Graphene Nanoplatelets/Polydimethylsiloxane Flexible Strain Sensor with Improved Sandwich Structure
Abstract
1. Introduction
2. Flexible Strain Sensor with Sandwich Structure
2.1. Fabrication of GNPs/PDMS Nanocomposite
2.2. Fabrication of Encapsulated GNPs/PDMS Sensors with Sandwich Structure
2.3. Morphological, Electrical, and Piezoresistive Characterization
3. Characteristics
3.1. Morphology
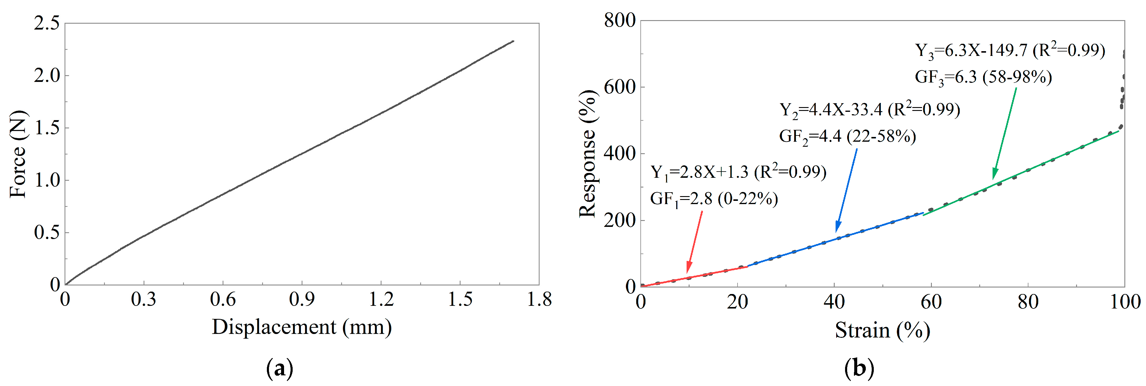
3.2. Electrical and Mechanical Properties
4. Size Effects
4.1. Base Thickness
4.2. Coating Length
5. Conclusions
Author Contributions
Funding
Institutional Review Board Statement
Informed Consent Statement
Data Availability Statement
Conflicts of Interest
References
- Zhou, Y.; Lian, H.; Li, Z.; Yin, L.; Ji, Q.; Li, K.; Qi, F.; Huang, Y. Crack Engineering Boosts the Performance of Flexible Sensors. VIEW 2022, 3, 20220025. [Google Scholar] [CrossRef]
- Zheng, J.; Liu, Y.; Luo, R.; Liu, H.; Zhou, Z.; He, J. A Subpixel Concrete Crack Measurement Method Based on the Partial Area Effect. Buildings 2024, 14, 151. [Google Scholar] [CrossRef]
- Hu, R.; Hu, S.; Yang, M.; Zhang, Y. Metallic Yielding Dampers and Fluid Viscous Dampers for Vibration Control in Civil Engineering: A Review. Int. J. Struct. Stab. Dyn. 2022, 22, 2230006. [Google Scholar] [CrossRef]
- Xu, Y.; Cui, T.; Wu, B.; Wang, Z.; Song, Y. Dynamic Mode I Fracture Characteristics of Jute Fiber-Reinforced Rubber Mortar. Eng. Fract. Mech. 2023, 292, 109649. [Google Scholar] [CrossRef]
- Guo, B.; Lin, X.; Wu, Y.; Zhang, L. Performance of Compression Yielded FRP-Reinforced Concrete Beams with T Sections. J. Compos. Constr. 2023, 27, 04023008. [Google Scholar] [CrossRef]
- Liu, Z.; Tian, B.; Jiang, Z.; Li, S.; Lei, J.; Zhang, Z.; Liu, J.; Shi, P.; Lin, Q. Flexible Temperature Sensor with High Sensitivity Ranging from Liquid Nitrogen Temperature to 1200 °C. Int. J. Extrem. Manuf. 2023, 5, 015601. [Google Scholar] [CrossRef]
- Wang, B.; Cai, H.; Jia, Q.; Pan, H.; Li, B.; Fu, L. Smart Temperature Sensor Design and High-Density Water Temperature Monitoring in Estuarine and Coastal Areas. Sensors 2023, 23, 7659. [Google Scholar] [CrossRef] [PubMed]
- Lin, X.; Xue, H.; Li, F.; Zhao, H.; Zhang, T. An Electrolyte-Mediated Paper-Based Humidity Sensor Fabricated by an Office Inkjet Printer. IEEE Electron Device Lett. 2024, 45, 244–247. [Google Scholar]
- Zhang, M.; Duan, Z.; Zhang, B.; Yuan, Z.; Zhao, Q.; Jiang, Y.; Tai, H. Electrochemical Humidity Sensor Enabled Self-Powered Wireless Humidity Detection System. Nano Energy 2023, 115, 108745. [Google Scholar] [CrossRef]
- Liu, Y.; Liu, Z.; Gao, K.; Huang, Y.; Zhu, C. Efficient Graphical Algorithm of Sensor Distribution and Air Volume Reconstruction for a Smart Mine Ventilation Network. Sensors 2022, 22, 2096. [Google Scholar] [CrossRef]
- Babkin, S.E.; Il’yasov, R.S. On the Possibility of Estimating the Elasticity Limit and Residual Deformations in Ferromagnetic Metals Using the Parameters of Electromagnetic-Acoustic Transformation. Russ. J. Nondestruct. Test. 2010, 46, 64–68. [Google Scholar] [CrossRef]
