Artificial Intelligence-Assisted RFID Tag-Integrated Multi-Sensor for Quality Assessment and Sensing
Abstract
1. Introduction
2. RFID Tag-Integrated Sensor Design
3. RF Energy Harvester and Sensor Module Design
3.1. RF to DC Converter
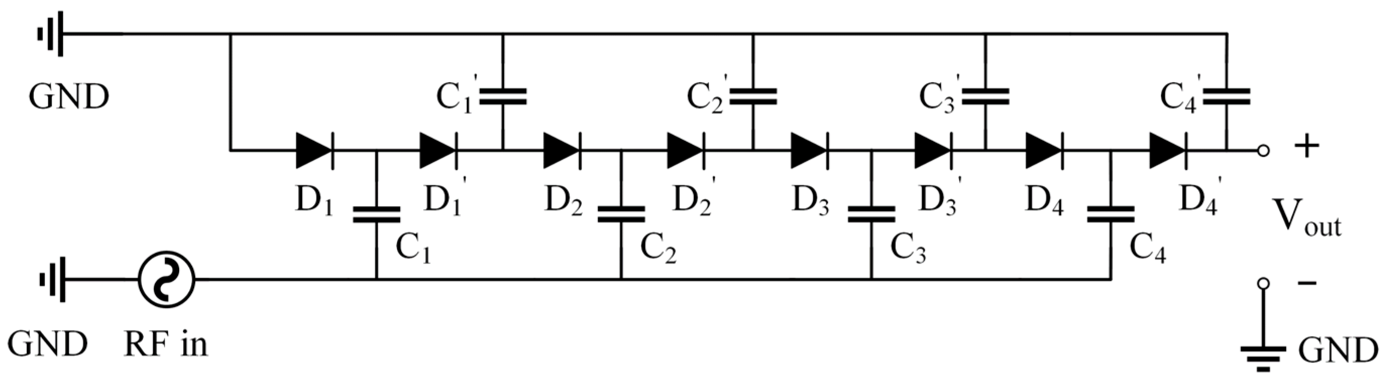
3.1.1. Dickson Multiplier
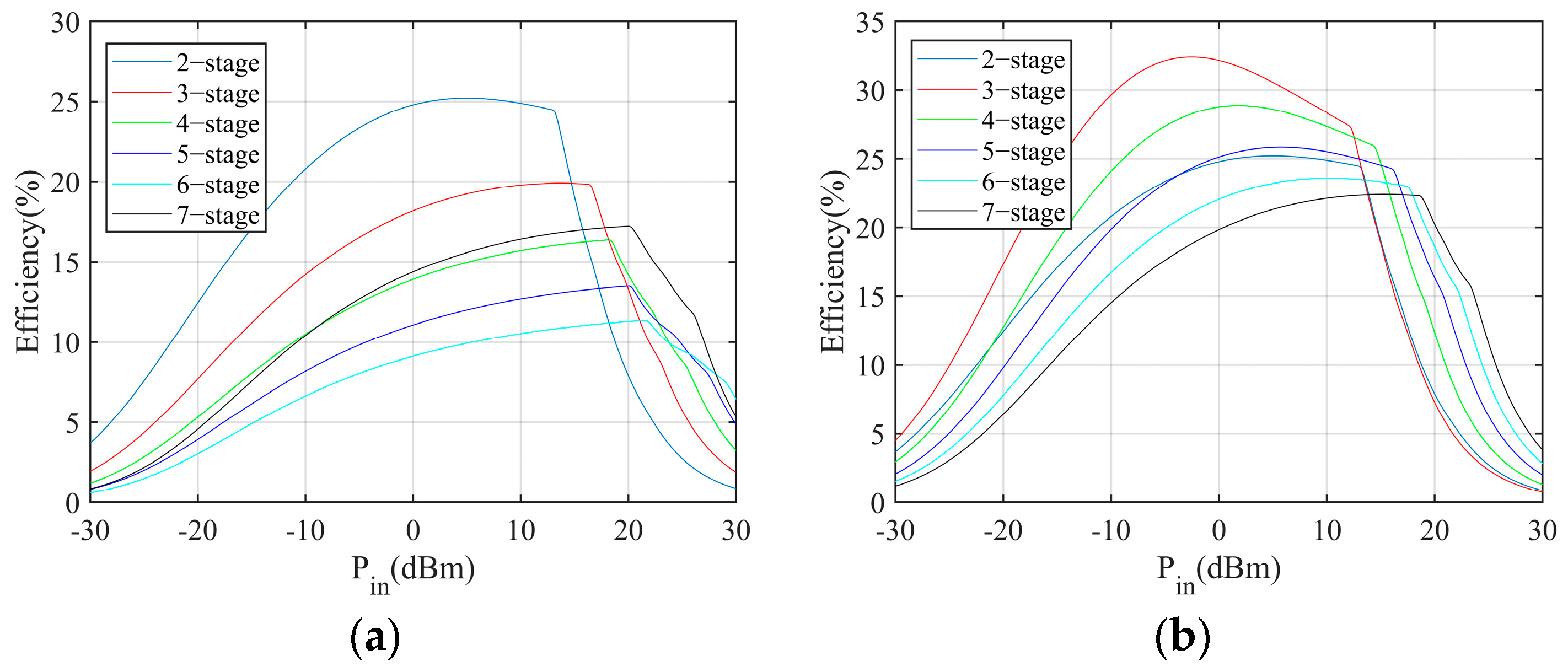
3.1.2. Parametric Study
3.2. SOI-Based Charge Pumper
3.3. T-Matched Folded Dipole Antenna
3.4. T-Matched MLA for RFID Tag
3.5. MCU and Sensor Units
4. Implementation and Verification
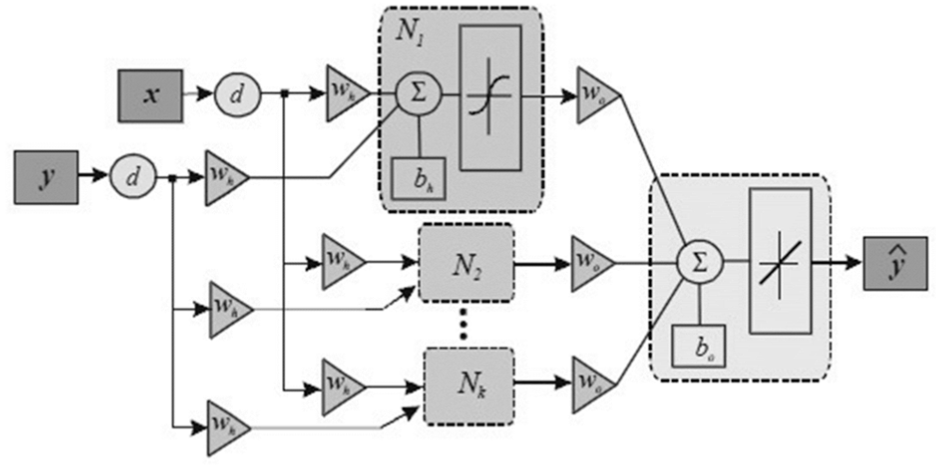
5. AI-Based QAS
6. Conclusions
Author Contributions
Funding
Institutional Review Board Statement
Informed Consent Statement
Data Availability Statement
Conflicts of Interest
References
- Ejaz, W.; Naeem, M.; Zeadally, S. On-demand sensing and wireless power transfer for self-sustainable industrial Internet of Things networks. IEEE Trans. Ind. Informatics 2021, 17, 7075–7084. [Google Scholar] [CrossRef]
- Hastbacka, D.; Halme, J.; Barna, L.; Hoikka, H.; Pettinen, H.; Larranaga, M.; Bjorkbom, M.; Mesia, H.; Jaatinen, A.; Elo, M. Dynamic Edge and Cloud Service Integration for Industrial IoT and Production Monitoring Applications of Industrial Cyber-Physical Systems. IEEE Trans. Ind. Informatics 2022, 18, 498–508. [Google Scholar] [CrossRef]
- Mahmood, A.; Beltramelli, L.; Abedin, S.F.; Zeb, S.; Mowla, N.I.; Hassan, S.A.; Sisinni, E.; Gidlund, M. Industrial IoT in 5G-and-Beyond Networks: Vision, Architecture, and Design Trends. IEEE Trans. Ind. Informatics 2022, 18, 4122–4137. [Google Scholar] [CrossRef]
- Li, Z.; Liu, G.; Liu, L.; Lai, X.; Xu, G. IoT-based tracking and tracing platform for prepackaged food supply chain. Ind. Manag. Data Syst. 2017, 117, 1906–1916. [Google Scholar] [CrossRef]
- Costa, F.; Genovesi, S.; Borgese, M.; Michel, A.; Dicandia, F.A.; Manara, G. A Review of RFID Sensors, the New Frontier of Internet of Things. Sensors 2021, 21, 3138. [Google Scholar] [CrossRef] [PubMed]
