Ucuùba (Virola surinamensis) Fat-Based Nanostructured Lipid Carriers for Nail Drug Delivery of Ketoconazole: Development and Optimization Using Box-Behnken Design
Abstract
1. Introduction
2. Materials and Methods
2.1. Materials
2.2. Ucuùba Fat NLC Preparation
2.3. Experimental Design
2.4. Ucuùba Fat NLC Characterization
2.4.1. Particle Size Distribution
2.4.2. Zeta Potential
2.4.3. Encapsulation Efficiency (EE)
2.4.4. Nanoparticles Morphology
2.4.5. In vitro Drug Release
2.4.6. Differential Scanning Calorimetry (DSC)
2.4.7. X-ray Diffraction (XRD)
2.4.8. Infrared Spectroscopy
3. Results
3.1. Design of Experiment
3.1.1. Particle Size
3.1.2. Polydispersity Index (PDI)
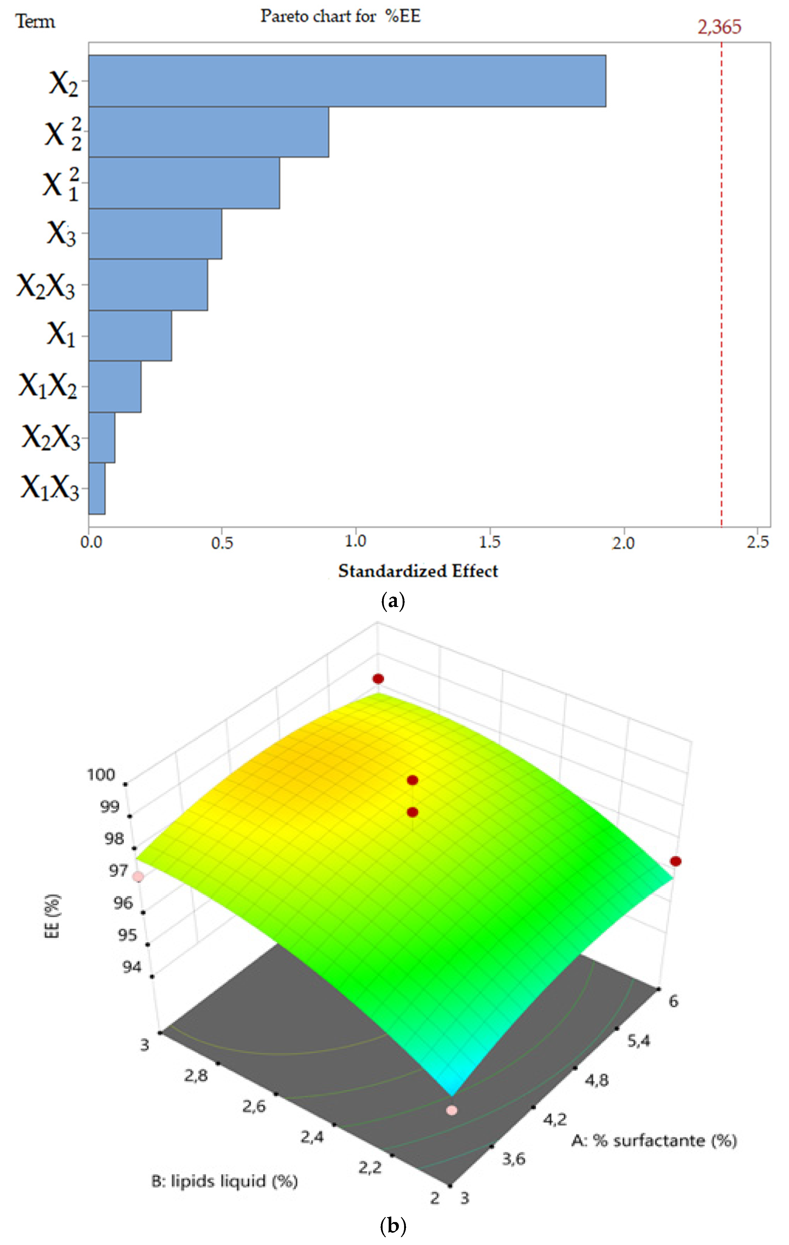
3.1.3. Ketoconazole Encapsulation Efficiency (EE)
3.1.4. Formulation Optimization and Model Validation
3.2. Stability Study of Ucuùba Fat NLC Prepared According to the Optimized Conditions
3.3. In Vitro Drug Release
3.4. Solid State Analysis
3.4.1. Differential Scanning Calorimetry (DSC)
3.4.2. X-ray Diffraction (XRD)
3.4.3. Furrier-Transform Infrared Spectroscopy (FTIR)
4. Discussion
5. Conclusions
Author Contributions
Funding
Conflicts of Interest
References
- Murdan, S. Drug delivery to the nail following topical application. Int. J. Pharm. 2002, 236, 1–26. [Google Scholar] [CrossRef]
- McAuley, W.J.; Jones, S.A.; Traynor, M.J.; Guesné, S.; Murdan, S.; Brown, M.B. An investigation of how fungal infection influences drug penetration through onychomycosis patient’s nail plates. Eur. J. Pharm. Biopharm. 2016, 102, 178–184. [Google Scholar] [CrossRef] [PubMed]
- Laffleur, F.; Ataii, M. Preparation and evaluation of a novel dosage form for onychomycosis. Int. J. Pharm. 2017, 518, 105–110. [Google Scholar] [CrossRef] [PubMed]
- Mahtab, A.; Anwar, M.; Mallick, N.; Naz, Z.; Jain, G.K.; Ahmad, F.J. Transungual Delivery of Ketoconazole Nanoemulgel for the Effective Management of Onychomycosis. AAPS Pharmscitech 2016, 17, 1477–1490. [Google Scholar] [CrossRef] [PubMed]
- Gunt, H.B.; Kasting, G.B. Effect of hydration on the permeation of ketoconazole through human nail plate in vitro. Eur. J. Pharm. Sci. 2007, 32, 254–260. [Google Scholar] [CrossRef] [PubMed]
- Lin, C.; Wedeen, V.J.; Chen, J.; Yao, C.; Tseng, W.I. Validation of diffusion spectrum magnetic resonance imaging with manganese-enhanced rat optic tracts and ex vivo phantoms. NeuroImage 2003, 19, 482–495. [Google Scholar] [CrossRef]
- Bseiso, E.A.; Nasr, M.; Sammour, O.A.; Abd El Gawad, N.A. Novel nail penetration enhancer containing vesicles “nPEVs” for treatment of onychomycosis. Drug Deliv. 2016, 23, 2813–2819. [Google Scholar] [CrossRef]
- Kumar, S.; Randhawa, J.K. High melting lipid based approach for drug delivery: Solid lipid nanoparticles. Mater. Sci. Eng. 2013, 33, 1842–1852. [Google Scholar] [CrossRef]
- Müller, R.H.; Radtke, M.; Wissing, S.A. Solid lipid nanoparticles (SLN) and nanostructured lipid carriers (NLC) in cosmetic and dermatological preparations. Adv. Drug Deliv. Rev. 2002, 54, 131–155. [Google Scholar] [CrossRef]
