A Hybrid Controller for a Soft Pneumatic Manipulator Based on Model Predictive Control and Iterative Learning Control
Abstract
1. Introduction
- Taylor expansion was used to solve kinematics singular solution problems.
- Universal dynamic modeling for the three-chamber continuous pneumatic manipulator is presented based on the modal method.
- A hybrid controller integrating the model predictive control method and iterative learning control method was proposed.
2. System Description
3. System Modeling
3.1. Kinematic Modeling
3.2. Dynamic Modeling
4. Control Algorithm
4.1. Parameters of the Control Model
4.2. Hybrid Controller
4.3. Model Parameters Iterative Learning Law
4.4. Parameter-Adaptive-Learning Control Algorithm
| Algorithm 1. Model parameters learning adaptive control |
| Step1: Initialize the model parameter , Plan length trajectory ; |
| Step2: Obtain the initial pressure based on MPC; |
| Step3: Compare with length tolerance and . |
| Step4: Obtain trough model parameters iterative learning law and MPC |
| Step5: Obtain based trough ILC |
| Step6: Obtain total input pressure , real chamber length and model estimated length trough real system and estimated model, respectively. Then go to step 3. |
5. Simulation
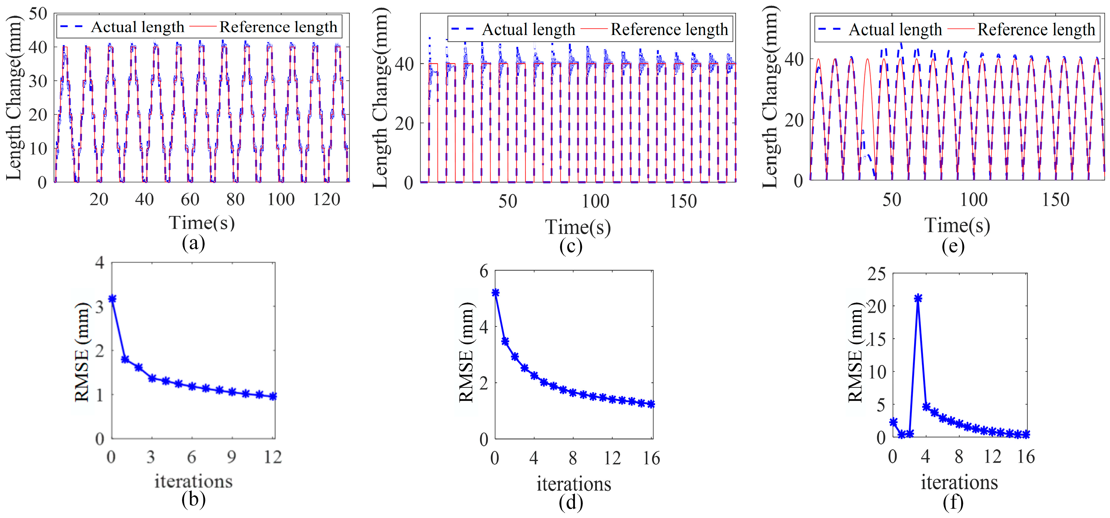
5.1. Control Algorithm Simulation
5.2. Comparison with Traditional Model-Free Algorithms
5.3. Effect of Initial Model Parameter Value
5.4. Effect of Reference Length Change Trajectory
6. Experiments
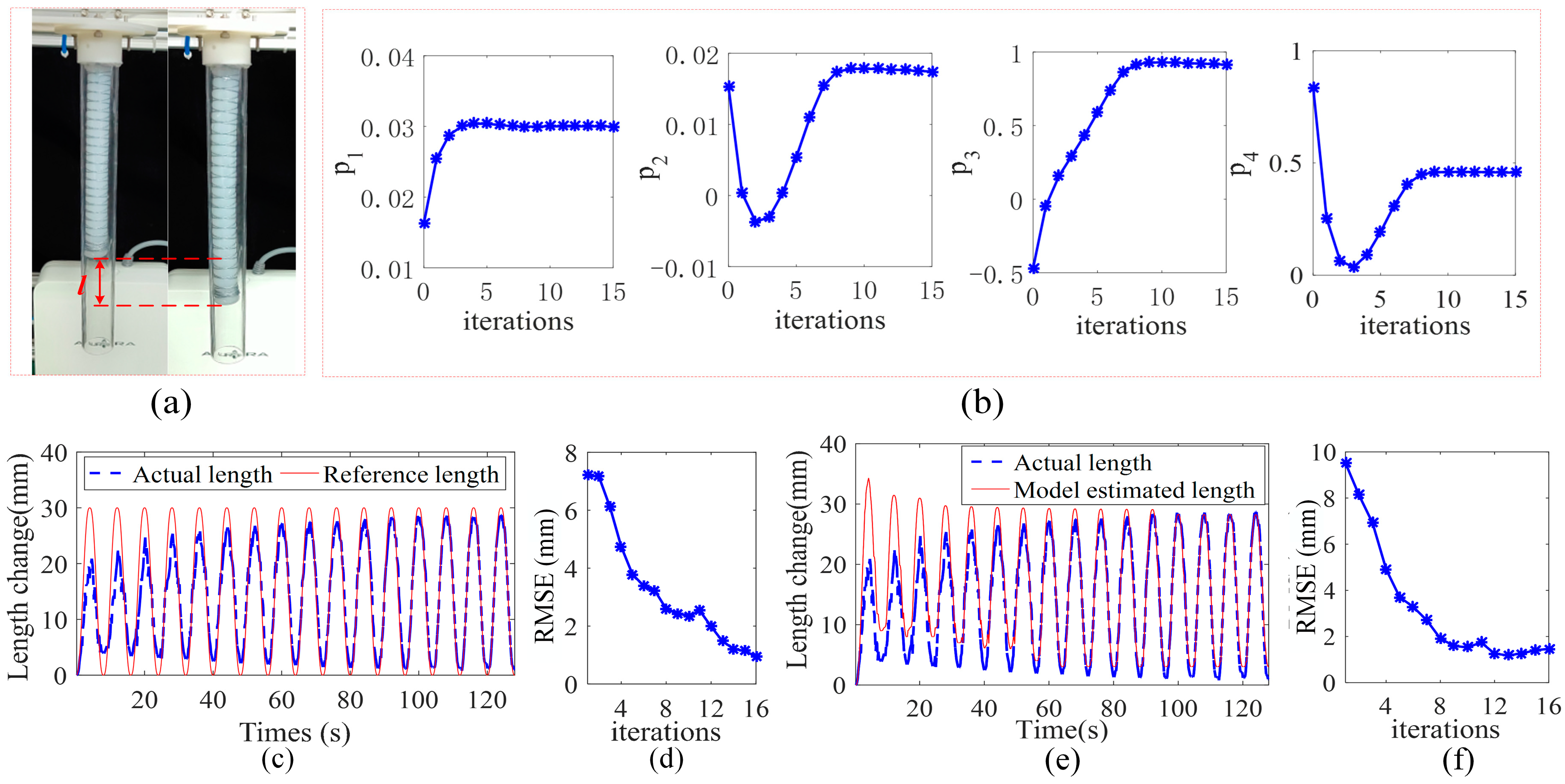
6.1. Verification Experiment of the Control Algorithm for Single-Chamber Manipulator
6.2. Verification Experiment of the Control Algorithm for Multi-Chamber Manipulator
6.3. Trajectory Tracking Experiment for the Multi-Chamber Manipulator
6.4. Discussion
7. Conclusions
Author Contributions
Funding
Institutional Review Board Statement
Informed Consent Statement
Data Availability Statement
Conflicts of Interest
Appendix A
References
- Paternò, L.; Tortora, G.; Menciassi, A. Hybrid Soft–Rigid Actuators for Minimally Invasive Surgery. Soft Robot. 2018, 5, 783–799. [Google Scholar] [CrossRef]
- Laschi, C.; Mazzolai, B.; Cianchetti, M. Soft Robot.ics: Technologies and systems pushing the boundaries of robot abilities. Sci. Robot 2016, 1, eaah3690. [Google Scholar] [CrossRef] [PubMed]
- Marchese, A.D.; Katzschmann, R.K.; Rus, D. A Recipe for Soft Fluidic Elastomer Robots. Soft Robot. 2015, 2, 7–25. [Google Scholar] [CrossRef] [PubMed]
