MIDAS: A Benchmarking Multi-Criteria Method for the Identification of Defective Anemometers in Wind Farms
Abstract
1. Introduction
- Momentum transfer: cups, propellers, and pressure plates;
- Pressure on stationary sensors: Pitot tubes and drag spheres;
- Heat transfer: hot wires and hot films;
- Doppler effects: acoustics and laser;
- Ultrasonic devices, etc.
2. Data and Methodology
2.1. Data
2.1.1. ERA5 Reanalysis
2.1.2. Wind Farm
- Wind speed + direction measurements from the 10 anemometers were transformed into U-V values
- At the anemometers, values were taken every ten minutes, while ERA5 records were available only at hourly steps. To arrange both groups of data (ERA5, 10 anemometers) on the same timeline, only 1 in 6 measurements from the anemometers were considered.
- Finally, ERA5 only provided wind U-V values at a height of 10 and 100 m above the terrain and not at 137 m (hub/anemometer height), so following the log law, ERA5 U-V values at 137 m were derived.
2.2. Methodology
2.2.1. Multidimensional Probability Density Function Estimator
- First, it allows us to evaluate simultaneously the probability density function of different components of the wind from different wind-measuring devices, since it supports the analysis of multiple dimensions.
- Second, despite the fact that well-known statistical tests exist for the comparison of observed and simulated probability distribution functions (e.g., the Kolmogorov–Smirnov test or comparison of Weibull distributions [31]), it is also well known that the univariate Kolmogorov–Smirnov test cannot be easily extended to several dimensions above two or even three [32,33]. The use of a kernel-based multidimensional probability density function is a more general strategy that can be used very flexibly with a higher number of dimensions.
- Finally, the use of a very efficient algorithm [28] makes it also computationally feasible.
- First, the optimal bandwidth that must be used in the estimation of the MPDF was derived by means of smoothed bootstrap, since the Epanechnikov kernel used does not naturally lead to a simple solution by means of cross-validation.
