A New COVID-19 Detection Method Based on CSK/QAM Visible Light Communication and Machine Learning
Abstract
1. Introduction
2. State-of-the-Art Techniques
2.1. Work Related to the VLC Channel
2.1.1. Work Related to Underground Channels
2.1.2. Work on Scattering Distribution Patterns
2.1.3. Work Related to FSK in Underground Channels
2.1.4. Model of a Channel Based on CSK/QAM Mapping
2.2. Galois Field Mapping/Galois Fields Demapping
2.3. AI-Based Procedures to Replace Human Processing
3. System Diagram
3.1. Line-of-Sight (LoS) Link
3.2. Non-Line-of-Sight (NLoS) Link
3.3. Transmitter: LED
3.4. Receiver
3.5. The DC Gain of the Channel Model
4. Methodology
4.1. Model of a Channel Based on CSK/QAM Mapping
4.2. Galois Field Mapping/Galois Fields Demapping
4.3. AI-Based Procedures to Replace Human Processing
4.3.1. Logistic Regression
4.3.2. Naive Bayesian with Gaussian optimisation
4.3.3. SVM Classifier
4.3.4. Extra Trees Classifier
4.3.5. Histogram Gradient Boosting Classifier
4.3.6. Model Evaluation
5. Results Analysis
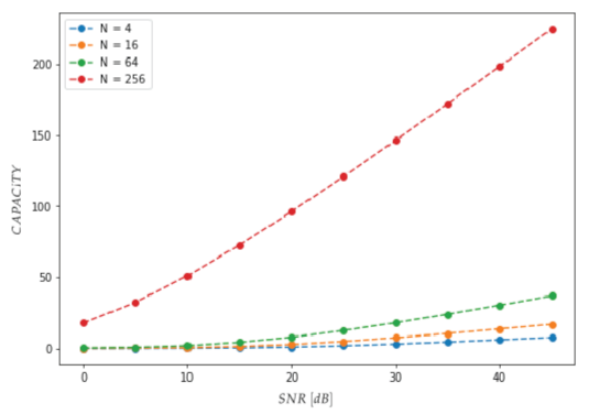
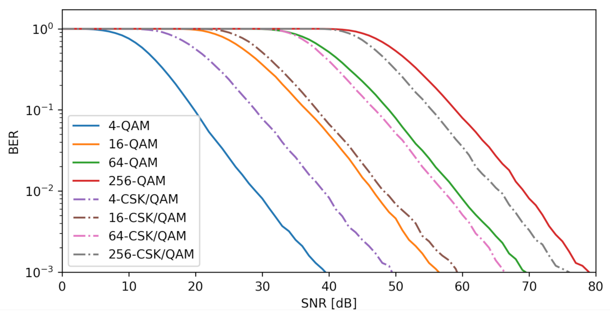
5.1. Results of the Channel Based on CSK/QAM Mapping
5.2. Results SARS-CoV-2 Searching of the Model
5.3. Results SARS-CoV-2 Operation of the Best Model
6. Conclusions
Author Contributions
Funding
Institutional Review Board Statement
Informed Consent Statement
Data Availability Statement
Acknowledgments
Conflicts of Interest
Abbreviations
| 2D | Two dimensional |
| 3D | Thee dimensional |
| AI | Artificial Intelligence |
| BER | Bit Error Rate |
| CIE | Comission Internationale de l´Éclairage |
| COVID-19 | Coronavirus disease 2019 |
| CSK | Colour Shift Keying |
| CSK/QAM | Colour shift keying with quadrature Amplitude modulation |
| CxR | Chest X-rays |
| DC | Direct Current |
| DNA | Deoxyribonucleic acid |
| DNN | Deep Neural Network |
| dsDNA | Double Strand DNA |
| ETC | Extra Trees Classifier |
| FSK | Frequency Shift Keying |
| GaussianNB | Naive Bayesian with Gaussian optimisation |
| GP | Gaussian Processes |
| IM/DD | Intensity-modulation direct-detection |
| LED | Light Emitting Diode |
| LGB | Light Gradient Boosting |
| LoS | Line-of-sight |
| LS | Light source |
| M | Modulation order |
| ML | Machine Learning |
| MMSE | Minimum mean square error |
| NLoS | Non-Line-of-sight |
| Chromosome length | |
| OOK | On–off keying |
| OWC | Optical Wireless Communication |
| PI | Probability of improvement |
| PCR | Polymerase Chain Reaction |
| PDs | Photo detector |
| QAM | Quadrature amplitude modulation |
| RF | Radio Frequency |
| RGB | Red Green Blue |
| RNA | Ribonucleic acid |
| SARS-CoV-2 | Severe acute respiratory syndrome coronavirus 2 |
| SNR | Signal-to-noise ratio |
| SPDs | Semiconductor Photo Detectors |
| SVM | Support vector machine |
| UM-VLC | Underground Mining Visible light communication |
| UM-VLC SISO | UM-VLC Single input single output |
| VLC | Visible light communication |
| VLC/FSK | Visible light communication/Frequency Shift Keying |
| VLS | Virtual light source |
| WBD | Water-borne Dataset |
Appendix A
Appendix B
References
- Dhama, K.; Chandran, D.; Chopra, H.; Islam, M.A.; Emran, T.B.; Rehman, M.E.U.; Dey, A.; Mohapatra, R.K.; SV, P.; Mohankumar, P.; et al. SARS-CoV-2 emerging Omicron subvariants with a special focus on BF.7 and XBB.1.5 recently posing fears of rising cases amid ongoing COVID-19 pandemic. J. Exp. Biol. Agric. Sci. 2022, 10, 1215–1221. [Google Scholar] [CrossRef]
