Long-Period Fiber Grating Sensors for Chemical and Biomedical Applications
Abstract
1. Introduction
2. Principle of LPFG-Based Biosensors
3. RI Sensitivity Enhancement of LPFG-Based Biosensor
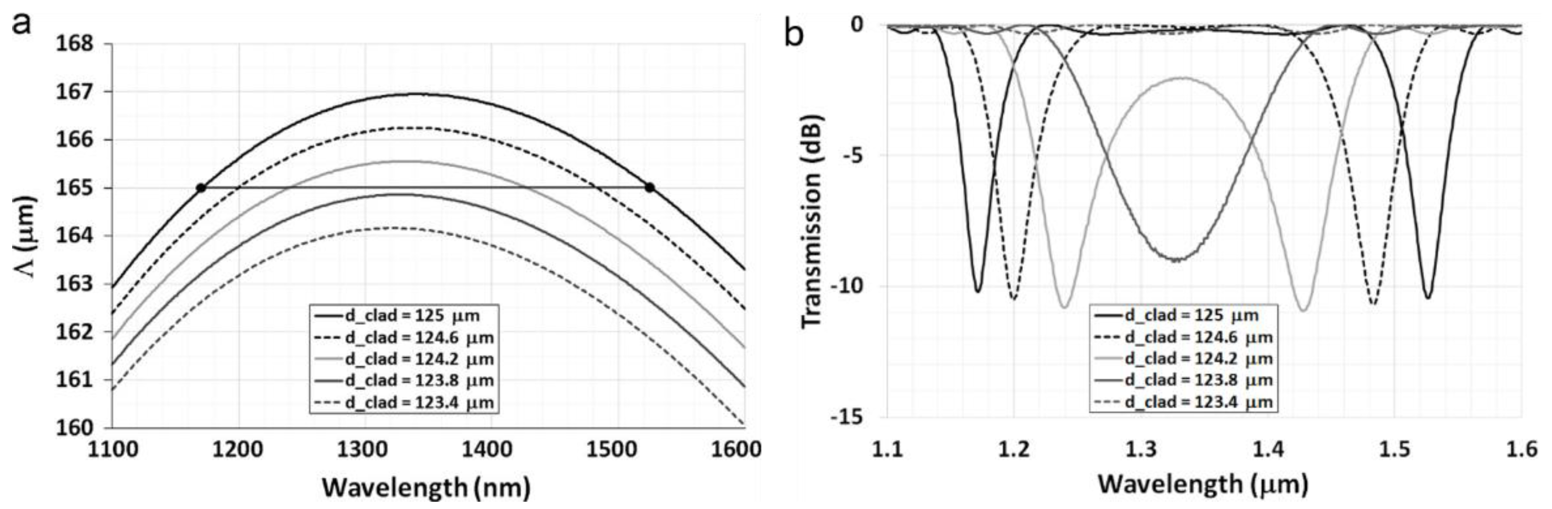
3.1. Dispersion Turning Point
3.2. Mode Transition Effect
3.3. The Combination of These Approaches
4. The Functionalization of LPFG-Based Biosensors
4.1. APTES Silanization
4.2. GO Functionalization
4.3. Layer-by-Layer Assembly Method
4.4. Other Methods
5. Reflective LPFG-Based Sensors
6. Conclusions
Author Contributions
Funding
Institutional Review Board Statement
Informed Consent Statement
Data Availability Statement
Conflicts of Interest
References
- Mittal, S.; Kaur, H.; Gautam, N.; Mantha, A.K. Biosensors for breast cancer diagnosis: A review of bioreceptors, biotransducers and signal amplification strategies. Biosens. Bioelectron. 2017, 88, 217–231. [Google Scholar] [CrossRef] [PubMed]
- Mehrotra, P. Biosensors and their applications—A review. J. Oral Biol. Craniofac. Res. 2016, 6, 153–159. [Google Scholar] [CrossRef]
- Polley, N.; Basak, S.; Hass, R.; Pacholski, C. Fiber optic plasmonic sensors: Providing sensitive biosensor platforms with minimal lab equipment. Biosens. Bioelectron. 2019, 132, 368–374. [Google Scholar] [CrossRef]
- Roriz, P.; Silva, S.; Frazão, O.; Novais, S. Optical Fiber Temperature Sensors and Their Biomedical Applications. Sensors 2020, 20, 2113. [Google Scholar] [CrossRef]
- Esposito, F.; Srivastava, A.; Sansone, L.; Giordano, M.; Campopiano, S.; Iadicicco, A. Label-Free Biosensors Based on Long Period Fiber Gratings: A Review. IEEE Sens. J. 2021, 21, 12692–12705. [Google Scholar] [CrossRef]
- Wen, H.-Y.; Huang, C.-W.; Li, Y.-L.; Chen, J.-L.; Yeh, Y.-T.; Chiang, C.-C. A Lamping U-Shaped Fiber Biosensor Detector for MicroRNA. Sensors 2020, 20, 1509. [Google Scholar] [CrossRef]
- Chen, K.-C.; Li, Y.-L.; Wu, C.-W.; Chiang, C.-C. Glucose Sensor Using U-Shaped Optical Fiber Probe with Gold Nanoparticles and Glucose Oxidase. Sensors 2018, 18, 1217. [Google Scholar] [CrossRef]
- Liu, J.; Xing, Y.; Zhou, X.; Chen, G.Y.; Shi, H. Light-sheet skew rays enhanced U-shaped fiber-optic fluorescent immunosensor for Microcystin-LR. Biosens. Bioelectron. 2021, 176, 112902–112908. [Google Scholar] [CrossRef]
- Chen, L.; Leng, Y.-K.; Liu, B.; Liu, J.; Wan, S.-P.; Wu, T.; Yuan, J.; Shao, L.; Gu, G.; Fu, Y.Q.J.S.; et al. Ultrahigh-sensitivity label-free optical fiber biosensor based on a tapered singlemode-no core-singlemode coupler for Staphylococcus aureus detection. Sens. Actuators B Chem. 2020, 320, 128283. [Google Scholar] [CrossRef]
- Kumar, R.; Leng, Y.; Liu, B.; Zhou, J.; Shao, L.; Yuan, J.; Fan, X.; Wan, S.; Wu, T.; Liu, J.J.B. Bioelectronics, Ultrasensitive biosensor based on magnetic microspheres enhanced microfiber interferometer. Biosens. Bioelectron. 2019, 145, 111563. [Google Scholar] [CrossRef]
- Quero, G.; Crescitelli, A.; Paladino, D.; Consales, M.; Buosciolo, A.; Giordano, M.; Cutolo, A.; Cusano, A. Evanescent wave long-period fiber grating within D-shaped optical fibers for high sensitivity refractive index detection. Sens. Actuators B Chem. 2011, 152, 196–205. [Google Scholar] [CrossRef]
- Jang, H.S.; Park, K.N.; Kim, J.P.; Sim, S.J.; Kwon, O.J.; Han, Y.-G.; Lee, K.S. Sensitive DNA biosensor based on a long-period grating formed on the side-polished fiber surface. Opt. Express 2009, 17, 3855–3860. [Google Scholar] [CrossRef] [PubMed]
- Bekmurzayeva, A.; Dukenbayev, K.; Shaimerdenova, M.; Bekniyazov, I.; Ayupova, T.; Sypabekova, M.; Molardi, C.; Tosi, D. Etched Fiber Bragg Grating Biosensor Functionalized with Aptamers for Detection of Thrombin. Sensors 2018, 18, 4298. [Google Scholar] [CrossRef] [PubMed]
- Sypabekova, M.; Korganbayev, S.; González-Vila, Á.; Caucheteur, C.; Shaimerdenova, M.; Ayupova, T.; Bekmurzayeva, A.; Vangelista, L.; Tosi, D. Functionalized etched tilted fiber Bragg grating aptasensor for label-free protein detection. Biosens. Bioelectron. 2019, 146, 111765. [Google Scholar] [CrossRef]
- Lobry, M.; Fasseaux, H.; Loyez, M.; Chah, K.; Goormaghtigh, E.; Wattiez, R.; Chiavaioli, F.; Caucheteur, C. Plasmonic Fiber Grating Biosensors Demodulated Through Spectral Envelopes Intersection. J. Light. Technol. 2021, 39, 7288–7295. [Google Scholar] [CrossRef]
- Celebanska, A.; Chiniforooshan, Y.; Janik, M.; Mikulic, P.; Sellamuthu, B.; Perreault, J.; Bock, W.J. Bioinspired Carbohydrate-Decorated Long-Period Fiber Grating for Label-Free Bacteria Detection. IEEE Sens. J. 2019, 19, 11965–11971. [Google Scholar] [CrossRef]
- Xiao, P.; Sun, Z.; Huang, Y.; Lin, W.; Ge, Y.; Xiao, R.; Li, K.; Li, Z.; Lu, H.; Yang, M.; et al. Development of an optical microfiber immunosensor for prostate specific antigen analysis using a high-order-diffraction long period grating. Opt. Express 2020, 28, 15783–15793. [Google Scholar] [CrossRef]
