0.41546 | 0.5139 | 0.49884 | 0.11776 | −0.047047 |
| Convergence vs. Turner | 0.51203 | 0.056072 | 0.010194 | 0.51469 | 0.38004 | 0.48823 |
| Pasiphae vs. Starry Night | 0.49034 | 0.0065178 | 0.00018246 | 0.51879 | 0.5344 | 0.75368 |
| Pasiphae vs. Slave Ship | 0.51323 | 0.0014275 | 1.80 | 0.52469 | 0.61468 | 1.0137 |
| Starry Night vs. Slave Ship | 0.50651 | 0.040815 | 0.0011885 | 0.50219 | 0.40999 | 0.63488 |
| MultiMatch | p-Value | Effect Size | ||||
|---|---|---|---|---|---|---|
| Match Pair | AvA vs. AvA | AvA vs. AvB | BvB vs. AvB | BvB vs. BvB | AvA vs. AvB | BvB vs. AvB |
| Blue Poles vs. Blue Spot | 0.51646 | 0.0043146 | 0.498 | 0.5067 | 0.57263 | −0.040202 |
| Blue Poles vs. Convergence | 0.50971 | 0.47197 | 0.27019 | 0.49911 | −0.069875 | 0.20231 |
| Blue Poles vs. Pasiphae | 0.4921 | 0.25568 | 0.4147 | 0.53258 | 0.20738 | −0.11029 |
| Blue Poles vs. Starry Night | 0.5176 | 0.5016 | 0.31079 | 0.51869 | −0.017362 | 0.15487 |
| Blue Poles vs. Slave Ship | 0.51095 | 0.11803 | 0.49355 | 0.50809 | 0.30315 | −0.021785 |
| Blue Spot vs. Convergence | 0.50427 | 0.014789 | 0.049586 | 0.50379 | −0.49709 | 0.37599 |
| Blue Spot vs. Pasiphae | 0.50776 | 0.14077 | 0.51017 | 0.51587 | −0.27385 | 0.022704 |
| Blue Spot vs. Starry Night | 0.51985 | 0.024881 | 0.10708 | 0.48784 | −0.45473 | 0.31452 |
| Blue Spot vs. Slave Ship | 0.50655 | 0.23543 | 0.48601 | 0.51434 | −0.2105 | 0.062971 |
| Convergence vs. Pasiphae | 0.50585 | 0.061811 | 0.20496 | 0.51397 | 0.35307 | −0.24216 |
| Convergence vs. Starry Night | 0.51661 | 0.46029 | 0.51245 | 0.50932 | 0.077057 | −0.010214 |
| Convergence vs. Turner | 0.50548 | 0.016018 | 0.37578 | 0.50827 | 0.45496 | −0.12792 |
| Pasiphae vs. Starry Night | 0.51884 | 0.29382 | 0.12968 | 0.49505 | −0.19573 | 0.28906 |
| Pasiphae vs. Slave Ship | 0.51254 | 0.46309 | 0.47513 | 0.50355 | 0.085018 | 0.066298 |
| Starry Night vs. Slave Ship | 0.51458 | 0.057846 | 0.402 | 0.5121 | 0.35997 | −0.1197 |
| MultiMatch | p-Value | Effect Size | ||||
|---|---|---|---|---|---|---|
| Match Pair | AvA vs. AvA | AvA vs. AvB | BvB vs. AvB | BvB vs. BvB | AvA vs. AvB | BvB vs. AvB |
| Blue Poles vs. Blue Spot | 0.50536 | 0.00076724 | 0.47414 | 0.51184 | 0.68139 | 0.063733 |
| Blue Poles vs. Convergence | 0.51416 | 0.48297 | 0.32656 | 0.51671 | −0.054654 | 0.16213 |
| Blue Poles vs. Pasiphae | 0.52205 | 0.25351 | 0.42004 | 0.50264 | 0.20562 | −0.10814 |
| Blue Poles vs. Starry Night | 0.52086 | 0.49116 | 0.37895 | 0.51398 | −0.040816 | 0.13397 |
| Blue Poles vs. Slave Ship | 0.52111 | 0.13765 | 0.48846 | 0.49619 | 0.28664 | 0.036677 |
| Blue Spot vs. Convergence | 0.50747 | 0.047925 | 0.022843 | 0.49426 | −0.38105 | 0.43671 |
| Blue Spot vs. Pasiphae | 0.502 | 0.26971 | 0.45286 | 0.51357 | −0.19619 | 0.084797 |
| Blue Spot vs. Starry Night | 0.51509 | 0.09363 | 0.022778 | 0.50844 | −0.325 | 0.46224 |
| Blue Spot vs. Slave Ship | 0.51024 | 0.40494 | 0.25003 | 0.52279 | −0.12066 | 0.2052 |
| Convergence vs. Pasiphae | 0.50158 | 0.10764 | 0.2046 | 0.52499 | 0.30247 | −0.24022 |