- Carvajal, J.; Casanello, P.; Toso, A.; Farías, M.; Carrasco-Negue, K.; Araujo, K.; Valero, P.; Fuenzalida, J.; Solari, C.; Sobrevia, L. Functional consequences of SARS-CoV-2 infection in pregnant women, fetoplacental unit, and neonate. Biochim. Biophys. Acta (BBA) Mol. Basis Dis. 2023, 1869, 166582. [Google Scholar] [CrossRef] [PubMed]
- Coppée, R.; Chenane, H.R.; Bridier-Nahmias, A.; Tcherakian, C.; Catherinot, E.; Collin, G.; Lebourgeois, S.; Visseaux, B.; Descamps, D.; Vasse, M.; et al. Temporal dynamics of RSV shedding and genetic diversity in adults during the COVID-19 pandemic in a French hospital, early 2021. Virus Res. 2023, 323, 198950. [Google Scholar] [CrossRef] [PubMed]
- Khalid, M.; Murphy, D.; Shoai, M.; George-William, J.N.; Al-ebini, Y. Geographical distribution of host’s specific SARS-CoV-2 mutations in the early phase of the COVID-19 pandemic. Gene 2023, 851, 147020. [Google Scholar] [CrossRef]
- Dhama, K.; Nainu, F.; Frediansyah, A.; Yatoo, M.I.; Mohapatra, R.K.; Chakraborty, S.; Zhou, H.; Islam, M.R.; Mamada, S.S.; Kusuma, H.I.; et al. Global emerging Omicron variant of SARS-CoV-2: Impacts, challenges and strategies. J. Infect. Public Health 2023, 16, 4–14. [Google Scholar] [CrossRef]
- Alsaeedy, A.A.R.; Chong, E.K.P. Detecting Regions At Risk for Spreading COVID-19 Using Existing Cellular Wireless Network Functionalities. IEEE Open J. Eng. Med. Biol. 2020, 1, 187–189. [Google Scholar] [CrossRef]
- Adams, S.D.; Valentine, A.; Bucknall, T.K.; Kouzani, A.Z. Technologies for Fever Screening in the Time of COVID-19: A Review. IEEE Sens. J. 2022, 22, 16720–16729. [Google Scholar] [CrossRef]
- Gad, A.; ElBary, G.; Alkhedher, M.; Ghazal, M. Vision-based Approach for Automated Social Distance Violators Detection. In Proceedings of the 2020 International Conference on Innovation and Intelligence for Informatics, Computing and Technologies (3ICT), Sakheer, Bahrain, 20–21 December 2020; pp. 1–5. [Google Scholar] [CrossRef]
- Quilliam, R.S.; Weidmann, M.; Moresco, V.; Purshouse, H.; O’Hara, Z.; Oliver, D.M. COVID-19: The environmental implications of shedding SARS-CoV-2 in human faeces. Environ. Int. 2020, 140, 105790. [Google Scholar] [CrossRef]
- Ahmed, W.; Bivins, A.; Simpson, S.L.; Bertsch, P.M.; Ehret, J.; Hosegood, I.; Metcalfe, S.S.; Smith, W.J.; Thomas, K.V.; Tynan, J.; et al. Wastewater surveillance demonstrates high predictive value for COVID-19 infection on board repatriation flights to Australia. Environ. Int. 2022, 158, 106938. [Google Scholar] [CrossRef]
- Murphy, H.M.; Thomas, M.K.; Schimidt, P.J.; Medeiros, D.T.; McFADYEN, S.; PINTAR, K.D.M. Estimating the burden of acute gastrointestinal illness due to Giardia, Cryptosporidium, Campylobacter, E. coli O157 and norovirus associated with private wells and small water systems in Canada. Epidemiol. Infect. 2016, 144, 1355–1370. [Google Scholar] [CrossRef]
- Wright, C.J.; Sargeant, J.M.; Edge, V.L.; Ford, J.D.; Farahbakhsh, K.; Shiwak, I.; Flowers, C.; Harper, S.L. Water quality and health in northern Canada: Stored drinking water and acute gastrointestinal illness in Labrador Inuit. Environ. Sci. Pollut. Res. 2018, 25, 32975–32987. [Google Scholar] [CrossRef] [PubMed]
- Abdulkadir, N.; Afolabi, R.O.; M. Usman, H.; Mustapha, G.; A. Abubakar, U. Epidemiological Studies of Waterborne Diseases in Relation to Bacteriological Quality of Water. Microbiol. Res. J. Int. 2019, 28, 1–12. [Google Scholar] [CrossRef]
