Modeling the Impact of Different Policies on Electric Vehicle Adoption: An Investigative Study
Abstract
1. Introduction
2. Literature Review
- −
- The development of a model, considering the different stakeholders in the EV ecosystem, that is able to predict EV adoptions,
- −
- The developed model utilizes the generic Bass Diffusion Model by considering EV attractiveness from the perspective of potential EV adopters while acknowledging the time value of money.
- −
- Demonstration of the developed model using local data to predict EV adoptions,
- −
- Using the model to analyze different policies to predict their effectiveness in accelerating EV adoptions.
3. Methodology
3.1. Stakeholder Analysis of the Electric Vehicle Ecosystem
3.2. Model Development
3.2.1. Model for EV Adoption
- Initial Conditions (): The simulation begins with an input of the total number of EVs in the ecosystem at the start ().
- Time Progression (): The model aims to predict the number of EV adoptions for any time .
- Quantifying Relative Attractiveness (, , and ): At each time , the model assesses the competitiveness of EVs against ICEVs in terms of life cycle cost (), driving range (), infrastructure availability (), and charging time (). These factors are calculated using Equation (7) through Equation (10), as detailed in Section 3.2.2. The model assigns a relative attractiveness score between 0 and 1, where a score of 0.5 indicates that EVs and ICEVs are equally competitive. A score above 0.5 suggests that EVs are more competitive than ICEVs, while a score below 0.5 points to EVs being less competitive compared to ICEVs.
- Consideration of Relative Importance: Different users assign varying importance to the aspects of relative attractiveness. Therefore, the model incorporates relative importance factors to derive an overall EV attractiveness score , as defined in Equation (6). The relative importance of the LCC (, driving range (), availability of infrastructure () and charging time () towards the attractiveness of EVs is determined using a survey to ensure alignment with local relative importance.