| Convergence vs. Starry Night | 0.51122 | 0.49962 | 0.50691 | 0.5221 | 0.025064 | −0.0096754 |
| Convergence vs. Turner | 0.49325 | 0.034687 | 0.46908 | 0.52469 | 0.40881 | −0.055778 |
| Pasiphae vs. Starry Night | 0.50198 | 0.26985 | 0.12844 | 0.49924 | −0.19867 | 0.29104 |
| Pasiphae vs. Slave Ship | 0.51128 | 0.49158 | 0.40616 | 0.50761 | 0.066651 | 0.11554 |
| Starry Night vs. Slave Ship | 0.50214 | 0.066823 | 0.47884 | 0.52341 | 0.35815 | −0.057239 |
| MultiMatch | p-Value | Effect Size | ||||
|---|---|---|---|---|---|---|
| Match Pair | AvA vs. AvA | AvA vs. AvB | BvB vs. AvB | BvB vs. BvB | AvA vs. AvB | BvB vs. AvB |
| Blue Poles vs. Blue Spot | 0.50903 | 0.00047322 | 0.47484 | 0.51962 | 0.68139 | 0.063733 |
| Blue Poles vs. Convergence | 0.51485 | 0.49168 | 0.32864 | 0.52348 | −0.054654 | 0.16213 |
| Blue Poles vs. Pasiphae | 0.51909 | 0.2553 | 0.42738 | 0.51229 | 0.20562 | −0.10814 |
| Blue Poles vs. Starry Night | 0.50636 | 0.49683 | 0.38311 | 0.50607 | −0.040816 | 0.13397 |
| Blue Poles vs. Slave Ship | 0.49402 | 0.13393 | 0.49078 | 0.50617 | 0.28664 | 0.036677 |
| Blue Spot vs. Convergence | 0.50315 | 0.048395 | 0.024374 | 0.51413 | −0.38105 | 0.43671 |
| Blue Spot vs. Pasiphae | 0.49523 | 0.28056 | 0.44822 | 0.52274 | −0.19619 | 0.084797 |
| Blue Spot vs. Starry Night | 0.51181 | 0.082202 | 0.0179 | 0.51982 | −0.325 | 0.46224 |
| Blue Spot vs. Slave Ship | 0.51974 | 0.39374 | 0.27705 | 0.51168 | −0.12066 | 0.2052 |
| Convergence vs. Pasiphae | 0.51211 | 0.1106 | 0.19591 | 0.50937 | 0.30247 | −0.24022 |
| Convergence vs. Starry Night | 0.51384 | 0.49992 | 0.51539 | 0.49989 | 0.025064 | −0.0096754 |
| Convergence vs. Turner | 0.50992 | 0.038488 | 0.48964 | 0.5206 | 0.40881 | −0.055778 |
| Pasiphae vs. Starry Night | 0.51678 | 0.25618 | 0.13211 | 0.51369 | −0.19867 | 0.29104 |
| Pasiphae vs. Slave Ship | 0.52332 | 0.47788 | 0.41083 | 0.53226 | 0.066651 | 0.11554 |
| Starry Night vs. Slave Ship | 0.50833 | 0.06875 | 0.49455 | 0.51188 | 0.35815 | −0.057239 |
| MultiMatch | p-Value | Effect Size | ||||
|---|---|---|---|---|---|---|
| Match Pair | AvA vs. AvA | AvA vs. AvB | BvB vs. AvB | BvB vs. BvB | AvA vs. AvB | BvB vs. AvB |
| Blue Poles vs. Blue Spot | 0.51062 | 0.0052031 | 0.49423 | 0.51567 | 0.5562 | −0.028059 |
| Blue Poles vs. Convergence | 0.51446 | 0.50589 | 0.36054 | 0.50747 | −0.043984 | 0.1498 |
| Blue Poles vs. Pasiphae | 0.50424 | 0.15594 | 0.39235 | 0.51459 | 0.26577 | −0.12215 |
| Blue Poles vs. Starry Night | 0.51571 | 0.50176 | 0.34 | 0.49788 | −0.0098568 | 0.15814 |
| Blue Poles vs. Slave Ship | 0.5128 | 0.10252 | 0.50838 | 0.50627 | 0.31224 | 0.023418 |
| Blue Spot vs. Convergence | 0.50948 | 0.018466 | 0.11466 | 0.50606 | −0.46644 | 0.30167 |
| Blue Spot vs. Pasiphae | 0.50814 | 0.23967 | 0.52385 | 0.5111 | −0.21105 | 0.0072367 |
| Blue Spot vs. Starry Night | 0.50859 | 0.022024 | 0.13395 | 0.50271 | −0.44005 | 0.28895 |
| Blue Spot vs. Slave Ship | 0.51514 | 0.30912 | 0.43361 | 0.51145 | −0.17996 | 0.10605 |