- Tiwari, S.B.; Gahlot, P.; Tyagi, V.K.; Zhang, L.; Zhou, Y.; Kazmi, A.; Kumar, M. Surveillance of Wastewater for Early Epidemic Prediction (SWEEP): Environmental and health security perspectives in the post COVID-19 Anthropocene. Environ. Res. 2021, 195, 110831. [Google Scholar] [CrossRef] [PubMed]
- Thevenot, J.; Lopez, M.B.; Hadid, A. A Survey on Computer Vision for Assistive Medical Diagnosis From Faces. IEEE J. Biomed. Health Inform. 2018, 22, 1497–1511. [Google Scholar] [CrossRef] [PubMed]
- Pathak, N.; Deb, P.K.; Mukherjee, A.; Misra, S. IoT-to-the-Rescue: A Survey of IoT Solutions for COVID-19-Like Pandemics. IEEE Internet Things J. 2021, 8, 13145–13164. [Google Scholar] [CrossRef]
- Mary, L.W.; Raj, S.A.A. A Survey on SARS-COV-2 (COVID-19) using Machine Learning Techniques. In Proceedings of the 2021 2nd International Conference on Smart Electronics and Communication (ICOSEC), Trichy, India, 7–9 October 2021; pp. 1612–1617. [Google Scholar] [CrossRef]
- Shen, Y.; Guo, D.; Long, F.; Mateos, L.A.; Ding, H.; Xiu, Z.; Hellman, R.B.; King, A.; Chen, S.; Zhang, C.; et al. Robots Under COVID-19 Pandemic: A Comprehensive Survey. IEEE Access 2021, 9, 1590–1615. [Google Scholar] [CrossRef]
- Leung, C.K.; Chen, Y.; Shang, S.; Deng, D. Big Data Science on COVID-19 Data. In Proceedings of the 2020 IEEE 14th International Conference on Big Data Science and Engineering (BigDataSE), Guangzhou, China, 31 December 2020–1 January 2021; pp. 14–21. [Google Scholar] [CrossRef]
- Silveira, T.M.; Pinho, P.; Carvalho, N.B. RFID Tattoo for COVID-19 Temperature Measuring. In Proceedings of the 2021 IEEE Radio and Wireless Symposium (RWS), San Diego, CA, USA, 17–22 January 2021; pp. 98–100. [Google Scholar] [CrossRef]
- Lubecke, L.C.; Ishmael, K.; Zheng, Y.; Boric-Lubecke, O.; Lubecke, V.M. Identification of COVID-19 Type Respiratory Disorders Using Channel State Analysis of Wireless Communications Links. In Proceedings of the 2021 43rd Annual International Conference of the IEEE Engineering in Medicine & Biology Society (EMBC), Mexico, 1–5 November 2021; pp. 7582–7585. [Google Scholar] [CrossRef]
- Perumal, V.; Theivanithy, K. A Transfer Learning Model for COVID-19 Detection with Computed Tomography and Sonogram Images. In Proceedings of the 2021 Sixth International Conference on Wireless Communications, Signal Processing and Networking (WiSPNET), Chennai, India, 25–27 March 2021; pp. 80–83. [Google Scholar] [CrossRef]
- Fernandez–Grandon, C.; Soto, I.; Zabala-Blanco, D.; Alavia, W.; Garcia, V. SVM and ANN classification using GLCM and HOG features for COVID-19 and Pneumonia detection from Chest X-rays. In Proceedings of the 2021 Third South American Colloquium on Visible Light Communications (SACVLC), Toledo, Brazil, 11–12 November 2021; pp. 1–6. [Google Scholar] [CrossRef]
- Jativa, P.P.; Azurdia-Meza, C.A.; Canizares, M.R.; Cespedes, S.; Montejo-Sanchez, S. Performance Enhancement of VLC-Based Systems Using Diversity Combining Schemes in the Receiver. In Proceedings of the 2019 IEEE Latin-American Conference on Communications (LATINCOM), Salvador, Brazil, 11–13 November 2019; pp. 1–6. [Google Scholar] [CrossRef]
- Palacios Játiva, P.; Román Cañizares, M.; Azurdia-Meza, C.A.; Zabala-Blanco, D.; Dehghan Firoozabadi, A.; Seguel, F.; Montejo-Sánchez, S.; Soto, I. Interference Mitigation for Visible Light Communications in Underground Mines Using Angle Diversity Receivers. Sensors 2020, 20, 367. [Google Scholar] [CrossRef]