- Shu, X.; Zhang, L.; Bennion, I. Sensitivity Characteristics of Long-Period Fiber Gratings. J. Light. Technol. 2002, 20, 255–266. [Google Scholar]
- Pilla, P.; Trono, C.; Baldini, F.; Chiavaioli, F.; Giordano, M.; Cusano, A. Giant sensitivity of long period gratings in transition mode near the dispersion turning point: An integrated design approach. Opt. Lett. 2012, 37, 4152–4154. [Google Scholar] [CrossRef]
- Zuppolini, S.; Quero, G.; Consales, M.; Diodato, L.; Vaiano, P.; Venturelli, A.; Santucci, M.; Spyrakis, F.; Costi, M.P.; Giordano, M.; et al. Label-free fiber optic optrode for the detection of class C β-lactamases expressed by drug resistant bacteria. Biomed. Opt. Express 2017, 8, 5191–5205. [Google Scholar] [CrossRef]
- Chiavaioli, F.; Janner, D. Fiber Optic Sensing With Lossy Mode Resonances: Applications and Perspectives. J. Light. Technol. 2021, 39, 3855–3870. [Google Scholar] [CrossRef]
- Lin, Y.-C.; Chen, L.-Y. Subtle Application of Electrical Field-Induced Lossy Mode Resonance to Enhance Performance of Optical Planar Waveguide Biosensor. Biosensors 2021, 11, 86. [Google Scholar] [CrossRef] [PubMed]
- Wang, W.; Mai, Z.; Chen, Y.; Wang, J.; Li, L.; Su, Q.; Li, X.; Hong, X. A label-free fiber optic SPR biosensor for specific detection of C-reactive protein. Sci. Rep. 2017, 7, 16904. [Google Scholar] [CrossRef] [PubMed]
- Huang, C.; Zhou, Y.; Yu, G.; Zeng, J.; Li, Q.; Shen, K.; Wu, X.; Guo, R.; Zhang, C.; Zheng, B. Glutathione-functionalized long-period fiber gratings sensor based on surface plasmon resonance for detection of As3+ ions. Nanotechnology 2021, 32, 485501. [Google Scholar] [CrossRef]
- Chalyan, T.; Guider, R.; Pasquardini, L.; Zanetti, M.; Falke, F.; Schreuder, E.; Heideman, R.G.; Pederzolli, C.; Pavesi, L. Asymmetric Mach–Zehnder Interferometer Based Biosensors for Aflatoxin M1 Detection. Biosensors 2016, 6, 1. [Google Scholar] [CrossRef]
- Janik, M.; Brzozowska, E.; Czyszczoń, P.; Celebańska, A.; Koba, M.; Gamian, A.; Bock, W.J.; Śmietana, M. Optical fiber aptasensor for label-free bacteria detection in small volumes. Sens. Actuators B Chem. 2021, 330, 129316. [Google Scholar] [CrossRef]
- Liu, Q.; Ma, Z.; Wu, Q.; Wang, W. The biochemical sensor based on liquid-core photonic crystal fiber filled with gold, silver and aluminum. Opt. Laser Technol. 2020, 130, 106363. [Google Scholar] [CrossRef]
- Mahfuz, M.A.; Hossain, M.A.; Haque, E.; Hai, N.H.; Namihira, Y.; Ahmed, F. A Bimetallic-Coated, Low Propagation Loss, Photonic Crystal Fiber Based Plasmonic Refractive Index Sensor. Sensors 2019, 19, 3794. [Google Scholar] [CrossRef]
- Consales, M.; Quero, G.; Spaziani, S.; Principe, M.; Micco, A.; Galdi, V.; Cutolo, A.; Cusano, A. Metasurface-Enhanced Lab-on-Fiber Biosensors. Laser Photonics Rev. 2020, 14, 2000180. [Google Scholar] [CrossRef]
- Managò, S.; Quero, G.; Zito, G.; Tullii, G.; Galeotti, F.; Pisco, M.; De Luca, A.C.; Cusano, A. Tailoring lab-on-fiber SERS optrodes towards biological targets of different sizes. Sens. Actuators B Chem. 2021, 339, 129321. [Google Scholar] [CrossRef]
- Marco, P.; Francesco, G.; Giorgio, G.; Giuseppe, Q.; Andrea, C. Self-assembled periodic patterns on the optical fiber tip by microsphere arrays. In Proceedings of the 24th International Conference on Optical Fibre Sensors, Curitiba, Brazil, 28 September–2 October 2015; p. 96341N. [Google Scholar]
- Badmos, A.A.; Sun, Q.; Sun, Z.; Zhang, J.; Yan, Z.; Lutsyk, P.; Rozhin, A.; Zhang, L. Enzyme-functionalized thin-cladding long-period fiber grating in transition mode at dispersion turning point for sugar-level and glucose detection. J. Biomed. Opt. 2017, 22, 027003. [Google Scholar] [CrossRef]
- Heidemann, B.R.; Chiamenti, I.; Oliveira, M.M.; Muller, M.; Fabris, J.L. Functionalized Long Period Grating—Plasmonic Fiber Sensor Applied to the Detection of Glyphosate in Water. J. Light. Technol. 2018, 36, 863–870. [Google Scholar] [CrossRef]
- Kanka, J. Design of turn-around-point long-period gratings in a photonic crystal fiber for refractometry of gases. Sens. Actuators B Chem. 2013, 182, 16–24. [Google Scholar] [CrossRef]
- Gu, Z.; Xu, Y.; Gao, K. Optical fiber long-period grating with solgel coating for gas sensor. Opt. Lett. 2006, 31, 2405–2407. [Google Scholar] [CrossRef]
- Wei, W.; Nong, J.; Zhang, G.; Tang, L.; Jiang, X.; Chen, N.; Luo, S.; Lan, G.; Zhu, Y. Graphene-Based Long-Period Fiber Grating Surface Plasmon Resonance Sensor for High-Sensitivity Gas Sensing. Sensors 2017, 17, 2. [Google Scholar] [CrossRef]
- Tan, S.-Y.; Lee, S.-C.; Kuramitz, H.; Abd-Rahman, F. A novel hybrid long period fiber grating-diffusive gradient in thin films sensor system for the detection of mercury (II) ions in water. Optik 2019, 194, 163040. [Google Scholar] [CrossRef]