| Convergence vs. Pasiphae | 0.49665 | 0.04377 | 0.216 | 0.50669 | 0.3914 | −0.22726 |
| Convergence vs. Starry Night | 0.50309 | 0.51104 | 0.49386 | 0.51644 | 0.021965 | 0.014402 |
| Convergence vs. Turner | 0.5155 | 0.026809 | 0.47618 | 0.53044 | 0.41429 | −0.069836 |
| Pasiphae vs. Starry Night | 0.5046 | 0.26047 | 0.059964 | 0.52656 | −0.20302 | 0.35903 |
| Pasiphae vs. Slave Ship | 0.51943 | 0.47879 | 0.4013 | 0.52536 | 0.05203 | 0.12469 |
| Starry Night vs. Slave Ship | 0.51461 | 0.075879 | 0.45686 | 0.52561 | 0.34743 | −0.086924 |
| MultiMatch | p-Value | Effect Size | ||||
|---|---|---|---|---|---|---|
| Match Pair | AvA vs. AvA | AvA vs. AvB | BvB vs. AvB | BvB vs. BvB | AvA vs. AvB | BvB vs. AvB |
| Blue Poles vs. Blue Spot | 0.50582 | 0.13371 | 0.48443 | 0.49847 | 0.2905 | −0.055539 |
| Blue Poles vs. Convergence | 0.50681 | 0.33123 | 0.20014 | 0.50802 | −0.15286 | 0.24122 |
| Blue Poles vs. Pasiphae | 0.51237 | 0.34896 | 0.52742 | 0.509 | 0.14468 | 0.0018035 |
| Blue Poles vs. Starry Night | 0.51217 | 0.51054 | 0.23939 | 0.50787 | −0.039226 | 0.21395 |
| Blue Poles vs. Slave Ship | 0.50699 | 0.3982 | 0.48716 | 0.51708 | 0.13051 | 0.062887 |
| Blue Spot vs. Convergence | 0.50125 | 0.025793 | 0.15516 | 0.51709 | −0.43713 | 0.25609 |
| Blue Spot vs. Pasiphae | 0.50506 | 0.30493 | 0.49752 | 0.52327 | −0.17356 | 0.029436 |
| Blue Spot vs. Starry Night | 0.50772 | 0.092893 | 0.20763 | 0.5139 | −0.3277 | 0.24011 |
| Blue Spot vs. Slave Ship | 0.5088 | 0.29723 | 0.4573 | 0.49748 | −0.18794 | 0.074387 |
| Convergence vs. Pasiphae | 0.53091 | 0.10004 | 0.23542 | 0.51654 | 0.30668 | −0.20982 |
| Convergence vs. Starry Night | 0.52213 | 0.44653 | 0.50062 | 0.50868 | 0.089141 | −0.040873 |
| Convergence vs. Turner | 0.51872 | 0.14004 | 0.40955 | 0.5083 | 0.28778 | −0.12467 |
| Pasiphae vs. Starry Night | 0.51407 | 0.2444 | 0.36072 | 0.5099 | −0.21323 | 0.15353 |
| Pasiphae vs. Slave Ship | 0.51752 | 0.50296 | 0.49332 | 0.51521 | −0.022134 | 0.044754 |
| Starry Night vs. Slave Ship | 0.50827 | 0.22181 | 0.46688 | 0.53079 | 0.22471 | −0.065455 |
References
- Zielezinski, A.; Vinga, S.; Almeida, J.; Karlowski, W.M. Alignment-free sequence comparison: Benefits, applications, and tools. Genome Biol. 2017, 18, 186. [Google Scholar] [CrossRef]
- Rayner, K. Eye movements and attention in reading, scene perception, and visual search. Q. J. Exp. Psychol. 2009, 62, 1457–1506. [Google Scholar] [CrossRef]
- Cristino, F.; Mathôt, S.; Theeuwes, J.; Gilchrist, I.D. ScanMatch: A novel method for comparing fixation sequences. Behav. Res. Methods 2010, 42, 692–700. [Google Scholar] [CrossRef]
- Dewhurst, R.; Nyström, M.; Jarodzka, H.; Foulsham, T.; Johansson, R.; Holmqvist, K. It depends on how you look at it: Scanpath comparison in multiple dimensions with MultiMatch, a vector-based approach. Behav. Res. Methods 2012, 44, 1079–1100. [Google Scholar] [CrossRef]
