Filling the Gaps for Enhancing the Effectiveness of Community-Based Programs Combining Treatment and Prevention of Child Malnutrition: Results from the Rainbow Project 2015–17 in Zambia
Abstract
1. Introduction
2. Materials and Methods
2.1. Setting
2.2. Rainbow SFPs Activities
2.3. Study Population and Data Collection
2.4. Anthropometric Assessment and Malnutrition Classification
2.5. Program Outcomes and Performance Indicators
2.6. Statistical Analysis
3. Results
3.1. First Results: Program Performance and Anthropometric Analysis
3.2. Second Results: HIV Counseling and Testing
4. Discussion
Limitations of the Study
5. Conclusions
Author Contributions
Funding
Acknowledgments
Conflicts of Interest
Abbreviations
| AIDS | Acquired Immune Deficiency Syndrome |
| ART | Antiretroviral Therapy |
| ARV | Antiretroviral |
| CBOs | Community-based Organizations |
| CI | Confidence Interval |
| CMAM | Community-Management of Acute Malnutrition |
| CSB | Corn soya blended food |
| CTC | Community-based Therapeutic Care |
| DHMTs | District Health Management Teams |
| HAART | Highly active antiretroviral therapy |
| HEPS | High energy protein supplement |
| HIV | Human Immunodeficiency Virus |
| HR | Hazard Ratio |
| IC | Inpatient Care |
| IMAM | Integrated Management of Acute Malnutrition |
| IYCF | Infant and Young Child Feeding |
| MAM | Moderate Acute Malnutrition |
| MUAC | Mid-Upper Arm Circumference |
| NGOs | Non-Governmental Organizations |
| OR | Odds Ratio |
| OTP | Outpatient Therapeutic Care |
| PMTCT | Prevention Mother-to-Child Transmission |
| RUTF | Ready-to-use Therapeutic Food |
| SAM | Severe Acute Malnutrition |
| SD | Standards Deviation |
| SFP | Supplementary Feeding Programs |
| SPSS | Statistical packages for social sciences |
| TFP | Therapeutic Feeding Programs |
| TB | Tuberculosis |
| TDRC | Tropical Diseases Research Centre |
| UNHCR | United Nations High Commissioner for Refugees |
| UNICEF | United Nations International Children’s Emergency Fund |
| VCT | Voluntary counseling and testing |
| WAZ | Weight-for-Age Z-score |
| WHO World Health Organization | World Health Organization |
| WHZ | Weight-for-Height Z-score |
| WLZ | Weight-for-Length Z-score |
| ZMUAC | Mid-Upper Arm Circumference for Age Z-score |
References
- Blössner, M.; de Onis, M. Malnutrition: Quantifying the Health Impact at National and Local Levels; WHO Environmental Burden of Disease Series, No. 12; World Health Organization: Geneva, Switzerland, 2005. [Google Scholar]
- No Wasted Lives Initiative: The State of Severe Malnutrition Website. Available online: http://www.severemalnutrition.org/en/home/Ge (accessed on 12 May 2018).
- Black, R.E.; Victora, C.G.; Walker, S.P.; Bhutta, Z.A.; Christian, P.; de Onis, M.; Ezzati, M.; Grantham-McGregor, S.; Katz, J.; Martorell, R.; et al. Maternal and child undernutrition and overweight in low-income and middle-income countries. Lancet 2013, 382, 427–451. [Google Scholar] [CrossRef]
- Hedwig, D.; Swindale, A.; Grant, F.; Navarro-Colorado, C. Review of Community-Based Management of Acute Malnutrition (CMAM) in the Post-Emergency Context: Synthesis of Lessons on Integration of CMAM into National Health Systems; Food and Nutrition Technical Assistance (FANTA): Washington, DC, USA, 2008. [Google Scholar]
- United Nations Children’s Fund. Evaluation of Community Management of Acute Malnutrition (CMAM); Global Synthesis Report; United Nations Childre’s Fund: New York, NY, USA, 2013. [Google Scholar]
- Emergency Nutrition Network. Government Experiences of Scale-Up of Community-Based Management of Acute Malnutrition (CMAM): A Synthesis of Lessons. In Proceedings of the CMAM Conference, Addis Ababa, January 2012. Available online: http://files.ennonline.net/attachments/1374/cmam-conference-2012-synthesis.pdf (accessed on 12 May 2018).
