Algal Oil Mitigates Sodium Taurocholate-Induced Pancreatitis by Alleviating Calcium Overload, Oxidative Stress, and NF-κB Activation in Pancreatic Acinar Cells
Abstract
1. Introduction
2. Materials and Methods
2.1. STC-Induced AP Cell Model
2.2. AO Components, Antioxidant Activity, and Preparation
2.3. Experimental Design
2.4. Measurements
2.5. Statistical Analysis
3. Results
3.1. Free-Radical Scavenging Activity of AO Increased in a Dose-Dependent Enhancement
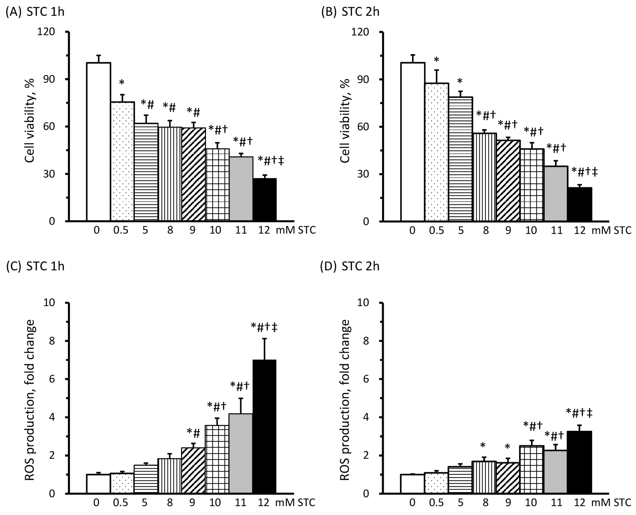
3.2. STC Decreases Cell Viability and Increases ROS Production
3.3. AO Pretreatment Enhances Cell Viability, Reduces Intracellular Calcium Ion Concentration, Improves Mitochondrial Function, and Diminishes Amylase and Lipase Secretion
3.4. AO Pretreatment Alleviates the STC-Induced Increase in ROS, TBARS, and Pro-Inflammatory Cytokines
3.5. AO Pretreatment Mitigates the STC-Induced Activation of the NF-κB Signaling Pathway
4. Discussion
5. Conclusions
Author Contributions
Funding
Institutional Review Board Statement
Informed Consent Statement
Data Availability Statement
Acknowledgments
Conflicts of Interest
References
- Banks, P.A.; Bollen, T.L.; Dervenis, C.; Gooszen, H.G.; Johnson, C.D.; Sarr, M.G.; Tsiotos, G.G.; Vege, S.S.; Acute Pancreatitis Classification Working, G. Classification of acute pancreatitis—2012: Revision of the atlanta classification and definitions by international consensus. Gut 2013, 62, 102–111. [Google Scholar] [CrossRef]
- Garg, P.K.; Singh, V.P. Organ failure due to systemic injury in acute pancreatitis. Gastroenterology 2019, 156, 2008–2023. [Google Scholar] [CrossRef]
- Waller, A.; Long, B.; Koyfman, A.; Gottlieb, M. Acute pancreatitis: Updates for emergency clinicians. J. Emerg. Med. 2018, 55, 769–779. [Google Scholar] [CrossRef]
- Singh, P.; Garg, P.K. Pathophysiological mechanisms in acute pancreatitis: Current understanding. Indian J. Gastroenterol. 2016, 35, 153–166. [Google Scholar] [CrossRef]
- Gukovsky, I.; Pandol, S.J.; Gukovskaya, A.S. Organellar dysfunction in the pathogenesis of pancreatitis. Antioxid. Redox Signal 2011, 15, 2699–2710. [Google Scholar] [CrossRef]
- Habtezion, A.; Gukovskaya, A.S.; Pandol, S.J. Acute pancreatitis: A multifaceted set of organelle and cellular interactions. Gastroenterology 2019, 156, 1941–1950. [Google Scholar] [CrossRef]
- Biczo, G.; Vegh, E.T.; Shalbueva, N.; Mareninova, O.A.; Elperin, J.; Lotshaw, E.; Gretler, S.; Lugea, A.; Malla, S.R.; Dawson, D.; et al. Mitochondrial dysfunction, through impaired autophagy, leads to endoplasmic reticulum stress, deregulated lipid metabolism, and pancreatitis in animal models. Gastroenterology 2018, 154, 689–703. [Google Scholar] [CrossRef]
- Yuan, J.; Wei, Z.; Xin, G.; Liu, X.; Zhou, Z.; Zhang, Y.; Yu, X.; Wan, C.; Chen, Q.; Zhao, W.; et al. Vitamin B12 attenuates acute pancreatitis by suppressing oxidative stress and improving mitochondria dysfunction via CBS/SIRT1 pathway. Oxid. Med. Cell. Longev. 2021, 2021, 7936316. [Google Scholar] [CrossRef]
- Wang, Q.; Bai, L.; Luo, S.; Wang, T.; Yang, F.; Xia, J.; Wang, H.; Ma, K.; Liu, M.; Wu, S.; et al. TMEM16A Ca2+-activated Cl− channel inhibition ameliorates acute pancreatitis via the IP3R/Ca2+/NFkappaB/IL-6 signaling pathway. J. Adv. Res. 2020, 23, 25–35. [Google Scholar] [CrossRef]