- Wang, J.-N. A microfluidic long-period fiber grating sensor platform for chloride ion concentration measurement. Sensors 2011, 11, 8550–8568. [Google Scholar] [CrossRef]
- Gan, W.; Xu, Z.; Li, Y.; Bi, W.; Chu, L.; Qi, Q.; Yang, Y.; Zhang, P.; Gan, N.; Dai, S.; et al. Rapid and sensitive detection of Staphylococcus aureus by using a long-period fiber grating immunosensor coated with egg yolk antibody. Biosens. Bioelectron. 2022, 199, 113860. [Google Scholar] [CrossRef]
- Vengsarkar, A.M.; Lemaire, P.J.; Judkins, J.B.; Bhatia, V.; Erdogan, T.; Sipe, J.E. Long-period fiber gratings as band-rejection filters. J. Light. Technol. 1996, 14, 58–65. [Google Scholar] [CrossRef]
- Patrick, H.J.; Kersey, A.D.; Bucholtz, F. Analysis of the response of long period fiber gratings to external index of refraction. J. Light. Technol. 1998, 16, 1606–1612. [Google Scholar] [CrossRef]
- Chiavaioli, F.; Biswas, P.; Trono, C.; Bandyopadhyay, S.; Giannetti, A.; Tombelli, S.; Basumallick, N.; Dasgupta, K.; Baldini, F. Towards sensitive label-free immunosensing by means of turn-around point long period fiber gratings. Biosens. Bioelectron. 2014, 60, 305–310. [Google Scholar] [CrossRef] [PubMed]
- Marques, L.; Hernandez, F.U.; James, S.W.; Morgan, S.P.; Clark, M.; Tatam, R.P.; Korposh, S. Highly sensitive optical fibre long period grating biosensor anchored with silica core gold shell nanoparticles. Biosens. Bioelectron. 2016, 75, 222–231. [Google Scholar] [CrossRef] [PubMed]
- Del Villar, I.; Cruz, J.L.; Socorro, A.B.; Corres, J.M.; Matias, I.R. Sensitivity optimization with cladding-etched long period fiber gratings at the dispersion turning point. Opt. Express 2016, 24, 17680–17685. [Google Scholar] [CrossRef]
- Dandapat, K.; Tripathi, S.M.; Chinifooroshan, Y.; Bock, W.J.; Mikulic, P. Compact and cost-effective temperature-insensitive bio-sensor based on long-period fiber gratings for accurate detection of E. coli bacteria in water. Opt. Lett. 2016, 41, 4198–4201. [Google Scholar] [CrossRef]
- Liu, C.; Cai, Q.; Xu, B.; Zhu, W.; Zhang, L.; Zhao, J.; Chen, X. Graphene oxide functionalized long period grating for ultrasensitive label-free immunosensing. Biosens. Bioelectron. 2017, 94, 200–206. [Google Scholar] [CrossRef]
- Dey, T.K.; Tombelli, S.; Biswas, P.; Giannetti, A.; Basumallick, N.; Baldini, F.; Bandyopadhyay, S.; Trono, C. Analysis of the Lowest Order Cladding Mode of Long Period Fiber Gratings Near Turn Around Point. J. Light. Technol. 2021, 39, 4006–4012. [Google Scholar] [CrossRef]
- Dey, T.K.; Tombelli, S.; Biswas, P.; Giannetti, A.; Basumallick, N.; Baldini, F.; Bandyopadhyay, S.; Trono, C. Label-free immunosensing by long period fiber gratings at the lowest order cladding mode and near turn around point. Opt. Laser Technol. 2021, 142, 107194. [Google Scholar] [CrossRef]
- Yang, J.; Zhou, L.; Huang, J.; Tao, C.; Li, X.; Chen, W. Sensitivity enhancing of transition mode long-period fiber grating as methane sensor using high refractive index polycarbonate/cryptophane A overlay deposition. Sens. Actuators B Chem. 2015, 207, 477–480. [Google Scholar] [CrossRef]
- Esposito, F.; Zotti, A.; Ranjan, R.; Zuppolini, S.; Borriello, A.; Campopiano, S.; Zarrelli, M.; Iadicicco, A. Single-Ended Long Period Fiber Grating Coated With Polystyrene Thin Film for Butane Gas Sensing. J. Light. Technol. 2018, 36, 825–832. [Google Scholar] [CrossRef]
- Esposito, F.; Sansone, L.; Taddei, C.; Campopiano, S.; Giordano, M.; Iadicicco, A. Ultrasensitive biosensor based on long period grating coated with polycarbonate-graphene oxide multilayer. Sens. Actuators B Chem. 2018, 274, 517–526. [Google Scholar] [CrossRef]
- Piestrzyńska, M.; Dominik, M.; Kosiel, K.; Janczuk-Richter, M.; Szot-Karpińska, K.; Brzozowska, E.; Shao, L.; Niedziółka-Jonsson, J.; Bock, W.J.; Śmietana, M. Ultrasensitive tantalum oxide nano-coated long-period gratings for detection of various biological targets. Biosens. Bioelectron. 2019, 133, 8–15. [Google Scholar] [CrossRef]
- Saha, N.; Kumar, A. Highly Sensitive Refractive Index Sensor Based on Mode Transition in a Dual Resonance Long Period Grating Inscribed Ridge Waveguide. J. Light. Technol. 2019, 37, 5576–5582. [Google Scholar] [CrossRef]
- Li, Z.; Zhu, H. Sensing performance of surface waveguide modes excited in long-period fiber grating with gold–silicon nanocoatings. Opt. Lett. 2021, 46, 266–269. [Google Scholar] [CrossRef] [PubMed]
- Esposito, F.; Srivastava, A.; Sansone, L.; Giordano, M.; Campopiano, S.; Iadicicco, A. Sensitivity Enhancement in Long Period Gratings by Mode Transition in Uncoated Double Cladding Fibers. IEEE Sens. J. 2020, 20, 234–241. [Google Scholar] [CrossRef]
