Recent Advances in Forward Brillouin Scattering: Sensor Applications
Abstract
1. Introduction
2. A Point Pump and Probe Technique
3. Asymptotic Expressions for High-Order Resonances
4. Sensor Applications
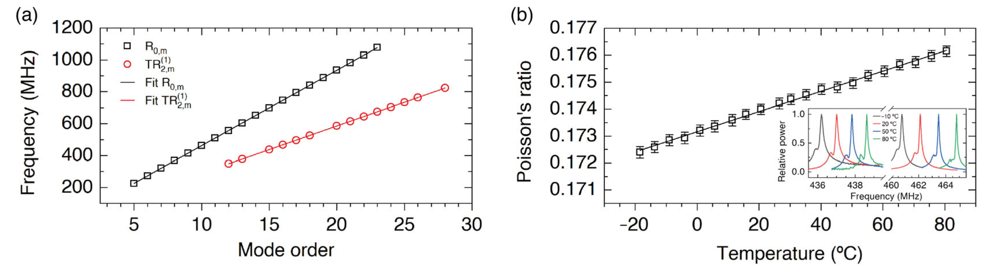
4.1. High-Accuracy Measurement of Poisson’s Ratio
4.2. Simultaneous Strain and Temperature Measurement with a Single-Point Sensor
5. Conclusions
Author Contributions
Funding
Institutional Review Board Statement
Informed Consent Statement
Data Availability Statement
Acknowledgments
Conflicts of Interest
References
- Shelby, R.M.; Levenson, M.D.; Bayer, P.W. Guided acoustic-wave Brillouin scattering. Phys. Rev. B 1985, 31, 5244–5252. [Google Scholar] [CrossRef] [PubMed]
- Zadok, A.; Diamandi, H.H.; London, Y.; Bashan, G. Forward Brillouin Scattering in Standard Optical Fibers: Single-Mode, Polar-ization-Maintaining, and Multi-Core, 1st ed.; Springer: Cham, Switzerland, 2022. [Google Scholar] [CrossRef]
- Kang, M.S.; Brenn, A.; Wiederhecker, G.S.; Russell, P.S. Optical excitation and characterization of gigahertz acoustic resonances in optical fiber tapers. Appl. Phys. Lett. 2008, 93, 131110. [Google Scholar] [CrossRef]
- Kang, M.S.; Nazarkin, A.; Brenn, A.; Russell, P. Tightly trapped acoustic phonons in photonic crystal fibres as highly nonlinear artificial Raman oscillators. Nat. Phys. 2009, 5, 276–280. [Google Scholar] [CrossRef]
- Beugnot, J.-C.; Lebrun, S.; Pauliat, G.; Maillotte, H.; Laude, V.; Sylvestre, T. Brillouin light scattering from surface acoustic waves in a subwavelength-diameter optical fibre. Nat. Commun. 2014, 5, 5242. [Google Scholar] [CrossRef] [PubMed]
- Pang, M.; Jiang, X.; He, W.; Wong, G.; Onishchukov, G.; Joly, N.; Ahmed, G.; Menyuk, C.R.; Russell, P. Stable subpicosecond soliton fiber laser passively mode-locked by gigahertz acoustic resonance in photonic crystal fiber core. Optica 2015, 2, 339–342. [Google Scholar] [CrossRef]
- Antman, Y.; Clain, A.; London, Y.; Zadok, A. Optomechanical sensing of liquids outside standard fibers using forward stimulated Brillouin scattering. Optica 2016, 3, 510–516. [Google Scholar] [CrossRef]
- Xu, Y.; Zhao, X.; Li, Y.; Qin, Z.; Pang, Y.; Liu, Z. Simultaneous measurement of relative humidity and temperature based on forward Brillouin scattering in polyimide-overlaid fiber. Sens. Actuators B Chem. 2021, 348, 130702. [Google Scholar] [CrossRef]
- Zhang, Z.; Lu, Y.; Peng, J.; Ji, Z. Simultaneous measurement of temperature and acoustic impedance based on forward Brillouin scattering in LEAF. Opt. Lett. 2021, 46, 1776–1779. [Google Scholar] [CrossRef]
- Chow, D.M.; Yang, Z.; Soto, M.A.; Thévenaz, L. Distributed forward Brillouin sensor based on local light phase recovery. Nat. Commun. 2018, 9, 2990. [Google Scholar] [CrossRef]
- Pang, C.; Hua, Z.; Zhou, D.; Zhang, H.; Chen, L.; Bao, X.; Dong, Y.K. Opto-mechanical time-domain analysis based on coherent forward stimulated Brillouin scattering probing. Optica 2020, 7, 176–184. [Google Scholar] [CrossRef]
- Alcusa-Sáez, E.P.; Díez, A.; Rivera-Pérez, E.; Margulis, W.; Norin, L.; Andrés, M.V. Acousto-optic interaction in polyimide coated optical fibers with flexural waves. Opt. Express 2017, 25, 17167–17173. [Google Scholar] [CrossRef]