- Morgan, M.J.; Liu, Z.G. Crosstalk of reactive oxygen species and NF-kappaB signaling. Cell Res. 2011, 21, 103–115. [Google Scholar] [CrossRef]
- Shi, C.; Hou, C.; Zhu, X.; Huang, D.; Peng, Y.; Tu, M.; Li, Q.; Miao, Y. SRT1720 ameliorates sodium taurocholate-induced severe acute pancreatitis in rats by suppressing NF-kappaB signalling. Biomed. Pharmacother. 2018, 108, 50–57. [Google Scholar] [CrossRef]
- Lu, G.; Tong, Z.; Ding, Y.; Liu, J.; Pan, Y.; Gao, L.; Tu, J.; Wang, Y.; Liu, G.; Li, W. Aspirin protects against acinar cells necrosis in severe acute pancreatitis in mice. BioMed Res. Int. 2016, 2016, 6089430. [Google Scholar] [CrossRef]
- Forsmark, C.E.; Vege, S.S.; Wilcox, C.M. Acute pancreatitis. N. Engl. J. Med. 2016, 375, 1972–1981. [Google Scholar] [CrossRef]
- Wang, B.; Xu, X.B.; Jin, X.X.; Wu, X.W.; Li, M.L.; Guo, M.X.; Zhang, X.H. Effects of omega-3 fatty acids on Toll-like receptor 4 and nuclear factor kappaB p56 in the pancreas of rats with severe acute pancreatitis. Pancreas 2017, 46, 1267–1274. [Google Scholar] [CrossRef]
- Xu, Z.; Tang, H.; Huang, F.; Qiao, Z.; Wang, X.; Yang, C.; Deng, Q. Algal oil rich in n-3 PUFA alleviates DSS-induced colitis via regulation of gut microbiota and restoration of intestinal barrier. Front. Microbiol. 2020, 11, 615404. [Google Scholar] [CrossRef]
- Allaire, J.; Couture, P.; Leclerc, M.; Charest, A.; Marin, J.; Lepine, M.C.; Talbot, D.; Tchernof, A.; Lamarche, B. A randomized, crossover, head-to-head comparison of eicosapentaenoic acid and docosahexaenoic acid supplementation to reduce inflammation markers in men and women: The comparing EPA to DHA (ComparED) study. Am. J. Clin. Nutr. 2016, 104, 280–287. [Google Scholar] [CrossRef]
- Chitranjali, T.; Anoop Chandran, P.; Muraleedhara Kurup, G. Omega-3 fatty acid concentrate from Dunaliella salina possesses anti-inflammatory properties including blockade of NF-kappaB nuclear translocation. Immunopharmacol. Immunotoxicol. 2015, 37, 81–89. [Google Scholar]
- Xiang, H.; Tao, X.; Xia, S.; Qu, J.; Song, H.; Liu, J.; Shang, D. Emodin alleviates sodium taurocholate-induced pancreatic acinar cell injury via microRNA-30a-5p-mediated inhibition of high-temperature requirement A/transforming growth factor beta 1 inflammatory signaling. Front. Immunol. 2017, 8, 1488. [Google Scholar] [CrossRef]
- Xu, Z.; Zhang, F.; Bai, C.; Yao, C.; Zhong, H.; Zou, C.; Chen, X. Sophoridine induces apoptosis and S phase arrest via ROS-dependent JNK and ERK activation in human pancreatic cancer cells. J. Exp. Clin. Cancer Res. 2017, 36, 124. [Google Scholar] [CrossRef]
- Dok-Go, H.; Lee, K.H.; Kim, H.J.; Lee, E.H.; Lee, J.; Song, Y.S.; Lee, Y.H.; Jin, C.; Lee, Y.S.; Cho, J. Neuroprotective effects of antioxidative flavonoids, quercetin, (+)-dihydroquercetin and quercetin 3-methyl ether, isolated from Opuntia ficus-indica var. Saboten. Brain Res. 2003, 965, 130–136. [Google Scholar]
- van Beelen, V.A.; Roeleveld, J.; Mooibroek, H.; Sijtsma, L.; Bino, R.J.; Bosch, D.; Rietjens, I.M.; Alink, G.M. A comparative study on the effect of algal and fish oil on viability and cell proliferation of Caco-2 cells. Food Chem. Toxicol. 2007, 45, 716–724. [Google Scholar] [CrossRef]
- Ohkawa, H.; Ohishi, N.; Yagi, K. Assay for lipid peroxides in animal tissues by thiobarbituric acid reaction. Anal. Biochem. 1979, 95, 351–358. [Google Scholar] [CrossRef]
