Advanced Characterization of FeNi-Based Films for the Development of Magnetic Field Sensors with Tailored Functional Parameters
Abstract
:1. Introduction
2. Experiment
3. Results and Discussion
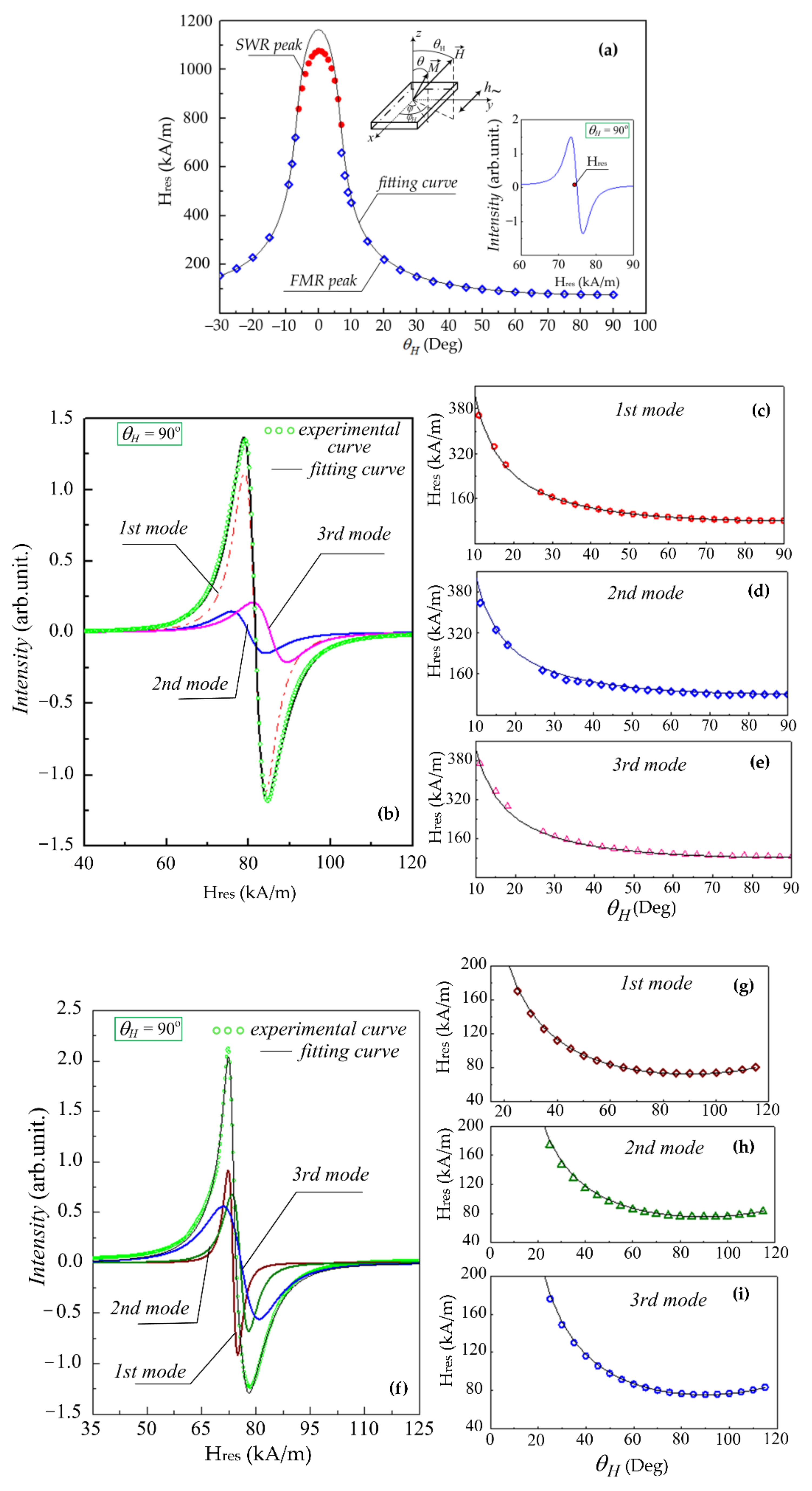
3.1. In-Plane Magnetic Anisotropy
3.2. Out-of-Plane Magnetic Anisotropy
4. Conclusions
Author Contributions
Funding
Institutional Review Board Statement
Informed Consent Statement
Data Availability Statement
Acknowledgments
Conflicts of Interest
References
- Coïsson, M.; Vinai, F.; Tiberto, P.; Celegato, F. Magnetic Properties of FeSiB Thin Films Displaying Stripe Domains. J. Magn. Magn. Mater. 2009, 321, 806–809. [Google Scholar] [CrossRef]
- Kurlyandskaya, G.V.; Elbaile, L.; Alves, F.; Ahamada, B.; Barrué, R.; Svalov, A.V.; Vas’kovskiy, V.O. Domain Structure and Magnetization Process of a Giant Magnetoimpedance Geometry FeNi/Cu/FeNi(Cu)FeNi/Cu/FeNi Sensitive Element. J. Phys. Condens. Matter 2004, 16, 6561–6568. [Google Scholar] [CrossRef]
- Komogortsev, S.V.; Varnakov, S.N.; Satsuk, S.A.; Yakovlev, I.A.; Ovchinnikov, S.G. Magnetic Anisotropy in Fe Films Deposited on SiO2/Si(001) and Si(001) Substrates. J. Magn. Magn. Mater. 2014, 351, 104–108. [Google Scholar] [CrossRef]
- Solovev, P.N.; Izotov, A.V.; Belyaev, B.A. Numerical Study of Structural and Magnetic Properties of Thin Films Obliquely Deposited on Rippled Substrates. J. Phys. Condens. Matter 2021, 33, 495802. [Google Scholar] [CrossRef] [PubMed]
- Gubbiotti, G.; Sadovnikov, A.; Beginin, E.; Sheshukova, S.; Nikitov, S.; Talmelli, G.; Asseberghs, I.; Radu, I.P.; Adelmann, C.; Ciubotaru, F. Magnonic Band Structure in CoFeB/Ta/NiFe Meander-Shaped Magnetic Bilayers. Appl. Phys. Lett. 2021, 118, 162405. [Google Scholar] [CrossRef]
- Noginova, N.; Gubanov, V.; Shahabuddin, M.; Gubanova, Y.; Nesbit, S.; Demidov, V.V.; Atsarkin, V.A.; Beginin, E.N.; Sadovnikov, A.V. Ferromagnetic Resonance in Permalloy Metasurfaces. Appl. Magn. Reson. 2021, 52, 749–758. [Google Scholar] [CrossRef]
- Skomski, R. Nanomagnetics. J. Phys. Condens. Matter 2003, 15, R841–R896. [Google Scholar] [CrossRef]
- Belyaev, B.A.; Izotov, A.V. Ferromagnetic Resonance Study of the Effect of Elastic Stresses on the Anisotropy of Magnetic Films. Phys. Solid State 2007, 49, 1731–1739. [Google Scholar] [CrossRef]
- Saito, N.; Fujiwara, H.; Sugita, Y. A New Type of Magnetic Domain Structure in Negative Magnetostriction Ni-Fe Films. J. Phys. Soc. Jpn. 1964, 19, 1116–1125. [Google Scholar] [CrossRef]
- Svalov, A.V.; Kurlyandskaya, G.V.; Hammer, H.; Savin, P.A.; Tutynina, O.I. Modification of the “Transcritical” State in Ni75Fe16Cu5Mo4 Films Produced by RF Sputtering. Tech. Phys. 2004, 49, 868–871. [Google Scholar] [CrossRef]