- Determining Annual EV Adoption (): Using the calculated EV attractiveness (), along with the coefficients of innovation () and imitation (), the number of potential adopters (), and the total number of EVs from the previous year in the ecosystem, the model estimates the number of new EV adopters () for the current year .
- Accumulating Total number of EVs () at time in the Ecosystem: The model updates the total number of EVs ()in the ecosystem by adding the newly adopted EVs () for the year () and subtracting the number of EVs retired (() in the same year.
3.2.2. Life Cycle Cost
3.3. Different Financial Policies Affecting EV Adoptions
4. Results and Discussion
4.1. Data Requirement
| Vehicles Type | EV | ICEV | |
|---|---|---|---|
| Engine- (hp or cc) | 95 hp | 1329 cc | |
| Battery Size—kWh | 38.5 | 0.42 | |
| Vehicles Lifetime, n-years | 23 | 23 | |
| Acquisition cost | USD$ | 22,995 | 17,275 |
| BND$ | (31,273) | (23,494) | |
| Vehicle Efficiency, ηEV, or ηICEV—kWh/km or L/km | 0.13 | 0.052 | |
| Annual Distance Travelled, Di—km [51] | 14,235 | 14,235 | |
| Fuel Cost, Celec,i, | USD$/kWh or USD$/L | 0.07 | 0.39 |
| BND$/kWh or BND$/L | (0.10) | (0.53) | |
| Charging Efficiency, ηch—% | 87.62% | - | |
| Current Charging/Refueling time—min | 52.7 | 5 | |
| Current Driving Range—km | 300 | 548 | |
| Ann. Vehicle Lic. fee, VLi | USD$ | 24.29 | 22.65 |
| BND$ | (32.06) | (29.90) | |
| Ann. Ins. Cover, ICi | USD$ | 75.76 | 75.76 |
| BND$ | (100) | (100) | |
| Maintenance Rate, MRi | USD$/km | 0.0234 | 0.0442 |
| BND$/km | (0.0309) | (0.0456) | |
| Tyre Rep. Cost | USD$ | 273 | 273 |
| BND$ | (359.04) | (359.04) | |
| Tyre Average Lifetime—km | 35,000 | 35,000 | |
| Current Batt. Rep. rate | USD$/kWh | 299 | 299 |
| BND$/kWh | (407) | (407) | |
| Battery Lifetime—years | 8 | 4 | |
| Scrap Val. for batt. | USD$ | 2.21 | 2.21 |
| BND$ | (3) | (3) | |