- Ranzani, T.; Gerboni, G.; Cianchetti, M.; Menciassi, A. A bioinspired soft manipulator for minimally invasive surgery. Bioinspiration Biomim. 2015, 10, 035008. [Google Scholar] [CrossRef] [PubMed]
- Runciman, M.; Avery, J.; Zhao, M.; Darzi, A.; Mylonas, G.P. Deployable, Variable Stiffness, Cable Driven Robot for Minimally Invasive Surgery. Front. Robot. AI 2020, 6, 141. [Google Scholar] [CrossRef]
- Ding, J.; Goldman, R.E.; Xu, K.; Allen, P.K.; Fowler, D.L.; Simaan, N. Design and Coordination Kinematics of an Insertable Robotic Effectors Platform for Single-Port Access Surgery. IEEEASME Trans. Mechatron. 2013, 19, 109–120. [Google Scholar] [CrossRef] [PubMed]
- Walker, I.D.; Dawson, D.M.; Flash, T.; Grasso, F.W.; Hanlon, R.T.; Hochner, B.; Kier, W.M.; Pagano, C.C.; Rahn, C.D.; Zhang, Q.M. Continuum robot arms inspired by cephalopods. In Proceedings of the Defense and Security, Orlando, FL, USA, 27 May 2005; p. 303. [Google Scholar] [CrossRef]
- Laschi, C.; Cianchetti, M.; Mazzolai, B.; Margheri, L.; Follador, M.; Dario, P. Soft Robot. Arm Inspired by the Octopus. Adv. Robot. 2012, 26, 709–727. [Google Scholar] [CrossRef]
- Suzumori, K.; Endo, S.; Kanda, T.; Kato, N.; Suzuki, H. A Bending Pneumatic Rubber Actuator Realizing Soft-bodied Manta Swimming Robot. In Proceedings of the 2007 IEEE International Conference on Robotics and Automation, Rome, Italy, 10–14 April 2007; pp. 4975–4980. [Google Scholar] [CrossRef]
- Lin, H.-T.; Leisk, G.G.; Trimmer, B. GoQBot: A caterpillar-inspired soft-bodied rolling robot. Bioinspir. Biomim. 2011, 6, 026007. [Google Scholar] [CrossRef]
- Guan, Q.; Sun, J.; Liu, Y.; Wereley, N.M.; Leng, J. Novel Bending and Helical Extensile/Contractile Pneumatic Artificial Muscles Inspired by Elephant Trunk. Soft Robot. 2020, 7, 597–614. [Google Scholar] [CrossRef]
- Luo, R.; Wang, T.; Shi, Z.; Tian, J. Design and kinematic analysis of an elephant-trunk-like robot with shape memory alloy actuators. In Proceedings of the 2017 IEEE 2nd Advanced Information Technology, Electronic and Automation Control Conference (IAEAC), Chongqing, China, 25–26 March 2017; pp. 157–161. [Google Scholar] [CrossRef]
- Liu, T.; Xu, W.; Yang, T.; Li, Y. A Hybrid Active and Passive Cable-Driven Segmented Redundant Manipulator: Design, Kinematics, and Planning. IEEEASME Trans. Mechatron. 2021, 26, 930–942. [Google Scholar] [CrossRef]
