Selection of Methods of Surface Texture Characterisation for Reduction of the Frequency-Based Errors in the Measurement and Data Analysis Processes
Abstract
1. Introduction
2. Materials and Methods
2.1. Analysed Details
2.2. Measurement Process
2.3. Applied Methods
3. Results and Discussion
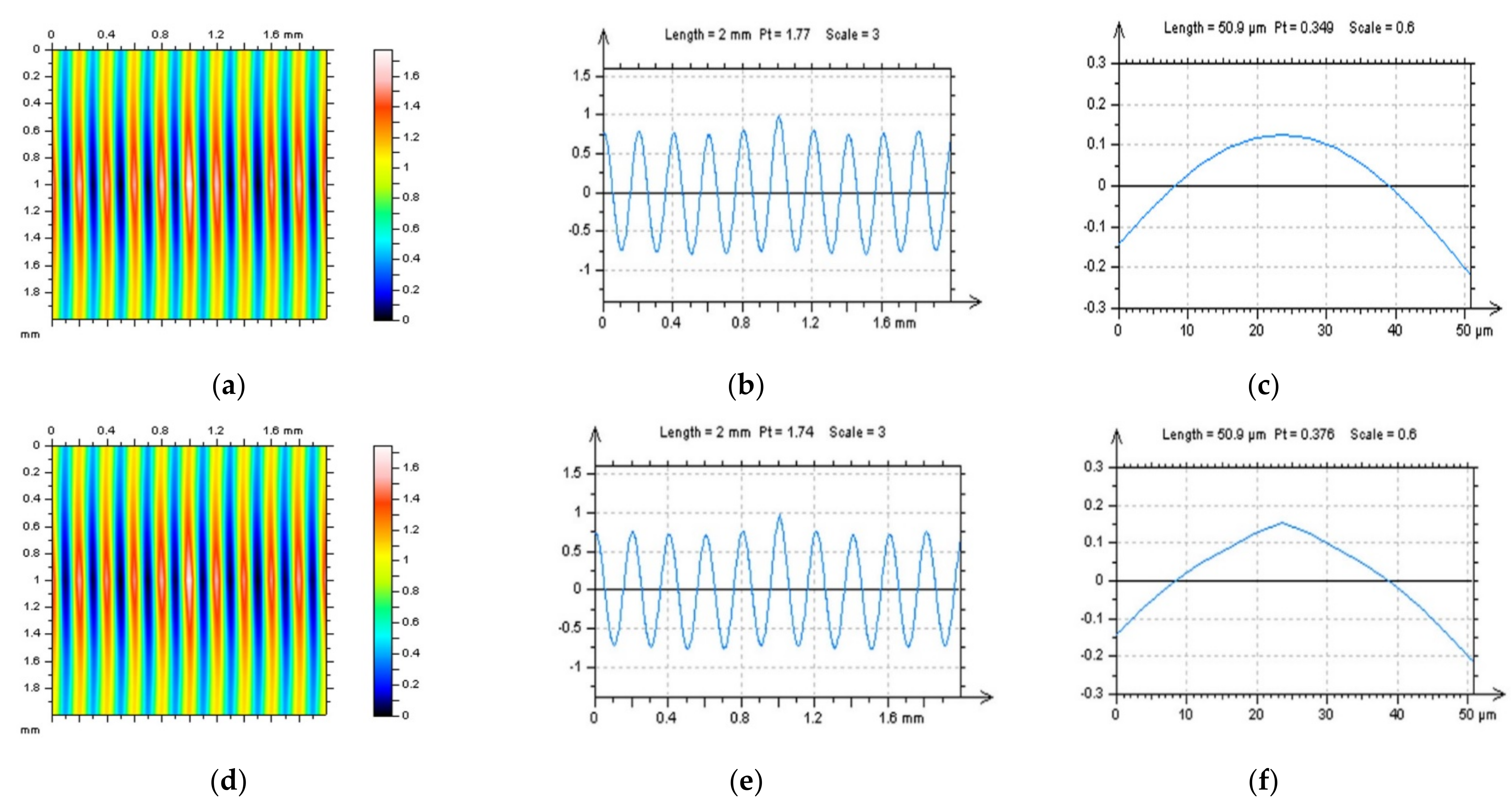
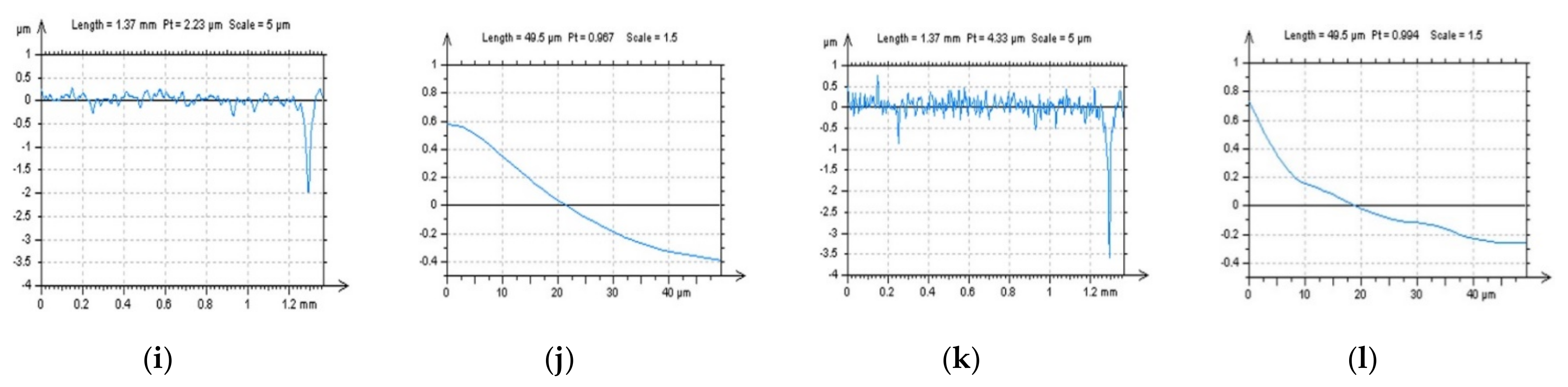
3.1. Comparing of Methods of High-Frequency Errors Detection with Application of Profile (2D) and Areal (3D) Characterisation
3.2. Improving Proposed Methods with a Modelled Data
3.3. Proposal of Procedures for Reduction of Frequency-Based Measurement Errors from the Raw Measured Data with Profile (2D) and Areal (3D) Analysis
4. The Outlook
- Some of the techniques, e.g., those with feature exclusions, may not be useful when worn surfaces are studied. Moreover, the influence of the application of proposed methods on the results of worn textures analysis, including the suppression of the high-frequency noise measurement, will be provided in future studies.
- The high-frequency noise measurement can be difficult to detect with the proposed methods when the amplitude of errors are relatively small. Moreover, the effect of noise amplitude on the results of applied techniques performance was not studied.
- It was not determined whether the high-frequency noise can generally gather in some surface areas, such as dimples, wholes, grooves and valleys. Those studies were performed for individual peaks, defined as spikes. Generally, considering digital filtration and the proposed high-frequency noise surface technique, it was assumed that noise was distributed evenly. This must be verified in more sophisticated studies in future.
- Another limitation can arise with edge-effect minimisation. It was not determined whether boundary conditions influence the accuracy of noise detection and reduction processes. The influence of density and amplitude on errors on the sides (edges) of the measured component was not fully analysed. Moreover, the sharp-edge noise can also be considered for sharp-edged features.
- The most influencing limitation is that digital filtering can remove important surface details (features). Many suitable studies were performed in current and previous studies (papers) considering an analysis of the removed part of the data, defined as a high-frequency noise surface. This technique requires mindful users as removing essential surface features may completely invalidate the usefulness of the methods proposed.