- Román Cañizares, M.; Palacios Játiva, P.; Azurdia-Meza, C.A.; Montejo-Sánchez, S.; Céspedes, S. Impact of diversity combining schemes in a multi-cell VLC system with angle diversity receivers. Photonic Netw. Commun. 2022, 43. [Google Scholar] [CrossRef]
- Seguel, F.; Palacios-Jativa, P.; Azurdia-Meza, C.A.; Krommenacker, N.; Charpentier, P.; Soto, I. Underground Mine Positioning: A Review. IEEE Sensors J. 2022, 22, 4755–4771. [Google Scholar] [CrossRef]
- Soto, I.; Nilson Rodrigues, R.; Massuyama, G.; Seguel, F.; Palacios Játiva, P.; Azurdia-Meza, C.A.; Krommenacker, N. A Hybrid VLC-RF Portable Phasor Measurement Unit for Deep Tunnels. Sensors 2020, 20, 790. [Google Scholar] [CrossRef]
- Jirón, I.; Soto, S.; Marín, S.; Acosta, M.; Soto, I. A new DNA-based model for finite field arithmetic. Heliyon 2019, 5, e02901. [Google Scholar] [CrossRef] [PubMed]
- Jiron, I.; Soto, I.; Azurdia-Meza, C.A.; Valencia, A.; Carrasco, R. A new DNA cryptosystem based on AG codes evaluated in gaussian channels. Telecommun. Syst. 2017, 64, 279–291. [Google Scholar] [CrossRef]
- Soto, I.; Jiron, I.; Valencia, A.; Carrasco, R. Secure DNA data compression using algebraic curves. Electron. Lett. 2015, 51, 1466–1468. [Google Scholar] [CrossRef]
- Zamorano-Illanes, R.; Estela, M.C.; Soto, I.; Ijaz, M.; Rau, F. MIMO QAM indoor VLC using polar codes for low-cost emitters and FPGA receiver. In Proceedings of the 2022 4th West Asian Symposium on Optical and Millimeter-wave Wireless Communications (WASOWC), Tabriz, Iran, Islamic Republic, 12–13 May 2022; pp. 1–7. [Google Scholar] [CrossRef]
- Ayub, M.S.; Wuttisittikulkij, L.; Adasme, P.; Soto, I. Hybrid Precoding Design for Two Carriers Aggregated in 5G Massive MIMO System. In Proceedings of the 2020 South American Colloquium on Visible Light Communications (SACVC), Santiago, Chile, 4–5 June 2020; pp. 1–5. [Google Scholar] [CrossRef]
- Adasme, P.; Soto, I.; Juan, E.S.; Seguel, F.; Firoozabadi, A.D. Maximizing Signal to Interference Noise Ratio for Massive MIMO: A Mathematical Programming Approach. In Proceedings of the 2020 South American Colloquium on Visible Light Communications (SACVC), Santiago, Chile, 4–5 June 2020; pp. 1–6. [Google Scholar] [CrossRef]
- Duncan, A.; Janssen, M. Pascual Jordan’s resolution of the conundrum of the wave-particle duality of light. Stud. Hist. Philos. Sci. Part B Stud. Hist. Philos. Mod. Phys. 2008, 39, 634–666. [Google Scholar] [CrossRef]
- Rahaim, M.B.; Little, T.D. Toward practical integration of dual-use VLC within 5G networks. IEEE Wirel. Commun. 2015, 22. [Google Scholar] [CrossRef]
- Wang, J.; Al-Kinani, A.; Zhang, W.; Wang, C.X.; Zhou, L. A general channel model for visible light communications in underground mines. China Commun. 2018, 15, 95–105. [Google Scholar] [CrossRef]
- Jativa, P.P.; Azurdia-Meza, C.A.; Sanchez, I.; Seguel, F.; Zabala-Blanco, D.; Firoozabadi, A.D.; Gutierrez, C.A.; Soto, I. A VLC Channel Model for Underground Mining Environments With Scattering and Shadowing. IEEE Access 2020, 8, 185445–185464. [Google Scholar] [CrossRef]
- Sun, Y.; Gong, C.; Xu, Z.; Zhan, Y. Link Gain and Pulse Width Broadening Evaluation of Non-Line-of-Sight Optical Wireless Scattering Communication Over Broad Spectra. IEEE Photonics J. 2017, 9, 1–12. [Google Scholar] [CrossRef]
- Liu, W.; Zou, D.; Xu, Z. Modeling of optical wireless scattering communication channels over broad spectra. J. Opt. Soc. Am. A 2015, 32, 486. [Google Scholar] [CrossRef]