- Global Nutrition Cluster MAM Task Force. Moderate Acute Malnutrition: A Decision Tool for Emergencies. 2014. Available online: http://nutritioncluster.net/?get=002086%7C2014/07/MAM-Decision-Tool-final-June-2014-corrected.pdf (accessed on 14 August 2018).
- Huybregts, L.; Becquey, E.; Zongrone, A.; Le Port, A.; Khassanova, R.; Coulibaly, L.; Leroy, J.L.; Rawat, R.; Ruel, M.T. The impact of integrated prevention and treatment on child malnutrition and health: The PROMIS project, a randomized control trial in Burkina Faso and Mali. BMC Public Health 2017, 17, 237. [Google Scholar] [CrossRef] [PubMed]
- Michelo, C.; Mugode, R. Set criteria might have high potentials in the management of severely malnourished children in Zambia, evidence from an evaluation of an Outpatient Therapeutic Care Program (OTP) in selected communities in Lusaka urban, Zambia. Med. J. Zamb. 2012, 39, 6–12. [Google Scholar]
- World Health Statistics. Monitoring Health for the SDGs, Sustainable Development Goals; World Health Organization: Geneva, Switzerland, 2017. [Google Scholar]
- International Food Policy Research Institute. From Promise to Impact: Ending Malnutrition by 2030; Global Nutrition Report 2016; International Food Policy Research Institute: Washington, DC, USA, 2016. [Google Scholar]
- World Health Organization. Global Nutrition Targets 2025: Policy Brief Series. 2014. Available online: http://www.who.int/nutrition/global-target-2025/en/ (accessed on 20 June 2018).
- Joint United Nations Programme on HIV/AIDS (UNAIDS). Country Reports. Zambia HIV and AIDS Estimates Websites; UNAIDS: Geneva, Switzerland, 2018. [Google Scholar]
- Ministry of Health. National TB/Leprosy Program 2016 TB Notification Data; Department of Public Health: Lusaka, Zambia, 2017.
- Chabala, C.; Somwe, S.; Kapata, N.; Chongwe, G.; Jumbe-Marsden, E. Childhood tuberculosis at the main referral hospital in Lusaka, Zambia—A five years review of registered child TB cases. In Proceedings of the 43rd Union conference on Lung Health, Kuala Lumpur, Malaysia, 19 November 2012; Volume PC-661-15. [Google Scholar]
- Munthali, T.; Chabala, C.; Chama, E.; Mugode, R.; Kapata, N.; Musonda, P.; Michelo, C. Tuberculosis caseload in children with severe acute malnutrition related with high hospital based mortality in Lusaka, Zambia. BMC Res Notes 2017, 10, 206. [Google Scholar] [CrossRef] [PubMed]
- Maleta, K.; Amadi, B. Community-Based Management of Acute Malnutrition (CMAM) in sub-Saharan Africa: Case studies from Ghana, Malawi and Zambia. Food Nutr. Bull. 2014, 35, S34–S38. [Google Scholar] [CrossRef] [PubMed]
- Ministry of National Development Planning. Seventh National Development Plan 2017–2021; Ministry of National Development Planning: Lusaka, Zambia, 2017.
- Moramarco, S.; Amerio, G.; Gozza Maradini, G.; Garuti, E. Rainbow Project: A Model to Fight Child Malnutrition in Zambia. In Turning Rapid Growth into Meaningful Growth: Sustaining the Commitment to Nutrition in Zambia; Harris, J., Haddad, L., Grütz, S.S., Eds.; Institute of Development Studies: Brighton, UK, 2014; pp. 57–61. Available online: https://opendocs.ids.ac.uk/opendocs/bitstream/handle/123456789/4463/Zambia%20Special%20Collection%20full%20version.pdf (accessed on 14 August 2018).
- Moramarco, S.; Amerio, G.; Ciarlantini, C.; Kasengele Chipoma, J.; Kakungu Simpungwe, M.; Nielsen-Saines, K.; Palombi, L.; Buonomo, E. Community-based management of child malnutrition in Zambia: HIV/AIDS infection and other risk factors on child survival. Int. J. Environ. Res. Public Health 2016, 13, E666. [Google Scholar] [CrossRef] [PubMed]
- World Health Organization. Management of Severe Malnutrition: A Manual for Physicians and Other Senior Health Workers; World Health Organization: Geneva, Switzerland, 1999. [Google Scholar]
- Valid International. Community-Based Therapeutic Care (CTC): A Field Manual. 2006. Available online: http://www.concernusa.org/content/uploads/2015/08/ctc_manual_v1_oct06.pdf (accessed on May 2018).