5. Conclusions
- For detection of the high-frequency errors from the results of surface texture measurements, it is suggested to observe the contour map plots, PSDs, ACFs or FSs graphs. In some cases, eye-view analysis of the noise occurrence may not provide a suitable response. Therefore, more sophisticated studies must be performed.
- When an areal (3D) analysis gave no relevant response regarding an occurrence of high-frequency errors, profile (2D) characterisation was suggested. However, in some cases, the selection of the direction for the extraction of profiles is required. The treatment-trace direction is suitable when a deterministic direction can be defined in analysed detail. Moreover, profiles omitting some deep and wide features, such as oil pockets, scratches, dimples and valleys in general, can be valuable in the process of high-frequency error detection.
- Except for treatment-trace directions or omitting the valleys, free of dimple analysis can be beneficial in the improvement of a high-frequency errors occurrence. This technique can be especially valuable when plateau-honed topographies with additionally burnished oil pockets are studied. Free of dimples analysis can be beneficial for both the detection and validation of the reduction process of high-frequency-based errors. When profile (2D) characterisation is applied, the process of noise removal should be considered for areal (3D) data in which the contact of materials is areal in general. Moreover, it can be extremely difficult to select a profile that can represent the surface.
- For the reduction of the high-frequency measurement errors, when isotropic topographies are studied, each of the commonly-used (available in commercial software) algorithms (regular or robust Gaussian, median, spline or Fast Fourier filters) can be valuable and, simultaneously, applied by users. Nevertheless, in some cases, when surfaces contain features in a defined direction (usually the same with the direction of treatment), Fast Fourier Transform or regular isotropic spline filters can give more relevant results for processes of high-frequency errors extractions.
- It is not suggested to use one value of the nesting index for the S-operation for each type of surface texture; nevertheless, in all of the provided studies, 0.015 mm was applied. Together with supporting the previous studies, it was proposed to analyse the results of a high-frequency measurement noise removal, directly described by the high-frequency noise surface. This type of surface should be characterised by selected distinctive features, described previously with the support of PSD, ACF and FS analysis. All of the mentioned techniques, provided directly by commercial software, can be useful in gaining more confidence in the data received.
- The main purpose of the presented study was to suggest procedures for selecting appropriate algorithms for the detection and reduction of high-frequency measurement errors directly from the raw surface texture measured data. Therefore, for all of the above issues, it is suggested to analyse PSDs, ACFs and FSs simultaneously. In some cases, one technique may not provide a clear response if the high-frequency errors occur in the raw measured data. For this reason, studies were provided for both measured and modelled data with profile and areal performance, respectively.
Funding
Institutional Review Board Statement
Informed Consent Statement
Data Availability Statement
Conflicts of Interest
Nomenclature
| ACF autocorrelation function | Sa arithmetic mean height Sa, µm |
| ACF-CSM Autocorrelation Function Centre-Shape Method | Sal auto-correlation length, mm |
| F-operator removes F-surface from measured data | Sbi surface bearing index |
| F-surface form surface | Sci core fluid retention index |
| FFTF Fast Fourier Transform Filter | Sdq root mean square gradient |