- Gardner, D.S.; Schrom, G.; Paillet, F.; Jamieson, B.; Karnik, T.; Borkar, S. Review of On-Chip Inductor Structures with Magnetic Films. IEEE Trans. Magn. 2009, 45, 4760–4766. [Google Scholar] [CrossRef]
- Hunter, D.; Osborn, W.; Wang, K.; Kazantseva, N.; Hattrick-Simpers, J.; Suchoski, R.; Takahashi, R.; Young, M.L.; Mehta, A.; Bendersky, L.A.; et al. Giant Magnetostriction in Annealed Co1−xFex Thin-Films. Nat. Commun. 2011, 2, 518. [Google Scholar] [CrossRef] [PubMed] [Green Version]
- Schmalz, J.; Kittmann, A.; Durdaut, P.; Spetzler, B.; Faupel, F.; Höft, M.; Quandt, E.; Gerken, M. Multi-Mode Love-Wave SAW Magnetic-Field Sensors. Sensors 2020, 20, 3421. [Google Scholar] [CrossRef] [PubMed]
- Kurlyandskaya, G.V.; Fernández, E.; Svalov, A.; Burgoa Beitia, A.; García-Arribas, A.; Larrañaga, A. Flexible Thin Film Magnetoimpedance Sensors. J. Magn. Magn. Mater. 2016, 415, 91–96. [Google Scholar] [CrossRef]
- Agra, K.; Mori, T.J.A.; Dorneles, L.S.; Escobar, V.M.; Silva, U.C.; Chesman, C.; Bohn, F.; Corrêa, M.A. Dynamic Magnetic Behavior in Non-Magnetostrictive Multilayered Films Grown on Glass and Flexible Substrates. J. Magn. Magn. Mater. 2014, 355, 136–141. [Google Scholar] [CrossRef]
- Melnikov, G.Y.; Lepalovskij, V.N.; Svalov, A.V.; Safronov, A.P.; Kurlyandskaya, G.V. Magnetoimpedance Thin Film Sensor for Detecting of Stray Fields of Magnetic Particles in Blood Vessel. Sensors 2021, 21, 3621. [Google Scholar] [CrossRef]
- Amos, N.; Fernandez, R.; Ikkawi, R.; Lee, B.; Lavrenov, A.; Krichevsky, A.; Litvinov, D.; Khizroev, S. Magnetic Force Microscopy Study of Magnetic Stripe Domains in Sputter Deposited Permalloy Thin Films. J. Appl. Phys. 2008, 103, 07E732. [Google Scholar] [CrossRef]
- Svalov, A.V.; Aseguinolaza, I.R.; Garcia-Arribas, A.; Orue, I.; Barandiaran, J.M.; Alonso, J.; FernÁndez-Gubieda, M.L.; Kurlyandskaya, G.V. Structure and Magnetic Properties of Thin Permalloy Films Near the “Transcritical” State. IEEE Trans. Magn. 2010, 46, 333–336. [Google Scholar] [CrossRef]
- Mao, M.; Leng, Q.; Huai, Y.; Johnson, P.; Miller, M.; Tong, H.-C.; Miloslavsky, L.; Qian, C.; Wang, J.; Hegde, H. Characterization of ion beam and magnetron sputtered thin Ta/NiFe films. J. Appl. Phys. 1999, 85, 5780–5782. [Google Scholar] [CrossRef]
- Saravanan, P.; Hsu, J.-H.; Tsai, C.-L.; Singh, A.K.; Alagarsamy, P. Effect of Ta underlayer on thickness-depending magnetic properties of Ni-Fe films. IEEE Trans. Magn. 2015, 51, 2006604. [Google Scholar] [CrossRef]