- Anderson, N.C.; Anderson, F.; Kingstone, A.; Bischof, W.F. A comparison of scanpath comparison methods. Behav. Res. Methods 2014, 47, 1377–1392. [Google Scholar] [CrossRef]
- Crowe, E.M.; Gilchrist, I.D.; Kent, C. New approaches to the analysis of eye movement behaviour across expertise while viewing brain MRIs. Cogn. Res. Princ. Implic. 2018, 3, 12. [Google Scholar] [CrossRef]
- Król, M.E.; Król, M. Scanpath similarity measure reveals not only a decreased social preference, but also an increased nonsocial preference in individuals with autism. Autism 2020, 24, 374–386. [Google Scholar] [CrossRef]
- Dewhurst, R.; Foulsham, T.; Jarodzka, H.; Johansson, R.; Holmqvist, K.; Nyström, M. How task demands influence scanpath similarity in a sequential number-search task. Vis. Res. 2018, 149, 9–23. [Google Scholar] [CrossRef]
- Stranc, S.; Muldner, K. Scanpath Analysis of Student Attention During Problem Solving with Worked Examples. In International Conference on Artificial Intelligence in Education; Bittencourt, I.I., Cukurova, M., Muldner, K., Luckin, R., Millán, E., Eds.; Springer International Publishing: Cham, Switzerland, 2020; pp. 306–311. [Google Scholar]
- Fahimi, R.; Bruce, N.D.B. On metrics for measuring scanpath similarity. Behav. Res. Methods 2021, 53, 609–628. [Google Scholar] [CrossRef]
- Seernani, D.; Damania, K.; Ioannou, C.; Penkalla, N.; Hill, H.; Foulsham, T.; Kingstone, A.; Anderson, N.; Boccignone, G.; Bender, S.; et al. Visual search in ADHD, ASD and ASD ADHD: Overlapping or dissociating disorders? Eur. Child Adolesc. Psychiatry 2021, 30, 549–562. [Google Scholar] [CrossRef]
- Wang, F.S.; Gianduzzo, C.; Meboldt, M.; Lohmeyer, Q. An algorithmic approach to determine expertise development using object-related gaze pattern sequences. Behav. Res. Methods 2022, 54, 493–507. [Google Scholar] [CrossRef] [PubMed]
- Kümmerer, M.; Bethge, M. State-of-the-Art in Human Scanpath Prediction. arXiv 2021, arXiv:2102.12239. [Google Scholar]
- Needleman, S.B.; Wunsch, C.D. A general method applicable to the search for similarities in the amino acid sequence of two proteins. J. Mol. Biol. 1970, 48, 443–453. [Google Scholar] [CrossRef]
- Day, R.F. Examining the validity of the Needleman–Wunsch algorithm in identifying decision strategy with eye-movement data. Decis. Support Syst. 2010, 49, 396–403. [Google Scholar] [CrossRef]
- Suman, A.A.; Russo, C.; Carrigan, A.; Nalepka, P.; Liquet-Weiland, B.; Newport, R.A.; Kumari, P.; Di Ieva, A. Spatial and time domain analysis of eye-tracking data during screening of brain magnetic resonance images. PLoS ONE 2021, 16, e0260717. [Google Scholar] [CrossRef]
- Kundel, H. How to minimize perceptual error and maximize expertise in medical imaging. Prog. Biomed. Opt. Imaging-Proc. SPIE 2007, 6515, 651508. [Google Scholar] [CrossRef]
- Reingold, E.; Sheridan, H. Eye Movements and Visual Expertise in Chess and Medicine; Oxford University Press: Oxford, UK, 2011; Volume 528–550, pp. 528–550. [Google Scholar] [CrossRef]