- Diamandi, H.H.; London, Y.; Bashan, G.; Zadok, A. Distributed opto-mechanical analysis of liquids outside standard fibers coated with polyimide. Appl. Phys. Lett. Photonics 2019, 4, 016105. [Google Scholar] [CrossRef]
- Bashan, G.; Diamandi, H.H.; London, Y.; Preter, E.; Zadok, A. Optomechanical time-domain reflectometry. Nat. Commun. 2018, 9, 2991. [Google Scholar] [CrossRef]
- Diamandi, H.H.; London, Y.; Bashan, G.; Shemer, K.; Zadok, A. Forward Stimulated Brillouin Scattering Analysis of Optical Fibers Coatings. J. Light. Technol. 2021, 39, 1800–1807. [Google Scholar] [CrossRef]
- Ba, D.; Hua, Z.; Li, Y.; Dong, Y. Polarization separation assisted optomechanical time-domain analysis with submeter resolution. Opt. Lett. 2021, 46, 5886–5889. [Google Scholar] [CrossRef]
- Zaslawski, S.; Yang, Z.; Thévenaz, L. Distributed optomechanical fiber sensing based on serrodyne analysis. Optica 2021, 8, 388–395. [Google Scholar] [CrossRef]
- Sharma, K.; Zehavi, E.; Diamandi, H.H.; Bashan, G.; London, Y.; Zadok, A. Direct time-of-flight distributed analysis of nonlinear forward scattering. Optica 2022, 9, 419–428. [Google Scholar] [CrossRef]
- Zheng, Z.; Li, Z.; Fu, X.; Gui, X. Coherent-detection-based distributed acoustic impedance sensing enabled by a chirped fiber Bragg grating array. Photonics Res. 2022, 10, 1325–1331. [Google Scholar] [CrossRef]
- Zheng, Z.; Li, Z.; Fu, X.; Wang, L.; Wang, H. Multipoint acoustic impedance sensing based on frequency-division multiplexed forward stimulated Brillouin scattering. Opt. Lett. 2020, 45, 4523–4526. [Google Scholar] [CrossRef]
- Rakich, P.T.; Reinke, C.; Camacho, R.; Davids, P.; Wang, Z. Giant Enhancement of Stimulated Brillouin Scattering in the Subwavelength Limit. Phys. Rev. X 2012, 2, 011008. [Google Scholar] [CrossRef]
- Gil Bashan, G.; Diamandi, H.H.; Zehavi, E.; Sharma, K.; London, Y.; Zadok, A. A forward Brillouin fibre laser. Nat. Commun. 2022, 13, 3554. [Google Scholar] [CrossRef] [PubMed]
- London, Y.; Sharma, K.; Diamandi, H.H.; Hen, M.; Bashan, G.; Zehavi, E.; Zilberman, S.; Berkovic, G.; Zentner, A.; Mayoni, M.; et al. Opto-Mechanical Fiber Sensing of Gamma Radiation. J. Light. Technol. 2021, 39, 6637–6645. [Google Scholar] [CrossRef]
- Sánchez, L.A.; Diez, A.; Cruz, J.L.; Andrés, M. Efficient interrogation method of forward Brillouin scattering in optical fibers using a narrow bandwidth long-period grating. Opt. Lett. 2020, 45, 5331–5334. [Google Scholar] [CrossRef] [PubMed]
- Sánchez, L.A.; Díez, A.; Cruz, J.L.; Andrés, M.V. High accuracy measurement of Poisson’s ratio of optical fibers and its temperature dependence using forward-stimulated Brillouin scattering. Opt. Express 2022, 30, 42–52. [Google Scholar] [CrossRef] [PubMed]
- Sánchez, L.A.; Díez, A.; Cruz, J.L.; Andrés, M.V. Strain and temperature measurement discrimination with forward Brillouin scattering in optical fibers. Opt. Express 2022, 30, 14384–14392. [Google Scholar] [CrossRef] [PubMed]