- UN Refugee Agency (UNHCR)/World Food Programme (WFP). Guidelines for Selective Feeding: The Management of Malnutrition in Emergencies; UNHCR: Geneva, Switzerland, 2011. [Google Scholar]
- Black, R.E.; Laxminarayan, R.; Temmerman, M.; Walker, N. Reproductive, Maternal, Newborn, and Child Health, 3rd ed.; Disease Control Priorities; World Bank: Washington, DC, USA, 2016; Volume 2. [Google Scholar]
- Ashworth, A.; Ferguson, E. Dietary counseling in the management of moderate malnourishment in children. Food Nutr. Bull. 2009, 30, S405–S433. [Google Scholar] [CrossRef] [PubMed]
- Moramarco, S.; Amerio, G.; Chafula Muyaba, L.; Bonvecchio, D.; Abramo, E.; Palombi, L.; Buonomo, E. Nutritional counseling improves dietary diversity and feeding habits of Zambian malnourished children admitted in Rainbow nutritional programs. Biomed. Prev. 2017, 1. [Google Scholar] [CrossRef]
- World Health Organization; United Nations Children’s Fund. Child Growth Standard and Identification of Severe Acute Malnutrition in Infant and Children; A Joint Statement; WHO: Geneva, Switzerland, 2009; Available online: http://apps.who.int/iris/bitstream/10665/44129/1/9789241598163_eng.pdf?ua=1 (accessed on 6 March 2018).
- Zambian Ministry of Health. DRAFT Integrated Management of Acute Malnutrition Zambia Guidelines; Zambian Ministry of Health: Lusaka, Zambia, 2012.
- World Health Organization (WHO). Guideline: Updates on the Management of Severe Acute Malnutrition in Infants and Children; WHO: Geneva, Switzerland, 2013. [Google Scholar]
- World Health Organization. WHO Child Growth Standards: Length/Height-for-Age, Weight-for-Age, Weight-for-Length, Weight-for-Height and Body Mass Index-for-Age: Methods and Development; WHO: Geneva, Switzerland, 2006; Available online: http://www.who.int/childgrowth/standards/Technical_report.pdf (accessed on 6 March 2018).
- The SPHERE Project. The Sphere Handbook: Humanitarian Charter and Minimum Standards in Disaster Response, 3rd ed.; The SPHERE Project: Geneva, Switzerland, 2011; Available online: https://www.unscn.org/uploads/web/news/2011-Sphere-Project-Handbook-Humanitarian-Charter-in-Humanitarian-Response.pdf (accessed on 6 March 2018).
- WHO. World Health Organization (WHO) Anthro for Personal Computers, version 3.2.2; 2011. Software for Assessing Growth and Development of the World’s Children; WHO: Geneva, Switzerland, 2010. [Google Scholar]
- Alvarez, J.L.; Dent, N.; Browne, L.; Myatt, M.; Briend, A. Putting Child Kwashiorkor on the Map. CMAM Forum Technical Brief, 2016. Available online: http://files.ennonline.net/attachments/2485/Putting-Kwashiorkor-on-the-Map.pdf (accessed on 10 March 2018).
- Matilsky, D.K.; Maleta, K.; Castleman, T.; Manary, M.J. Supplementary feeding with fortified spreads results in higher recovery rates than with a corn/soy blend in moderately wasted children. J. Nutr. 2009, 139, 773–778. [Google Scholar] [CrossRef] [PubMed]
- Akparibo, R.; Harris, J.; Blank, L.; Campbell, M.J.; Holdsworth, M. Severe acute malnutrition in children aged under 5 years can be successfully managed in a non-emergency routine community healthcare setting in Ghana. Matern. Child Nutr. 2017, 13. [Google Scholar] [CrossRef] [PubMed]
- Government of the Republic of Zambia Ministry of Health. Lifelong Antiretroviral Drugs (ARV’s) for All HIV Positive Pregnant Women in Zambia. Policy Guidelines for Health Facilities in Zambia; 2013. Available online: https://www.medbox.org/zm-guidelines-hiv-tb/lifelong-antiretroviral-drugs-arvs-for-all-hiv-positive-pregnant-women-in-zambia/preview? (accessed on 3 April 2018).