- Levenshtein, V. Binary codes capable of correcting deletions, insertions, and reversals. In Soviet Physics Doklady; Nauka: Moscow, Russia, 1966. [Google Scholar]
- Tsotsos, J.K.; Eckstein, M.P.; Landy, M.S. Computational models of visual attention. Vis. Res. 2015, 116, 93–94. [Google Scholar] [CrossRef]
- Bellman, R.; Bellman, R.E. Adaptive Control Processes: A Guided Tour; Princeton Legacy Library, Princeton University Press: Princeton, NJ, USA, 1961. [Google Scholar]
- Noton, D.; Stark, L. Scanpaths in saccadic eye movements while viewing and recognizing patterns. Vis. Res. 1971, 11, 929–942. [Google Scholar] [CrossRef]
- Kumar, A.; Timmermans, N.; Burch, M.; Mueller, K. Clustered eye movement similarity matrices. In Proceedings of the Eye Tracking Research and Applications Symposium (ETRA), Denver, CO, USA, 25–28 June 2019. [Google Scholar] [CrossRef]
- Goldberg, J.H.; Helfman, J.I. Scanpath clustering and aggregation. In Proceedings of the Eye Tracking Research and Applications Symposium (ETRA), Austin, TX, USA, 22–24 March 2010. [Google Scholar] [CrossRef]
- Anderson, N.C.; Bischof, W.F.; Laidlaw, K.E.; Risko, E.F.; Kingstone, A. Recurrence quantification analysis of eye movements. Behav. Res. Methods 2013, 45, 842–856. [Google Scholar] [CrossRef]
- Engbert, R.; Mergenthaler, K.; Sinn, P.; Pikovsky, A. An integrated model of fixational eye movements and microsaccades. Proc. Natl. Acad. Sci. USA 2011, 108, E765–E770. [Google Scholar] [CrossRef]
- Ko, H.K.; Snodderly, D.M.; Poletti, M. Eye movements between saccades: Measuring ocular drift and tremor. Vis. Res. 2016, 122, 93–104. [Google Scholar] [CrossRef] [PubMed]
- Le Meur, O.; Liu, Z. Saccadic model of eye movements for free-viewing condition. Vis. Res. 2015, 116, 152–164. [Google Scholar] [CrossRef] [PubMed]
- Cover, T.M.; Hart, P.E. Nearest Neighbor Pattern Classification. IEEE Trans. Inf. Theory 1967, 13, 21–27. [Google Scholar] [CrossRef]
- Neumann, J.V. Allgemeine Eigenwerttheorie Hermitescher Funktionaloperatoren. Math. Ann. 1930, 102, 49–131. [Google Scholar] [CrossRef]
- Webber, C.; Zbilut, J. Recurrence quantification analysis of nonlinear dynamical systems. Tutor. Contemp. Nonlinear Methods Behav. Sci. 2005, 94, 26–94. [Google Scholar]
- Gandomkar, Z.; Tay, K.; Brennan, P.; Mello-Thoms, C. Recurrence Quantification Analysis of Radiologists’ Scanpaths When Interpreting Mammograms. Med. Phys. 2018, 45, 3052–3062. [Google Scholar] [CrossRef]
- Eiter, T.; Mannila, H. Computing Discrete Fréchet Distance. 1994. Available online: http://www.kr.tuwien.ac.at/staff/eiter/et-archive/cdtr9464.pdf (accessed on 31 July 2022).
- Gilchrist, I. Welcome to the ScanMatch Matlab Toolbox Page. 2021. Available online: https://seis.bristol.ac.uk/~psidg/ScanMatch/ (accessed on 15 July 2022).
- Chatzou, M.; Magis, C.; Chang, J.M.; Kemena, C.; Bussotti, G.; Erb, I.; Notredame, C. Multiple sequence alignment modeling: Methods and applications. Briefings Bioinform. 2016, 17, 1009–1023. [Google Scholar] [CrossRef]
- Waldispühl, J.; Blanchette, M.; Gardner, P.; Taly, A. OpenPhylo, 2021.