- Esposito, F.; Sansone, L.; Srivastava, A.; Baldini, F.; Campopiano, S.; Chiavaioli, F.; Giordano, M.; Giannetti, A.; Iadicicco, A. Long period grating in double cladding fiber coated with graphene oxide as high-performance optical platform for biosensing. Biosens. Bioelectron. 2021, 172, 112747. [Google Scholar] [CrossRef] [PubMed]
- Esposito, F.; Sansone, L.; Srivastava, A.; Cusano, A.M.; Campopiano, S.; Giordano, M.; Iadicicco, A. Label-free detection of vitamin D by optical biosensing based on long period fiber grating. Sens. Actuators B Chem. 2021, 347, 130637. [Google Scholar] [CrossRef]
- Smietana, M.; Koba, M.; Brzozowska, E.; Krogulski, K.; Nakonieczny, J.; Wachnicki, L.; Mikulic, P.; Godlewski, M.; Bock, W.J. Label-free sensitivity of long-period gratings enhanced by atomic layer deposited TiO2 nano-overlays. Opt. Express 2015, 23, 8441–8453. [Google Scholar] [CrossRef]
- Śmietana, M.; Koba, M.; Mikulic, P.; Bock, W.J. Combined Plasma-Based Fiber Etching and Diamond-Like Carbon Nanooverlay Deposition for Enhancing Sensitivity of Long-Period Gratings. J. Light. Technol. 2016, 34, 4615–4619. [Google Scholar] [CrossRef]
- Del Villar, I. Ultrahigh-sensitivity sensors based on thin-film coated long period gratings with reduced diameter, in transition mode and near the dispersion turning point. Opt. Express 2015, 23, 8389–8398. [Google Scholar] [CrossRef]
- Zou, F.; Liu, Y.; Mou, C.; Zhu, S. Optimization of Refractive Index Sensitivity in Nanofilm-Coated Long-Period Fiber Gratings Near the Dispersion Turning Point. J. Light. Technol. 2020, 38, 889–897. [Google Scholar] [CrossRef]
- Shu, X.; Zhu, X.; Wang, Q.; Jiang, S.; Shi, W.; Huang, Z.; Huang, D.J.E.L. Dual resonant peaks of LP015 cladding mode in long-period gratings. Electron. Lett 1999, 35, 649–651. [Google Scholar] [CrossRef]
- Biswas, P.; Basumallick, N.; Bandyopadhyay, S.; Dasgupta, K.; Ghosh, A.; Bandyopadhyay, S. Sensitivity Enhancement of Turn-Around-Point Long Period Gratings By Tuning Initial Coupling Condition. IEEE Sens. J. 2015, 15, 1240–1245. [Google Scholar] [CrossRef]
- Liu, L.; Marques, L.; Correia, R.; Morgan, S.P.; Lee, S.-W.; Tighe, P.; Fairclough, L.; Korposh, S. Highly sensitive label-free antibody detection using a long period fibre grating sensor. Sens. Actuators B Chem. 2018, 271, 24–32. [Google Scholar] [CrossRef]
- Smietana, M.; Bock, W.J.; Mikulic, P.; Ng, A.; Chinnappan, R.; Zourob, M. Detection of bacteria using bacteriophages as recognition elements immobilized on long-period fiber gratings. Opt. Express 2011, 19, 7971–7978. [Google Scholar] [CrossRef] [PubMed]
- Koba, M.; Śmietana, M.; Brzozowska, E.; Górska, S.; Janik, M.; Mikulic, P.; Cusano, A.; Bock, W.J. Bacteriophage adhesin-coated long-period grating-based sensor: Bacteria detection specificity. J. Light. Technol. 2016, 34, 4531–4536. [Google Scholar] [CrossRef]
- Chen, X.; Zhang, L.; Zhou, K.; Davies, E.; Sugden, K.; Bennion, I.; Hughes, M.; Hine, A. Real-time detection of DNA interactions with long-period fiber-grating-based biosensor. Opt. Lett. 2007, 32, 2541–2543. [Google Scholar] [CrossRef] [PubMed]
- Chen, X.; Liu, C.; Hughes, M.D.; Nagel, D.A.; Hine, A.V.; Zhang, L. EDC-mediated oligonucleotide immobilization on a long period grating optical biosensor. J. Biosens. Bioelectron. 2015, 6, 1000173. [Google Scholar] [CrossRef]
- McCutcheon, K.; Bandara, A.B.; Zuo, Z.; Heflin, J.R.; Inzana, T.J. The Application of a Nanomaterial Optical Fiber Biosensor Assay for Identification of Brucella Nomenspecies. Biosensors 2019, 9, 64. [Google Scholar] [CrossRef]
- Wang, Z.; Heflin, J.R.; Van Cott, K.; Stolen, R.H.; Ramachandran, S.; Ghalmi, S. Biosensors employing ionic self-assembled multilayers adsorbed on long-period fiber gratings. Sens. Actuators B Chem. 2009, 139, 618–623. [Google Scholar] [CrossRef]
- Dyankov, G.; Eftimov, T.A.; Malinowski, N.; Belina, E.; Kisov, H.; Mikulic, P.; Bock, W.J. A highly efficient biosensor based on MAPLE deposited hemoglobin on LPGs around phase matching turning point. Opt. Laser Technol. 2020, 123, 105907. [Google Scholar] [CrossRef]
- Korposh, S.; Chianella, I.; Guerreiro, A.; Caygill, S.; Piletsky, S.; James, S.W.; Tatam, R.P. Selective vancomycin detection using optical fibre long period gratings functionalised with molecularly imprinted polymer nanoparticles. Analyst 2014, 139, 2229–2236. [Google Scholar] [CrossRef] [PubMed]
- Janczuk-Richter, M.; Gromadzka, B.; Richter, Ł.; Panasiuk, M.; Zimmer, K.; Mikulic, P.; Bock, W.J.; Maćkowski, S.; Śmietana, M.; Niedziółka Jönsson, J. Immunosensor Based on Long-Period Fiber Gratings for Detection of Viruses Causing Gastroenteritis. Sensors 2020, 20, 813. [Google Scholar] [CrossRef] [PubMed]
- Celebanska, A.; Chiniforooshan, Y.; Janik, M.; Mikulic, P.; Sellamuthu, B.; Walsh, R.; Perreault, J.; Bock, W.J. Label-free cocaine aptasensor based on a long-period fiber grating. Opt. Lett. 2019, 44, 2482–2485. [Google Scholar] [CrossRef]