- Barandiaran, J.M.; Vazquez, M.; Hernando, A.; Gonzalez, J.; Rivero, G. Distribution of the Magnetic Anisotropy in Amorphous Alloys Ribbons. IEEE Trans. Magn. 1989, 25, 3330–3332. [Google Scholar] [CrossRef]
- Yoo, E.; Samardak, A.Y.; Jeon, Y.S.; Samardak, A.S.; Ognev, A.V.; Komogortsev, S.V.; Kim, Y.K. Composition-Driven Crystal Structure Transformation and Magnetic Properties of Electrodeposited Co–W Alloy Nanowires. J. Alloys Compd. 2020, 843, 155902. [Google Scholar] [CrossRef]
- Belyaev, B.A.; Izotov, A.V.; Leksikov, A.A. Magnetic Imaging in Thin Magnetic Films by Local Spectrometer of Ferromagnetic Resonance. IEEE Sens. J. 2005, 5, 260–267. [Google Scholar] [CrossRef]
- Hubert, A.; Schäfer, R. Magnetic Domains: The Analysis of Magnetic Microstructures; Springer: Berlin/Heidelberg, Germany, 1998. [Google Scholar]
- Bhagat, S.M. Ferromagnetic Resonance. In Metals Handbook; ASM International-Materials Park: Novelty, OH, USA, 1986; Volume 10. [Google Scholar]
- Smit, J.; Beljers, H.G. Ferromagnetic Resonance Absorption in BaFe12O12, a Highly Anisotropic Crystal. Philips Res. Rep. 1955, 10, 113–130. [Google Scholar]
- Solovev, P.N.; Izotov, A.V.; Belyaev, B.A.; Boev, N.M. Micromagnetic Simulation of Domain Structure in Thin Permalloy Films with In-Plane and Perpendicular Anisotropy. Phys. B Condens. Matter 2021, 604, 412699. [Google Scholar] [CrossRef]
- Sugita, Y.; Fujiwara, H.; Sato, T. Critical thickness and perpendicular anisotropy of evaporated permalloy films with stripedomains. Appl. Phys. Lett. 1967, 10, 229–231. [Google Scholar] [CrossRef]
- Murayama, Y. Micromagnetics on Stripe Domain Films. I. Critical Cases. J. Phys. Soc. Jpn. 1966, 21, 2253–2266. [Google Scholar] [CrossRef]
- Meshcheryakov, V.F.; Vasil’ev, A.G.; Timonin, K.V.; Khorin, I.A. Structural Inhomogeneities and Magnetic Properties of Co/Cu Multilayer Films. Crystallogr. Rep. 2002, 47, 1063–1071. [Google Scholar] [CrossRef]
- Ustinov, V.V.; Rinkevich, A.B.; Vazhenina, I.G.; Milyaev, M.A. Microwave Giant Magnetoresistance and Ferromagnetic and Spin-Wave Resonances in (CoFe)/Cu Nanostructures. J. Exp. Theor. Phys. 2020, 131, 139–148. [Google Scholar] [CrossRef]
- Vazhenina, I.G.; Iskhakov, R.S.; Milyaev, M.A.; Naumova, L.I.; Rautskii, M.V. Spin Wave Resonance in the [(Co0.88Fe0.12)/Cu]N Synthetic Antiferromagnet. Tech. Phys. Lett. 2020, 46, 1076–1079. [Google Scholar] [CrossRef]
- Buznikov, N.A.; Safronov, A.P.; Orue, I.; Golubeva, E.V.; Lepalovskij, V.N.; Svalov, A.V.; Chlenova, A.A.; Kurlyandskaya, G.V. Modelling of Magnetoimpedance Response of Thin Film Sensitive Element in the Presence of Ferrogel: Next Step toward Development of Biosensor for in-Tissue Embedded Magnetic Nanoparticles Detection. Biosens. Bioelectron. 2018, 117, 366–372. [Google Scholar] [CrossRef]