- Müller, R.H.; Mäder, K.; Gohla, S. Solid lipid nanoparticles (SLN) for controlled drug delivery: A review of the state of the art. Eur. J. Pharm. Biopharm. 2000, 50, 161–177. [Google Scholar] [CrossRef]
- Jenning, V.; Gysler, A.; Schafer-Korting, M.; Gohla, S.H. Vitamin A loaded solid lipid nanopartcles for topical use: Occlusive properties and drug trageting to the upper skin. Eur. J. Pharm. Biopharm. 2000, 49, 211–218. [Google Scholar] [CrossRef]
- Garcês, A.; Amaral, M.H.; Sousa Lobo, J.M.; Silva, A.C. Formulations based on solid lipid nanoparticles (SLN) and nanostructured lipid carriers (NLC) for cutaneous use: A review. Eur. J. Pharm. Sci. 2017, 112, 159–167. [Google Scholar] [CrossRef]
- Rocha, K.A.D.; Krawczyk-Santos, A.P.; Andrade, L.M.; de Souza, L.C.; Marreto, R.N.; Gratieri, T.; Taveira, S.F. Voriconazole-loaded nanostructured lipid carriers (NLC) for drug delivery in deeper regions of the nail plate. Int. J. Pharm. 2017, 531, 292–298. [Google Scholar] [CrossRef] [PubMed]
- Venturini, C.G.; Bruinsmann, F.A.; Contri, R.V.; Fonseca, F.N.; Frank, L.A.; D’Amore, C.M.; Raffin, R.P.; Buffon, A.; Pohlmann, A.R.; Guterres, S.S. Co-encapsulation of imiquimod and copaiba oil in novel nanostructured systems: Promising formulations against skin carcinoma. Eur. J. Pharm. Sci. 2015, 79, 36–43. [Google Scholar] [CrossRef] [PubMed]
- Pinto, F.; de Barros, D.P.C.; Fonseca, L.P. Design of multifunctional nanostructured lipid carriers enriched with α-tocopherol using vegetable oils. Ind. Crops Prod. 2018, 118, 149–159. [Google Scholar] [CrossRef]
- Pardauil, J.J.R.; de Molfetta, F.A.; Braga, M.; de Souza, L.K.C.; Filho, G.N.R.; Zamian, J.R.; da Costa, C.E.F. Characterization, thermal properties and phase transitions of amazonian vegetable oils. J. Therm. Anal. Calorim. 2016, 1–9. [Google Scholar] [CrossRef]
- Lourith, N.; Kanlayavattanakul, M.; Mongkonpaibool, K.; Butsaratrakool, T.; Chinmuang, T. Rambutan seed as a new promising unconventional source of specialty fat for cosmetics. Ind. Crops Prod. 2016, 83, 149–154. [Google Scholar] [CrossRef]
- Stecanella, L.A.; Taveira, S.F.; Marreto, R.N.; Valadares, M.C.; de Sousa Vieira, M.; Kato, M.J.; Lima, E.M. Development and characterization of PLGA nanocapsules of grandisin isolated from Virola surinamensis: In vitro release and cytotoxicity studies. Rev. Bras. Farmacogn. 2013, 23, 153–159. [Google Scholar] [CrossRef]
- Serra, J.L.; Silva, L.H.M.D.; Meirelles, A.J.A.; Darnet, S.H.; de Freitas, R.A.; Rodrigues, A.M.D.C. Alternative sources of oils and fats from Amazonian plants: Fatty acids, methyl tocols, total carotenoids and chemical composition. Food Res. Int. 2018, 116, 12–19. [Google Scholar] [CrossRef]
- Lopes, N.P.; Kato, M.J.; Yoshida, M. Antifungal constituents from roots of Virolasurinamensis. Phytochemistry 1999, 51, 29–33. [Google Scholar] [CrossRef]