- Ruel, M.T.; Menon, P.; Habicht, J.P.; Loechl, C.; Bergeron, G.; Pelto, G.; Arimond, M.; Maluccio, J.; Michaud, L.; Hankebo, B. Age-based preventive targeting of food assistance and behavior change and communication for reduction of childhood undernutrition in Haiti: A cluster randomized trial. Lancet 2008, 371, 588–595. [Google Scholar] [CrossRef]
- Collins, S.; Sadler, K.; Dent, N.; Khara, T.; Guerrero, S.; Myatt, M.; Saboya, M.; Walsh, A. Key issues in the success of community-based management of severe malnutrition. Food Nutr. Bull. 2006, 27, S49–S82. [Google Scholar] [CrossRef] [PubMed]
- Dent, N.; Deconinck, H.; Golden, K.; Brown, R.; Walsh, A. Information-sharing to improve learning about Community-Based Management of Acute Malnutrition (CMAM) and its impact. Food Nutr. Bull. 2014, 35, S86–S90. [Google Scholar] [CrossRef] [PubMed]
- DiGirolamo, A.M.; Stansbery, P.; Lung’aho, M. Advantages and challenges of integration: Opportunities for integrating early childhood development and nutrition programming. Ann. N. Y. Acad. Sci. 2014, 1308, 46–53. [Google Scholar] [CrossRef] [PubMed]
- Maust, A.; Koroma, A.S.; Abla, C.; Molokwu, N.; Ryan, K.N.; Singh, L.; Manary, M.J. Severe and moderate acute malnutrition can be successfully managed with an integrated protocol in Sierra Leone. J. Nutr. 2015, 145, 2604–2609. [Google Scholar] [CrossRef] [PubMed]
- Patel, D.; Matyanga, P.; Nyamundaya, T.; Chimedza, D.; Webb, K.; Engelsmann, B. Facilitating HIV testing, care and treatment for orphans and vulnerable children aged five years and younger through community-based early childhood development playcentres in rural Zimbabwe. J. Int. AIDS Soc. 2012, 15, 17404. [Google Scholar] [CrossRef] [PubMed]
- Tomlinson, M.; Skeen, S.; Marlow, M.; Cluver, L.; Cooper, P.; Murray, L.; Mofokeng, S.; Morley, N.; Makhetha, M.; Gordon, S.; et al. Improving early childhood care and development, HIV-testing, treatment and support, and nutrition in Mokhotlong, Lesotho: Study protocol for a cluster randomized controlled trial. Trials 2016, 17, 538. [Google Scholar] [CrossRef] [PubMed]
- Scarcella, P.; Moramarco, S.; Buonomo, E.; Nilesen-Saines, K.; Jere, H.; Guidotti, G.; Palombi, L.; Marazzi, M.C. The impact of malaria on child growth: Anthropometric outcomes in a pediatric HIV-exposed cohort in Malawi. Biomed. Prev. 2016, 1. [Google Scholar] [CrossRef]
- Bailey, J.; Lelijveld, N.; Marron, B.; Onyoo, P.; Ho, L.S.; Manary, M.; Briend, A.; Opondo, C.; Kerac, M. Combined Protocol for Acute Malnutrition Study (ComPAS) in rural South Sudan and urban Kenya: Study protocol for a randomized controlled trial. Trials 2018, 19, 251. [Google Scholar] [CrossRef] [PubMed]