- Rone, W.S.; Ben-Tzvi, P. Continuum Robot Dynamics Utilizing the Principle of Virtual Power. IEEE Trans. Robot. 2014, 30, 275–287. [Google Scholar] [CrossRef]
- Franco, E.; Garriga-Casanovas, A. Energy-shaping control of soft continuum manipulators with in-plane disturbances. Int. J. Robot. Res. 2021, 40, 236–255. [Google Scholar] [CrossRef]
- Pritts, M.B.; Rahn, C.D. Design of an artificial muscle continuum robot. In Proceedings of the IEEE International Conference on Robotics and Automation, New Orleans, LA, USA, 26 April–1 May 2004; Volume 5, pp. 4742–4746. [Google Scholar] [CrossRef]
- Li, X.; Sun, K.; Guo, C.; Liu, H. Modeling and Experimental Validation for a Large-Scale and Ultralight Inflatable Robotic Arm. IEEEASME Trans. Mechatron. 2022, 27, 418–429. [Google Scholar] [CrossRef]
- Mustaza, S.M.; Elsayed, Y.; Lekakou, C.; Saaj, C.; Fras, J. Dynamic Modeling of Fiber-Reinforced Soft Manipulator: A Visco-Hyperelastic Material-Based Continuum Mechanics Approach. Soft Robot. 2019, 6, 305–317. [Google Scholar] [CrossRef]
- Jones, B.A.; Walker, I.D. Kinematics for multisection continuum robots. IEEE Trans. Robot. 2006, 22, 43–55. [Google Scholar] [CrossRef]
- Bailly, Y.; Amirat, Y.; Fried, G. Modeling and Control of a Continuum Style Microrobot for Endovascular Surgery. IEEE Trans. Robot. 2011, 27, 1024–1030. [Google Scholar] [CrossRef]
- McMahan, W.; Chitrakaran, V.; Csencsits, M.; Dawson, D.; Walker, I.; Jones, B.; Pritts, M.; Dienno, D.; Grissom, M.; Rahn, C. Field trials and testing of the OctArm continuum manipulator. In Proceedings of the 2006 IEEE International Conference on Robotics and Automation, Orlando, FL, USA, 15–19 May 2006; pp. 2336–2341. [Google Scholar] [CrossRef]
- Jones, B.A.; Walker, I.D. Practical Kinematics for Real-Time Implementation of Continuum Robots. IEEE Trans. Robot. 2006, 22, 1087–1099. [Google Scholar] [CrossRef]
- Majidi, C. Soft Robotics: A Perspective—Current Trends and Prospects for the Future. Soft Robot. 2014, 1, 5–11. [Google Scholar] [CrossRef]
- Chirikjian, G.S. Hyper-redundant manipulator dynamics: A continuum approximation. Adv. Robot. 1994, 9, 217–243. [Google Scholar] [CrossRef]
- Khalil, W.; Gallot, G.; Ibrahim, O.; Boyer, F. Dynamic Modeling of a 3-D Serial Eel-Like Robot. In Proceedings of the 2005 IEEE International Conference on Robotics and Automation, Barcelona, Spain, 18–22 April 2005; pp. 1270–1275. [Google Scholar] [CrossRef]