- Yang, X.; Wang, Z.; Su, P.; Xie, Y.; Yuan, J.; Zhu, Z. A Method for Detecting Metal Surface Cracks Based on Coaxial Resonator. IEEE Sens. J. 2021, 21, 16644–16650. [Google Scholar] [CrossRef]
- Wang, X.; Su, P.; Zou, J.; Wu, J.; Yang, X. Detection of Metallic Surface Cracks Based on Multiunit Periodic Resonant Structure. IEEE Sens. J. 2022, 22, 21651–21658. [Google Scholar] [CrossRef]
- Pang, Q.; Dong, G.; Yang, X. Metal Crack Detection Sensor Based on Microstrip Antenna. IEEE Sens. J. 2023, 23, 8375–8384. [Google Scholar] [CrossRef]
- Kim, H. Closed Form Solution for Strain Energy Release Rate Distribution in Debonded One-Edge Free Postbuckled Composite Flanged Joints. Compos. Sci. Technol. 2006, 66, 2456–2464. [Google Scholar] [CrossRef]
- Lau, K.; Chan, C.; Zhou, L.; Jin, W. Strain Monitoring in Composite-Strengthened Concrete Structures Using Optical Fibre Sensors. Compos. Part B Eng. 2001, 32, 33–45. [Google Scholar] [CrossRef]
- Gao, K.; Zhang, Z.; Weng, S.; Zhu, H.; Yu, H.; Peng, T. Review of Flexible Piezoresistive Strain Sensors in Civil Structural Health Monitoring. Appl. Sci. 2022, 12, 9750. [Google Scholar] [CrossRef]
- Gao, Y.; Yu, L.; Yeo, J.C.; Lim, C.T. Flexible Hybrid Sensors for Health Monitoring: Materials and Mechanisms to Render Wearability. Adv. Mater. 2020, 32, 1902133. [Google Scholar] [CrossRef] [PubMed]
- Chen, J.; Zhu, Y.; Chang, X.; Pan, D.; Song, G.; Guo, Z.; Naik, N. Recent Progress in Essential Functions of Soft Electronic Skin. Adv. Funct. Mater. 2021, 31, 2104686. [Google Scholar] [CrossRef]
- Alshawabkeh, M.; Alagi, H.; Navarro, S.E.; Duriez, C.; Hein, B.; Zangl, H.; Faller, L.-M. Highly Stretchable Additively Manufactured Capacitive Proximity and Tactile Sensors for Soft Robotic Systems. IEEE Trans. Instrum. Meas. 2023, 72, 7502210. [Google Scholar] [CrossRef]
- Liu, Y.; Wang, H.; Zhao, W.; Zhang, M.; Qin, H.; Xie, Y. Flexible, Stretchable Sensors for Wearable Health Monitoring: Sensing Mechanisms, Materials, Fabrication Strategies and Features. Sensors 2018, 18, 645. [Google Scholar] [CrossRef] [PubMed]
- Kim, H.; Kwon, Y.; Lim, H.; Kim, J.; Kim, Y.; Yeo, W. Recent Advances in Wearable Sensors and Integrated Functional Devices for Virtual and Augmented Reality Applications. Adv. Funct. Mater. 2021, 31, 2005692. [Google Scholar] [CrossRef]
- Bora, M.; Kottapalli, A.G.P.; Miao, J.; Triantafyllou, M.S. Biomimetic Hydrogel-CNT Network Induced Enhancement of Fluid-Structure Interactions for Ultrasensitive Nanosensors. NPG Asia Mater. 2017, 9, e440. [Google Scholar] [CrossRef]
- Wang, P.; Takagi, T.; Takeno, T.; Miki, H. Early Fatigue Damage Detecting Sensors—A Review and Prospects. Sens. Actuators A Phys. 2013, 198, 46–60. [Google Scholar] [CrossRef]
- Persons, A.K.; Ball, J.E.; Freeman, C.; Macias, D.M.; Simpson, C.L.; Smith, B.K.; Burch, V.R.F. Fatigue Testing of Wearable Sensing Technologies: Issues and Opportunities. Materials 2021, 14, 4070. [Google Scholar] [CrossRef] [PubMed]