- Kong, S.H. TOA and AOD statistics for down link Gaussian scatterer distribution model. IEEE Trans. Wirel. Commun. 2009, 8, 2609–2617. [Google Scholar] [CrossRef]
- Borhani, A.; Patzold, M. Time-of-arrival, angle-of-arrival, and angle-of-departure statistics of a novel simplistic disk channel model. In Proceedings of the 2011 5th International Conference on Signal Processing and Communication Systems (ICSPCS), Honolulu, HI, USA, 12–14 December 2011; pp. 1–7. [Google Scholar] [CrossRef]
- Borhani, A.; Patzold, M. A Unified Disk Scattering Model and Its Angle-of-Departure and Time-of-Arrival Statistics. IEEE Trans. Veh. Technol. 2013, 62, 473–485. [Google Scholar] [CrossRef]
- Tennakoon, P.; Wavegedara, C.B. A GBSM Indoor Channel Model With an Arbitrary Center Point of Gaussian Scatterer Distribution. IEEE Trans. Antennas Propag. 2022, 70, 2128–2136. [Google Scholar] [CrossRef]
- Harish Kalla, L.M. Design of Optical Light Communication System: Study The Effect of Light Wavelength on Transmission Efficiency Using Audio Signals. Int. J. Eng. Sci. Res. Technol. 2016, 5, 622–627. [Google Scholar] [CrossRef]
- Chow, C.W.; Shiu, R.J.; Liu, Y.C.; Liao, X.L.; Lin, K.H.; Wang, Y.C.; Chen, Y.Y. Using advertisement light-panel and CMOS image sensor with frequency-shift-keying for visible light communication. Opt. Express 2018, 26. [Google Scholar] [CrossRef]
- Salmento, M.L.G.; Soares, G.M.; Alonso, J.M.; Braga, H.A. A dimmable offline LED driver with OOK-M-FSK modulation for VLC applications. IEEE Trans. Ind. Electron. 2019, 66. [Google Scholar] [CrossRef]
- Dahri, F.A.; Mangrio, H.B.; Baqai, A.; Umrani, F.A. Experimental Evaluation of Intelligent Transport System with VLC Vehicle-to-Vehicle Communication. Wirel. Pers. Commun. 2019, 106. [Google Scholar] [CrossRef]
- Guajardo-Penroz, C.; Soto, I.; San-Juan, E.; Adasme, P.; Azurdia-Meza, C.; Zabala-Blanco, D. Finite Field Metrics Applied to M-FSK Modulation in VLC Systems. In Proceedings of the 2020 South American Colloquium on Visible Light Communications (SACVC), Santiago, Chile, 4–5 June 2020; pp. 1–6. [Google Scholar] [CrossRef]
- Guajardo-Penroz, C.; Soto, I.; San-Juan, E.; Adasme, P.; Azurdia-Meza, C.; Alavia, W. New High Dimming Range M-FSK Demodulation Strategy for VLC Systems. In Proceedings of the 2020 12th International Symposium on Communication Systems, Networks and Digital Signal Processing (CSNDSP), Porto, Portugal, 20–23 July 2020; pp. 1–6. [Google Scholar] [CrossRef]
- Madrid, E.D.; Rojas Lobos, F.; Soto, I.; Gatica, G. Hysteresis based FSK modulation for visible light communication. In Proceedings of the 2020 South American Colloquium on Visible Light Communications (SACVC), Santiago, Chile, 4–5 June 2020; pp. 1–6. [Google Scholar] [CrossRef]
- Morris, A. The Dual Nature of Light. In Why Icebergs Float; UCL Press: London, UK, 2016; pp. 31–49. [Google Scholar] [CrossRef]
- Aharonov, Y.; Cohen, E.; Colombo, F.; Landsberger, T.; Sabadini, I.; Struppa, D.C.; Tollaksen, J. Finally making sense of the double-slit experiment. Proc. Natl. Acad. Sci. USA 2017, 114, 6480–6485. [Google Scholar] [CrossRef]
- Pepe, A.; Wei, Z.; Fu, H.Y. Heuristic, machine learning approach to 8-CSK decision regions in RGB-LED visible light communication. OSA Contin. 2020, 3, 473. [Google Scholar] [CrossRef]
- Zhang, D.F.; Yu, H.Y.; Zhu, Y.J. A multi-user joint constellation design of color-shift keying for VLC downlink broadcast channels. Opt. Commun. 2020, 473, 126001. [Google Scholar] [CrossRef]