- Second, for the U and V components of wind-measuring devices, the corresponding two-dimensional probability density function was computed.
- Finally, the common volume under both multidimensional PDFs was computed for the combination of wind-measuring devices.
2.2.2. Wind Roses
2.2.3. Taylor Diagrams
- Root mean squared error (), represented by the arcs with the center in the observation point;
- Pearson correlation coefficient, represented by the exterior arc; and
- The ratio of standard deviations between the model and the observation (ratio), represented by the interior arc in the case of ratio = 1.
2.2.4. Running Correlation, Running , and Running Bias
2.2.5. Principal Component Analysis
3. Results
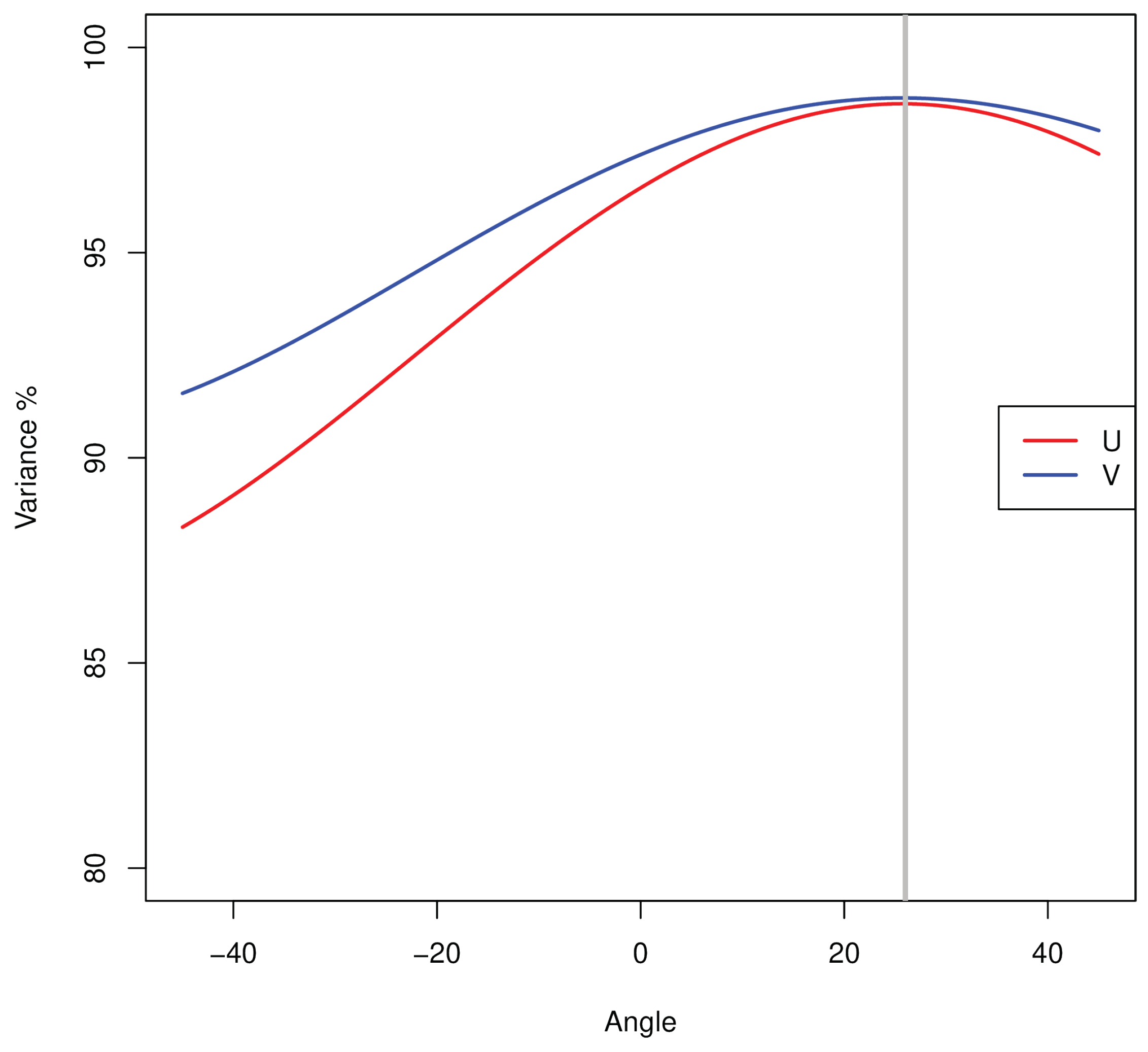
3.1. Kernel-Based Bi-Dimensional PDF Estimator
3.2. Wind Roses
3.3. Taylor Diagrams
3.4. Running Statistical Indicators
3.5. Principal Component Analysis
4. Discussion
5. Conclusions and Future Outlook
- The first and main step is based on a new multi-dimensional probability density estimator computing a similarity score between the analyzed anemometers and the data offered by also the new ERA5 reanalysis. This allows a first division between defective anemometers and the group of anemometers with suitable behavior.
- Having identified the group of suitable anemometers, these can be used as a reference for the application of other statistical and visualization techniques. In this way, we pass from a reference at a meso-scale level (ERA5) to an in situ reference at a micro-scale level in the wind farm.
- Although the expected results against all of the faultless anemometers should be very similar, it is convenient to certify this aspect. If so, it will be enough to show the representations against one of the faultless anemometers.
- Taylor diagrams and running plots for correlation, , and bias show coherent results compared to the results of the MPDF score. Furthermore, the PCA components also show very robust results.
- The feedback of these additional validations can reinforce, as in the studied case, the validity of the first MPDF score against ERA5.