- Pagnocca, F.C.; Ribeiro, S.B.; Torkomian, V.L.V.; Hebling, M.J.A.; Bueno, O.C.; Da Silva, O.A.; Fernandes, J.B.; Vieira, P.C.; Da Silva, M.F.D.G.F.; Ferreira, A.G. Toxicity of lignans to symbiotic fungus of leaf-cutting ants. J. Chem. Ecol. 1996, 22, 1325–1330. [Google Scholar] [CrossRef] [PubMed]
- Zacchino, S.; Rodríguez, G.; Pezzenati, G.; Orellana, G.; Enriz, R.; Sierra, M.G. In vitro evaluation of antifungal properties of 8.O.4’-Neolignans. J. Nat. Prod. 1997, 60, 659–662. [Google Scholar] [CrossRef] [PubMed]
- Hao, J.; Fang, X.; Zhou, Y.; Wang, J.; Guo, F.; Li, F.; Peng, X. Development and optimization of solid lipid nanoparticle formulation for ophthalmic delivery of chloramphenicol using a Box-Behnken design. Int. J. Nanomed. 2011, 6, 683–692. [Google Scholar] [CrossRef]
- Baig, M.S.; Ahad, A.; Aslam, M.; Imam, S.S.; Aqil, M.; Ali, A. Application of Box-Behnken design for preparation of levofloxacin-loaded stearic acid solid lipid nanoparticles for ocular delivery: Optimization, in vitro release, ocular tolerance, and antibacterial activity. Int. J. Biol. Macromol. 2016, 85, 258–270. [Google Scholar] [CrossRef] [PubMed]
- Badawi, N.M.; Hteaima, M.H.; El-Say, K.M.; Aattia, D.A.; Ael-Nabarawi, M.A.; Elmazar, M.M. Pomegranate extract-loaded solid lipid nanoparticles: Design, optimization, and in vitro cytotoxicity study. Int. J. Nanomed. 2018, 13, 1313–1326. [Google Scholar] [CrossRef] [PubMed]
- Wani, T.A.; Ahmad, A.; Zargar, S.; Khalil, N.Y.; Darwish, I.A. Use of response surface methodology for development of new microwell-based spectrophotometric method for determination of atrovastatin calcium in tablets. Chem. Cent. J. 2012, 6, 134. [Google Scholar] [CrossRef] [PubMed]
- Asghar, A.; Abdul Raman, A.A.; Daud, W.M.A.W. A comparison of central composite design and Taguchi method for optimizing Fenton process. Sci. World J. 2014, 2014, 869120. [Google Scholar] [CrossRef]
- Pradhan, M.; Singh, D.; Singh, M.R. Fabrication, optimization and characterization of Triamcinolone acetonide loaded nanostructured lipid carriers for topical treatment of psoriasis: Application of Box Behnken design, in vitro and ex vivo studies. J. Drug Deliv. Sci. Technol. 2017, 41, 325–333. [Google Scholar] [CrossRef]
- Shen, S. High drug-loading nanomedicines: Progress, current status, and prospects. Int. J. Nanomed. 2017, 4085–4109. [Google Scholar] [CrossRef]
- Bruinsmann, F.A.; Pigana, S.; Aguirre, T.; Souto, G.D.; Pereira, G.G.; Bianchera, A.; Fasiolo, L.T.; Colombo, G.; Marques, M.; Pohlmann, A.R.; et al. Chitosan-coated nanoparticles: Effect of chitosan molecular weight on nasal transmucosal delivery. Pharmaceutics 2019, 11, 203. [Google Scholar] [CrossRef]
- Severino, P.; Santana, M.H.A.; Souto, E.B. Optimizing SLN and NLC by 2 (2) full factorial design: Effect of homogenization technique. Mater. Sci. Eng. C 2012, 32, 1375–1379. [Google Scholar] [CrossRef] [PubMed]