- Fanczal, J.; Pallagi, P.; Gorog, M.; Diszhazi, G.; Almassy, J.; Madacsy, T.; Varga, A.; Csernay-Biro, P.; Katona, X.; Toth, E.; et al. TRPM2-mediated extracellular Ca2+ entry promotes acinar cell necrosis in biliary acute pancreatitis. J. Physiol. 2020, 598, 1253–1270. [Google Scholar] [CrossRef]
- Ameur, F.Z.; Mehedi, N.; Kheroua, O.; Saidi, D.; Salido, G.M.; Gonzalez, A. Sulfanilic acid increases intracellular free-calcium concentration, induces reactive oxygen species production and impairs trypsin secretion in pancreatic AR42J cells. Food Chem. Toxicol. 2018, 120, 71–80. [Google Scholar] [CrossRef]
- Huang, W.; Cane, M.C.; Mukherjee, R.; Szatmary, P.; Zhang, X.; Elliott, V.; Ouyang, Y.; Chvanov, M.; Latawiec, D.; Wen, L.; et al. Caffeine protects against experimental acute pancreatitis by inhibition of inositol 1,4,5-trisphosphate receptor-mediated Ca2+ release. Gut 2017, 66, 301–313. [Google Scholar] [CrossRef]
- Jin, H.Z.; Yang, X.J.; Zhao, K.L.; Mei, F.C.; Zhou, Y.; You, Y.D.; Wang, W.X. Apocynin alleviates lung injury by suppressing NLRP3 inflammasome activation and NF-kappaB signaling in acute pancreatitis. Int. Immunopharmacol. 2019, 75, 105821. [Google Scholar] [CrossRef]
- Xu, L.L.; Zhao, B.; Sun, S.L.; Yu, S.F.; Wang, Y.M.; Ji, R.; Yang, Z.T.; Ma, L.; Yao, Y.; Chen, Y.; et al. High-dose vitamin C alleviates pancreatic injury via the NRF2/NQO1/Ho-1 pathway in a rat model of severe acute pancreatitis. Ann. Transl. Med. 2020, 8, 852. [Google Scholar] [CrossRef]
- Rinaldi, B.; Di Pierro, P.; Vitelli, M.R.; D’Amico, M.; Berrino, L.; Rossi, F.; Filippelli, A. Effects of docosahexaenoic acid on calcium pathway in adult rat cardiomyocytes. Life Sci. 2002, 71, 993–1004. [Google Scholar] [CrossRef]
- Mayurasakorn, K.; Niatsetskaya, Z.V.; Sosunov, S.A.; Williams, J.J.; Zirpoli, H.; Vlasakov, I.; Deckelbaum, R.J.; Ten, V.S. DHA but not EPA emulsions preserve neurological and mitochondrial function after brain hypoxia-ischemia in neonatal mice. PLoS ONE 2016, 11, e0160870. [Google Scholar] [CrossRef] [PubMed]
- Kabe, Y.; Ando, K.; Hirao, S.; Yoshida, M.; Handa, H. Redox regulation of NF-kappaB activation: Distinct redox regulation between the cytoplasm and the nucleus. Antioxid. Redox Signal 2005, 7, 395–403. [Google Scholar] [CrossRef] [PubMed]
- Yang, Y.C.; Lii, C.K.; Wei, Y.L.; Li, C.C.; Lu, C.Y.; Liu, K.L.; Chen, H.W. Docosahexaenoic acid inhibition of inflammation is partially via cross-talk between Nrf2/heme oxygenase 1 and IKK/NF-kappaB pathways. J. Nutr. Biochem. 2013, 24, 204–212. [Google Scholar] [CrossRef]
- Jeong, Y.K.; Lee, S.; Lim, J.W.; Kim, H. Docosahexaenoic acid inhibits cerulein-induced acute pancreatitis in rats. Nutrients 2017, 9, 744. [Google Scholar] [CrossRef]
- Williams-Bey, Y.; Boularan, C.; Vural, A.; Huang, N.N.; Hwang, I.Y.; Shan-Shi, C.; Kehrl, J.H. Omega-3 free fatty acids suppress macrophage inflammasome activation by inhibiting NF-kappaB activation and enhancing autophagy. PLoS ONE 2014, 9, e97957. [Google Scholar] [CrossRef]
- Bauernfeind, F.G.; Horvath, G.; Stutz, A.; Alnemri, E.S.; MacDonald, K.; Speert, D.; Fernandes-Alnemri, T.; Wu, J.; Monks, B.G.; Fitzgerald, K.A.; et al. Cutting edge: NF-kappaB activating pattern recognition and cytokine receptors license NLRP3 inflammasome activation by regulating NLRP3 expression. J. Immunol. 2009, 183, 787–791. [Google Scholar] [CrossRef]