- Meng, Z.; Wu, Z.; Muvianto, C.; Gray, J. A Data-Oriented M2M Messaging Mechanism for Industrial IoT Applications. IEEE Internet Things J. 2017, 4, 236–246. [Google Scholar] [CrossRef]
- Li, C.; Tanghe, E.; Plets, D.; Suanet, P.; Hoebeke, J.; De Poorter, E.; Joseph, W. ReLoc: Hybrid RSSI-and Phase-based Relative UHF-RFID Tag Localization with COTS Devices. IEEE Trans. Instrum. Meas. 2020, 69, 8613–8627. [Google Scholar] [CrossRef]
- Wu, H.; Tao, B.; Gong, Z.; Yin, Z.; Ding, H. A Standalone RFID-Based Mobile Robot Navigation Method Using Single Passive Tag. IEEE Trans. Autom. Sci. Eng. 2021, 18, 1529–1537. [Google Scholar] [CrossRef]
- Gil-Martinez, A.; Poveda-Garcia, M.; Canete-Rebenaque, D.; Gomez-Tornero, J.L. Frequency-Scanned Monopulse Antenna for RSSI-Based Direction Finding of UHF RFID Tags. IEEE Antennas Wirel. Propag. Lett. 2022, 21, 158–162. [Google Scholar] [CrossRef]
- Adhikary, M.; Biswas, A.; Akhtar, M.J. Active Integrated Antenna Based Permittivity Sensing Tag. IEEE Sens. Lett. 2017, 1, 3501104. [Google Scholar] [CrossRef]
- Wagih, M.; Shi, J. Toward the Optimal Antenna-Based Wireless Sensing Strategy: An Ice Sensing Case Study. IEEE Open J. Antennas Propag. 2022, 3, 687–699. [Google Scholar] [CrossRef]
- Suwalak, R.; Phaebua, K.; Phongcharoenpanich, C.; Lertwiriyaprapa, T.; Pathoumvanh, S.; Torrungrueng, D. Chipless RFID Sensing for Dielectric Property of Light Weight Concrete. In Proceedings of the 2021 18th International Conference on Electrical Engineering/Electronics, Computer, Telecommunications and Information Technology (ECTI-CON), Chiang Mai, Thailand, 19–22 May 2021; pp. 201–204. [Google Scholar] [CrossRef]
- Javed, N.; Azam, M.A.; Amin, Y. Chipless RFID Multisensor for Temperature Sensing and Crack Monitoring in an IoT Environment. IEEE Sens. Lett. 2021, 5, 6001404. [Google Scholar] [CrossRef]