- Tripathi, S.M.; Bock, W.J.; Mikulic, P.; Chinnappan, R.; Ng, A.; Tolba, M.; Zourob, M. Long period grating based biosensor for the detection of Escherichia coli bacteria. Biosens. Bioelectron. 2012, 35, 308–312. [Google Scholar] [CrossRef] [PubMed]
- Villar, I.D.; Matías, I.R.; Arregui, F.J.; Lalanne, P. Optimization of sensitivity in Long Period Fiber Gratings with overlay deposition. Opt. Express 2005, 13, 56–69. [Google Scholar] [CrossRef]
- Cusano, A.; Iadicicco, A.; Pilla, P.; Contessa, L.; Campopiano, S.; Cutolo, A.; Giordano, M. Cladding mode reorganization in high-refractive-index-coated long-period gratings: Effects on the refractive-index sensitivity. Opt. Lett. 2005, 30, 2536–2538. [Google Scholar] [CrossRef]
- Tan, K.M.; Tay, C.M.; Tjin, S.C.; Chan, C.C.; Rahardjo, H. High relative humidity measurements using gelatin coated long-period grating sensors. Sens. Actuators B Chem. 2005, 110, 335–341. [Google Scholar] [CrossRef]
- Śmietana, M.; Koba, M.; Mikulic, P.; Bock, W.J. Measurements of reactive ion etching process effect using long-period fiber gratings. Opt. Express 2014, 22, 5986–5994. [Google Scholar] [CrossRef]
- Baliyan, A.; Sital, S.; Tiwari, U.; Gupta, R.; Sharma, E.K. Long period fiber grating based sensor for the detection of triacylglycerides. Biosens. Bioelectron. 2016, 79, 693–700. [Google Scholar] [CrossRef]
- Wu, C.-W. S-shaped long period fiber grating glucose concentration biosensor based on immobilized glucose oxidase. Optik 2020, 203, 163960. [Google Scholar] [CrossRef]
- Kaushik, S.; Tiwari, U.; Nilima; Prashar, S.; Das, B.; Sinha, R.K. Label-free detection of E scherichia coli bacteria by cascaded chirped long period gratings immunosensor. Rev. Sci. Instrum. 2019, 90, 025003. [Google Scholar] [CrossRef] [PubMed]
- Queirós, R.B.; Gouveia, C.; Fernandes, J.R.A.; Jorge, P.A.S. Evanescent wave DNA-aptamer biosensor based on long period gratings for the specific recognition of E. coli outer membrane proteins. Biosens. Bioelectron. 2014, 62, 227–233. [Google Scholar] [CrossRef] [PubMed]
- Gambhir, M.; Gupta, S.; John, P.; Mahakud, R.; Kumar, J.; Prakash, O.J.F.; Optics, I. Surface modified long period fiber grating sensor for rapid detection of aspergillus niger fungal spores. Iber Integr. Opt. 2018, 37, 79–91. [Google Scholar] [CrossRef]
- Liu, C.; Xu, B.J.; Zhou, L.; Sun, Z.; Mao, H.J.; Zhao, J.L.; Zhang, L.; Chen, X. Graphene oxide functionalized long period fiber grating for highly sensitive hemoglobin detection. Sens. Actuators B Chem. 2018, 261, 91–96. [Google Scholar] [CrossRef]
- Wang, R.; Ren, Z.; Kong, D.; Hu, B.; He, Z. Highly sensitive label-free biosensor based on graphene-oxide functionalized micro-tapered long period fiber grating. Opt. Mater. 2020, 109, 110253. [Google Scholar] [CrossRef]
- Wang, R.; Wu, H.; Qi, M.; Han, J.; Ren, Z. Bovine Serum Albumin Detection by Graphene Oxide Coated Long-Period Fiber Grating. Photonic Sens. 2022, 12, 220305. [Google Scholar] [CrossRef]
- Kang, X.; Wang, R.; Jiang, M.; Li, E.; Li, Y.; Yan, X.; Wang, T.; Ren, Z. Polydopamine functionalized graphene oxide for high sensitivity micro-tapered long period fiber grating sensor and its application in detection Co2+ ions. Opt. Fiber Technol. 2022, 68, 102807. [Google Scholar] [CrossRef]
- Wang, R.; Ren, Z.; Kong, D.; Wu, H.; Hu, B.; He, Z. Graphene oxide functionalized micro-tapered long-period fiber grating for sensitive heavy metal sensing. Appl. Phys. Express 2020, 13, 067001. [Google Scholar] [CrossRef]
- Yang, F.; Sukhishvili, S.; Du, H.; Tian, F. Marine salinity sensing using long-period fiber gratings enabled by stimuli-responsive polyelectrolyte multilayers. Sens. Actuators B Chem. 2017, 253, 745–751. [Google Scholar] [CrossRef]
- Yang, F.; Hlushko, R.; Wu, D.; Sukhishvili, S.A.; Du, H.; Tian, F. Ocean Salinity Sensing Using Long-Period Fiber Gratings Functionalized with Layer-by-Layer Hydrogels. ACS Omega 2019, 4, 2134–2141. [Google Scholar] [CrossRef]
- Wang, T.; Yasukochi, W.; Korposh, S.; James, S.W.; Tatam, R.P.; Lee, S.-W. A long period grating optical fiber sensor with nano-assembled porphyrin layers for detecting ammonia gas. Sens. Actuators B Chem. 2016, 228, 573–580. [Google Scholar] [CrossRef]
- Tan, S.-Y.; Lee, S.-C.; Okazaki, T.; Kuramitz, H.; Abd-Rahman, F. Detection of mercury (II) ions in water by polyelectrolyte–gold nanoparticles coated long period fiber grating sensor. Opt. Commun. 2018, 419, 18–24. [Google Scholar] [CrossRef]
- Ni, Y.-Q.; Ding, S.; Han, B.; Wang, H. Layer-by-layer assembly of polyelectrolytes-wrapped multi-walled carbon nanotubes on long period fiber grating sensors. Sens. Actuators B Chem. 2019, 301, 127120. [Google Scholar] [CrossRef]