- Zhu, Y.; Huang, X.; Tian, Y.; Ji, C.; Cao, W.; Zhao, L. Experimental Study on the Icing Dielectric Constant for the Capacitive Icing Sensor. Sensors 2018, 18, 3325. [Google Scholar] [CrossRef] [PubMed]
- Hao, H.; Wang, D.; Wang, Z.; Yin, B.; Ruan, W. Design of a High Sensitivity Microwave Sensor for Liquid Dielectric Constant Measurement. Sensors 2020, 20, 5598. [Google Scholar] [CrossRef] [PubMed]
- Zhong, W.; Wang, D.; Ke, Y.; Ming, X.; Jiang, H.; Li, J.; Li, M.; Chen, Q.; Wang, D. Multi-Layer Polyurethane-Fiber-Prepared Entangled Strain Sensor with Tunable Sensitivity and Working Range for Human Motion Detection. Polymers 2024, 16, 1023. [Google Scholar] [CrossRef] [PubMed]
- Fu, M.; Ye, Y.; Niu, Y.; Guo, S.; Wang, Z.; Liu, X. Graphene-Based Tunable Dual-Frequency Terahertz Sensor. Nanomaterials 2024, 14, 378. [Google Scholar] [CrossRef]
- Mostafa, M.H.; Ali, E.S.; Darwish, M.S.A. Polyaniline/Carbon Nanotube Composites in Sensor Applications. Mater. Chem. Phys. 2022, 291, 126699. [Google Scholar] [CrossRef]
- Wang, H.; Cao, H.; Wu, H.; Zhang, Q.; Mao, X.; Wei, L.; Zhou, F.; Sun, R.; Liu, C. Environmentally Friendly and Sensitive Strain Sensor Based on Multiwalled Carbon Nanotubes/Lignin-Based Carbon Nanofibers. ACS Appl. Nano Mater. 2023, 6, 14165–14176. [Google Scholar] [CrossRef]
- Li, Z.; Huang, H.; Zhao, D.; Chen, S. A Reliable Strain Sensor Based on Bridging GaN Nanowires. IEEE Sens. J. 2023, 23, 189–194. [Google Scholar] [CrossRef]
- He, K.; Xing, S.; Shen, Y.; Jin, C. A Flexible Optical Gas Pressure Sensor as the Signal Readout for Point-of-Care Immunoassay. Analyst 2022, 147, 5428–5436. [Google Scholar] [CrossRef] [PubMed]
- Zhou, R.; Zhang, Y.; Xu, F.; Song, Z.; Huang, J.; Li, Z.; Gao, C.; He, J.; Gao, W.; Pan, C. Hierarchical Synergistic Structure for High Resolution Strain Sensor with Wide Working Range. Small 2023, 19, 2301544. [Google Scholar] [CrossRef] [PubMed]
- Huang, Q.; Jiang, Y.; Duan, Z.; Yuan, Z.; Wu, Y.; Peng, J.; Xu, Y.; Li, H.; He, H.; Tai, H. A Finger Motion Monitoring Glove for Hand Rehabilitation Training and Assessment Based on Gesture Recognition. IEEE Sens. J. 2023, 23, 13789–13796. [Google Scholar] [CrossRef]
- Wang, Y.; Yang, R.; Shi, Z.; Zhang, L.; Shi, D.; Wang, E.; Zhang, G. Super-Elastic Graphene Ripples for Flexible Strain Sensors. ACS Nano 2011, 5, 3645–3650. [Google Scholar] [CrossRef] [PubMed]
- Eswaraiah, V.; Balasubramaniam, K.; Ramaprabhu, S. One-Pot Synthesis of Conducting Graphene–Polymer Composites and Their Strain Sensing Application. Nanoscale 2012, 4, 1258. [Google Scholar] [CrossRef] [PubMed]
- Li, R.; Zhang, Q.; Zhao, E.; Li, J.; Gu, Q.; Gao, P. Etching- and Intermediate-Free Graphene Dry Transfer onto Polymeric Thin Films with High Piezoresistive Gauge Factors. J. Mater. Chem. C 2019, 7, 13032–13039. [Google Scholar] [CrossRef]
- Wang, Z.; Guo, S.; Li, H.; Wang, B.; Sun, Y.; Xu, Z.; Chen, X.; Wu, K.; Zhang, X.; Xing, F.; et al. The Semiconductor/Conductor Interface Piezoresistive Effect in an Organic Transistor for Highly Sensitive Pressure Sensors. Adv. Mater. 2019, 31, 1805630. [Google Scholar] [CrossRef]