- Dong, Z.; Yu, J.; Chen, Y.; Li, F.; Xin, X. Symbol division multiplexing in optical fiber communication systems. Opt. Express 2022, 30, 14998. [Google Scholar] [CrossRef]
- Zhang, Y.; Wang, H.; Ji, Y.; Zhang, Y. Parallel Distribution Matcher Base on CCDM for Probabilistic Amplitude Shaping in Coherent Optical Fiber Communication. Photonics 2022, 9, 604. [Google Scholar] [CrossRef]
- Hart, J. Terraforming mars and marsforming terra: Discovery doctrine in space. Theol. Sci. 2019, 17. [Google Scholar] [CrossRef]
- Babukov, Y.; Aleksandrov, R.; Ivanova, A.; Atemin, A.; Stoynov, S. DNArepairK: An Interactive Database for Exploring the Impact of Anticancer Drugs onto the Dynamics of DNA Repair Proteins. Biomedicines 2021, 9, 1238. [Google Scholar] [CrossRef]
- Touati, R.; Messaoudi, I.; Oueslati, A.; Lachiri, Z.; Kharrat, M. New Intraclass Helitrons Classification Using DNA-Image Sequences and Machine Learning Approaches. IRBM 2021, 42, 154–164. [Google Scholar] [CrossRef]
- Guajardo, J.; Güneysu, T.; Kumar, S.S.; Paar, C.; Pelzl, J. Efficient Hardware Implementation of Finite Fields with Applications to Cryptography. Acta Appl. Math. 2006, 93, 75–118. [Google Scholar] [CrossRef]
- Cusick, T.W.; Koblitz, N. Algebraic Aspects of Cryptography. Am. Math. Mon. 2000, 107, 384. [Google Scholar] [CrossRef]
- Nawaz, S.J.; Sharma, S.K.; Wyne, S.; Patwary, M.N.; Asaduzzaman, M. Quantum Machine Learning for 6G Communication Networks: State-of-the-Art and Vision for the Future. IEEE Access 2019, 7, 46317–46350. [Google Scholar] [CrossRef]
- Yu, T.C.; Huang, W.T.; Lee, W.B.; Chow, C.W.; Chang, S.W.; Kuo, H.C. Visible Light Communication System Technology Review: Devices, Architectures, and Applications. Crystals 2021, 11, 1098. [Google Scholar] [CrossRef]
- Ai, T.; Yang, Z.; Hou, H.; Zhan, C.; Chen, C.; Lv, W.; Tao, Q.; Sun, Z.; Xia, L. Correlation of Chest CT and RT-PCR Testing for Coronavirus Disease 2019 (COVID-19) in China: A Report of 1014 Cases. Radiology 2020, 296, E32–E40. [Google Scholar] [CrossRef]
- Ardila, D.; Kiraly, A.P.; Bharadwaj, S.; Choi, B.; Reicher, J.J.; Peng, L.; Tse, D.; Etemadi, M.; Ye, W.; Corrado, G.; et al. Author Correction: End-to-end lung cancer screening with three-dimensional deep learning on low-dose chest computed tomography. Nat. Med. 2019, 25, 1319. [Google Scholar] [CrossRef]
- Krishnamachari, K.; Lu, D.; Swift-Scott, A.; Yeraliyev, A.; Lee, K.; Huang, W.; Leng, S.N.; Skanderup, A.J. Accurate somatic variant detection using weakly supervised deep learning. Nat. Commun. 2022, 13, 4248. [Google Scholar] [CrossRef] [PubMed]
- Figueroa, S.; Freire-Paspuel, B.; Vega-Mariño, P.; Velez, A.; Cruz, M.; Cardenas, W.B.; Garcia-Bereguiain, M.A. High sensitivity-low cost detection of SARS-CoV-2 by two steps end point RT-PCR with agarose gel electrophoresis visualization. Sci. Rep. 2021, 11, 21658. [Google Scholar] [CrossRef] [PubMed]
- Ortiz, S.; Rojas, F.; Valenzuela, O.; Herrera, L.J.; Rojas, I. Determination of the Severity and Percentage of COVID-19 Infection through a Hierarchical Deep Learning System. J. Pers. Med. 2022, 12, 535. [Google Scholar] [CrossRef] [PubMed]
- Mansoor, R.; Shah, M.A.; Khattak, H.A.; Mussadiq, S.; Rauf, H.T.; Ameer, Z. Detection of Diseases in Pandemic: A Predictive Approach Using Stack Ensembling on Multi-Modal Imaging Data. Electronics 2022, 11, 3974. [Google Scholar] [CrossRef]