| FOD free of dimple detail | Sdr developed interfacial areal ratio, % |
| GF Gaussian filter | Sk core roughness depth, µm |
| HFNS high-frequency noise surface | Sku kurtosis |
| MF median filter | Sp maximum peak height, µm |
| PSD power spectral density | Spc arithmetic mean peak curvature, 1/mm |
| PSM Profile Spline Method | Spd peak density, 1/mm2 |
| RGF robust Gaussian filter | Spk reduced summit height, µm |
| S–F surface a surface after S- and F- filtering | Sq root mean square height, µm |
| S-operator removes S-surface from measured data | Ssk skewness |
| S-surface short-wavelength noise surface | Std texture direction, ° |
| SF spline filter | Str texture parameter |
| TTP treatment trace profile technique | Sv maximum valley depth, µm |
| VEM valley excluding method | Svi valley fluid retention index |
| Svk reduced valley depth, µm | |
| Sz the maximum height of surface, µm |
References
- Dzierwa, A.; Gałda, L.; Tupaj, M.; Dudek, K. Investigation of wear resistance of selected materials after slide burnishing process. Eksploat. Niezawodn.-Maint. Reliab. 2020, 22, 432–439. [Google Scholar] [CrossRef]
- Rao, X.; Sheng, C.; Guo, Z.; Yuan, C. Effects of thread groove width in cylinder liner surface on performances of diesel engine. Wear 2019, 426–427, 1296–1303. [Google Scholar] [CrossRef]
- Liu, Z.; Liang, F.; Zhai, L.; Meng, X. A comprehensive experimental study on tribological performance of piston ring–cylinder liner pair. Proc. Inst. Mech. Eng. Part J J. Eng. Tribol. 2021, 236, 184–204. [Google Scholar] [CrossRef]
- Guo, Z.; Yuan, C.; Liu, P.; Peng, Z.; Yan, X. Study on Influence of Cylinder Liner Surface Texture on Lubrication Performance for Cylinder Liner–Piston Ring Components. Tribol. Lett. 2013, 51, 9–23. [Google Scholar] [CrossRef]
- Płonka, S.; Zaborski, A. operational wear of the neck of spindle coating in cooperation with yarn. Eksploat. Niezawodn. Maint. Reliab. 2015, 17, 496–503. [Google Scholar] [CrossRef]
- Macek, W. Correlation between Fractal Dimension and Areal Surface Parameters for Fracture Analysis after Bending-Torsion Fatigue. Metals 2021, 11, 1790. [Google Scholar] [CrossRef]
- Macek, W.; Branco, R.; Costa, J.D.; Pereira, C. Strain sequence effect on fatigue life and fracture surface topography of 7075-T651 aluminium alloy. Mech. Mater. 2021, 160, 103972. [Google Scholar] [CrossRef]
- Szala, M.; Świetlicki, A.; Sofińska-Chmiel, W. Cavitation erosion of electrostatic spray polyester coatings with different surface finish. Bull. Pol. Acad. Sci. Tech. Sci. 2021, 69, e137519. [Google Scholar] [CrossRef]
- Lenauer, C.; Tomastik, C.; Wopelka, T.; Jech, M. Piston ring wear and cylinder liner tribofilm in tribotests with lubricants artificially altered with ethanol combustion products. Tribol. Int. 2015, 82, 415–422. [Google Scholar] [CrossRef]
- Igartua, A.; Nevshupa, R.; Fernandez, X.; Conte, M.; Zabala, R.; Bernaola, J.; Zabala, P.; Luther, R.; Rausch, J. Alternative eco-friendly lubes for clean two-stroke engines. Tribol. Int. 2011, 44, 727–736. [Google Scholar] [CrossRef]
- Wang, X.; Shi, T.; Liao, G.; Zhang, Y.; Hong, Y.; Chen, K. Using Wavelet Packet Transform for Surface Roughness Evaluation and Texture Extraction. Sensors 2017, 17, 933. [Google Scholar] [CrossRef]
- Vorburger, T.V.; Rhee, H.-G.; Renegar, T.B.; Song, J.-F.; Zheng, A. Comparison of optical and stylus methods for measurement of surface texture. Int. J. Adv. Manuf. Technol. 2007, 33, 110–118. [Google Scholar] [CrossRef]
- Podulka, P. Bisquare robust polynomial fitting method for dimple distortion minimization in surface quality analysis. Surf. Interface Anal. 2020, 52, 875–881. [Google Scholar] [CrossRef]
- Podulka, P. The effect of valley depth on areal form removal in surface topography measurements. Bull. Pol. Acad. Sci. Tech. Sci. 2019, 67, 391–400. [Google Scholar]