- Junyaprasert, V.B.; Teeranachaideekul, V.; Souto, E.B.; Boonme, P.; Müller, R.H. Q10-loaded NLC versus nanoemulsions: Stability, rheology and in vitro skin permeation. Int. J. Pharm. 2009, 377, 207–214. [Google Scholar] [CrossRef] [PubMed]
- Dos Santos Costa, M.N.F.; Muniz, M.A.P.; Negrão, C.A.B.; Da Costa, C.E.F.; Lamarão, M.L.N.; Morais, L.; Silva Júnior, J.O.C.; Ribeiro Costa, R.M. Characterization of Pentaclethra macroloba oil: Thermal stability, gas chromatography and Rancimat. J. Therm. Anal. Calorim. 2014, 115, 2269–2275. [Google Scholar] [CrossRef]
- Bhattacharjee, S. DLS and zeta potential – What they are and what they are not? J. Control. Release 2016, 235, 337–351. [Google Scholar] [CrossRef] [PubMed]
- Del Rio, J.C.; Evaristo, A.B.; Marques, G.; Martín-Ramos, P.; Martín-Gil, J.; Gutierrez, A. Chemical composition and thermal behavior of the pulp and kernel oils from macauba palm (Acrocomia aculeata) fruit. Ind. Crops Prod. 2016, 84, 294–304. [Google Scholar] [CrossRef]
- Shapaval, V.; Afseth, N.K.; Vogt, G.; Kohler, A. Fourier transform infrared spectroscopy for the prediction of fatty acid profiles in Mucor fungi grown in media with different carbon sources. Microb. Cell Factories 2014, 13, 1–11. [Google Scholar] [CrossRef] [PubMed]
- Karolewicz, B.; Górniak, A.; Owczarek, A.; Zurawska-Płaksej, E.; Piwowar, A.; Pluta, J. Thermal, spectroscopic, and dissolution studies of ketoconazole-Pluronic F127 system. J. Therm. Anal. Calorim. 2014, 115, 2487–2493. [Google Scholar] [CrossRef]
- Csóka, I.; Pallagi, E.; Paál, T.L. Extension of quality-by-design concept to the early development phase of pharmaceutical R&D processes. Drug Discov. Today 2018, 23, 1340–1343. [Google Scholar] [CrossRef]
- Politis, S.N.; Colombo, P.; Colombo, G.; Rekkas, D.M. Design of experiments (DoE) in pharmaceutical development. Drug Dev. Ind. Pharm. 2017, 43, 889–901. [Google Scholar] [CrossRef]
- Oh, G.H.; Park, J.H.; Shin, H.W.; Kim, J.E.; Park, Y.J. Quality-by-design approach for the development of telmisartan potassium tablets. Drug Dev. Ind. Pharm. 2018, 44, 837–848. [Google Scholar] [CrossRef]
- Politis, S.N.; Rekkas, D.M. Development of a fast, lean and agile direct pelletization process using experimental design techniques. Drug Dev. Ind. Pharm. 2017, 43, 545–557. [Google Scholar] [CrossRef] [PubMed]
- Bakonyi, M.; Berkó, S.; Kovács, A.; Budai-Szűcs, M.; Kis, N.; Erős, G.; Csóka, I.; Csányi, E. Application of quality by design principles in the development and evaluation of semisolid drug carrier systems for the transdermal delivery of lidocaine. J. Drug Deliv. Sci. Technol. 2018, 44, 136–145. [Google Scholar] [CrossRef]
- Belotti, S.; Rossi, A.; Colombo, P.; Bettini, R.; Rekkas, D.; Politis, S.; Colombo, G.; Balducci, A.G.; Buttini, F. Spray dried amikacin powder for inhalation in cystic fibrosis patients: A quality by design approach for product construction. Int. J. Pharm. 2014, 471, 507–515. [Google Scholar] [CrossRef] [PubMed]
- Eaton, M.A.W.; Levy, L.; Fontaine, O.M.A. Delivering nanomedicines to patients: A practical guide. Nanomed. Nanotechnol. Biol. Med. 2015, 11, 983–992. [Google Scholar] [CrossRef] [PubMed]