- Hoeher, P.A. Visible Light Communications: Theoretical and Practical Foundations; Carl Hanser Verlag GmbH Co KG: Munich, Germany, 2019. [Google Scholar]
- Niu, W.; Xu, Z.; Xiao, W.; Liu, Y.; Hu, F.; Wang, G.; Zhang, J.; He, Z.; Yu, S.; Shi, J.; et al. Phosphor-Free Golden Light LED Array for 5.4-Gbps Visible Light Communication Using MIMO Tomlinson-Harashima Precoding. J. Light. Technol. 2022, 40, 5031–5040. [Google Scholar] [CrossRef]
- Van de Beek, J.J.; Edfors, O.; Sandell, M.; Wilson, S.; Borjesson, P. On channel estimation in OFDM systems. In Proceedings of the 1995 IEEE 45th Vehicular Technology Conference. Countdown to the Wireless Twenty-First Century, Chicago, IL, USA, 25–28 July 1995; Volume 2, pp. 815–819. [Google Scholar] [CrossRef]
- IEEE Computer Society; LAN/MAN Standards Committee; Institute of Electrical and Electronics Engineers; IEEE-SA Standards Board. IEEE Standard for Local and Metropolitan Area Networks. Part 15.7, Short-Range Wireless Optical Communication Using Visible Light; Institute of Electrical and Electronics Engineers: Piscataway Township, NJ, USA, 2011; p. 286. [Google Scholar] [CrossRef]
- Géron, A. Hands-On Machine Learning with Scikit-Learn and TensorFlow: Concepts, Tools, and Techniques to Build Intelligent Systems, 2nd ed.; O’Reilly: Sebastopol, CA, USA, 2019. [Google Scholar]
- Suykens, J.A.; Vandewalle, J. Least squares support vector machine classifiers. Neural Process. Lett. 1999, 9, 293–300. [Google Scholar] [CrossRef]
- Jiang, Q.; Huang, B.; Yan, X. GMM and optimal principal components-based Bayesian method for multimode fault diagnosis. Comput. Chem. Eng. 2016, 84. [Google Scholar] [CrossRef]
- Kushner, H.J. A New Method of Locating the Maximum Point of an Arbitrary Multipeak Curve in the Presence of Noise. J. Basic Eng. 1964, 86, 97–106. [Google Scholar] [CrossRef]
- Srinivas, N.; Krause, A.; Kakade, S.; Seeger, M. Gaussian process optimization in the bandit setting: No regret and experimental design. In Proceedings of the ICML 2010—Proceedings, 27th International Conference on Machine Learning, Haifa, Israel, 21–24 June 2010. [Google Scholar] [CrossRef]
- Goldberg, Y.; Elhadad, M. splitSVM: Fast, Space-efficient, non-Heuristic, polynomial kernel computation for NLP applications. In Proceedings of the ACL-08: HLT—46th Annual Meeting of the Association for Computational Linguistics: Human Language Technologies, Proceedings of the Conference, Columbus, OH, USA, 6–17 June 2008. [Google Scholar]
- Hsieh, C.J.; Chang, K.W.; Lin, C.J.; Keerthi, S.S.; Sundararajan, S. A dual coordinate descent method for large-scale linear SVM. In Proceedings of the 25th international conference on Machine learning—ICML ’08, Helsinki Finland, 5–9 June 2008; ACM Press: New York, NY, USA, 2008; pp. 408–415. [Google Scholar] [CrossRef]
- Tanha, J.; van Someren, M.; Afsarmanesh, H. Semi-supervised self-training for decision tree classifiers. Int. J. Mach. Learn. Cybern. 2017, 8, 355–370. [Google Scholar] [CrossRef]
- Geurts, P.; Ernst, D.; Wehenkel, L. Extremely randomized trees. Mach. Learn. 2006, 63, 3–42. [Google Scholar] [CrossRef]
- Guohua Zhao. A New Perspective on Classification. Ph.D. Thesis, Utah State University, Logan, UT, USA, 2000. [CrossRef]
- Padhi, D.K.; Padhy, N.; Bhoi, A.K.; Shafi, J.; Ijaz, M.F. A fusion framework for forecasting financial market direction using enhanced ensemble models and technical indicators. Mathematics 2021, 9, 2646. [Google Scholar] [CrossRef]