- Pawlus, P.; Reizer, R.; Wieczorowski, M. Comparison of results of surface texture measurement obtained with stylus methods and optical methods. Metrol. Meas. Syst. 2018, 25, 589–602. [Google Scholar] [CrossRef]
- Magdziak, M. A New Method of Distribution of Measurement Points on Curvilinear Surfaces of Products. Sensors 2019, 19, 2667. [Google Scholar] [CrossRef]
- Magdziak, M. Selection of the Best Model of Distribution of Measurement Points in Contact Coordinate Measurements of Free-Form Surfaces of Products. Sensors 2019, 19, 5346. [Google Scholar] [CrossRef]
- Muhamedsalih, H.; Jiang, X.; Gao, F. Accelerated Surface Measurement Using Wavelength Scanning Interferometer with Compensation of Environmental Noise. Procedia CIRP 2013, 10, 70–76. [Google Scholar] [CrossRef][Green Version]
- Jacobs, T.D.B.; Junge, T.; Pastewka, L. Quantitative characterization of surface topography using spectral analysis. Surf. Topogr. Metrol. Prop. 2017, 5, 013001. [Google Scholar] [CrossRef]
- De Groot, P. Principles of interference microscopy for the measurement of surface topography. Adv. Opt. Photonics 2015, 7, 65. [Google Scholar] [CrossRef]
- Servin, M.; Estrada, J.C.; Quiroga, J.A.; Mosino, J.F.; Cywiak, M. Noise in phase shifting interferometry. Opt. Express 2009, 17, 8789–8794. [Google Scholar] [CrossRef] [PubMed]
- Šarbort, M.; Hola, M.; Pavelka, J.; Schovánek, P.; Rerucha, S.; Oulehla, J.; Fořt, T.; Lazar, J. Comparison of three focus sensors for optical topography measurement of rough surfaces. Opt. Express 2019, 27, 33459–33473. [Google Scholar] [CrossRef] [PubMed]
- ISO WD 25178-600:2014(E); Geometrical Product Specifications (GPS)—Surface Texture: Areal—Part 600: Metrological Characteristics for Areal-Topography Measuring Methods (DRAFT); International Organization for Standardization: Geneva, Switzerland, 2014.
- Podulka, P. Reduction of Influence of the High-Frequency Noise on the Results of Surface Topography Measurements. Materials 2021, 14, 333. [Google Scholar] [CrossRef] [PubMed]
- Gao, W.; Kim, S.-W.; Bosse, H.; Haitjema, H.; Chen, Y.; Lu, X.; Knapp, W.; Weckenmann, A.; Estler, W.; Kunzmann, H. Measurement technologies for precision positioning. CIRP Ann. 2015, 64, 773–796. [Google Scholar] [CrossRef]
- Podulka, P. Suppression of the High-Frequency Errors in Surface Topography Measurements Based on Comparison of Various Spline Filtering Methods. Materials 2021, 14, 5096. [Google Scholar] [CrossRef]
- ISO 25178-3:2012; Geometrical Product Specifications (GPS)—Surface Texture: Areal—Part 3: Specification Operators; International Organization for Standardization: Geneva, Switzerland, 2012.
- Podulka, P. Comparisons of envelope morphological filtering methods and various regular algorithms for surface texture analysis. Metrol. Meas. Syst 2020, 27, 243–263. [Google Scholar]
- Peta, K.; Mendak, M.; Bartkowiak, T. Discharge Energy as a Key Contributing Factor Determining Microgeometry of Aluminum Samples Created by Electrical Discharge Machining. Crystals 2021, 11, 1371. [Google Scholar] [CrossRef]
- Macek, W.; Branco, R.; Szala, M.; Marciniak, Z.; Ulewicz, R.; Sczygiol, N.; Kardasz, P. Profile and Areal Surface Parameters for Fatigue Fracture Characterisation. Materials 2020, 13, 3691. [Google Scholar] [CrossRef]
- Podulka, P. The Effect of Surface Topography Feature Size Density and Distribution on the Results of a Data Processing and Parameters Calculation with a Comparison of Regular Methods. Materials 2021, 14, 4077. [Google Scholar] [CrossRef]
- Podulka, P.; Pawlus, P.; Dobrzański, P.; Lenart, A. Spikes removal in surface measurement. J. Physics Conf. Ser. 2014, 483, 012025. [Google Scholar] [CrossRef]
- ISO 25178; Geometrical Product Specifications (GPS)—Surface Texture: Areal; International Organization for Standardization: Geneva, Switzerland, 2012.