- Garrastazu Pereira, G.; Rawling, T.; Pozzoli, M.; Pazderka, C.; Chen, Y.; Dunstan, C.; Murray, M.; Sonvico, F. Nanoemulsion-Enabled Oral Delivery of Novel Anticancer ω-3 Fatty Acid Derivatives. Nanomaterials 2018, 8, 825. [Google Scholar] [CrossRef]
- Uner, M.; Damgalı, S.; Ozdemir, S.; Celik, B. Therapeutic potential of drug delivery by means of lipid nanoparticles: Reality or illusion? Curr. Pharm. Des. 2017, 23, 6573–6591. [Google Scholar] [CrossRef]
- Rossi, I.; Sonvico, F.; McConville, J.T.; Rossi, F.; Fröhlich, E.; Zellnitz, S.; Rossi, A.; Del Favero, E.; Bettini, R.; Buttini, F. Nebulized coenzyme Q10nanosuspensions: A versatile approach for pulmonary antioxidant therapy. Eur. J. Pharm. Sci. 2018, 113, 159–170. [Google Scholar] [CrossRef]
- Sánchez-lópez, E.; Espina, M.; Doktorovova, S.; Souto, E.B.; García, M.L. Lipid nanoparticles (SLN, NLC): Overcoming the anatomical and physiological barriers of the eye – Part II - Ocular drug-loaded lipid nanoparticles. Eur. J. Pharm. Biopharm. 2017, 110, 58–69. [Google Scholar] [CrossRef]
- Comfort, C.; Garrastazu, G.; Pozzoli, M.; Sonvico, F. Opportunities and Challenges for the Nasal Administration of Nanoemulsions. Curr. Top. Med. Chem. 2015, 15, 356–368. [Google Scholar] [CrossRef]
- Müller, R.H.; Shegokar, R.; Keck, C.M. 20 Years of Lipid Nanoparticles (SLN & NLC): Present State of Development & Industrial Applications. Curr. Drug Discov. Technol. 2011, 207–227. [Google Scholar] [CrossRef]
- Agyralides, G.G.; Dallas, P.P.; Rekkas, D.M. Development and in vitro evaluation of furosemide transdermal formulations using experimental design techniques. Int. J. Pharm. 2004, 281, 35–43. [Google Scholar] [CrossRef] [PubMed]
- Pradhan, M.; Singh, D.; Murthy, S.N.; Singh, M.R. Design, characterization and skin permeating potential of Fluocinolone acetonide loaded nanostructured lipid carriers for topical treatment of psoriasis. Steroids 2015, 101, 56–63. [Google Scholar] [CrossRef] [PubMed]
- Mehmood, T.; Ahmad, A.; Ahmed, A.; Ahmed, Z. Optimization of olive oil based O/W nanoemulsions prepared through ultrasonic homogenization: A response surface methodology approach. Food Chem. 2017, 229, 790–796. [Google Scholar] [CrossRef] [PubMed]
- Grimaudo, M.A.; Pescina, S.; Padula, C.; Santi, P.; Concheiro, A.; Alvarez-Lorenzo, C.; Nicoli, S. Poloxamer 407/TPGS Mixed Micelles as Promising Carriers for Cyclosporine Ocular Delivery. Mol. Pharm. 2018, 15, 571–584. [Google Scholar] [CrossRef] [PubMed]
- Belhachemi, M.H.; Boucherit, K.; Boucherit-Otmani, Z.; Belmir, S.; Benbekhti, Z. Effects of ascorbic acid and α-tocopherol on the therapeutic index of amphotericin B. J. Mycol. Méd. 2014, 24, e137–e142. [Google Scholar] [CrossRef] [PubMed]
- Pandolfe, W.D. Effect of dispersed and continuous phase viscosity on droplet size of emulsions generated by homogenization. J. Dispers. Sci. Technol. 1981, 2, 459–474. [Google Scholar] [CrossRef]