- Ponnamma, D.; Sadasivuni, K.K.; Cabibihan, J.-J.; Yoon, W.J.; Kumar, B. Reduced Graphene Oxide Filled Poly(Dimethyl Siloxane) Based Transparent Stretchable, and Touch-Responsive Sensors. Appl. Phys. Lett. 2016, 108, 171906. [Google Scholar] [CrossRef]
- Duan, L.; D’hooge, D.R.; Cardon, L. Recent Progress on Flexible and Stretchable Piezoresistive Strain Sensors: From Design to Application. Prog. Mater. Sci. 2020, 114, 100617. [Google Scholar] [CrossRef]
- Wang, Y.; Hu, S.; Xiong, T.; Huang, Y.; Qiu, L. Recent Progress in Aircraft Smart Skin for Structural Health Monitoring. Struct. Health Monit. 2022, 21, 2453–2480. [Google Scholar] [CrossRef]
- Yang, H.; Xue, T.; Li, F.; Liu, W.; Song, Y. Graphene: Diversified Flexible 2D Material for Wearable Vital Signs Monitoring. Adv. Mater. Technol. 2019, 4, 1800574. [Google Scholar] [CrossRef]
- Qureshi, A.; Niazi, J.H. Graphene-Interfaced Flexible and Stretchable Micro–Nano Electrodes: From Fabrication to Sweat Glucose Detection. Mater. Horiz. 2023, 10, 1580–1607. [Google Scholar] [CrossRef] [PubMed]
- McAllister, M.J.; Li, J.-L.; Adamson, D.H.; Schniepp, H.C.; Abdala, A.A.; Liu, J.; Herrera-Alonso, M.; Milius, D.L.; Car, R.; Prud’homme, R.K.; et al. Single Sheet Functionalized Graphene by Oxidation and Thermal Expansion of Graphite. Chem. Mater. 2007, 19, 4396–4404. [Google Scholar] [CrossRef]
- Del Bosque, A.; Sánchez-Romate, X.; Sánchez, M.; Ureña, A. Wearable Sensors Based on Graphene Nanoplatelets Reinforced Polydimethylsiloxane for Human Motion Monitoring: Analysis of Crack Propagation and Cycling Load Monitoring. Chemosensors 2022, 10, 75. [Google Scholar] [CrossRef]
- He, S.; Zhang, Y.; Gao, J.; Nag, A.; Rahaman, A. Integration of Different Graphene Nanostructures with PDMS to Form Wearable Sensors. Nanomaterials 2022, 12, 950. [Google Scholar] [CrossRef]
- Liu, A.; Ni, Z.; Chen, J.; Huang, Y. Highly Sensitive Graphene/Polydimethylsiloxane Composite Films near the Threshold Concentration with Biaxial Stretching. Polymers 2020, 12, 71. [Google Scholar] [CrossRef]
- Bosque, A.D.; Sánchez-Romate, X.F.; Sánchez, M.; Ureña, A. Ultrasensitive and Highly Stretchable Sensors for Human Motion Monitoring Made of Graphene Reinforced Polydimethylsiloxane: Electromechanical and Complex Impedance Sensing Performance. Carbon 2022, 192, 234–248. [Google Scholar]
- Del Bosque, A.; Sánchez-Romate, X.F.; Gómez, A.; Sánchez, M.; Ureña, A. Highly Stretchable Strain Sensors Based on Graphene Nanoplatelet-Doped Ecoflex for Biomedical Purposes. Sens. Actuators A Phys. 2023, 353, 114249. [Google Scholar] [CrossRef]
- Sharma, P.; Sharma, R.; Janyani, V.; Verma, D. Development of a Multi-Modal Graphene Nanoparticles (GNP)- Polydimethylsiloxane (PDMS) Flexible Sensor for Human Activity Monitoring and Health Assessment. Int. J. Electrochem. Sci. 2023, 18, 100236. [Google Scholar] [CrossRef]
- Li, J.; Wang, P.; Han, X.; Zhao, T.; Yoon, S. Strategies for Sensor Virtual In-Situ Calibration in Building Energy System: Sensor Evaluation and Data-Driven Based Methods. Energy Build. 2023, 294, 113274. [Google Scholar] [CrossRef]