| Scrap Val. for vehicle | USD$ | 22.06 | 22.06 |
| BND$ | (30) | (30) | |
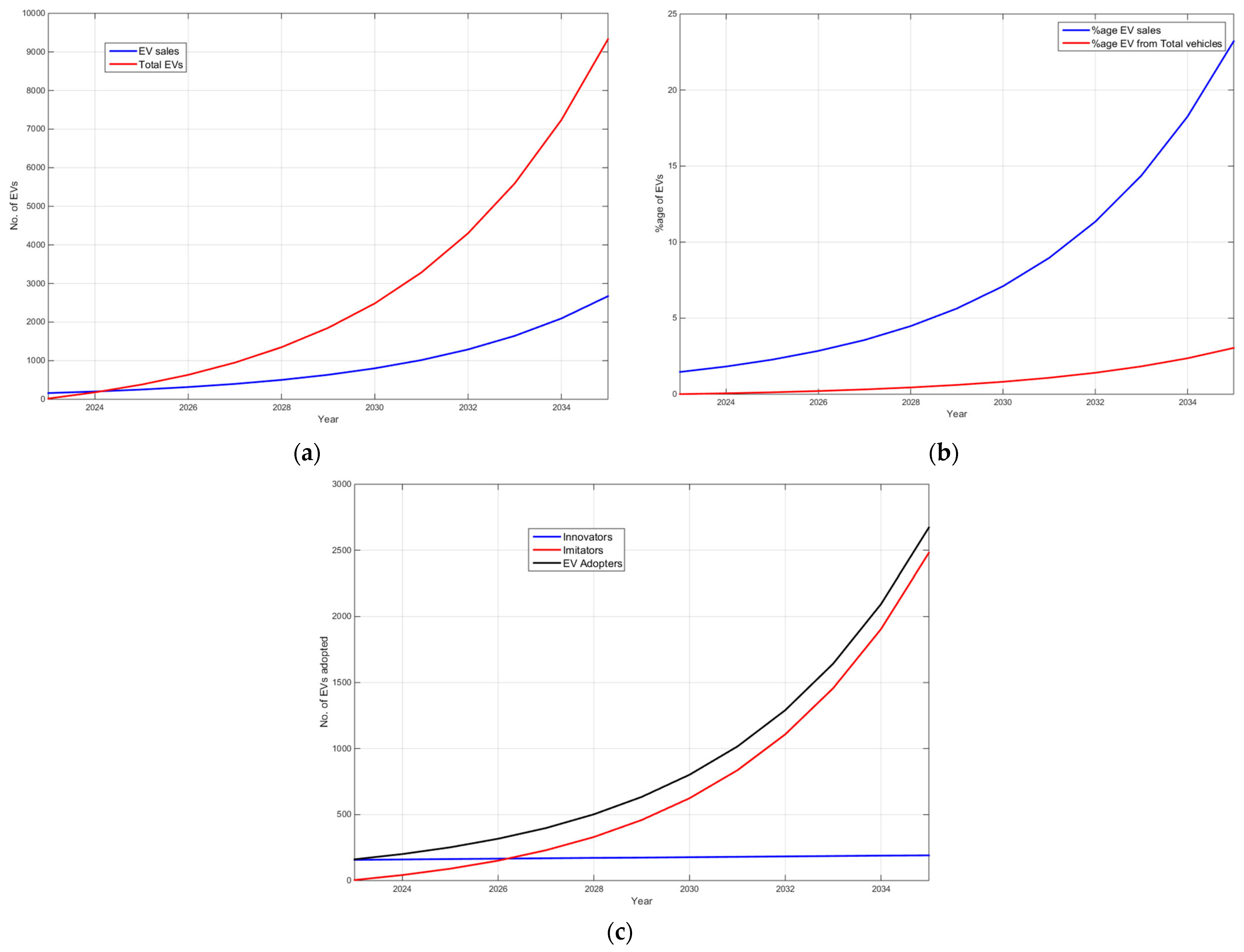
4.2. Predictions of EV Growth without Intervention
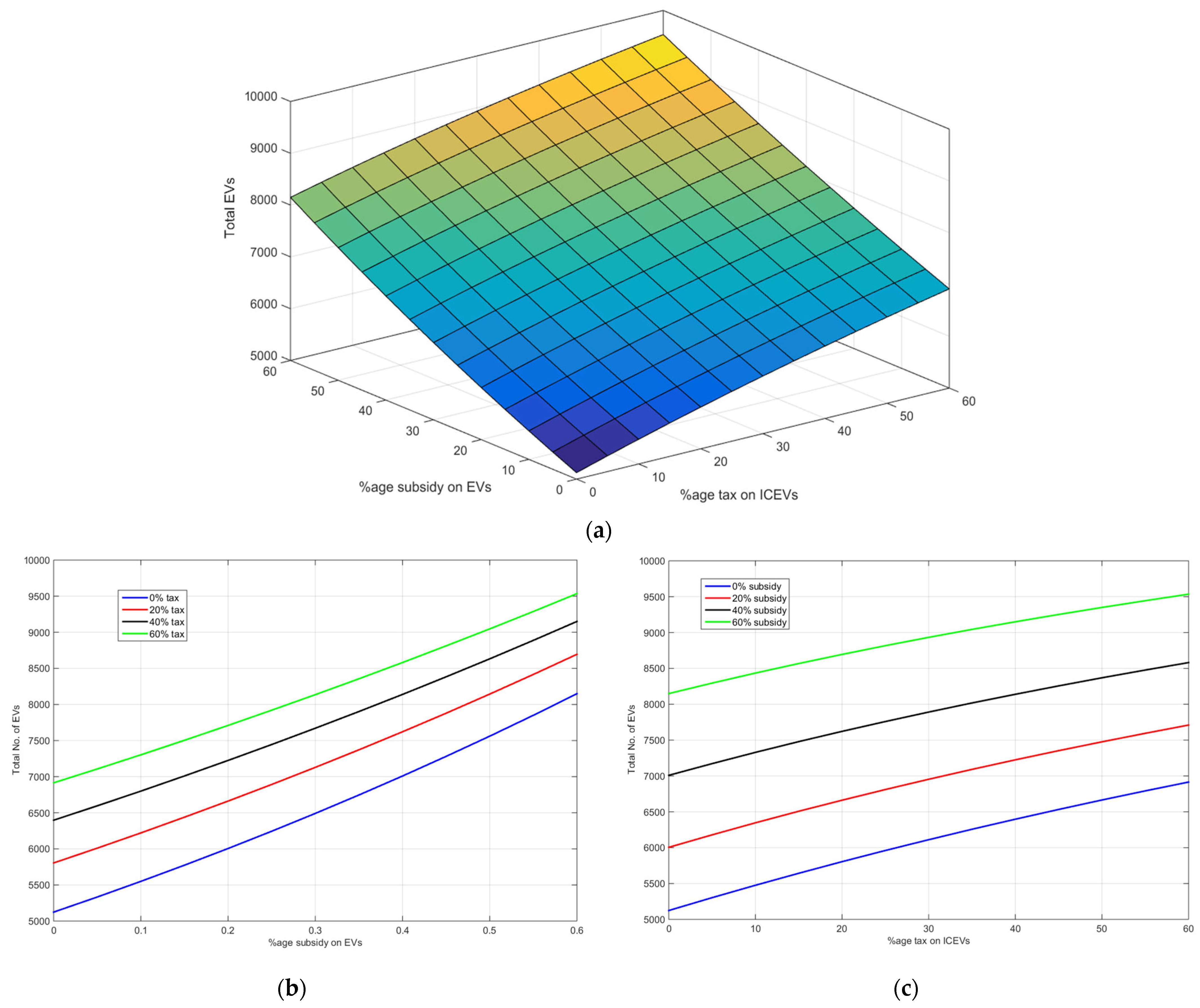
4.3. Predictions of EV Growth with Different Policies
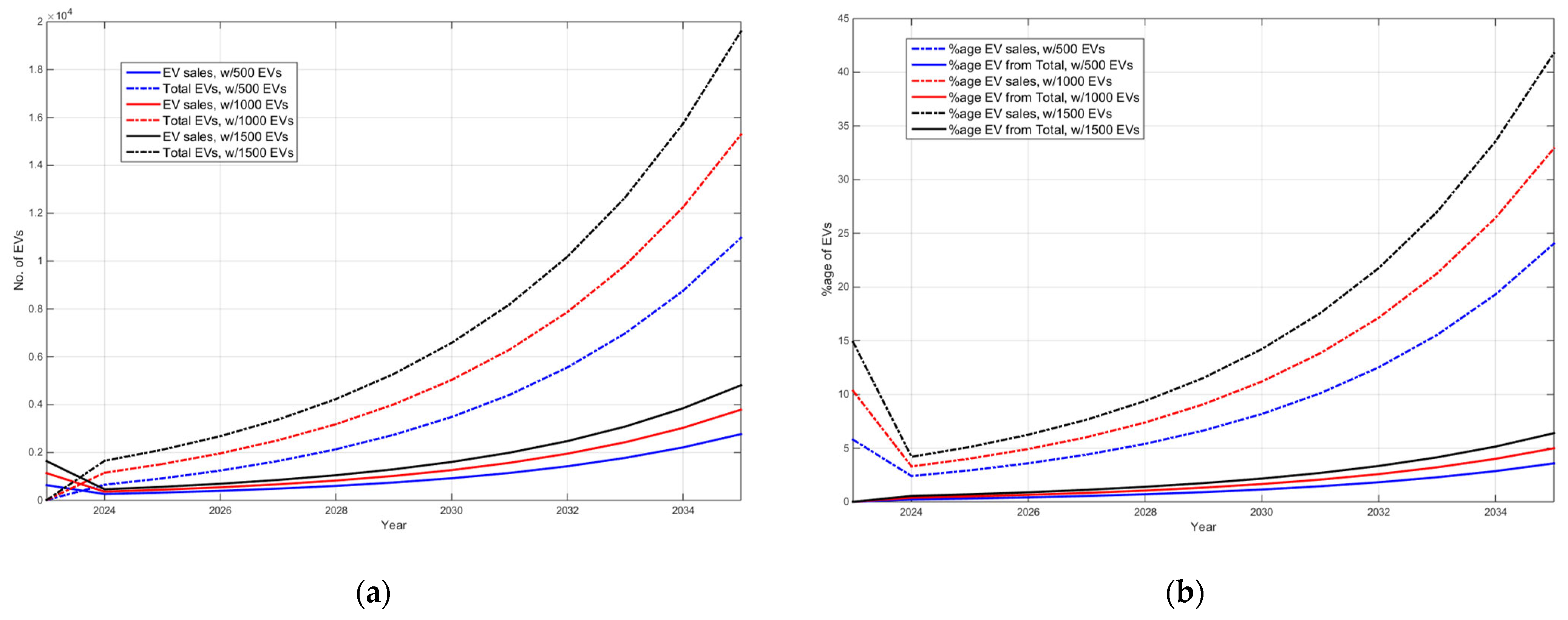
4.4. Predictions of EV Growth with Combined Policies
4.5. Discussion
5. Conclusions
Author Contributions
Funding
Data Availability Statement
Conflicts of Interest
References
- Wang, J.; Azam, W. Natural resource scarcity, fossil fuel energy consumption, and total greenhouse gas emissions in top emitting countries. Geosci. Front. 2024, 15, 101757. [Google Scholar] [CrossRef]
- Mohr, S.; Wang, J.; Ellem, G.; Ward, J.; Giurco, D. Projection of world fossil fuels by country. Fuel 2014, 141, 120–135. [Google Scholar] [CrossRef]
- Sun, L.; Zhang, T.; Liu, S.; Wang, K.; Rogers, T.; Yao, L.; Zhao, P. Reducing energy consumption and pollution in the urban transportation sector: A review of policies and regulations in Beijing. J. Clean. Prod. 2021, 285, 125339. [Google Scholar] [CrossRef]
- Galarraga, I.; Kallbekken, S.; Silvestri, A. Consumer purchases of energy-efficient cars: How different labelling schemes could affect consumer response to price changes. Energy Policy 2020, 137, 111181. [Google Scholar] [CrossRef]
- Abas, A.P.; Mahlia, T. Development of energy labels based on consumer perspective: Room air conditioners as a case study in Brunei Darussalam. Energy Rep. 2018, 4, 671–681. [Google Scholar] [CrossRef]
- De Melo, C.A.; Jannuzzi, G.D.M.; Santana, P.H.D.M. Why should Brazil to implement mandatory fuel economy standards for the light vehicle fleet? Renew. Sustain. Energy Rev. 2018, 81, 1166–1174. [Google Scholar] [CrossRef]
- Mahlia, T.; Syazmi, Z.; Mofijur, M.; Abas, A.P.; Bilad, M.; Ong, H.C.; Silitonga, A. Patent landscape review on biodiesel production: Technology updates. Renew. Sustain. Energy Rev. 2020, 118, 109526. [Google Scholar] [CrossRef]