- Mun, A.; Ping, C.; Lin, K. Physicochemical, oxidative and anti-oxidant stabilities of kenaf seed oil-in-water nanoemulsions under different storage temperatures. Ind. Crops Prod. 2017, 95, 374–382. [Google Scholar] [CrossRef]
- Tamjidi, F.; Shahedi, M.; Varshosaz, J.; Nasirpour, A. Nanostructured lipid carriers (NLC): A potential delivery system for bioactive food molecules. Innov. Food Sci. Emerg. Technol. 2013, 19, 29–43. [Google Scholar] [CrossRef]
- Souto, E.B.; Mehnert, W.; Müller, R.H. Polymorphic behaviour of Compritol 888 ATO as bulk lipid and as SLN and NLC. J. Microencapsul. 2006, 23, 417–433. [Google Scholar] [CrossRef]
- Mishra, V.; Bansal, K.K.; Verma, A.; Yadav, N.; Thakur, S.; Sudhakar, K.; Rosenholm, J.M. Solid lipid nanoparticles: Emerging colloidal nano drug delivery systems. Pharmaceutics 2018, 10, 191. [Google Scholar] [CrossRef]
- Flores, F.C.; Paese, K.; Weber, J.; Antunes, J.B.; Pohlmann, A.R.; Guterres, S.S.; Beck, R.C.R.; da Silva, C.B. Lipid Nanoparticles Obtained with Innovative Natural Materials for Topical Delivery of Tioconazole: Mangospheres. J. Nanosci. Nanotechnol. 2017, 17, 1762–1770. [Google Scholar] [CrossRef]
- El-housiny, S.; Atef, M.; Eldeen, S.; El-attar, Y.A.; Salem, H.A.; Attia, D. Fluconazole-loaded solid lipid nanoparticles topical gel for treatment of pityriasis versicolor: Formulation and clinical study. Drug Deliv. 2018, 25, 78–90. [Google Scholar] [CrossRef] [PubMed]
- Venkateswarlu, V.; Manjunath, K. Preparation, characterization and in vitro release kinetics of clozapine solid lipid nanoparticles. J. Control. Release 2004, 95, 627–638. [Google Scholar] [CrossRef] [PubMed]
- Bunjes, H.; Unruh, T. Characterization of lipid nanoparticles by differential scanning calorimetry, X-ray and neutron scattering. Adv. Drug Deliv. Rev. 2007, 59, 379–402. [Google Scholar] [CrossRef] [PubMed]
- De Carvalho, S.M.; Noronha, C.M.; Floriani, C.L.; Lino, R.C.; Rocha, G.; Bellettini, I.C.; Ogliari, P.J.; Barreto, P.L.M. Optimization of α-tocopherol loaded solid lipid nanoparticles by central composite design. Ind. Crops Prod. 2013, 49, 278–285. [Google Scholar] [CrossRef]
- Bouzidi, L.; Narine, S.S. Relationships between molecular structure and kinetic and thermodynamic controls in lipid systems. Part II: Phase behavior and transformation paths of SSS, PSS and PPS saturated triacylglycerols—Effect of chain length mismatch. Chem. Phys. Lipids 2012, 165, 77–88. [Google Scholar] [CrossRef] [PubMed]
- Butt, U.; ElShaer, A.; Snyder, L.; Al-Kinani, A.; Le Gresley, A.; Alany, R. Fatty Acid Based Microemulsions to Combat Ophthalmia Neonatorum Caused by Neisseria gonorrhoeae and Staphylococcus aureus. Nanomaterials 2018, 8, 51. [Google Scholar] [CrossRef]
- Toropov, A.A.; Sizochenko, N.; Toropova, A.P.; Leszczynski, J. Towards the development of global nano-quantitative structure–property relationship models: Zeta potentials of metal oxide nanoparticles. Nanomaterials 2018, 8, E243. [Google Scholar] [CrossRef]