- Matsuno, F.; Sato, H. Trajectory Tracking Control of Snake Robots Based on Dynamic Model. In Proceedings of the 2005 IEEE International Conference on Robotics and Automation, Barcelona, Spain, 18–22 April 2005; pp. 3029–3034. [Google Scholar] [CrossRef]
- Tatlicioglu, E.; Walker, I.D.; Dawson, D.M. Dynamic Modelling for Planar Extensible Continuum Robot Manipulators. In Proceedings of the 2007 IEEE International Conference on Robotics and Automation, Barcelona, Spain, 18–22 April 2007; pp. 1357–1362. [Google Scholar] [CrossRef]
- Godage, I.S.; Branson, D.T.; Guglielmino, E.; Medrano-Cerda, G.A.; Caldwell, D.G. Dynamics for biomimetic continuum arms: A modal approach. In Proceedings of the 2011 IEEE International Conference on Robotics and Biomimetics, Karon Beach, Thailand, 7–11 December 2011; pp. 104–109. [Google Scholar] [CrossRef]
- Gazzola, M.; Dudte, L.H.; McCormick, A.G.; Mahadevan, L. Forward and inverse problems in the mechanics of soft filaments. R. Soc. Open Sci. 2018, 5, 171628. [Google Scholar] [CrossRef]
- Thuruthel, T.G.; Ansari, Y.; Falotico, E.; Laschi, C. Control Strategies for Soft Robotic Manipulators: A Survey. Soft Robot. 2018, 5, 149–163. [Google Scholar] [CrossRef] [PubMed]
- Kocijan, J. Modelling and Control of Dynamic Systems Using Gaussian Process Models; Springer International Publishing: Cham, Switzerland, 2016. [Google Scholar] [CrossRef]
- Tang, Z.Q.; Heung, H.L.; Tong, K.Y.; Li, Z. Model-based online learning and adaptive control for a “human-wearable Soft Robot.” integrated system. Int. J. Robot. Res. 2021, 40, 256–276. [Google Scholar] [CrossRef]
- Trimmer, B. Soft Robot. Control Systems: A New Grand Challenge? Soft Robot. 2014, 1, 231–232. [Google Scholar] [CrossRef]
- Singh, G.; Krishnan, G. Designing Fiber-Reinforced Soft Actuators for Planar Curvilinear Shape Matching. Soft Robot. 2019, 7, 109–121. [Google Scholar] [CrossRef] [PubMed]
- Hock, O.; Drgoňa, P.; Paškala, M. Simulation model of adjustable arm using Denavit-Hartenberg parameters. In Proceedings of the 2014 ELEKTRO, Rajecke Teplice, Slovakia, 19–20 May 2014; pp. 176–179. [Google Scholar] [CrossRef]
- Webster, R.J.; Jones, B.A. Design and Kinematic Modeling of Constant Curvature Continuum Robots: A Review. Int. J. Robot. Res. 2010, 29, 1661–1683. [Google Scholar] [CrossRef]