- Yang, F.; Chang, T.-L.; Liu, T.; Wu, D.; Du, H.; Liang, J.; Tian, F. Label-free detection of Staphylococcus aureus bacteria using long-period fiber gratings with functional polyelectrolyte coatings. Biosens. Bioelectron. 2019, 133, 147–153. [Google Scholar] [CrossRef]
- Qin, X.; Feng, W.; Yang, X.; Wei, J.; Huang, G. Molybdenum sulfide/citric acid composite membrane-coated long period fiber grating sensor for measuring trace hydrogen sulfide gas. Sens. Actuators B Chem. 2018, 272, 60–68. [Google Scholar] [CrossRef]
- Xu, B.; Huang, J.; Xu, X.; Zhou, A.; Ding, L. Ultrasensitive NO Gas Sensor Based on the Graphene Oxide-Coated Long-Period Fiber Grating. ACS Appl. Mater. Inter. 2019, 11, 40868–40874. [Google Scholar] [CrossRef]
- Hromadka, J.; Tokay, B.; Correia, R.; Morgan, S.P.; Korposh, S. Highly sensitive volatile organic compounds vapour measurements using a long period grating optical fibre sensor coated with metal organic framework ZIF-8. Sens. Actuators B Chem. 2018, 260, 685–692. [Google Scholar] [CrossRef]
- Hromadka, J.; Tokay, B.; Correia, R.; Morgan, S.P.; Korposh, S. Carbon dioxide measurements using long period grating optical fibre sensor coated with metal organic framework HKUST-1. Sens. Actuators B Chem. 2018, 255, 2483–2494. [Google Scholar] [CrossRef]
- Zhu, G.; Zhang, M.; Lu, L.; Lou, X.; Dong, M.; Zhu, L. Metal-organic framework/enzyme coated optical fibers as waveguide-based biosensors. Sens. Actuators B Chem. 2019, 288, 12–19. [Google Scholar] [CrossRef]
- Wen, H.-Y.; Wang, S.-F.; Li, C.-H.; Yeh, Y.-T.; Chiang, C.-C. Real-Time and Sensitive Immunosensor for Label-Free Detection of Specific Antigen with a Comb of Microchannel Long-Period Fiber Grating. Anal. Chem. 2020, 92, 15989–15996. [Google Scholar] [CrossRef]
- Eftimov, T.; Janik, M.; Koba, M.; Śmietana, M.; Mikulic, P.; Bock, W. Long-Period Gratings and Microcavity In-Line Mach Zehnder Interferometers as Highly Sensitive Optical Fiber Platforms for Bacteria Sensing. Sensors 2020, 20, 3372. [Google Scholar] [CrossRef]
- DeLisa, M.P.; Zhang, Z.; Shiloach, M.; Pilevar, S.; Davis, C.C.; Sirkis, J.S.; Bentley, W.E. Evanescent Wave Long-Period Fiber Bragg Grating as an Immobilized Antibody Biosensor. Anal. Chem. 2000, 72, 2895–2900. [Google Scholar] [CrossRef] [PubMed]
- Yadav, A.R.; Sriram, R.; Carter, J.A.; Miller, B.L. Comparative study of solution–phase and vapor–phase deposition of aminosilanes on silicon dioxide surfaces. Mater. Sci. Eng. C 2014, 35, 283–290. [Google Scholar] [CrossRef] [PubMed]
- Saengdee, P.; Chaisriratanakul, W.; Bunjongpru, W.; Sripumkhai, W.; Srisuwan, A.; Jeamsaksiri, W.; Hruanun, C.; Poyai, A.; Promptmas, C. Surface modification of silicon dioxide, silicon nitride and titanium oxynitride for lactate dehydrogenase immobilization. Biosens. Bioelectron. 2015, 67, 134–138. [Google Scholar] [CrossRef] [PubMed]
- Lee, Y.; Kim, J.; Kim, S.; Jang, W.-D.; Park, S.; Koh, W.-G. Protein-conjugated, glucose-sensitive surface using fluorescent dendrimer porphyrin. J. Mater. Chem. 2009, 19, 5643–5647. [Google Scholar] [CrossRef]
- Chen, D.; Feng, H.; Li, J. Graphene Oxide: Preparation, Functionalization, and Electrochemical Applications. Chem. Rev. 2012, 112, 6027–6053. [Google Scholar] [CrossRef]
- Georgakilas, V.; Otyepka, M.; Bourlinos, A.B.; Chandra, V.; Kim, N.; Kemp, K.C.; Hobza, P.; Zboril, R.; Kim, K.S. Functionalization of Graphene: Covalent and Non-Covalent Approaches, Derivatives and Applications. Chem. Rev. 2012, 112, 6156–6214. [Google Scholar] [CrossRef]
- Huang, C.; Bai, H.; Li, C.; Shi, G. A graphene oxide/hemoglobin composite hydrogel for enzymatic catalysis in organic solvents. Chem. Commun. 2011, 47, 4962–4964. [Google Scholar] [CrossRef]
- Wang, R.; Kang, X.; Kong, D.; Jiang, M.; Ren, Z.; Hu, B.; He, Z. Highly sensitive metal ion sensing by graphene oxide functionalized micro-tapered long-period fiber grating. Analyst 2022, 147, 3025–3034. [Google Scholar] [CrossRef]
- Ariga, K.; Yamauchi, Y.; Rydzek, G.; Ji, Q.; Yonamine, Y.; Wu, K.C.-W.; Hill, J.P. Layer-by-layer nanoarchitectonics: Invention, innovation, and evolution. Chem. Lett. 2014, 43, 36–68. [Google Scholar] [CrossRef]
- Tian, F.; Kanka, J.; Sukhishvili, S.A.; Du, H. Photonic crystal fiber for layer-by-layer assembly and measurements of polyelectrolyte thin films. Opt. Lett. 2012, 37, 4299–4301. [Google Scholar] [CrossRef] [PubMed]
- Lee, T.; Min, S.H.; Gu, M.; Jung, Y.K.; Lee, W.; Lee, J.U.; Seong, D.G.; Kim, B.-S. Layer-by-Layer Assembly for Graphene-Based Multilayer Nanocomposites: Synthesis and Applications. Chem. Mater. 2015, 27, 3785–3796. [Google Scholar] [CrossRef]
- Chen, R.; Liu, W.; Huang, G.; Wang, D.; Qin, X.; Feng, W. Hydrogen sulfide sensor based on tapered fiber sandwiched between two molybdenum disulfide/citric acid composite membrane coated long-period fiber gratings. Appl. Opt. 2018, 57, 9755–9759. [Google Scholar] [CrossRef]