- Ma, H.; Yao, S.; Xing, Y. Redundant Parallel Beam Multiaxis Force Sensor—Accuracy Space. IEEE Sens. J. 2022, 22, 14970–14985. [Google Scholar] [CrossRef]
- Fouad, K.M.; Hassan, B.M.; Salim, O.M. Hybrid Sensor Selection Technique for Lifetime Extension of Wireless Sensor Networks. Comput. Mater. Contin. 2022, 70, 4965–4985. [Google Scholar]
- Yi, Y.; Chiao, M.; Mahmoud, K.A.; Wu, L.; Wang, B. Preparation and Characterization of PVA/PVP Conductive Hydrogels Formed by Freeze–Thaw Processes as a Promising Material for Sensor Applications. J. Mater. Sci. 2022, 57, 8029–8038. [Google Scholar] [CrossRef]
- Heredia-Rivera, U.; Gopalakrishnan, S.; Kadian, S.; Nejati, S.; Kasi, V.; Rahimi, R. A Wireless Chipless Printed Sensor Tag for Real-Time Radiation Sterilization Monitoring. J. Mater. Chem. C 2022, 10, 9813–9822. [Google Scholar] [CrossRef]
- Pervin, S.; Sathiyanathan, P.; Prabu, A.A.; Kim, K.J. Piezoelectric Sensor Based on Electrospun Poly(Vinylidene Fluoride)/Sulfonated Poly(1,4-phenylene Sulfide) Blend Nonwoven Fiber Mat. J. Appl. Polym. Sci. 2022, 139, 52112. [Google Scholar] [CrossRef]
- Asghari, N.; Hassanian-Moghaddam, D.; Javadi, A.; Ahmadi, M. Enhanced Sensing Performance of EVA/LDPE/MWCNT Piezoresistive Foam Sensor for Long-Term Pressure Monitoring. Chem. Eng. J. 2023, 472, 145055. [Google Scholar] [CrossRef]
- Weng, S.; Zhang, J.; Yan, Z.; Gao, K.; Chen, Z.; Wu, L. Improved Strain Transfer Model for Flexible Sensors Based on Non-Uniform Distribution of Shear Stress in Each Layer. Measurement 2024, 227, 114288. [Google Scholar] [CrossRef]










Disclaimer/Publisher’s Note: The statements, opinions and data contained in all publications are solely those of the individual author(s) and contributor(s) and not of MDPI and/or the editor(s). MDPI and/or the editor(s) disclaim responsibility for any injury to people or property resulting from any ideas, methods, instructions or products referred to in the content. |
© 2024 by the authors. Licensee MDPI, Basel, Switzerland. This article is an open access article distributed under the terms and conditions of the Creative Commons Attribution (CC BY) license (https://creativecommons.org/licenses/by/4.0/).
Share and Cite
Zhang, J.; Gao, K.; Weng, S.; Zhu, H. Graphene Nanoplatelets/Polydimethylsiloxane Flexible Strain Sensor with Improved Sandwich Structure. Sensors 2024, 24, 2856. https://doi.org/10.3390/s24092856
Zhang J, Gao K, Weng S, Zhu H. Graphene Nanoplatelets/Polydimethylsiloxane Flexible Strain Sensor with Improved Sandwich Structure. Sensors. 2024; 24(9):2856. https://doi.org/10.3390/s24092856
Chicago/Turabian StyleZhang, Junshu, Ke Gao, Shun Weng, and Hongping Zhu. 2024. "Graphene Nanoplatelets/Polydimethylsiloxane Flexible Strain Sensor with Improved Sandwich Structure" Sensors 24, no. 9: 2856. https://doi.org/10.3390/s24092856
APA StyleZhang, J., Gao, K., Weng, S., & Zhu, H. (2024). Graphene Nanoplatelets/Polydimethylsiloxane Flexible Strain Sensor with Improved Sandwich Structure. Sensors, 24(9), 2856. https://doi.org/10.3390/s24092856