- Yusof, N.K.; Abas, P.E.; Mahlia, T.M.I.; Hannan, M.A. Techno-Economic Analysis and Environmental Impact of Electric Buses. World Electr. Veh. J. 2021, 12, 31. [Google Scholar] [CrossRef]
- Danial, M.; Azis, F.A.; Abas, P.E. Techno-Economic Analysis and Feasibility Studies of Electric Vehicle Charging Station. World Electr. Veh. J. 2021, 12, 264. [Google Scholar] [CrossRef]
- Das, H.S.; Rahman, M.M.; Li, S.; Tan, C.W. Electric vehicles standards, charging infrastructure, and impact on grid integration: A technological review. Renew. Sustain. Energy Rev. 2020, 120, 109618. [Google Scholar] [CrossRef]
- International Energy Agency. Global EV Outlook 2022; International Energy Agency: Paris, France, 2022. [Google Scholar]
- Veza, I.; Asy’Ari, M.Z.; Idris, M.; Epin, V.; Fattah, I.R.; Spraggon, M. Electric vehicle (EV) and driving towards sustainability: Comparison between EV, HEV, PHEV, and ICE vehicles to achieve net zero emissions by 2050 from EV. Alex. Eng. J. 2023, 82, 459–467. [Google Scholar] [CrossRef]
- Nykvist, B.; Nilsson, M. Rapidly falling costs of battery packs for electric vehicles. Nat. Clim. Chang. 2015, 5, 329–332. [Google Scholar] [CrossRef]
- Loengbudnark, W.; Khalilpour, K.; Bharathy, G.; Taghikhah, F.; Voinov, A. Battery and hydrogen-based electric vehicle adoption: A survey of Australian consumers perspective. Case Stud. Transp. Policy 2022, 10, 2451–2463. [Google Scholar] [CrossRef]
- Qiao, Q.; Zhao, F.; Liu, Z.; Hao, H.; He, X.; Przesmitzki, S.V.; Amer, A.A. Life cycle cost and GHG emission benefits of electric vehicles in China. Transp. Res. Part D Transp. Environ. 2020, 86, 102418. [Google Scholar] [CrossRef]
- Guo, X.; Sun, Y.; Ren, D. Life cycle carbon emission and cost-effectiveness analysis of electric vehicles in China. Energy Sustain. Dev. 2023, 72, 1–10. [Google Scholar] [CrossRef]
- Cimprich, A.; Sadayappan, K.; Young, S.B. Lightweighting electric vehicles: Scoping review of life cycle assessments. J. Clean. Prod. 2023, 433, 139692. [Google Scholar] [CrossRef]