- Chen, Y.; Xiong, J.; Xu, W.; Zuo, J. A novel online incremental and decremental learning algorithm based on variable support vector machine. Clust. Comput. 2019, 22, 7435–7445. [Google Scholar] [CrossRef]
- Friedman, J.H. Greedy function approximation: A gradient boosting machine. Ann. Stat. 2001, 29, 1189–1232. [Google Scholar] [CrossRef]
- Chen, T.; Guestrin, C. XGBoost. In Proceedings of the 22nd ACM SIGKDD International Conference on Knowledge Discovery and Data Mining, San Francisco, CA, USA, 13–17 August 2016; ACM: New York, NY, USA, 2016; pp. 785–794. [Google Scholar] [CrossRef]
- Banerjee, A.; Chitnis, U.; Jadhav, S.; Bhawalkar, J.; Chaudhury, S. Hypothesis testing, type I and type II errors. Ind. Psychiatry J. 2009, 18, 127. [Google Scholar] [CrossRef] [PubMed]





















| 0 | 1 | 2 | ⋯ | ||
|---|---|---|---|---|---|
| Size of DNA Fragment [bp] |
| Positions of the Coefficients | ||||||
|---|---|---|---|---|---|---|
| Referential DNA Site | … | 2 | 1 | 0 | ||
| x | x | x | ||||
| … | ||||||
| … | ||||||
| x | ||||||
| x | ||||||
| Element | Polynomial | Symbol |
|---|---|---|
| 0 | 0 | 000 |
| 1 | 001 | |
| 010 | ||
| 100 | ||
| 011 | ||
| 110 | ||
| 111 | ||
| 101 |
| Training Accuracy | 100.0% | |||
| Model Accuracy Score | 96.03% | |||
| Classification Report | ||||
| precision | recall | f1-score | support | |
| Ladder | 1.00 | 1.00 | 1.00 | 17 |
| Positive (+) | 0.95 | 0.99 | 0.97 | 85 |
| Negative (−) | 0.95 | 0.83 | 0.89 | 24 |
| Accuracy | 0.96 | 126 | ||
| Macro avg | 0.97 | 0.94 | 0.95 | 126 |
| Weighted avg | 0.96 | 0.96 | 0.96 | 126 |
Disclaimer/Publisher’s Note: The statements, opinions and data contained in all publications are solely those of the individual author(s) and contributor(s) and not of MDPI and/or the editor(s). MDPI and/or the editor(s) disclaim responsibility for any injury to people or property resulting from any ideas, methods, instructions or products referred to in the content. |
© 2023 by the authors. Licensee MDPI, Basel, Switzerland. This article is an open access article distributed under the terms and conditions of the Creative Commons Attribution (CC BY) license (https://creativecommons.org/licenses/by/4.0/).
Share and Cite
Soto, I.; Zamorano-Illanes, R.; Becerra, R.; Palacios Játiva, P.; Azurdia-Meza, C.A.; Alavia, W.; García, V.; Ijaz, M.; Zabala-Blanco, D. A New COVID-19 Detection Method Based on CSK/QAM Visible Light Communication and Machine Learning. Sensors 2023, 23, 1533. https://doi.org/10.3390/s23031533
Soto I, Zamorano-Illanes R, Becerra R, Palacios Játiva P, Azurdia-Meza CA, Alavia W, García V, Ijaz M, Zabala-Blanco D. A New COVID-19 Detection Method Based on CSK/QAM Visible Light Communication and Machine Learning. Sensors. 2023; 23(3):1533. https://doi.org/10.3390/s23031533
Chicago/Turabian StyleSoto, Ismael, Raul Zamorano-Illanes, Raimundo Becerra, Pablo Palacios Játiva, Cesar A. Azurdia-Meza, Wilson Alavia, Verónica García, Muhammad Ijaz, and David Zabala-Blanco. 2023. "A New COVID-19 Detection Method Based on CSK/QAM Visible Light Communication and Machine Learning" Sensors 23, no. 3: 1533. https://doi.org/10.3390/s23031533
APA StyleSoto, I., Zamorano-Illanes, R., Becerra, R., Palacios Játiva, P., Azurdia-Meza, C. A., Alavia, W., García, V., Ijaz, M., & Zabala-Blanco, D. (2023). A New COVID-19 Detection Method Based on CSK/QAM Visible Light Communication and Machine Learning. Sensors, 23(3), 1533. https://doi.org/10.3390/s23031533

