Match Running Performance Profile and Heart Rate Response in Amputee Soccer Players
Abstract
1. Introduction
2. Materials and Methods
2.1. Participants
2.2. Procedures
2.3. Statistical Analysis
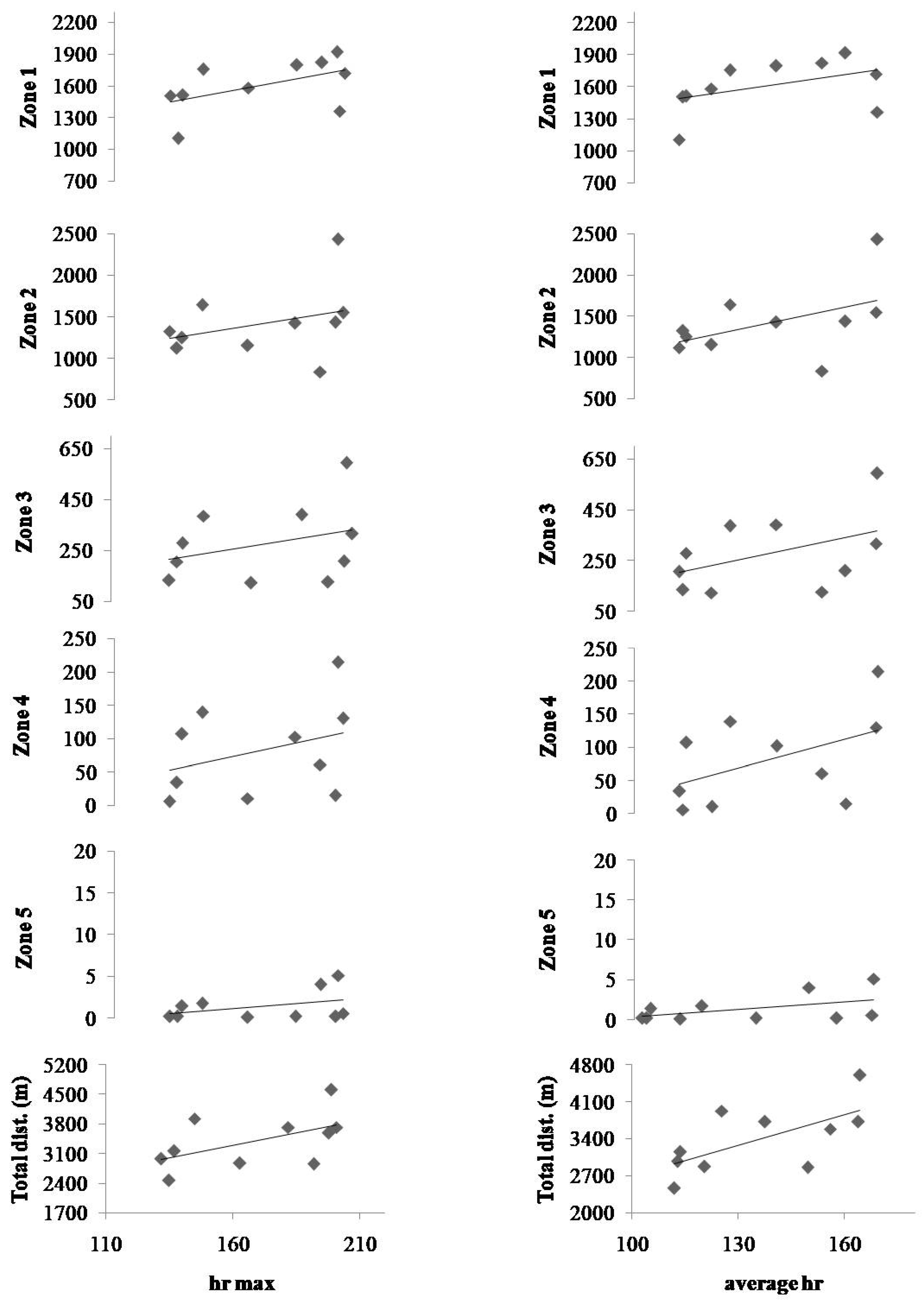
3. Results
4. Discussion
4.1. Heart Rate
4.2. Level of Amputation and Heart Rate
4.3. Running Distances
5. Conclusions
Author Contributions
Funding
Institutional Review Board Statement
Informed Consent Statement
Data Availability Statement
Conflicts of Interest
References
- Orejan, J. Football/Soccer: History and Tactics; McFarland & Company: Jefferson, NC, USA, 2011. [Google Scholar]
- Lamberg, E.; Pierre-Glaude, J. Athletic ability in the sport of amputee soccer. Soccer Soc. 2022, 23, 1–7. [Google Scholar] [CrossRef]
- Simim, M.; Eneas, R.; Da Silva, B.; Mota, G.; Medeiros, A.I.; Assumpção, C. Body composition in amputee soccer players: What do we know? In New Studies on Anthropometry; Nova Science Publishers: Hauppauge, NY, USA, 2021; pp. 281–295. [Google Scholar]
- WAFF. Amputee Soccer—The Beginnings. Available online: https://www.worldamputeefootball.org/history.htm (accessed on 11 July 2023).