- Desreveaux, A.; Hittinger, E.; Bouscayrol, A.; Castex, E.; Sirbu, G.M. Techno-Economic Comparison of Total Cost of Ownership of Electric and Diesel Vehicles. IEEE Access 2020, 8, 195752–195762. [Google Scholar] [CrossRef]
- Cheok, Q.; Husaini, N.H.; Nauman, M.M. Economic feasibility of electric vehicles: A case study. Energy Storage 2022, 4, e302. [Google Scholar] [CrossRef]
- Abas, A.E.P.; Yong, J.; Mahlia, T.M.I.; Hannan, M.A. Techno-Economic Analysis and Environmental Impact of Electric Vehicle. IEEE Access 2019, 7, 98565–98578. [Google Scholar] [CrossRef]
- Mekky, M.F.; Collins, A.R. The Impact of state policies on electric vehicle adoption -A panel data analysis. Renew. Sustain. Energy Rev. 2024, 191, 114014. [Google Scholar] [CrossRef]
- Singh, V.; Singh, V.; Vaibhav, S. Analysis of electric vehicle trends, development and policies in India. Case Stud. Transp. Policy 2021, 9, 1180–1197. [Google Scholar] [CrossRef]
- Zhang, X.; Liang, Y.; Yu, E.; Rao, R.; Xie, J. Review of electric vehicle policies in China: Content summary and effect analysis. Renew. Sustain. Energy Rev. 2017, 70, 698–714. [Google Scholar] [CrossRef]
- Wangsa, I.D.; Vanany, I.; Siswanto, N. The optimal tax incentive and subsidy to promote electric trucks in Indonesia: Insight for government and industry. Case Stud. Transp. Policy 2023, 11, 100966. [Google Scholar] [CrossRef]
- Mastoi, M.S.; Zhuang, S.; Munir, H.M.; Haris, M.; Hassan, M.; Usman, M.; Bukhari, S.S.H.; Ro, J.-S. An in-depth analysis of electric vehicle charging station infrastructure, policy implications, and future trends. Energy Rep. 2022, 8, 11504–11529. [Google Scholar] [CrossRef]
- Hu, S.; Liu, Z.; Tan, Y.; Cheng, X.; Chen, Z.; Long, Z. The status quo and future trends of new energy vehicle power batteries in China—Analysis from policy perspective. Energy Rep. 2022, 8, 63–80. [Google Scholar] [CrossRef]
- Martino, J.P. A comparison of two composite measures of technology. Technol. Forecast. Soc. Chang. 1993, 44, 147–159. [Google Scholar] [CrossRef]