- Xu, B.; Huang, J.; Ding, L.; Zhang, H.; Zhang, H. A Sensitive Ammonia Sensor Using Long Period Fiber Grating Coated With Graphene Oxide/Cellulose Acetate. IEEE Sens. J. 2021, 21, 16691–16700. [Google Scholar] [CrossRef]
- Furukawa, H.; Cordova, K.E.; O’Keeffe, M.; Yaghi, O.M. The chemistry and applications of metal-organic frameworks. Science 2013, 341, 1230444. [Google Scholar] [CrossRef]
- Zhou, H.-C.; Long, J.R.; Yaghi, O.M. Introduction to Metal–Organic Frameworks. Chem. Rev. 2012, 112, 673–674. [Google Scholar] [CrossRef] [PubMed]
- Mueller, U.; Schubert, M.; Teich, F.; Puetter, H.; Schierle-Arndt, K.; Pastré, J. Metal–organic frameworks—Prospective industrial applications. J. Mater. Chem. 2006, 16, 626–636. [Google Scholar] [CrossRef]
- Zhang, J.; Tang, X.; Dong, J.; Wei, T.; Xiao, H. Zeolite thin film-coated long period fiber grating sensor for measuring trace organic vapors. Sens. Actuators B Chem. 2009, 135, 420–425. [Google Scholar] [CrossRef]
- Lu, G.; Hupp, J.T. Metal−Organic Frameworks as Sensors: A ZIF-8 Based Fabry−Pérot Device as a Selective Sensor for Chemical Vapors and Gases. J. Am. Chem. Soc. 2010, 132, 7832–7833. [Google Scholar] [CrossRef]
- Hromadka, J.; Tokay, B.; James, S.; Tatam, R.P.; Korposh, S. Optical fibre long period grating gas sensor modified with metal organic framework thin films. Sens. Actuators B Chem. 2015, 221, 891–899. [Google Scholar] [CrossRef]
- Mehta, J.; Bhardwaj, N.; Bhardwaj, S.K.; Kim, K.-H.; Deep, A. Recent advances in enzyme immobilization techniques: Metal-organic frameworks as novel substrates. Coord. Chem. Rev. 2016, 322, 30–40. [Google Scholar] [CrossRef]
- Quero, G.; Zuppolini, S.; Consales, M.; Diodato, L.; Vaiano, P.; Venturelli, A.; Santucci, M.; Spyrakis, F.; Costi, M.P.; Giordano, M.; et al. Long period fiber grating working in reflection mode as valuable biosensing platform for the detection of drug resistant bacteria. Sens. Actuators B Chem. 2016, 230, 510–520. [Google Scholar] [CrossRef]
- Pieter, L.S. Long-period grating Michelson refractometric sensor. Meas. Sci. Technol. 2004, 15, 1576–1580. [Google Scholar]
- Kim, D.W.; Shen, F.; Chen, X.; Wang, A. Simultaneous measurement of refractive index and temperature based on a reflection-mode long-period grating and an intrinsic Fabry–Perot interferometer sensor. Opt. Lett. 2005, 30, 3000–3002. [Google Scholar] [CrossRef]
- Jiang, M.; Guan, Z.G.; He, S. Multiplexing Scheme for Self-Interfering Long-Period Fiber Gratings Using a Low-Coherence Reflectometry. IEEE Sens. J. 2007, 7, 1663–1667. [Google Scholar] [CrossRef]
- Jiang, M.; Zhang, A.P.; Wang, Y.-C.; Tam, H.-Y.; He, S. Fabrication of a compact reflective long-period grating sensor with a cladding-mode-selective fiber end-face mirror. Opt. Express 2009, 17, 17976–17982. [Google Scholar] [CrossRef]
- Sohel, R.; Nirmala, K.; Harish, S. Reflective long period grating based temperature sensor. Opt. Compon. Mater. 2021, 11682, 1168219. [Google Scholar]
- Yuan, J.; Zhao, C.-L.; Zhou, Y.; Yu, X.; Kang, J.; Wang, J.; Jin, S. Reflective long-period fiber grating-based sensor with Sagnac fiber loop mirror for simultaneous measurement of refractive index and temperature. Appl. Opt. 2014, 53, H85–H90. [Google Scholar] [CrossRef] [PubMed]
- Kim, D.W.; Zhang, Y.; Cooper, K.L.; Wang, A. In-fiber reflection mode interferometer based on a long-period grating for external refractive-index measurement. Appl. Opt. 2005, 44, 5368–5373. [Google Scholar] [CrossRef]
- Dey, T.K.; Biswas, P.; Basumallick, N.; Bandyopadhyay, S.; Bandyopadhyay, S. Realization of Long Period Fiber Grating in Reflection Mode Operating Near Turn Around Point. IEEE Sens. J. 2017, 17, 4100–4106. [Google Scholar] [CrossRef]
- Jie, H.; Xinwei, L.; Amardeep, K.; Hanzheng, W.; Lei, Y.; Hai, X. Reflection-based phase-shifted long period fiber grating for simultaneous measurement of temperature and refractive index. Opt. Eng. 2013, 52, 014404. [Google Scholar]
- Villar, I.D.; Socorro, A.B.; Corres, J.M.; Matias, I.R.; Cruz, J.L.; Rego, G. Etched LPFGs in Reflective Configuration for Sensitivity and Attenuation Band Depth Increase. IEEE Photonic Technol. Lett. 2016, 28, 1077–1080. [Google Scholar] [CrossRef]














| Enhanced Method | Configuration | Target | Range | LOD or Sensitivity | Ref. |
|---|---|---|---|---|---|
| DTP | SM, etched fiber cladding | Anti-IgG | 1–100 μg/mL | 70 ng/mL | [42] |
| DTP | B-Ge co-doped fiber | SV | 0.3–2.7 μM | 2.5 nM | [43] |
| DTP | SM, etched fiber cladding | - | RI: 1.353–1.413 | 8734 nm/RIU | [44] |
| DTP | SM, Λ = 226.8 μm, 358 μm | - | RI: 1.333–1.353 | 1929 nm/RIU | [45] |
| DTP | SM, Λ = 162 μm | - | RI: 1.333–1.347 | 2538 nm/RIU | [46] |