- Matsuwaka, S.T.; Latzka, E.W. Summer Adaptive Sports Technology, Equipment, and Injuries. Sport. Med. Arthrosc. Rev. 2019, 27, 48–55. [Google Scholar] [CrossRef] [PubMed]
- Available online: https://pubmed.ncbi.nlm.nih.gov/?term=soccer+AND+amputee (accessed on 27 May 2023).
- Monteiro, R.; Pfeifer, L.; Santos, A.; Sousa, N. Soccer practice and functional and social performance of men with lower limb amputations. J. Hum. Kinet. 2014, 43, 33–41. [Google Scholar] [CrossRef] [PubMed]
- Yazicioglu, K.; Taskaynatan, M.A.; Guzelkucuk, U.; Tugcu, I. Effect of playing football (soccer) on balance, strength, and quality of life in unilateral below-knee amputees. Am. J. Phys. Med. Rehabil. 2007, 86, 800–805. [Google Scholar] [CrossRef]
- Guchan, Z.; Bayramlar, K.; Ergun, N. Determination of the effects of playing soccer on physical fitness in individuals with transtibial amputation. J. Sport. Med. Phys. Fit. 2017, 57, 879–886. [Google Scholar] [CrossRef]
- Özkan, A.; Kayihan, G.; Köklü, Y.; Ergun, N.; Koz, M.; Ersöz, G.; Dellal, A. The relationship between body composition, anaerobic performance and sprint ability of amputee soccer players. J. Hum. Kinet. 2012, 35, 141–146. [Google Scholar] [CrossRef]
- Simim, M.A.; Bradley, P.S.; Da Silva, B.V.; Mendes, E.L.; De Mello, M.T.; Marocolo, M.; Da Mota, G.R. The quantification of game-induced muscle fatigue in amputee soccer players. J. Sport. Med. Phys. Fit. 2017, 57, 766–772. [Google Scholar] [CrossRef]
- Subramony, S.H. Electrophysiological findings in crutch palsy. Electromyogr. Clin. Neurophysiol. 1989, 29, 281–285. [Google Scholar]
- Aytar, A.; Pekyavas, N.O.; Ergun, N.; Karatas, M. Is there a relationship between core stability, balance and strength in amputee soccer players? A pilot study. Prosthet. Orthot. Int. 2012, 36, 332–338. [Google Scholar] [CrossRef]
- Aytar, A.; Zeybek, A.; Pekyavas, N.O.; Tigli, A.A.; Ergun, N. Scapular resting position, shoulder pain and function in disabled athletes. Prosthet. Orthot. Int. 2015, 39, 390–396. [Google Scholar] [CrossRef]
- Bragaru, M.; Dekker, R.; Geertzen, J.H.; Dijkstra, P.U. Amputees and sports. Sport. Med. 2011, 41, 721–740. [Google Scholar] [CrossRef] [PubMed]
- Waters, R.L.; Perry, J.; Antonelli, D.A.N.I.E.L.; Hislop, H. Energy cost of walking of amputees: The influence of level of amputation. J. Bone Jt. Surg. Am. 1976, 58, 42–46. [Google Scholar] [CrossRef]
- Di Salvo, V.; Baron, R.; Tschan, H.; Montero, F.C.; Bachl, N.; Pigozzi, F. Performance characteristics according to playing position in elite soccer. Int. J. Sport. Med. 2007, 28, 222–227. [Google Scholar] [CrossRef]
- Iaia, F.M.; Ermanno, R.; Bangsbo, J. High-intensity training in football. Int. J. Sport. Physiol. Perform. 2009, 4, 291–306. [Google Scholar] [CrossRef] [PubMed]
- Wilson, D.; Riley, P.; Reilly, T. Sports science support for the England Amputee Soccer team. In Proceedings of the Fifth World Congress on Science and Football, Science and Football V, Lisbon, Portugal, 11–15 April 2003; Reilly, T., Cabri, J., Araújo, D., Eds.; Routledge-Taylor & Francis Group: Lisboa, Portugal, 2005. [Google Scholar]