- Krolczyk, G.; Maruda, R.; Nieslony, P.; Wieczorowski, M. Surface morphology analysis of Duplex Stainless Steel (DSS) in Clean Production using the Power Spectral Density. Measuremen 2016, 94, 464–470. [Google Scholar] [CrossRef]
- Alcock, S.G.; Ludbrook, G.D.; Owen, T.; Dockree, R. Using the power spectral density method to characterise the surface topography of optical surfaces. In Advances in Metrology for X-Ray and EUV Optics III; SPIE: Bellingham, WA, USA, 2010; Volume 7801, p. 780108. [Google Scholar] [CrossRef]
- Gavrila, R.; Dinescu, A.; Mardare, D. A Power Spectral Density study of thin films morphology based on AFM profiling. Raman J. Inf. Sci. Technol. 2007, 3, 291–300. [Google Scholar]
- Raoufi, D. Fractal analyses of ITO thin films: A study based on power spectral density. Phys. B Condens. Matter 2010, 405, 451–455. [Google Scholar] [CrossRef]
- Nieslony, P.; Krolczyk, G.M.; Wojciechowski, S.; Chudy, R.; Zak, K.; Maruda, R.W. Surface quality and topographic inspection of variable compliance part after precise turning. Appl. Surf. Sci. 2018, 434, 91–101. [Google Scholar] [CrossRef]
- Podulka, P. Improved Procedures for Feature-Based Suppression of Surface Texture High-Frequency Measurement Errors in the Wear Analysis of Cylinder Liner Topographies. Metals 2021, 11, 143. [Google Scholar] [CrossRef]
- Whitehouse, D.J. Surface metrology. Meas. Sci. Technol. 1997, 8, 955–972. [Google Scholar] [CrossRef]
- Fubel, A.; Zech, M.; Leiderer, P.; Klier, J.; Shikin, V. Analysis of roughness of Cs surfaces via evaluation of the autocorrelation function. Surf. Sci. 2007, 601, 1684–1692. [Google Scholar] [CrossRef]
- Chen, Y.; Huang, W. Numerical simulation of the geometrical factors affecting surface roughness measurements by AFM. Meas. Sci. Technol. 2004, 15, 2005–2010. [Google Scholar] [CrossRef]
- Krolczyk, G.; Maruda, R.; Krolczyk, J.; Wojciechowski, S.; Mia, M.; Nieslony, P.; Budzik, G. Ecological trends in machining as a key factor in sustainable production—A review. J. Clean. Prod. 2019, 218, 601–615. [Google Scholar] [CrossRef]
- Krolczyk, G.; Nieslony, P.; Maruda, R.; Wojciechowski, S. Dry cutting effect in turning of a duplex stainless steel as a key factor in clean production. J. Clean. Prod. 2017, 142, 3343–3354. [Google Scholar] [CrossRef]
- Cheung, C.F.; Lee, W.B. A multi-spectrum analysis of surface roughness formation in ultra-precision machining. Precis. Eng. 2000, 24, 77–87. [Google Scholar] [CrossRef]
- Podulka, P. Proposal of frequency-based decomposition approach for minimization of errors in surface texture parameter calculation. Surf. Interface Anal. 2020, 52, 882–889. [Google Scholar] [CrossRef]
- Stoimenov, B.L.; Maruyama, S.; Adachi, K.; Kato, K. The roughness effect on the frequency of frictional sound. Tribol. Int. 2007, 40, 659–664. [Google Scholar] [CrossRef]
- ISO 11562:1996; Geometrical Product Specifications (GPS)—Surface Texture: Profile Method—Metrological Characteristics of Phase Correct Filters; International Organization for Standardization: Geneva, Switzerland, 1996.