- De Pee, S.; Bloem, M.W. Current and potential role of specially formulated foods and food supplements for preventing malnutrition among 6- to 23-month-old children and for treating moderate malnutrition among 6- to 59-month-old children. Food Nutr. Bull. 2009, 30, S434–S463. [Google Scholar] [CrossRef] [PubMed]
- Iuel-Brockdorf, A.S.; Draebel, T.A.; Ritz, C.; Fabiansen, C.; Cichon, B.; Brix Christensen, V.; Yameogo, C.; Oummani, R.; Briend, A.; Michaelsen, K.F.; et al. Evaluation of the acceptability of improved supplementary foods for the treatment of moderate acute malnutrition in Burkina Faso using a mixed method approach. Appetite 2016, 99, 34–45. [Google Scholar] [CrossRef] [PubMed]
- Fabiansen, C.; Yaméogo, C.W.; Iuel-Brockdorf, A.S.; Cichon, B.; Rytter, M.J.H.; Kurpad, A. Effectiveness of food supplements in increasing fat-free tissue accretion in children with moderate acute malnutrition: A randomised 2 × 2 × 3 factorial trial in Burkina Faso. PLoS Med. 2017, 14, e1002387. [Google Scholar] [CrossRef] [PubMed]
- Alvarez Morán, J.L.; Alé, F.G.; Rogers, E.; Guerrero, S. Quality of care for treatment of uncomplicated severe acute malnutrition delivered by community health workers in a rural area of Mali. Matern. Child Nutr. 2017, 14. [Google Scholar] [CrossRef] [PubMed]
- Briend, A.; Prinzo, Z.W. Dietary management of moderate malnutrition: Time for a change. Food Nutr. Bull. 2009, 30, S265–S266. [Google Scholar] [CrossRef] [PubMed]
- Somassé, Y.E.; Bahwere, P.; Laokri, S.; Elmoussaoui, N.; Donnen, P. Sustainability and scaling-up analysis of community-based management of acute malnutrition: Lessons learned from Burkina Faso. Food Nutr. Bull. 2013, 34, 338–348. [Google Scholar] [CrossRef] [PubMed]
- Ackatia-Armah, R.S.; McDonald, C.M.; Doumbia, S.; Erhardt, J.G.; Hamer, D.H.; Brown, K.H. Malian children with moderate acute malnutrition who are treated with lipid- based dietary supplements have greater weight gains and recovery rates than those treated with locally produced cereal-legume products: A community-based, cluster-randomized trial. Am. J. Clin. Nutr. 2015, 101, 632–645. [Google Scholar] [CrossRef] [PubMed]
- Karakochuk, C.; Van den Briel, T.; Stephens, D.; Zlotkin, S. Treatment of moderate acute malnutrition with ready-to-use supplementary food results in higher overall recovery rates compared with a corn-soya blend in children in southern Ethiopia: An operations research trial. Am. J. Clin. Nutr. 2012, 96, 911–916. [Google Scholar] [CrossRef] [PubMed]
- Sherr, L.; Mueller, J.; Varrall, R. A systematic review of cognitive development and child human immunodeficiency virus infection. Psychol. Health Med. 2009, 14, 387–404. [Google Scholar] [CrossRef] [PubMed]