- Newport, R.A.; Russo, C.; Al Suman, A.; Di Ieva, A. Assessment of eye-tracking scanpath outliers using fractal geometry. Heliyon 2021, 7, e07616. [Google Scholar] [CrossRef]
- Hooge, I.; Holleman, G.; Haukes, N.; Hessels, R. Gaze tracking accuracy in humans: One eye is sometimes better than two. Behav. Res. Methods 2018, 51, 2712–2721. [Google Scholar] [CrossRef]
- Burch, M.; Kumar, A.; Mueller, K.; Kervezee, T.; Nuijten, W.; Oostenbach, R.; Peeters, L.; Smit, G. Finding the outliers in scanpath data. In Proceedings of the Eye Tracking Research and Applications Symposium (ETRA), Denver, CO, USA, 25–28 June 2019. [Google Scholar] [CrossRef]
- Jolliffe, I.T. Principal Component Analysis, Second Edition. In Encyclopedia of Statistics in Behavioral Science; John Wiley & Sons: Hoboken, NJ, USA, 2002. [Google Scholar] [CrossRef]
- Nakayama, R.; Motoyoshi, I. Events Depending on Neural Oscillations Phase-Locked to Action. J. Neurosci. 2019, 39, 4153–4161. [Google Scholar] [CrossRef]
- Sullivan, G.M.; Feinn, R. Using Effect Size—Or Why the P Value Is Not Enough. J. Grad. Med Educ. 2012, 4, 279–282. Available online: https://meridian.allenpress.com/jgme/article-pdf/4/3/279/2339347/jgme-d-12-00156_1.pdf (accessed on 10 August 2022). [CrossRef] [PubMed]
- Tullis, T.; Albert, B. Chapter 7—Behavioral and Physiological Metrics. In Measuring the User Experience, 2nd ed.; Tullis, T., Albert, B., Eds.; Interactive Technologies, Morgan Kaufmann: Boston, MA, USA, 2013; pp. 163–186. [Google Scholar] [CrossRef]
- Newport, R.A. GitHub Repository for SoftMatch. 2021. Available online: https://github.com/robnewport/SoftMatch (accessed on 3 August 2022).












| p-Value < 0.05 | Cohen’s Effect Size > 0.20 | |
|---|---|---|
| SoftMatch | 24 | 27 |
| ScanMatch | 22 | 25 |
| MultiMatch Vector | 5 | 10 |
| MultiMatch Direction | 5 | 10 |
| MultiMatch Length | 4 | 10 |
| MultiMatch Position | 5 | 9 |
| MultiMatch Duration | 1 | 8 |
Publisher’s Note: MDPI stays neutral with regard to jurisdictional claims in published maps and institutional affiliations. |
© 2022 by the authors. Licensee MDPI, Basel, Switzerland. This article is an open access article distributed under the terms and conditions of the Creative Commons Attribution (CC BY) license (https://creativecommons.org/licenses/by/4.0/).
Share and Cite
Newport, R.A.; Russo, C.; Liu, S.; Suman, A.A.; Di Ieva, A. SoftMatch: Comparing Scanpaths Using Combinatorial Spatio-Temporal Sequences with Fractal Curves. Sensors 2022, 22, 7438. https://doi.org/10.3390/s22197438
Newport RA, Russo C, Liu S, Suman AA, Di Ieva A. SoftMatch: Comparing Scanpaths Using Combinatorial Spatio-Temporal Sequences with Fractal Curves. Sensors. 2022; 22(19):7438. https://doi.org/10.3390/s22197438
Chicago/Turabian StyleNewport, Robert Ahadizad, Carlo Russo, Sidong Liu, Abdulla Al Suman, and Antonio Di Ieva. 2022. "SoftMatch: Comparing Scanpaths Using Combinatorial Spatio-Temporal Sequences with Fractal Curves" Sensors 22, no. 19: 7438. https://doi.org/10.3390/s22197438
APA StyleNewport, R. A., Russo, C., Liu, S., Suman, A. A., & Di Ieva, A. (2022). SoftMatch: Comparing Scanpaths Using Combinatorial Spatio-Temporal Sequences with Fractal Curves. Sensors, 22(19), 7438. https://doi.org/10.3390/s22197438