- Rivera–Pérez, E.; Carrascosa, A.; Díez, A.; Alcusa-Sáez, E.P.; Andrés, M.V. An approach to the measurement of the nonlinear refractive index of very short lengths of optical fibers. Appl. Phys. Lett. 2018, 113, 011108. [Google Scholar] [CrossRef]
- Poveda-Wong, L.; Cruz, J.L.; Delgado-Pinar, M.; Roselló-Mechó, X.; Díez, A.; Andrés, M.V. Fabrication of long period fiber gratings of subnanometric bandwidth. Opt. Lett. 2017, 42, 1265–1268. [Google Scholar] [CrossRef]
- Biryukov, A.S.; Sukharev, M.E.; Dianov, E.M. Excitation of sound waves upon propagation of laser pulses in optical fibres. Quantum Electron. 2002, 32, 765–775. [Google Scholar] [CrossRef]
- Diamandi, H.H.; Bashan, G.; London, Y.; Sharma, K.; Shemer, K.; Zadok, A. Interpolarization Forward Stimulated Brillouin Scattering in Standard Single-Mode Fibers. Laser Photonics Rev. 2021, 16, 2100337. [Google Scholar] [CrossRef]
- Wang, J.; Zhu, Y.; Zhang, R.; Gauthier, D. FSBS resonances observed in a standard highly nonlinear fiber. Opt. Express 2011, 19, 5339–5349. [Google Scholar] [CrossRef]
- Olver, F.W.J. Bessel Functions of integer order. In Handbook of Mathematical Functions with Formulas, Graphs and Mathematical Tables, 10th ed.; Abramowitz, M., Stegun, I.A., Eds.; National Bureau of Standards Applied Mathematics Series No. 55; U.S. Government Printing Office: Washington, DC, USA, 1972; pp. 364–365. [Google Scholar]
- Shemer, K.; Bashan, G.; Zehavi, E.; Diamandi, H.; Bernstein, A.; Sharma, K.; London, Y.; Barrera, D.; Sales, S.; Bergman, A.; et al. Optical fiber point sensors based on forward Brillouin scattering. Opt. Express 2022, 30, 39321–39328. [Google Scholar] [CrossRef]
- Jarschel, P.F.; Magalhaes, L.S.; Aldaya, I.; Florez, O.; Dainese, P. Fiber taper diameter characterization using forward Brillouin scattering. Opt. Lett. 2018, 43, 995–998. [Google Scholar] [CrossRef]
- Bertholds, A.; Dandliker, R. Determination of the individual strain-optic coefficients in single-mode optical fibres. J. Light. Technol. 1988, 6, 17–20. [Google Scholar] [CrossRef]
- El-Diasty, F. Multiple-beam interferometric determination of Poisson's ratio and strain distribution profiles along the cross section of bent single-mode optical fibers. Appl. Opt. 2000, 39, 3197–3201. [Google Scholar] [CrossRef]
- Shiraki, K.; Ohashi, M. Sound velocity measurement based on guided acoustic-wave Brillouin scattering. IEEE Photonics Technol. Lett. 1992, 4, 1177–1180. [Google Scholar] [CrossRef]
- Spinner, S. Elastic Moduli of Glasses at Elevated Temperatures by a Dynamic Method. J. Am. Ceram. Soc. 1956, 39, 113–118. [Google Scholar] [CrossRef]
- Fukuhara, M.; Sanpei, A.; Shibuki, K. Low temperature-elastic moduli, Debye temperature and internal dilational and shear frictions of fused quartz. J. Mater. Sci. 1997, 32, 1207–1211. [Google Scholar] [CrossRef]
- Han, Z.; Zhao, N.; Yang, Z.; Li, G. Error analyses for simultaneous measurement of temperature and strain based on polarization-maintaining few-mode fibers. In Proceedings of the Asia Communications and Photonics Conference, Hangzhou, China, 26–29 October 2018. [Google Scholar] [CrossRef]






| m | R0,m (MHz) | TR2,m(1) (MHz) | TR2,m(2) (MHz) | |||
|---|---|---|---|---|---|---|
| Experiment | Theory | Experiment | Theory | Experiment | Theory | |