- Buonomo, E.; Scarcella, P.; Tembo, D.; Giuliano, M.; Moramarco, S.; Palombi, L.; Nielsen-Saines, K.; Mancinelli, S.; Marazzi, M.C. Malnutrition decreases the odds of attaining motor milestones in HIV exposed children: Results from a paediatric DREAM cohort. Epidemiol. Prev. 2015, 39, 108–112. [Google Scholar] [PubMed]
- O’Neill, S.M.; Fitzgerald, A.; Briend, A.; Van den Broeck, J. Child mortality as predicted by nutritional status and recent weight velocity in children under two in rural Africa. J. Nutr. 2012, 142, 520–525. [Google Scholar] [PubMed]
- The National HIV/AIDS/STI/TB Council and Republic of Zambia. Monitoring the Declaration of Commitment on HIV and AIDS and the Universal Access. Submitted to the United Nations General Assembly Special Session on HIV and AIDS; Zambia Country Report. 2015. Available online: http://www.unaids.org/sites/default/files/country/documents/ZMB_narrative_report_2015.pdf (accessed on 6 March 2018).
- Asafo-Agyei, S.B.; Antwi, S.; Nguah, S.B. HIV infection in severely malnourished children in Kumasi, Ghana: A cross-sectional prospective study. BMC Pediatr. 2013, 13, 181. [Google Scholar] [CrossRef] [PubMed]
- Frigati, L.; Archary, M.; Rabie, H.; Penazzato, M.; Ford, N. Priorities for decreasing morbidity and mortality in children with advanced HIV disease. Clin. Infect. Dis. 2018, 66, S147–S151. [Google Scholar] [CrossRef] [PubMed]
- Somassè, Y.E.; Dramaix, M.; Bahwere, P.; Donnen, P. Relapses from acute malnutrition and related factors in a community-based management programme in Burkina Faso. Matern. Child Nutr. 2016, 12, 908–917. [Google Scholar] [CrossRef] [PubMed]



| Variables | Value 2015–17 | Value 2012–14 |
|---|---|---|
| Male, n. (%) | 439 (48.8) | 428 (49.9) |
| Age in months, mean ± SD | 19.7 ± 9.9 | 19 ± 9.4 |
| <18 months of age | 452 (50.2) | 455 (53) |
| Rural area, n. (%) | 139 (15.4) | 163 (19) |
| Parental status, n. (%) | ||
| Orphans of one parent | 32 (3.6) | 33 (3.9) |
| Orphans of both parents | 15 (1.7) | 15 (1.7) |
| Single guardian | 238 (26.4) | NA |
| Disability, n. (%) | 23 (2.6) | NA |
| Twin, n. (%) | 42 (4.7) | 62 (7.2) |
| Caregiver’s age, mean ± SD [min–max] | 28.4 ± 9.2 | 29 ± 10 |
| [15–69] | [13–78] | |
| Referred from, n. (%) | ||
| Hospital | 23 (2.6) | 46 (5.4) |
| Local health facility | 186 (20.7) | 279 (32.5) |
| Community | 691 (76.7) | 533 (62.1) |
| HIV status, n. (%) | ||
| Infected | 25 (2.8) | 51 (5.9) |
| Uninfected | 541 (60.1) | 426 (49.7) |
| Status unknown | 334 (37.1) | 381 (44.4) |
| Non-breastfed children, n. (%) | 564 (62.7) | NA |
| Months of age, mean ± SD | 14.9 ± 6.9 | |
| Admission criteria: MAM, n. (%) | 242 (26.9) | 323 (37.6) |
| <18 months of age | 145 (59.9) | 195 (60.4) |
| Admission criteria: SAM, n. (%) | 346 (38.4) | 241 (28.1) |
| <18 months of age | 207 (59.8) | 146 (60.6) |
| Admission criteria: Underweight, n. (%) | 312 (34.7) | 294 (34.3) |