- Mascarenhas, W.F. The divergence of the BFGS and Gauss Newton methods. Math. Program. 2014, 147, 253–276. [Google Scholar] [CrossRef]
- Amirabdollahian, F.; Loureiro, R.; Harwin, W. Minimum jerk trajectory control for rehabilitation and haptic applications. In Proceedings of the 2002 IEEE International Conference on Robotics and Automation (Cat. No.02CH37292), Washington, DC, USA, 11–15 May 2002; Volume 4, pp. 3380–3385. [Google Scholar] [CrossRef]















| Robot Mass m | Chamber Length L0 | |||
|---|---|---|---|---|
| 0.006 | 0.03 | 0.15 | 400 N/m | 0.1 N/rad |
| Min chamber length | 0 m | Feedforward input coefficient | 10 |
| Max chamber length | 0.04 m | Sampling time | 0.1 s |
| Output weight factor Q | 100 | Total time | 10 s |
| Input weight factor R | 1 | Error tolerance | 0.001 |
| Prediction horizon H | 10 | Error tolerance | 0.001 |
Disclaimer/Publisher’s Note: The statements, opinions and data contained in all publications are solely those of the individual author(s) and contributor(s) and not of MDPI and/or the editor(s). MDPI and/or the editor(s) disclaim responsibility for any injury to people or property resulting from any ideas, methods, instructions or products referred to in the content. |
© 2023 by the authors. Licensee MDPI, Basel, Switzerland. This article is an open access article distributed under the terms and conditions of the Creative Commons Attribution (CC BY) license (https://creativecommons.org/licenses/by/4.0/).
Share and Cite
Dai, Y.; Deng, Z.; Wang, X.; Yuan, H. A Hybrid Controller for a Soft Pneumatic Manipulator Based on Model Predictive Control and Iterative Learning Control. Sensors 2023, 23, 1272. https://doi.org/10.3390/s23031272
Dai Y, Deng Z, Wang X, Yuan H. A Hybrid Controller for a Soft Pneumatic Manipulator Based on Model Predictive Control and Iterative Learning Control. Sensors. 2023; 23(3):1272. https://doi.org/10.3390/s23031272
Chicago/Turabian StyleDai, Yicheng, Zhihao Deng, Xin Wang, and Han Yuan. 2023. "A Hybrid Controller for a Soft Pneumatic Manipulator Based on Model Predictive Control and Iterative Learning Control" Sensors 23, no. 3: 1272. https://doi.org/10.3390/s23031272
APA StyleDai, Y., Deng, Z., Wang, X., & Yuan, H. (2023). A Hybrid Controller for a Soft Pneumatic Manipulator Based on Model Predictive Control and Iterative Learning Control. Sensors, 23(3), 1272. https://doi.org/10.3390/s23031272