- Bitencourt, A.P.R.; Duarte, J.L.; Oliveira, A.E.M.F.M.; Cruz, R.A.S.; Carvalho, J.C.T.; Gomes, A.T.A.; Ferreira, I.M.; Ribeiro-Costa, R.M.; Silva-Júnior, J.O.C.; Fernandes, C.P. Preparation of aqueous nanodispersions with annatto (Bixa orellana L.) extract using an organic solvent-free and low energy method. Food Chem. 2018, 257, 196–205. [Google Scholar] [CrossRef]













| Input Factors | Levels | ||
|---|---|---|---|
| −1 | 0 | +1 | |
| Surfactant Concentration (% w/v, X1) | 3 | 4.5 | 6 |
| Liquid Lipid Concentration (% w/v, X2) | 2 | 2.5 | 3 |
| Solid Lipid Concentration (% w/v, X3) | 7 | 7.5 | 8 |
| Experiment # | Surfactant (% w/v) | Liquid Lipid (% w/v) | Solid Lipid (% w/v) | Size (nm) | PDI1 | Ketoconazole EE (%) |
|---|---|---|---|---|---|---|
| 1 | 4.5 | 2 | 8 | 65.9 | 0.506 | 93.91 |
| 2 | 3 | 2.5 | 8 | 79.4 | 0.248 | 98.71 |
| 3 | 6 | 2.5 | 7 | 26.6 | 0.432 | 96.05 |
| 4 | 4.5 | 3 | 8 | 68.0 | 0.413 | 97.16 |
| 5 | 4.5 | 3 | 7 | 45.1 | 0.492 | 99.66 |
| 6 | 4.5 | 2.5 | 7.5 | 45.4 | 0.360 | 97.75 |
| 7 | 3 | 2 | 7.5 | 82.1 | 0.291 | 94.67 |
| 8 | 3 | 3 | 7.5 | 90.1 | 0.311 | 97.26 |
| 9 | 4.5 | 2.5 | 7.5 | 47.6 | 0.399 | 97.67 |
| 10 | 6 | 2.5 | 8 | 39.8 | 0.533 | 97.99 |
| 11 | 6 | 2 | 7.5 | 66.8 | 0.558 | 96.38 |
| 12 | 4.5 | 2.5 | 7.5 | 43.3 | 0.449 | 98.56 |
| 13 | 4.5 | 2 | 7 | 54.0 | 0.481 | 97.95 |
| 14 | 4.5 | 2.5 | 7.5 | 48.1 | 0.329 | 99.50 |
| 15 | 3 | 2.5 | 7 | 69.8 | 0.263 | 96.55 |
| 16 | 6 | 3 | 7.5 | 23.9 | 0.288 | 98.29 |
| 17 | 4.5 | 2.5 | 7.5 | 63.0 | 0.461 | 96.57 |
| Factors | Particle Size (Y1) | PDI (Y2) | EE (Y3) | ||||||
|---|---|---|---|---|---|---|---|---|---|
| Coefficient Estimate | F-Value | p-Value | Coefficient Estimate | F-Value | p-Value | Coefficient Estimate | F-Value | p-Value | |
| Intercept | 49.49 | 11.56 | 0.0020 * | 0.3996 | 4.26 | 0.0346 * | 98.1 | 0.64 | 0.7392 |
| X1 | −20.54 | 66.07 | 0.0001 * | 0.0873 | 17.58 | 0.0041 * | 0.1900 | 0.10 | 0.7649 |
| X2 | −5.21 | 4.24 | 0.0784 | −0.0415 | 3.98 | 0.0864 | 1.18 | 3.74 | 0.0942 |
| X3 | 7.19 | 8.10 | 0.02 * | 0.0040 | 0.04 | 0.8530 | −0.3050 | 0.25 | 0.6330 |
| X1X2 | −12.73 | 12.69 | 0.0092 * | −0.0725 | 6.07 | 0.0433 * | −0.1700 | 0.04 | 0.8497 |
| X1X3 | 0.8825 | 0.06 | 0.8120 | 0.0290 | 0.97 | 0.3573 | −0.0550 | 0.00 | 0.9510 |
| X2X3 | 2.76 | 0.59 | 0.4660 | −0.0260 | 0.78 | 0.4063 | 0.3850 | 0.20 | 0.6695 |
| 5.96 | 2.93 | 0.1307 | −0.0708 | 6.09 | 0.0430 * | −0.6025 | 0.51 | 0.4976 | |
| 10.29 | 8.73 | 0.0212 * | 0.0332 | 1.34 | 0.2851 | −0.7575 | 0.81 | 0.3984 | |
| −1.56 | 0.20 | 0.6682 | 0.0332 | 1.96 | 0.2038 | −0.0825 | 0.01 | 0.9247 | |
| Model | |||||||||
| R2 | 0.9369 | 0.8456 | 0.4513 | ||||||
| F-value | 11.48 | 4.33 | 0.6347 | ||||||
| Input Factors | F 30 | F 85 | ||||
|---|---|---|---|---|---|---|
| Surfactant (% w/v) | 6 | 3 | ||||
| Liquid Lipid (% w/v) | 3 | 2.75 | ||||
| Solid Lipid (% w/v) | 7.63 | 7.68 | ||||
| Responses | Predicted | Observed | Residual * | Predicted | Observed | Residual * |