- Mulloni, V.; Donelli, M. Chipless RFID Sensors for the Internet of Things: Challenges and Opportunities. Sensors 2020, 20, 2135. [Google Scholar] [CrossRef]
- Baumbauer, C.L.; Anderson, M.G.; Ting, J.; Sreekumar, A.; Rabaey, J.M.; Arias, A.C.; Thielens, A. Printed, flexible, compact UHF-RFID sensor tags enabled by hybrid electronics. Sci. Rep. 2020, 10, 16543. [Google Scholar] [CrossRef]
- Kantareddy, S.N.R.; Mathews, I.; Bhattacharyya, R.; Peters, I.M.; Buonassisi, T.; Sarma, S.E. Long Range Battery-Less PV-Powered RFID Tag Sensors. IEEE Internet Things J. 2019, 6, 6989–6996. [Google Scholar] [CrossRef]
- Ramos, A.; Girbau, D.; Lázaro, A.; Collado, A.; Georgiadis, A. Solar Powered Wireless Temperature Sensor Based on UWB RFID with Self-Calibration. IEEE Sens. J. 2015, 15, 3764–3772. [Google Scholar] [CrossRef]
- Tsai, T.-H.; Shiu, B.-Y.; Song, B.-H. A Self-Sustaining Integrated CMOS Regulator for Solar and HF RFID Energy Harvesting Systems. IEEE J. Emerg. Sel. Top. Power Electron. 2014, 2, 434–442. [Google Scholar] [CrossRef]
- Mahan, G.; Sales, B.; Sharp, J. Thermoelectric Materials: New Approaches to an Old Problem. Phys. Today 1997, 50, 42–47. [Google Scholar] [CrossRef]
- Mondal, S.; Cuddihy, M.; Ghannam, M.; Chahal, P. Transient Analysis of Energy Harvester for UHF Wireless Applications. IEEE Microw. Wirel. Compon. Lett. 2021, 31, 901–904. [Google Scholar] [CrossRef]
- Scotti, G.; Fan, S.-Y.; Liao, C.-H.; Chiu, Y. Body-Implantable RFID Tags Based on Ormocer Printed Circuit Board Technology. IEEE Sensors Lett. 2020, 4, 6500104. [Google Scholar] [CrossRef]
- Rasheed, A.; Iranmanesh, E.; Andrenko, A.S.; Wang, K. Sensor integrated RFID tags driven by energy scavenger for sustainable wearable electronics applications. In Proceedings of the 2016 IEEE International Conference on RFID Technology and Applications (RFID-TA), Shunde, China, 21–23 September 2016; pp. 81–86. [Google Scholar] [CrossRef]