- ISO 16610-21:2011; Geometrical Product Specifications (GPS)—Filtration—Part 21: Linear Profile Filters: Gaussian Filters; International Organization for Standardization: Geneva, Switzerland, 2011.
- Kondo, Y.; Yoshida, I.; Nakaya, D.; Numada, M.; Koshimizu, H. Verification of Characteristics of Gaussian Filter Series for Surface Roughness in ISO and Proposal of Filter Selection Guidelines. Nanomanufactur. Metrol. 2021, 4, 97–108. [Google Scholar] [CrossRef]
- ISO 16610-31:2016; Geometrical Product Specifications (GPS)—Filtration—Part 31: Robust Profile Filters: Gaussian Regression Filters; International Organization for Standardization: Geneva, Switzerland, 2016.
- Ma, S.; Shen, Z.; Chen, S.; Wang, Z. Calibration and optimization of the effective resolution of an optical profiler using the white-noise method and a median filter. Optik 2015, 126, 4841–4845. [Google Scholar] [CrossRef]
- Tong, M.; Zhang, H.; Ott, D.; Chu, W.; Song, J. Applications of the spline filter for areal filtration. Meas. Sci. Technol. 2015, 26, 127002. [Google Scholar] [CrossRef]
- Zhang, H.; Yuan, Y.; Piao, W. The spline filter: A regularization approach for the Gaussian filter. Precis. Eng. 2012, 36, 586–592. [Google Scholar] [CrossRef]
- Zhang, H.; Yuan, Y.; Piao, W. A universal spline filter for surface metrology. Measurement 2010, 43, 1575–1582. [Google Scholar] [CrossRef]
- Huang, L.; Kemao, Q.; Pan, B.; Asundi, A. Comparison of Fourier transform, windowed Fourier transform, and wavelet transform methods for phase extraction from a single fringe pattern in fringe projection profilometry. Opt. Lasers Eng. 2010, 48, 141–148. [Google Scholar] [CrossRef]
- Podulka, P. Fast Fourier Transform detection and reduction of high-frequency errors from the results of surface topography profile measurements of honed textures. Eksploat. Niezawodn.-Maint. Reliab. 2021, 23, 84–93. [Google Scholar] [CrossRef]
- Podulka, P. Edge-area form removal of two-process surfaces with valley excluding method approach. MATEC Web Conf. 2019, 252, 05020. [Google Scholar] [CrossRef][Green Version]






















Publisher’s Note: MDPI stays neutral with regard to jurisdictional claims in published maps and institutional affiliations. |
© 2022 by the author. Licensee MDPI, Basel, Switzerland. This article is an open access article distributed under the terms and conditions of the Creative Commons Attribution (CC BY) license (https://creativecommons.org/licenses/by/4.0/).
Share and Cite
Podulka, P. Selection of Methods of Surface Texture Characterisation for Reduction of the Frequency-Based Errors in the Measurement and Data Analysis Processes. Sensors 2022, 22, 791. https://doi.org/10.3390/s22030791
Podulka P. Selection of Methods of Surface Texture Characterisation for Reduction of the Frequency-Based Errors in the Measurement and Data Analysis Processes. Sensors. 2022; 22(3):791. https://doi.org/10.3390/s22030791
Chicago/Turabian StylePodulka, Przemysław. 2022. "Selection of Methods of Surface Texture Characterisation for Reduction of the Frequency-Based Errors in the Measurement and Data Analysis Processes" Sensors 22, no. 3: 791. https://doi.org/10.3390/s22030791
APA StylePodulka, P. (2022). Selection of Methods of Surface Texture Characterisation for Reduction of the Frequency-Based Errors in the Measurement and Data Analysis Processes. Sensors, 22(3), 791. https://doi.org/10.3390/s22030791