- Maehana, H.; Miyamoto, A.; Koshiyama, K.; Yanagiya, T.T.; Yoshimura, M. Profile of match performance and heart rate response in Japanese amputee soccer players. J. Sport. Med. Phys. Fit. 2018, 58, 816–824. [Google Scholar] [CrossRef] [PubMed]
- Briggs, M.; Cockburn, E.; Rumbold, P.; Rae, G.; Stevenson, E.; Russell, M. Assessment of energy intake and energy expenditure of male adolescent academy-level soccer players during a competitive week. Nutrients 2015, 7, 8392–8401. [Google Scholar] [CrossRef] [PubMed]
- Beato, M.; Bartolini, D.; Ghia, G.; Zamparo, P. Accuracy of a 10 Hz GPS Unit in Measuring Shuttle Velocity Performed at Different Speeds and Distances (5–20 M). J. Hum. Kinet. 2016, 54, 15–22. [Google Scholar] [CrossRef]
- Beato, M.; Coratella, G.; Stiff, A.; Iacono, A.D. The validity and between-unit variability of GNSS units (STATSports apex 10 and 18 Hz) for measuring distance and peak speed in team sports. Front. Physiol. 2018, 9, 1288. [Google Scholar] [CrossRef]
- Flanagan, E.P. The Effect Size Statistic—Applications for the Strength and Conditioning Coach. Strength Cond. J. 2013, 35, 37–40. [Google Scholar] [CrossRef]
- Cohen, J. Statistical Power Analysis for the Behavioural Sciences, 2nd ed.; Lawrence Erlbaum: Mahwah, NJ, USA, 1988. [Google Scholar]
- Nowak, A.M. Match performance in Polish amputee soccer extra ligue—A pilot study. Adv. Rehabil. 2020, 34, 16–25. [Google Scholar] [CrossRef]
- Maehana, H.; Miyamoto, A.; Watari, T.; Watanabe, T.; Suzuki, K.; Koshiyama, K.; Yoshimura, M. Influence of Amputation on Match Performance in Amputee Soccer. Juntendo Med. J. 2018, 2018, 27–31. [Google Scholar] [CrossRef]
- Vllasolli, T.O.; Orovcanec, N.; Zafirova, B.; Krasniqi, B.; Murtezani, A.; Krasniqi, V.; Rama, B. Physiological cost index and comfort walking speed in two level lower limb amputees having no vascular disease. Acta Inform. Med. 2015, 23, 12–17. [Google Scholar] [CrossRef] [PubMed]
- van Schaik, L.; Geertzen, J.H.B.; Dijkstra, P.U.; Dekker, R. Metabolic costs of activities of daily living in persons with a lower limb amputation: A systematic review and meta-analysis. PLoS ONE 2019, 14, e0213256. [Google Scholar] [CrossRef] [PubMed]
- Miyamoto, A.; Maehana, H.; Yanagiya, T. The relationship between sprint speed and sprint motion in amputee soccer players. Eur. J. Adapt. Phys. Act. 2019, 12, 9. [Google Scholar] [CrossRef]
- Wieczorek, M.; Wiliński, W.; Struzik, A.; Rokita, A. Hand Grip Strength vs. Sprint Effectiveness in Amputee Soccer Players. J. Hum. Kinet. 2015, 48, 133–139. [Google Scholar] [CrossRef]
- Metaxas, T.I. Match Running Performance of Elite Soccer Players: Vo2max and Players Position Influences. J. Strength Cond. Res. 2021, 35, 162–168. [Google Scholar] [CrossRef]
- Vardakis, L.; Michailidis, Y.; Mandroukas, A.; Mavrommatis, G.; Christoulas, K.; Metaxas, T. Analysis of the running performance of elite soccer players depending on position in the 1-4-3-3 formation. Ger. J. Exerc. Sport Res. 2020, 50, 241–250. [Google Scholar] [CrossRef]



| Total | |
|---|---|
| Number (n) | 10 |
| Age (years) | 33.5 ± 6.3 |