- Tao, B.; Wu, H.; Gong, Z.; Yin, Z.; Ding, H. An RFID-Based Mobile Robot Localization Method Combining Phase Difference and Readability. IEEE Trans. Autom. Sci. Eng. 2021, 18, 1406–1416. [Google Scholar] [CrossRef]
- RFID Standard. 2021. Available online: https://www.gs1.org/sites/default/files/docs/epc/uhfc1g2_2_0_0_standard_20131101.pdf (accessed on 27 January 2024).
- Dickson, J. On-chip high-voltage generation in MNOS integrated circuits using an improved voltage multiplier technique. IEEE J. Solid-State Circuits 1976, 11, 374–378. [Google Scholar] [CrossRef]
- Cockcroft, J.D.; Walton, E.T.S. Experiments with high velocity positive ions.―(I) Further developments in the method of obtaining high velocity positive ions. Proc. R. Soc. London. Ser. A Contain. Pap. A Math. Phys. Character 1932, 136, 619–630. [Google Scholar]
- Nela, L.; Van Erp, R.; Kampitsis, G.; Yildirim, H.K.; Ma, J.; Matioli, E. Ultra-compact, High-Frequency Power Integrated Circuits Based on GaN-on-Si Schottky Barrier Diodes. IEEE Trans. Power Electron. 2021, 36, 1269–1273. [Google Scholar] [CrossRef]
- De Donno, D.; Catarinucci, L.; Tarricone, L. An UHF RFID Energy-Harvesting System Enhanced by a DC-DC Charge Pump in Silicon-on-Insulator Technology. IEEE Microw. Wirel. Components Lett. 2013, 23, 315–317. [Google Scholar] [CrossRef]
- Tan, C. Passive UHF Tag Antenna Engineering Design Case Tutorial; Tsinghua University Press: Beijing, China, 2019. [Google Scholar]
- Marrocco, G. The art of UHF RFID antenna design: Impedance-matching and size-reduction techniques. IEEE Antennas Propag. Mag. 2008, 50, 66–79. [Google Scholar] [CrossRef]
- HSMS282x. Available online: https://www.broadcom.com/products/wireless/diodes/schottky/hsms-2820 (accessed on 5 January 2024).