| Size (nm) | 30.0 | 33.6 ± 0.2 | −3.6 | 85.0 | 74.6 ± 0.3 | 10.4 |
| PDI | 0.339 | 0.255 ± 0.001 | 0.084 | 0.257 | 0.143 ± 0.005 | 0.114 |
| EE (%) | 97.85 | 98.20 ± 0.62 | −0.35 | 97.67 | 98.70 ± 0.69 | −1.03 |
| Time (days) | F 30 | F 85 | ||||
|---|---|---|---|---|---|---|
| Z-Average (nm) | PDI | Zeta Potential (mV) | Z-Average 1 (nm) | PDI | Zeta Potential (mV) | |
| 0 | 33.6 ± 0.2 | 0.26 ± 0.01 | −15.2 ± 0.8 | 74.6 ± 0.3 | 0.14 ± 0.00 | −24.5 ± 0.6 |
| 1 | 33.7 ± 0.1 | 0.20 ± 0.01 | −16.4 ± 1.3 | 74.1 ± 0.2 | 0.13 ± 0.02 | −21.3 ± 1.1 |
| 7 | 34.4 ± 0.3 | 0.19 ± 0.00 | −13.3 ± 1.1 | 72.9 ± 0.3 | 0.16 ± 0.04 | −20.2 ± 6.5 |
| 15 | 33.3 ± 0.2 | 0.22 ± 0.01 | −12.1 ± 1.3 | 71.1 ± 0.1 | 0.15 ± 0.01 | −17.4 ± 0.6 |
| 30 | 33.8 ± 0.2 | 0.20 ± 0.01 | −15.2 ± 0.8 | 73 ± 0.2 | 0.15 ± 0.01 | −20.2 ± 1.5 |
| Ucuùba Fat/Capryol™ 90 Weight Ratio | Tonset (°C) | Tendset (°C) | Peak (°C) | Enthalpy (J/g) | CI (%) |
|---|---|---|---|---|---|
| 1:0 | 37.76 | 45.11 | 42.99 | −99.42 | 100 |
| 3:1 | 31.96 | 41.77 | 39.79 | −71.38 | 53.84 |
| 1:1 | 28.90 | 40.00 | 36.98 | −52,01 | 26.15 |
| 1:2 | 26.61 | 38.91 | 35.24 | −26.09 | 8.72 |
© 2019 by the authors. Licensee MDPI, Basel, Switzerland. This article is an open access article distributed under the terms and conditions of the Creative Commons Attribution (CC BY) license (http://creativecommons.org/licenses/by/4.0/).
Share and Cite
Pereira, R.R.; Testi, M.; Rossi, F.; Silva Junior, J.O.C.; Ribeiro-Costa, R.M.; Bettini, R.; Santi, P.; Padula, C.; Sonvico, F. Ucuùba (Virola surinamensis) Fat-Based Nanostructured Lipid Carriers for Nail Drug Delivery of Ketoconazole: Development and Optimization Using Box-Behnken Design. Pharmaceutics 2019, 11, 284. https://doi.org/10.3390/pharmaceutics11060284
Pereira RR, Testi M, Rossi F, Silva Junior JOC, Ribeiro-Costa RM, Bettini R, Santi P, Padula C, Sonvico F. Ucuùba (Virola surinamensis) Fat-Based Nanostructured Lipid Carriers for Nail Drug Delivery of Ketoconazole: Development and Optimization Using Box-Behnken Design. Pharmaceutics. 2019; 11(6):284. https://doi.org/10.3390/pharmaceutics11060284
Chicago/Turabian StylePereira, Rayanne R., Matteo Testi, Francesca Rossi, Jose O. C. Silva Junior, Roseane M. Ribeiro-Costa, Ruggero Bettini, Patrizia Santi, Cristina Padula, and Fabio Sonvico. 2019. "Ucuùba (Virola surinamensis) Fat-Based Nanostructured Lipid Carriers for Nail Drug Delivery of Ketoconazole: Development and Optimization Using Box-Behnken Design" Pharmaceutics 11, no. 6: 284. https://doi.org/10.3390/pharmaceutics11060284
APA StylePereira, R. R., Testi, M., Rossi, F., Silva Junior, J. O. C., Ribeiro-Costa, R. M., Bettini, R., Santi, P., Padula, C., & Sonvico, F. (2019). Ucuùba (Virola surinamensis) Fat-Based Nanostructured Lipid Carriers for Nail Drug Delivery of Ketoconazole: Development and Optimization Using Box-Behnken Design. Pharmaceutics, 11(6), 284. https://doi.org/10.3390/pharmaceutics11060284