| Training experience (years) | 3.6 ± 2.4 |
| Height (cm) | 177.7 ± 6.6 |
| Weight (kg) | 78.45 ± 13.1 |
| BMI (kg·m−2) | 24.7 ± 2.8 |
| Amputation (above/below knee) | 5 and 5 |
| Amputation | ||
|---|---|---|
| Below Knee | Above Knee | |
| Number (n) | 5 | 5 |
| Age (years) | 35.8 ± 4.8 | 31.2 ± 7.3 |
| Training experience (years) | 4.0 ± 2.7 | 3.2 ± 2.3 |
| Height (cm) | 178.0 ± 4.3 | 177.4 ± 8.9 |
| Weight (kg) | 81.7 ± 9.3 | 75.2 ± 16.5 |
| BMI (kg·m−2) | 25.7 ± 2.1 | 23.7 ± 3.2 |
| Above Knee | Below Knee | |
|---|---|---|
| AVG HR (b·min−1) | 146.7 ± 7.1 | 159.6 ± 10.5 |
| HRmax (b·min−1) | 188.9 ± 7.2 | 191.3 ± 17.6 |
| %HRmax | 77.7% | 83.4% |
| HRmax | HRaverage | |
|---|---|---|
| Total Distance | r = 0.537 | r = 0.651 |
| p = 0.110 | p = 0.052 | |
| Zone 1 | r = 0.513 | r = 0.446 |
| p = 0.130 | p = 0.197 | |
| Zone 2 | r = 0.336 | r = 0.482 |
| p = 0.343 | p = 0.158 | |
| Zone 3 | r = 0.327 | r = 0.446 |
| p = 0.356 | p = 0.196 | |
| Zone 4 | r = 0.339 | r = 0.475 |
| p = 0.337 | p = 0.165 | |
| Zone 5 | r = 0.380 | r = 0.473 |
| p = 0.279 | p = 0.168 |
Disclaimer/Publisher’s Note: The statements, opinions and data contained in all publications are solely those of the individual author(s) and contributor(s) and not of MDPI and/or the editor(s). MDPI and/or the editor(s) disclaim responsibility for any injury to people or property resulting from any ideas, methods, instructions or products referred to in the content. |
© 2023 by the authors. Licensee MDPI, Basel, Switzerland. This article is an open access article distributed under the terms and conditions of the Creative Commons Attribution (CC BY) license (https://creativecommons.org/licenses/by/4.0/).
Share and Cite
Panagiotopoulou, F.-V.; Michailidis, Y.; Mandroukas, A.; Mavropoulos, A.; Tsimaras, V.; Nikolaidis, P.T.; Christoulas, K.; Metaxas, T. Match Running Performance Profile and Heart Rate Response in Amputee Soccer Players. Int. J. Environ. Res. Public Health 2023, 20, 6357. https://doi.org/10.3390/ijerph20146357
Panagiotopoulou F-V, Michailidis Y, Mandroukas A, Mavropoulos A, Tsimaras V, Nikolaidis PT, Christoulas K, Metaxas T. Match Running Performance Profile and Heart Rate Response in Amputee Soccer Players. International Journal of Environmental Research and Public Health. 2023; 20(14):6357. https://doi.org/10.3390/ijerph20146357
Chicago/Turabian StylePanagiotopoulou, Foteini-Vasiliki, Yiannis Michailidis, Athanasios Mandroukas, Aris Mavropoulos, Vasilios Tsimaras, Pantelis T. Nikolaidis, Kosmas Christoulas, and Thomas Metaxas. 2023. "Match Running Performance Profile and Heart Rate Response in Amputee Soccer Players" International Journal of Environmental Research and Public Health 20, no. 14: 6357. https://doi.org/10.3390/ijerph20146357
APA StylePanagiotopoulou, F.-V., Michailidis, Y., Mandroukas, A., Mavropoulos, A., Tsimaras, V., Nikolaidis, P. T., Christoulas, K., & Metaxas, T. (2023). Match Running Performance Profile and Heart Rate Response in Amputee Soccer Players. International Journal of Environmental Research and Public Health, 20(14), 6357. https://doi.org/10.3390/ijerph20146357