- S-8823A. Available online: https://www.ablic.com/en/doc/datasheet/charge_pump_ic/S8823A_E.pdf (accessed on 5 January 2024).
- NCP4682. Available online: https://www.onsemi.com/pub/Collateral/NCP4682-D.PDF (accessed on 5 January 2024).
- PIC12LF1840. Available online: https://ww1.microchip.com/downloads/en/DeviceDoc/41441B.pdf (accessed on 5 January 2024).
- HDC2010. Available online: www.ti.com/lit/ds/symlink/hdc2010.pdf (accessed on 5 January 2024).
- AMS TSL25721 Ambient Light Sensor. 2020. Available online: https://ams.com/tsl25721 (accessed on 5 January 2024).
- UCODE I2C. Available online: https://www.nxp.com/products/rfid-nfc/nfc-hf/ntag-smartsensor/nhs3100-ucode-ic:NHS3100UCODEADK (accessed on 5 January 2024).
- CCS811 Air Quality Sensor. Available online: https://cdn.sparkfun.com/assets/learn_tutorials/1/4/3/CCS811_Datasheet-DS000459.pdf (accessed on 5 January 2024).
- AMS TCS34725 Colour Sensor. 2020. Available online: https://ams.com/tcs34725 (accessed on 5 January 2024).
- Al Kouzbary, H.; Al Kouzbary, M.; Tham, L.K.; Liu, J.; Shasmin, H.N.; Abu Osman, N.A. Generating an Adaptive and Robust Walking Pattern for a Prosthetic Ankle–Foot by Utilizing a Nonlinear Autoregressive Network with Exogenous Inputs. IEEE Trans. Neural Netw. Learn. Syst. 2022, 33, 6297–6305. [Google Scholar] [CrossRef] [PubMed]
- Nagelkerke, N.J.D. A note on a general definition of the coefficient of determination. Biometrika 1991, 78, 691–692. [Google Scholar] [CrossRef]
- Cappelli, I.; Fort, A.; Mugnaini, M.; Panzardi, E.; Pozzebon, A.; Tani, M.; Vignoli, V. Battery-Less HF RFID Sensor Tag for Soil Moisture Measurements. IEEE Trans. Instrum. Meas. 2021, 70, 9504113. [Google Scholar] [CrossRef]
- Orecchini, G.; Yang, L.; Tentzeris, M.M.; Roselli, L. Wearable battery-free active paper printed RFID tag with human-energy scavenger. In Proceedings of the 2011 IEEE MTT-S International Microwave Symposium, Baltimore, MD, USA, 5–10 June 2011; pp. 1–4. [Google Scholar] [CrossRef]
- Pathak, D.; Vardhan, S.; Vamsi, N.; Dutta, A. Wide Input Range Differential Dual Band RF Energy Harvesting System for Battery-Less RFID Applications. In Proceedings of the 2020 IEEE Vlsi Device Circuit and System (VLSI DCS), Kolkata, India, 18–19 July 2020; pp. 484–488. [Google Scholar] [CrossRef]
- Vena, A.; Sorli, B.; Saggin, B.; Garcia, R.; Podlecki, J. Passive UHF RFID Sensor to Monitor Fragile Objects during Transportation. In Proceedings of the 2019 IEEE International Conference on RFID Technology and Applications (RFID-TA), Pisa, Italy, 25–27 September 2019; pp. 415–420. [Google Scholar] [CrossRef]
- Rahmadya, B.; Chen, X.; Takeda, S.; Kagoshima, K.; Umehira, M.; Kurosaki, W. Measurement of a UHF RFID-Based Battery-Less Vibration Frequency Sensitive Sensor Tag Using Tilt/Vibration Switches. IEEE Sens. J. 2020, 20, 9901–9909. [Google Scholar] [CrossRef]

















| Parameters | L1 | L2 | L3 |
| Values | 18 mm | 12 mm | 3 mm |
| Parameters | L4 | L5 | Wm |
| Values | 4 mm | 4.5 mm | 1 mm |
| Parameters | εr | Hs | Hc |
| Values | 4.4 | 1.6 mm | 0.035 mm |
| Components | Models |
|---|---|
| Schottky diode # | HSMS2822 (Avago Technologies, Palo Alto, CA, USA) [31] |