| <18 months of age | 100 (32.1) | 114 (38.8) |
| Presence of edema, n. (%) | 184 (20.4) | 77 (9) |
| Relapses of malnutrition event, n. (%) | 129 (14.3) | 68 (7.9) |
| Weight (kg), mean ± SD | 7.6 ± 1.5 | 7.8 ± 1.6 |
| WAZ, mean ± SD | −3.1 ± 0.9 | −2.8 ± 1.1 |
| MUAC (cm), mean ± SD | 12.2 ± 1 | 12.4 ± 1 |
| ZMUAC, mean ± SD | −2.4 ± 1 | NA |
| Health problems, n. (%) | 429 (47.7) | 299 (34.9) |
| Fever | 75 (8.3) | 73 (8.5) |
| Diarrhea | 118 (13.1) | 71 (8.3) |
| Lack of appetite | 124 (13.8) | 66 (7.7) |
| Cough/Sneezing | 99 (11) | 28 (3.3) |
| Malaria | 4 (0.4) | 7 (0.8) |
| Others | 9 (1.1) | 54 (6.3) |
| Total | MAM | SAM | International Standards (Sphere Project/UNHCR) [23,31] | ||||||||
|---|---|---|---|---|---|---|---|---|---|---|---|
| Indicators | Rainbow 2012–14 (n.858) | Rainbow 2015–17 (n.900) | p-Value | Rainbow 2012–14 (n.323) | Rainbow 2015–17 (n.242) | p-Value | Rainbow 2012–14 (n.241) | Rainbow 2015–17 (n.346) | p-Value | Acceptable | Alarming |
| Recovered, n. (%) | 709 (82.6) | 771 (85.7) | 0.08 | 278 (86.1) | 219 (90.5) | 0.1 | 177 (73.5) | 284 (82.1) | 0.01 | >75% | <50% |
| Defaulters, n. (%) | 101 (11.8) | 101 (11.2) | 0.72 | 36 (11.1) | 17 (7) | 0.09 | 34 (14.1) | 41 (11.8) | 0.42 | <15% | >30% |
| Deaths, n. (%) | 48 (5.6) | 28 (3.1) | 0.01 | 9 (2.8) | 6 (2.5) | 0.8 | 30 (12.4) | 21 (6.1) | 0.006 | <3% for SFPs | >10% |
| <10% for TFPs | |||||||||||
| Mean length of stay, weeks (SD) | 19.3 ± 11.5 | 16.6 ± 9.6 | <0.001 | 19.3 ± 11.9 | 13.1 ± 7.4 | <0.001 | 22 ± 11.8 | 15.9 ± 9.6 | <0.001 | <12 weeks for SFPs | |
| <3–4 weeks for TFPs (IC till full recovery) | |||||||||||
| <60 days for TFPs (IC and OTPs combined) | |||||||||||
| Average weight gain, g/kg/day (SD) | 1.7 ± 1.2 | 2 ± 1.5 | <0.001 | 1.7 ± 1 | 1.9 ± 1.2 | 0.03 | 2 ± 1.3 | 2.4 ± 1.7 | 0.007 | ≥3 g/kg/day for SFPs | |
| ≥8 g/kg/day for TFPs (IC till full recovery) | |||||||||||
| ≥4 g/kg/day for TFPs (IC and OTPs combined) | |||||||||||
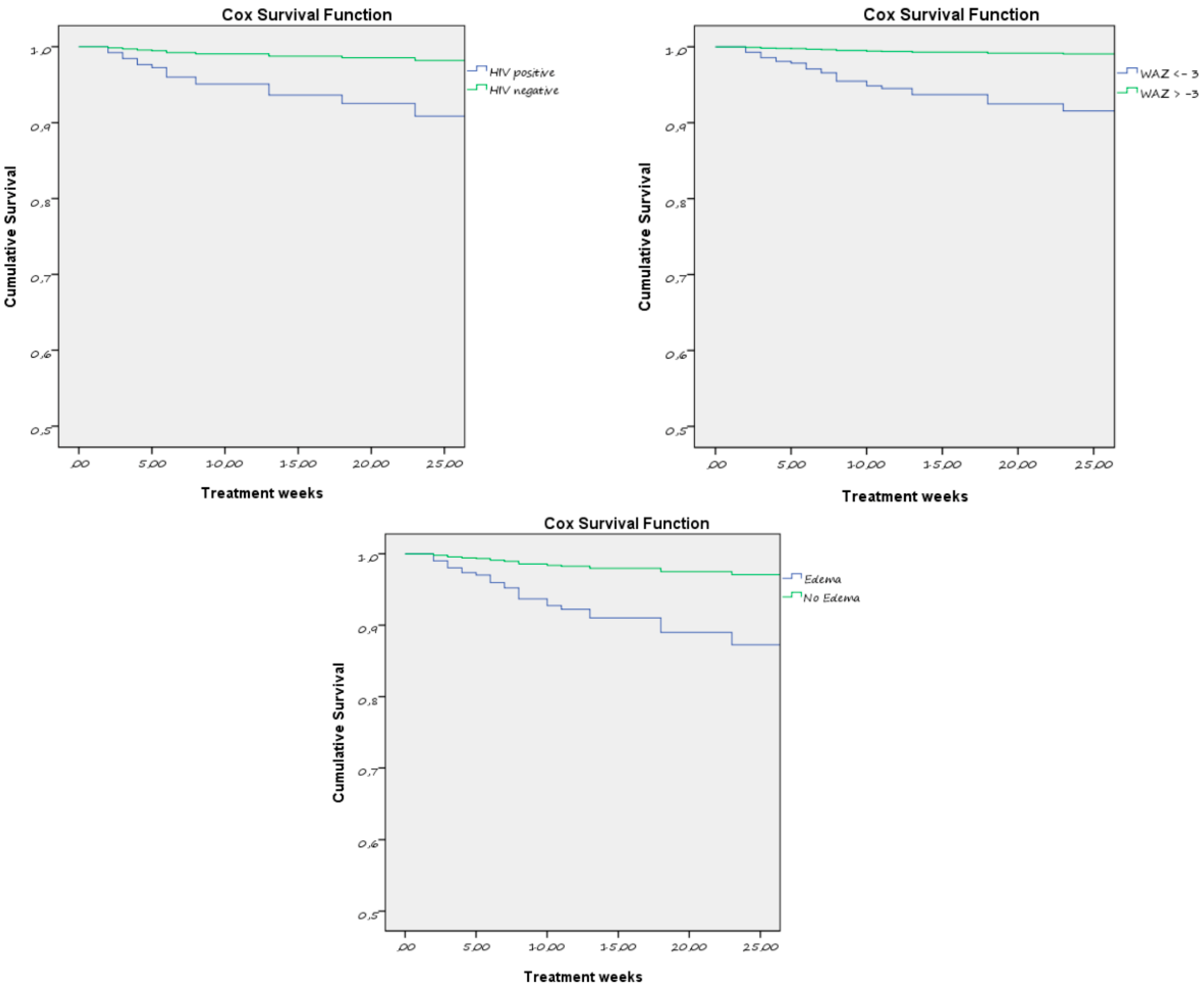
| Predictors of Mortality | Predictors of Defaulting | ||||||||||||
|---|---|---|---|---|---|---|---|---|---|---|---|---|---|
| Univariate Analysis | Multivariate Analysis | Univariate Analysis | Multivariate Analysis | ||||||||||
| HR | 95% CI | p-Value | HR Exp (B) | 95% CI | p-Value | HR | 95% CI | p-Value | HR Exp (B) | 95% CI | p-Value | ||
| Baseline characteristics | Age < 18 months | 1.04 | 0.49–2.19 | 0.917 | - | - | - | 0.83 | 0.56–1.23 | 0.350 | - | - | - |
| Rural Area | 0.24 | 0.03–1.78 | 0.164 | - | - | - | 2.48 | 1.61–3.82 | <0.001 | 2.31 | 1.27–4.21 | 0.006 | |
| Orphan | 1.69 | 0.40–7.14 | 0.473 | - | - | - | 2.41 | 1.26–4.64 | 0.008 | 3.22 | 1.52–6.81 | 0.002 | |
| HIV infection | 8.11 | 2.85–23.04 | <0.001 | 5.53 | 1.92–15.94 | 0.002 | 1.02 | 0.32–3.27 | 0.968 | - | - | - | |