Author Contributions
Funding
Conflicts of Interest
Abbreviations
| MIDAS | multi-technique identification of defective anemometers |
| WIC | worst-in-class anemometer |
| roughness of the terrain | |
| root mean squared error | |
| MPDF | multidimensional probability density function |
| probability density function | |
| U | zonal wind speed |
| V | meridional wind speed |
| wind speed’s module | |
| standard deviation | |
| O&M | operation and maintenance |
| PCA | principal component analysis |
| EOF | empirical orthogonal function |
| annual energy production | |
| SODAR | sonic detection and ranging |
| CFD | computational fluid dynamics |
| LiDAR | light detection and ranging |
References
- Arcos Jiménez, A.; Gómez Muñoz, C.Q.; García Márquez, F.P. Machine learning for wind turbine blades maintenance management. Energies 2017, 11, 13. [Google Scholar] [CrossRef]
- Tchakoua, P.; Wamkeue, R.; Ouhrouche, M.; Slaoui-Hasnaoui, F.; Tameghe, T.A.; Ekemb, G. Wind turbine condition monitoring: State-of-the-art review, new trends, and future challenges. Energies 2014, 7, 2595–2630. [Google Scholar] [CrossRef]
- Gómez Muñoz, C.Q.; García Márquez, F.P. A new fault location approach for acoustic emission techniques in wind turbines. Energies 2016, 9, 40. [Google Scholar] [CrossRef]
- Nielsen, J.S.; Sørensen, J.D. Methods for risk-based planning of O&M of wind turbines. Energies 2014, 7, 6645–6664. [Google Scholar]
- Golding, E.W. The Generation of Electricity by Wind Power; Spon: Hamburg, Germany, 1956. [Google Scholar]
- Hiester, T.; Pennell, W. Meteorological Aspects of Siting Large Wind Turbines; Technical Report; Battelle Pacific Northwest Labs.: Richland, WA, USA, 1981.
- Rohatgi, J.S.; Nelson, V. Wind Characteristics: An Analysis for the Generation of Wind Power; Alternative Energy Institute, West Texas A&M University: Canyon, TX, USA, 1994. [Google Scholar]
- American Wind Energy Association. Standard Performance Testing of Wind Energy Conversion Systems; Amerian Wind Energy Association: Washington, DC, USA, 1988. [Google Scholar]
- Bailey, B.H. Wind Resource Assessment Handbook; NREL: Golden, CO, USA, 1997.
- Rehman, S.; Mohandes, M.A.; Alhems, L.M. Wind speed and power characteristics using LiDAR anemometer based measurements. Sustain. Energy Technol. Assess. 2018, 27, 46–62. [Google Scholar] [CrossRef]
- Khan, K.S.; Tariq, M. Wind resource assessment using SODAR and meteorological mast—A case study of Pakistan. Renew. Sustain. Energy Rev. 2018, 81, 2443–2449. [Google Scholar] [CrossRef]
- González-Longatt, F.; González, J.S.; Payán, M.B.; Santos, J.M.R. Wind-resource atlas of Venezuela based on on-site anemometry observation. Renew. Sustain. Energy Rev. 2014, 39, 898–911. [Google Scholar] [CrossRef]
- Song, M.; Chen, K.; He, Z.; Zhang, X. Wind resource assessment on complex terrain based on observations of a single anemometer. J. Wind Eng. Ind. Aerodyn. 2014, 125, 22–29. [Google Scholar] [CrossRef]
- Baseer, M.A.; Meyer, J.P.; Rehman, S.; Alam, M.M.; Al-Hadhrami, L.M.; Lashin, A. Performance evaluation of cup-anemometers and wind speed characteristics analysis. Renew. Energy 2016, 86, 733–744. [Google Scholar] [CrossRef]
- Kristensen, L. The perennial cup anemometer. Wind Energy An Int. J. Prog. Appl. Wind Power Convers. Technol. 1999, 2, 59–75. [Google Scholar] [CrossRef]
- Han, X.; Liu, D.; Xu, C.; Shen, W.Z. Atmospheric stability and topography effects on wind turbine performance and wake properties in complex terrain. Renew. Energy 2018, 126, 640–651. [Google Scholar] [CrossRef]
- Elosegui, U.; Egana, I.; Ulazia, A.; Ibarra, G. Pitch angle misalignment correction based on benchmarking and laser scanner measurement in wind farms. Energies 2018, 11, 3357. [Google Scholar] [CrossRef]
- Dai, J.; Yang, X.; Hu, W.; Wen, L.; Tan, Y. Effect investigation of yaw on wind turbine performance based on SCADA data. Energy 2018, 149, 684–696. [Google Scholar] [CrossRef]
- Elosegui, U.; Ulazia, A. Novel on-field method for pitch error correction in wind turbines. Energy Procedia 2017, 142, 9–16. [Google Scholar] [CrossRef]
- Elosegui, U.; Elosegui, J. Method for Calculating and Correcting the Angle of Attack in a Wind Turbine Farm. 2013. PCT/ES/2013/070752. Available online: https://patentscope.wipo.int/search/en/detail.jsf?docId=WO2014068162&redirectedID=true (accessed on 12 November 2018).