| Stage capacitor # | 330µF, Multi-layer Ceramic Capacitor |
| Storage capacitor # | 1 pF, Multi-layer Ceramic Capacitor |
| Boost charge pump # | S8823A (ABLIC, Tokyo, Japan) [32] |
| Voltage regulator | NCP4682 (ON Semiconductor, Scottsdale, Arizona, USA) [33] |
| MCU | PIC12LF1840 (Microchip Technology, Chandler, Arizona, USA) [34] |
| Temperature sensor | HDC2010 (Texas Instruments, Dallas, Texas, USA) [35] |
| Humidity sensor | HDC2010 (Texas Instruments) |
| Ambient light sensor | TSL25721 (AMS OSRAM, Premstaetten, Austria) [36] |
| RFID tag IC | NHS3100UCODEADK (NXP Semiconductor, Eindhoven, The Netherlands) [37] |
| * Gas sensor | CCS811 ((AMS OSRAM) [38] |
| * Color sensor | TCS34725 (AMS OSRAM) [39] |
| Work | Sensing Parameter | Power Source/ Technology | Peak Power Conversion Efficiency | Operation Range | Post-Processing |
|---|---|---|---|---|---|
| [28] | Temperature | RF, passive /Tag-integrated sensor | 16% | 5 m | No |
| [42] | Soil moisture, temperature | RF, passive /Tag-integrated sensor | n.a. | 2 cm | Yes |
| [23] | Localization | RF, passive /Backscatter signal | n.a. | n.a. | Yes |
| [43] | n.a. | RF, passive /Tag-integrated sensor | 60% | n.a. | No |
| [44] | n.a. | Piezoelectric, active /Tag-integrated sensor | n.a. | n.a. | No |
| [45] | Accelerometer, temperature | RF, passive /Tag-integrated sensor | n.a. | 5.5 m | No |
| [46] | Vibration Frequency | RF, passive /TABS | n.a. | 1.5 m | No |
| [17] | Temperature | Solar, passive /Tag-integrated sensor | n.a. | 1.5 m | No |
| This work | Temperature, humidity, ambient light, gas, color | Battery, semi-passive /Tag-integrated sensor | n.a. | 8 m | Yes |
| This work | Temperature, humidity, ambient light | RF, passive /Tag-integrated sensor | 31% | 3.5 m | Yes |
Disclaimer/Publisher’s Note: The statements, opinions and data contained in all publications are solely those of the individual author(s) and contributor(s) and not of MDPI and/or the editor(s). MDPI and/or the editor(s) disclaim responsibility for any injury to people or property resulting from any ideas, methods, instructions or products referred to in the content. |
© 2024 by the authors. Licensee MDPI, Basel, Switzerland. This article is an open access article distributed under the terms and conditions of the Creative Commons Attribution (CC BY) license (https://creativecommons.org/licenses/by/4.0/).
Share and Cite
Song, C.; Wu, Z. Artificial Intelligence-Assisted RFID Tag-Integrated Multi-Sensor for Quality Assessment and Sensing. Sensors 2024, 24, 1813. https://doi.org/10.3390/s24061813
Song C, Wu Z. Artificial Intelligence-Assisted RFID Tag-Integrated Multi-Sensor for Quality Assessment and Sensing. Sensors. 2024; 24(6):1813. https://doi.org/10.3390/s24061813
Chicago/Turabian StyleSong, Chenyang, and Zhipeng Wu. 2024. "Artificial Intelligence-Assisted RFID Tag-Integrated Multi-Sensor for Quality Assessment and Sensing" Sensors 24, no. 6: 1813. https://doi.org/10.3390/s24061813
APA StyleSong, C., & Wu, Z. (2024). Artificial Intelligence-Assisted RFID Tag-Integrated Multi-Sensor for Quality Assessment and Sensing. Sensors, 24(6), 1813. https://doi.org/10.3390/s24061813