- Kelley, N.; Jeltema, D.; Duan, Y.; He, Y. The NLRP3 inflammasome: An overview of mechanisms of activation and regulation. Int. J. Mol. Sci. 2019, 20, 3328. [Google Scholar] [CrossRef]
- Abdelmagid, S.A.; Clarke, S.E.; Nielsen, D.E.; Badawi, A.; El-Sohemy, A.; Mutch, D.M.; Ma, D.W. Comprehensive profiling of plasma fatty acid concentrations in young healthy Canadian adults. PLoS ONE 2015, 10, e0116195. [Google Scholar] [CrossRef]





| Type of Fatty Acids | g/100 g | Type of Fatty Acids | g/100 g |
|---|---|---|---|
| Total fat | 99.9 | Polyunsaturated fatty acids | |
| Saturated fatty acids | 20.4 | Omega 6 fatty acids | 21.8 |
| Monounsaturated fatty acids | 10.7 | 18:2 n6 Linoleic acid | 0.4 |
| Polyunsaturated fatty acids | 68.6 | 18:3 n6 γ-Linolenic acid | 0.3 |
| Trans fatty acids | 0.2 | 20:2 n6 Eicosadienoic acid | 0 |
| 20:3 n6 hommo-γ-Linolenic acid | 0.5 | ||
| Saturated fatty acid | 20:4 n6 Arachidonic acid | 1.4 | |
| 12:0 Lauric acid | 0.1 | 22:5 n6 Docosapentaenoic acid (DPA) | 19.2 |
| 14:0 Myristic acid | 4.6 | ||
| 16:0 Palmitic acid | 14.6 | Omega 3 Fatty Acids | 46.8 |
| 18:0 Stearic acid | 0.6 | 18:3 n3 α-Linolenic acid | 0 |
| 20:5 n3 Eicosapentaenoic acid (EPA) | 1.5 | ||
| Monounsaturated fatty acid | 22:5 n3 Docosapentaenoic acid (DPA) | 0 | |
| 16:1 Palmitoleic acid | 0.1 | 22:6 n3 Docosahexaenoic acid (DHA) | 45.3 |
| 17:1 Heptadecenoic acid | 0.2 | ||
| 18:1 n9 Oleic acid | 9.4 | ||
| 18:1 n7 Vaccenic acid | 0.2 |
Disclaimer/Publisher’s Note: The statements, opinions and data contained in all publications are solely those of the individual author(s) and contributor(s) and not of MDPI and/or the editor(s). MDPI and/or the editor(s) disclaim responsibility for any injury to people or property resulting from any ideas, methods, instructions or products referred to in the content. |
© 2024 by the authors. Licensee MDPI, Basel, Switzerland. This article is an open access article distributed under the terms and conditions of the Creative Commons Attribution (CC BY) license (https://creativecommons.org/licenses/by/4.0/).
Share and Cite
Fang, Y.; Lin, S.-Y.; Chen, C.-H.; Lo, H.-C. Algal Oil Mitigates Sodium Taurocholate-Induced Pancreatitis by Alleviating Calcium Overload, Oxidative Stress, and NF-κB Activation in Pancreatic Acinar Cells. Curr. Issues Mol. Biol. 2024, 46, 4403-4416. https://doi.org/10.3390/cimb46050267
Fang Y, Lin S-Y, Chen C-H, Lo H-C. Algal Oil Mitigates Sodium Taurocholate-Induced Pancreatitis by Alleviating Calcium Overload, Oxidative Stress, and NF-κB Activation in Pancreatic Acinar Cells. Current Issues in Molecular Biology. 2024; 46(5):4403-4416. https://doi.org/10.3390/cimb46050267
Chicago/Turabian StyleFang, Yi, Sung-Yen Lin, Chung-Hwan Chen, and Hui-Chen Lo. 2024. "Algal Oil Mitigates Sodium Taurocholate-Induced Pancreatitis by Alleviating Calcium Overload, Oxidative Stress, and NF-κB Activation in Pancreatic Acinar Cells" Current Issues in Molecular Biology 46, no. 5: 4403-4416. https://doi.org/10.3390/cimb46050267
APA StyleFang, Y., Lin, S.-Y., Chen, C.-H., & Lo, H.-C. (2024). Algal Oil Mitigates Sodium Taurocholate-Induced Pancreatitis by Alleviating Calcium Overload, Oxidative Stress, and NF-κB Activation in Pancreatic Acinar Cells. Current Issues in Molecular Biology, 46(5), 4403-4416. https://doi.org/10.3390/cimb46050267