- Pindado, S.; Barrero-Gil, A.; Sanz, A. Cup anemometers’ Loss of performance due to ageing processes, and its effect on Annual Energy Production (AEP) estimates. Energies 2012, 5, 1664–1685. [Google Scholar] [CrossRef]
- Pindado, S.; Vega, E.; Martínez, A.; Meseguer, E.; Franchini, S.; Sarasola, I.P. Analysis of calibration results from cup and propeller anemometers. Influence on wind turbine Annual Energy Production (AEP) calculations. Wind Energy 2011, 14, 119–132. [Google Scholar] [CrossRef]
- Roibas-Millan, E.; Cubas, J.; Pindado, S. Studies on cup anemometer performances carried out at idr/upm institute. past and present research. Energies 2017, 10, 1860. [Google Scholar] [CrossRef]
- Hersbach, H. The ERA5 Atmospheric Reanalysis; American Geophysical Union: San Francisco, CA, USA, 2016. [Google Scholar]
- Olauson, J. ERA5: The new champion of wind power modelling? Renew. Energy 2018, 126, 322–331. [Google Scholar] [CrossRef]
- Manwell, J.F.; McGowan, J.G.; Rogers, A.L. Wind Energy Explained: Theory, Design and Application; John Wiley & Sons: Hoboken, NJ, USA, 2010. [Google Scholar]
- Gryning, S.E.; Batchvarova, E.; Brümmer, B.; Jørgensen, H.; Larsen, S. On the extension of the wind profile over homogeneous terrain beyond the surface boundary layer. Bound.-Layer Meteorol. 2007, 124, 251–268. [Google Scholar] [CrossRef]
- Lopez-Novoa, U.; Sáenz, J.; Mendiburu, A.; Miguel-Alonso, J.; Errasti, I.; Esnaola, G.; Ezcurra, A.; Ibarra-Berastegi, G. Multi-objective environmental model evaluation by means of multidimensional kernel density estimators: Efficient and multi-core implementations. Environ. Model. Softw. 2015, 63, 123–136. [Google Scholar] [CrossRef]
- Maxino, C.; McAvaney, B.; Pitman, A.; Perkins, S. Ranking the AR4 climate models over the Murray-Darling Basin using simulated maximum temperature, minimum temperature and precipitation. Int. J. Climatol. J. R. Meteorol. Soc. 2008, 28, 1097–1112. [Google Scholar] [CrossRef]
- Perkins, S.; Pitman, A.; Holbrook, N.; McAneney, J. Evaluation of the AR4 climate models’ simulated daily maximum temperature, minimum temperature, and precipitation over Australia using probability density functions. J. Clim. 2007, 20, 4356–4376. [Google Scholar] [CrossRef]
- Cassity, J.; Aven, C.; Parker, D. Applying weibull distribution and discriminant function techniques to predict damaged cup anemometers in the 2011 PHM competition. Int. J. Progn. Heal. Manag 2012, 3, 1–7. [Google Scholar]
- Fasano, G.; Franceschini, A. A multidimensional version of the Kolmogorov–Smirnov test. Mon. Not. R. Astron. Soc. 1987, 225, 155–170. [Google Scholar] [CrossRef]
- Lopes, R.H.; Hobson, P.R.; Reid, I.D. Computationally efficient algorithms for the two-dimensional Kolmogorov–Smirnov test. J. Phys. Conf. Ser. 2008, 119, 042019. [Google Scholar] [CrossRef]
- Taylor, K.E. Summarizing multiple aspects of model performance in a single diagram. J. Geophys. Res. Atmos. 2001, 106, 7183–7192. [Google Scholar] [CrossRef]
- Castellani, F.; Astolfi, D.; Piccioni, E.; Terzi, L. Numerical and experimental methods for wake flow analysis in complex terrain. J. Phys. Conf. Ser. 2015, 625, 012042. [Google Scholar] [CrossRef]