| 1 | 30.17 | 29.98 | 39.16 | 39.02 | 22.20 | 22.14 |
| 2 | 81.23 | 80.85 | 80.26 | 80.80 | 70.10 | 69.87 |
| 3 | 129.44 | 128.84 | 107.73 | 107.55 | 125.68 | 125.03 |
| 4 | 177.24 | 176.43 | 139.02 | 138.82 | 175.22 | 174.49 |
| 5 | 224.83 | 223.89 | 168.17 | 167.82 | 222.48 | 221.53 |
| 6 | 272.40 | 271.29 | 198.85 | 198.59 | 271.04 | 269.68 |
| 7 | 319.89 | 318.65 | 229.20 | 228.86 | 317.56 | 316.41 |
| 8 | 367.32 | 365.98 | 258.39 | 258.25 | 366.30 | 364.72 |
| 9 | 414.76 | 413.31 | 288.38 | 288.25 | 414.43 | 412.34 |
| 10 | 462.13 | 460.62 | 319.32 | 318.1 | 461.74 | 459.57 |
| 11 | 509.51 | 507.93 | 347.94 | 347.76 | 509.10 | 507.06 |
| 12 | 556.82 | 555.23 | 377.77 | 377.61 | 556.36 | 556.19 |
| 13 | 604.08 | 602.53 | 407.07 | 407.16 | 603.57 | 601.77 |
| 14 | 651.42 | 649.82 | 437.01 | 437.04 | 650.86 | 649.20 |
| 15 | 698.68 | 697.12 | 466.72 | 466.86 | 698.06 | 696.44 |
| 16 | 745.99 | 744.41 | 496.51 | 496.47 | 745.27 | 743.81 |
| 17 | 793.28 | 791.70 | 526.19 | 526.24 | 792.53 | 793.69 |
| 18 | 840.51 | 838.98 | 554.80 | 554.18 | 839.63 | 838.44 |
| 19 | 887.77 | 886.27 | 585.41 | 585.66 | 886.82 | 885.81 |
| 20 | 935.03 | 933.56 | 615.20 | 615.40 | ||
| 21 | 982.25 | 980.84 | 644.86 | 645.02 | ||
| 22 | 1029.54 | 1028.12 | 674.69 | 674.80 | ||
| 23 | 1076.72 | 1075.41 | 704.84 | 704.53 | ||
| 24 | 1123.98 | 1122.69 | 733.81 | 734.19 | ||
| 25 | 1171.34 | 1169.97 | 763.64 | 763.92 | ||
| 26 | -- | 791.05 | ||||
| 27 | 823.09 | 823.30 | ||||
| 28 | 852.89 | 853.02 | ||||
| 29 | 881.88 | 882.66 | ||||
| (με−1) | (°C−1) | (με−1) | (°C−1) |
|---|---|---|---|
| 4.82 × 10−7 | 9.73 × 10−5 | 7.25 × 10−7 | 6.24 × 10−5 |
| (με) | (°C) | (με) | (°C) |
| −0.154 × 107 | 0.179 × 105 | 0.240 × 107 | −0.119 × 105 |
Disclaimer/Publisher’s Note: The statements, opinions and data contained in all publications are solely those of the individual author(s) and contributor(s) and not of MDPI and/or the editor(s). MDPI and/or the editor(s) disclaim responsibility for any injury to people or property resulting from any ideas, methods, instructions or products referred to in the content. |
© 2022 by the authors. Licensee MDPI, Basel, Switzerland. This article is an open access article distributed under the terms and conditions of the Creative Commons Attribution (CC BY) license (https://creativecommons.org/licenses/by/4.0/).
Share and Cite
Sánchez, L.A.; Díez, A.; Cruz, J.L.; Andrés, M.V. Recent Advances in Forward Brillouin Scattering: Sensor Applications. Sensors 2023, 23, 318. https://doi.org/10.3390/s23010318
Sánchez LA, Díez A, Cruz JL, Andrés MV. Recent Advances in Forward Brillouin Scattering: Sensor Applications. Sensors. 2023; 23(1):318. https://doi.org/10.3390/s23010318
Chicago/Turabian StyleSánchez, Luis A., Antonio Díez, José Luis Cruz, and Miguel V. Andrés. 2023. "Recent Advances in Forward Brillouin Scattering: Sensor Applications" Sensors 23, no. 1: 318. https://doi.org/10.3390/s23010318
APA StyleSánchez, L. A., Díez, A., Cruz, J. L., & Andrés, M. V. (2023). Recent Advances in Forward Brillouin Scattering: Sensor Applications. Sensors, 23(1), 318. https://doi.org/10.3390/s23010318