| WAZ <–3 | 9.37 | 2.83–31.06 | <0.001 | 4.57 | 1.30–16.11 | 0.018 | 1.01 | 0.51–2.00 | 0.983 | - | - | - | |
| ZMUAC <–2 | 8.11 | 1.92–34.20 | 0.004 | - | - | - | 1.50 | 0.99–2.30 | 0.062 | - | - | - | |
| Kwashiorkor/edema | 4.59 | 2.14–9.85 | <0.001 | 3.51 | 1.29–9.51 | 0.014 | 1.10 | 0.65–1.86 | 0.724 | - | - | - | |
| Health problems | 1.75 | 0.82–3.73 | 0.149 | - | - | - | 1.34 | 0.91–1.99 | 0.140 | - | - | - | |
| Nutritional response characteristics | Weight gain (g/kg/die) | 0.42 | 0.34–0.51 | <0.001 | 0.59 | 0.48–0.74 | <0.001 | 0.57 | 0.49–0.65 | <0.001 | - | - | - |
| WAZ gain | 0.17 | 0.12–0.24 | <0.001 | - | - | - | 0.29 | 0.23–0.38 | <0.001 | 0.58 | 0.41–0.82 | 0.002 | |
| ZMUAC gain | 0.21 | 0.16–0.28 | <0.001 | 0.35 | 0.24–0.51 | <0.001 | 0.32 | 0.26–0.40 | <0.001 | 0.44 | 0.33–0.59 | <0.001 | |
© 2018 by the authors. Licensee MDPI, Basel, Switzerland. This article is an open access article distributed under the terms and conditions of the Creative Commons Attribution (CC BY) license (http://creativecommons.org/licenses/by/4.0/).
Share and Cite
Moramarco, S.; Amerio, G.; Kasengele Chipoma, J.; Nielsen-Saines, K.; Palombi, L.; Buonomo, E. Filling the Gaps for Enhancing the Effectiveness of Community-Based Programs Combining Treatment and Prevention of Child Malnutrition: Results from the Rainbow Project 2015–17 in Zambia. Int. J. Environ. Res. Public Health 2018, 15, 1807. https://doi.org/10.3390/ijerph15091807
Moramarco S, Amerio G, Kasengele Chipoma J, Nielsen-Saines K, Palombi L, Buonomo E. Filling the Gaps for Enhancing the Effectiveness of Community-Based Programs Combining Treatment and Prevention of Child Malnutrition: Results from the Rainbow Project 2015–17 in Zambia. International Journal of Environmental Research and Public Health. 2018; 15(9):1807. https://doi.org/10.3390/ijerph15091807
Chicago/Turabian StyleMoramarco, Stefania, Giulia Amerio, Jean Kasengele Chipoma, Karin Nielsen-Saines, Leonardo Palombi, and Ersilia Buonomo. 2018. "Filling the Gaps for Enhancing the Effectiveness of Community-Based Programs Combining Treatment and Prevention of Child Malnutrition: Results from the Rainbow Project 2015–17 in Zambia" International Journal of Environmental Research and Public Health 15, no. 9: 1807. https://doi.org/10.3390/ijerph15091807
APA StyleMoramarco, S., Amerio, G., Kasengele Chipoma, J., Nielsen-Saines, K., Palombi, L., & Buonomo, E. (2018). Filling the Gaps for Enhancing the Effectiveness of Community-Based Programs Combining Treatment and Prevention of Child Malnutrition: Results from the Rainbow Project 2015–17 in Zambia. International Journal of Environmental Research and Public Health, 15(9), 1807. https://doi.org/10.3390/ijerph15091807