| DTP | SM, thin cladding fiber | - | - | 4298.2 nm/RIU | [32] |
| DTP | SM, etched fiber cladding. | - | RI: 1.3333–1.3399 | 7200 nm/RIU | [16] |
| DTP | Etched fiber cladding | - | RI: 1.333–1.3335 | 8751 nm/RIU | [47] |
| DTP | SM, etched fiber cladding. | Anti-IgG | 0.1–100 μg/mL | 0.16 ng/mL | [48] |
| MT | PC/cryptophane A overlay | - | - | 3500 nm/RIU | [49] |
| MT | Atactic polystyrene overlay | Butane | ~1.0 vol% | −2.2 nm/vol% | [50] |
| MT | PC/GO overlay | BSA | 0.1–1000 aM | 0.2 aM | [51] |
| MT | TaOx overlay | - | RI: 1.335–1.345 | 11,500 nm/RIU | [52] |
| MT | Si3N4 overlay | - | RI: around 1.33 | 10,000 nm/RIU | [53] |
| MT | Au-Si overlay | - | RI: around 1.315 | 7267.7 nm/RIU | [54] |
| MT | DCF | - | RI: water-like | 420 nm/RIU | [55] |
| MT | DCF | C-reactive protein | 1–100 μg/mL | 0.15 ng/mL | [56] |
| MT | DCF | vitamin D | 1–1000 ng/mL | 1 ng/mL | [57] |
| DTP+MT | TiO2 overlay | - | RI: 1.334–1.340 | 6200 nm/RIU | [58] |
| DTP+MT | Diamond-like carbon nano overlay | - | RI: 1.3344–1.3355 | 12,000 nm/RIU | [59] |
| RI: 1.340–1.356 | 2000 nm/RIU | ||||
| DTP+MT | Thin film with RI of 1.55 | - | RI: 1.330–1.331 | 143000 nm/RIU | [60] |
| DTP+MT | TiO2 overlay | - | RI: 1.336–1.3397 | 10,000 nm/RIU | [61] |
| RI: 1.392–1.3971 | 15,000 nm/RIU | ||||
| RI: 1.44–1.4436 | 23,000 nm/RIU | ||||
| RI: 1.4526–1.4561 | 42,000 nm/RIU |
| Functionalization Method | Bioreceptor | Target | Rang | LOD or Sensitivity | Ref. |
|---|---|---|---|---|---|
| APTES silanization | Lipase enzyme | Triacylglycerides | - | 0.2 mM | [80] |
| APTES silanization | Glucose oxidase | Glucose | 0∼1 wt% | 6.229 dB/wt% | [81] |
| APTES silanization | IgY | Staphylococcus aureus | 102–107 CFU/ml | 33 CFU/mL | [39] |
| APTES silanization | T4 bacteriophage | Escherichia coli | - | 100 CFU/mL | [45] |
| APTES silanization | Anti-E. coli antibody | Escherichia coli | - | 7 CFU/mL | [82] |
| APTES silanization | DNA | DNA | - | 4 nM | [68] |
| APTES silanization | DNA aptamer | Escherichia coli | - | 10 nM | [83] |
| APTES silanization | Glucose oxidase | Aspergillus niger | - | 1000 CFU/mL | [84] |
| GO functionalization | IgG | Anti-IgG | - | 7 ng/mL | [46] |
| GO functionalization | GO | Hemoglobin | 0–1 mg/mL | 0.05 mg/mL | [85] |
| GO functionalization | GO | Hemoglobin | 0–2 mg/mL | 0.02 mg/mL | [86] |
| GO functionalization | GO | BSA | 0–2 mg/mL | 0.043 mg/mL | [87] |
| GO functionalization | GO/polydopamine | Co2+ ions | 1 ppb to 107 ppb | 0.17 ppb | [88] |
| GO functionalization | GO | Ni2+ ions | 1 ppb to 107 ppb | 0.27 ppb | [89] |
| LbL assembly | CHI/PAA | NaCl | 0.5–0.8 M | 36 nm/M | [90] |
| LbL assembly | qP4VP | NaCl | 0.4–0.8 M | 7 nm/M | [91] |
| LbL assembly | PDDA/TSPP | NH3 | - | 0.67 ppm | [92] |
| LbL assembly | PDDA/PSS-Au | Hg2+ | 0.5 ppm–10 ppm | 0.5 ppm | [93] |
| LbL assembly | PAH-Au:SiO2 | Streptavidin | 1.25 Nm–2.7 μM | 1.25 nM | [64] |
| LbL assembly | PEI/PAA | pH | pH: 2–13 | 0.83 dB/pH | [94] |
| LbL assembly | PAH/PAA | Staphylococcus aureus | - | 224 CFU/mL | [95] |
| Dip-coating technique | MoS2/citric acid | H2S | 0–70 ppm | 0.5 ppm | [96] |
| Dip-coating technique | GO | NO | 0–400 ppm | 63.65 pm/ppm | [97] |
| In situ crystallization | ZIF-8 films | Acetone | 6.67 ppm | 0.015 nm/ppm | [98] |
| Ethanol | 5.56 ppm | 0.018 nm/ppm | |||
| In situ crystallization | HKUST-1 film | CO2 | 401 ppm | [99] | |
| In situ crystallization | GOx/ ZIF-8 | Glucose | 1–8 mM | 0.5 nm/mM | [100] |
Disclaimer/Publisher’s Note: The statements, opinions and data contained in all publications are solely those of the individual author(s) and contributor(s) and not of MDPI and/or the editor(s). MDPI and/or the editor(s) disclaim responsibility for any injury to people or property resulting from any ideas, methods, instructions or products referred to in the content. |
© 2023 by the authors. Licensee MDPI, Basel, Switzerland. This article is an open access article distributed under the terms and conditions of the Creative Commons Attribution (CC BY) license (https://creativecommons.org/licenses/by/4.0/).
Share and Cite
Cai, J.; Liu, Y.; Shu, X. Long-Period Fiber Grating Sensors for Chemical and Biomedical Applications. Sensors 2023, 23, 542. https://doi.org/10.3390/s23010542
Cai J, Liu Y, Shu X. Long-Period Fiber Grating Sensors for Chemical and Biomedical Applications. Sensors. 2023; 23(1):542. https://doi.org/10.3390/s23010542
Chicago/Turabian StyleCai, Jintao, Yulei Liu, and Xuewen Shu. 2023. "Long-Period Fiber Grating Sensors for Chemical and Biomedical Applications" Sensors 23, no. 1: 542. https://doi.org/10.3390/s23010542
APA StyleCai, J., Liu, Y., & Shu, X. (2023). Long-Period Fiber Grating Sensors for Chemical and Biomedical Applications. Sensors, 23(1), 542. https://doi.org/10.3390/s23010542