- Bowen, A.J.; Mortensen, N.G. Exploring the limits of WAsP: The wind atlas analysis and application program. In Proceedings of the 1996 European Union Wind Energy Conference, Göteborg, Sweden, 20–24 May 1996; pp. 20–24. [Google Scholar]
- Jiménez, P.A.; Navarro, J.; Palomares, A.M.; Dudhia, J. Mesoscale modeling of offshore wind turbine wakes at the wind farm resolving scale: A composite-based analysis with the Weather Research and Forecasting model over Horns Rev. Wind Energy 2015, 18, 559–566. [Google Scholar] [CrossRef]
- Lubitz, W.D.; Michalak, A. Experimental and theoretical investigation of tower shadow impacts on anemometer measurements. J. Wind Eng. Ind. Aerodyn. 2018, 176, 112–119. [Google Scholar] [CrossRef]
- Djuric, D. Weather Analysis; Prentice Hall: Englewood Cliffs, NJ, USA, 1994; Volume 304. [Google Scholar]
- Dee, D.P.; Uppala, S.M.; Simmons, A.; Berrisford, P.; Poli, P.; Kobayashi, S.; Andrae, U.; Balmaseda, M.; Balsamo, G.; Bauer, D.P.; et al. The ERA-Interim reanalysis: Configuration and performance of the data assimilation system. Q. J. R. Meteorol. Soc. 2011, 137, 553–597. [Google Scholar] [CrossRef]
- Ulazia, A.; Penalba, M.; Rabanal, A.; Ibarra-Berastegi, G.; Ringwood, J.; Sáenz, J. Historical Evolution of the Wave Resource and Energy Production off the Chilean Coast over the 20th Century. Energies 2018, 11, 2289. [Google Scholar] [CrossRef]
- Ulazia, A.; Penalba, M.; Ibarra-Berastegui, G.; Ringwood, J.; Saénz, J. Wave energy trends over the Bay of Biscay and the consequences for wave energy converters. Energy 2017, 141, 624–634. [Google Scholar] [CrossRef]
- Penalba, M.; Ulazia, A.; Ibarra-Berastegui, G.; Ringwood, J.; Sáenz, J. Wave energy resource variation off the west coast of Ireland and its impact on realistic wave energy converters’ power absorption. Appl. Energy 2018, 224, 205–219. [Google Scholar] [CrossRef]
- R: A Language and Environment for Statistical Computing. 2013. Available online: http://softlibre.unizar.es/manuales/aplicaciones/r/fullrefman.pdf (accessed on 15 November 2018).









© 2018 by the authors. Licensee MDPI, Basel, Switzerland. This article is an open access article distributed under the terms and conditions of the Creative Commons Attribution (CC BY) license (http://creativecommons.org/licenses/by/4.0/).
Share and Cite
Rabanal, A.; Ulazia, A.; Ibarra-Berastegi, G.; Sáenz, J.; Elosegui, U. MIDAS: A Benchmarking Multi-Criteria Method for the Identification of Defective Anemometers in Wind Farms. Energies 2019, 12, 28. https://doi.org/10.3390/en12010028
Rabanal A, Ulazia A, Ibarra-Berastegi G, Sáenz J, Elosegui U. MIDAS: A Benchmarking Multi-Criteria Method for the Identification of Defective Anemometers in Wind Farms. Energies. 2019; 12(1):28. https://doi.org/10.3390/en12010028
Chicago/Turabian StyleRabanal, Arkaitz, Alain Ulazia, Gabriel Ibarra-Berastegi, Jon Sáenz, and Unai Elosegui. 2019. "MIDAS: A Benchmarking Multi-Criteria Method for the Identification of Defective Anemometers in Wind Farms" Energies 12, no. 1: 28. https://doi.org/10.3390/en12010028
APA StyleRabanal, A., Ulazia, A., Ibarra-Berastegi, G., Sáenz, J., & Elosegui, U. (2019). MIDAS: A Benchmarking Multi-Criteria Method for the Identification of Defective Anemometers in Wind Farms. Energies, 12(1), 28. https://doi.org/10.3390/en12010028