- García-Arribas, A. The Performance of the Magneto-Impedance Effect for the Detection of Superparamagnetic Particles. Sensors 2020, 20, 1961. [Google Scholar] [CrossRef] [Green Version]
- Kurlyandskaya, G.V.; Blyakhman, F.A.; Makarova, E.B.; Buznikov, N.A.; Safronov, A.P.; Fadeyev, F.A.; Shcherbinin, S.V.; Chlenova, A.A. Functional Magnetic Ferrogels: From Biosensors to Regenerative Medicine. AIP Adv. 2020, 10, 125128. [Google Scholar] [CrossRef]





| Meff, kA/m | Hop, kA/m | |
|---|---|---|
| Fe20Ni80 single-layer film of 100 nm | 880 | 8.0 |
| Fe20Ni80 single-layer film of 500 nm | 924 | 11.9 |
| 894 | 0 | |
| 890 | 4.0 | |
| multilayer (Fe20Ni80/Cu)5 with Fe20Ni80 layer thickness of 100 nm | 758 | 0 |
| 740 | 15.9 | |
| 790 | −35.8 |
Publisher’s Note: MDPI stays neutral with regard to jurisdictional claims in published maps and institutional affiliations. |
© 2022 by the authors. Licensee MDPI, Basel, Switzerland. This article is an open access article distributed under the terms and conditions of the Creative Commons Attribution (CC BY) license (https://creativecommons.org/licenses/by/4.0/).
Share and Cite
Komogortsev, S.V.; Vazhenina, I.G.; Kleshnina, S.A.; Iskhakov, R.S.; Lepalovskij, V.N.; Pasynkova, A.A.; Svalov, A.V. Advanced Characterization of FeNi-Based Films for the Development of Magnetic Field Sensors with Tailored Functional Parameters. Sensors 2022, 22, 3324. https://doi.org/10.3390/s22093324
Komogortsev SV, Vazhenina IG, Kleshnina SA, Iskhakov RS, Lepalovskij VN, Pasynkova AA, Svalov AV. Advanced Characterization of FeNi-Based Films for the Development of Magnetic Field Sensors with Tailored Functional Parameters. Sensors. 2022; 22(9):3324. https://doi.org/10.3390/s22093324
Chicago/Turabian StyleKomogortsev, Sergey V., Irina G. Vazhenina, Sofya A. Kleshnina, Rauf S. Iskhakov, Vladimir N. Lepalovskij, Anna A. Pasynkova, and Andrey V. Svalov. 2022. "Advanced Characterization of FeNi-Based Films for the Development of Magnetic Field Sensors with Tailored Functional Parameters" Sensors 22, no. 9: 3324. https://doi.org/10.3390/s22093324
APA StyleKomogortsev, S. V., Vazhenina, I. G., Kleshnina, S. A., Iskhakov, R. S., Lepalovskij, V. N., Pasynkova, A. A., & Svalov, A. V. (2022). Advanced Characterization of FeNi-Based Films for the Development of Magnetic Field Sensors with Tailored Functional Parameters. Sensors, 22(9), 3324. https://doi.org/10.3390/s22093324