- Jochem, P.; Gómez Vilchez, J.J.; Ensslen, A.; Schäuble, J.; Fichtner, W. Methods for forecasting the market penetration of electric drivetrains in the passenger car market. Transp. Rev. 2018, 38, 322–348. [Google Scholar] [CrossRef]
- Massiani, J.; Gohs, A. The choice of Bass model coefficients to forecast diffusion for innovative products: An empirical investigation for new automotive technologies. Res. Transp. Econ. 2015, 50, 17–28. [Google Scholar] [CrossRef]
- Damayanti, S.; Hidayatno, A.; Setiawan, A.D. User Acceptance of Electric Vehicles in Indonesia: A Conceptual Model. In Proceedings of the 3rd Asia Pacific Conference on Research in Industrial and Systems Engineering (APCORISE’20), Depok, Indonesia, 16–17 June 2020; Association for Computing Machinery: New York, NY, USA, 2020; pp. 110–115. [Google Scholar]
- Setiawan, A.D.; Zahari, T.N.; Purba, F.J.; Moeis, A.O.; Hidayatno, A. Investigating policies on increasing the adoption of electric vehicles in Indonesia. J. Clean. Prod. 2022, 380, 135097. [Google Scholar] [CrossRef]
- Kumar, R.R.; Guha, P.; Chakraborty, A. Comparative assessment and selection of electric vehicle diffusion models: A global outlook. Energy 2022, 238, 121932. [Google Scholar] [CrossRef]
- Zhu, Z.; Du, H. Forecasting the Number of Electric Vehicles: A Case of Beijing. IOP Conf. Ser. Earth Environ. Sci. 2018, 170, 042037. [Google Scholar] [CrossRef]
- Zeng, M.; Zhan, X.; Xue, S.; Ma, M.; Li, Y. Inventory Forecast of Electric Vehicles in China during the Twelfth Five-Year Plan Period Using Bass Model Optimized by Particle Swarm Optimization. J. Appl. Sci. 2013, 13, 4887–4891. [Google Scholar] [CrossRef][Green Version]
- Santa-Eulalia, L.A.; Neumann, D.; Klasen, J. A simulation-based innovation forecasting approach combining the bass diffusion model, the discrete choice model and system dynamics—An application in the German market for electric cars. In Proceedings of the Third International Conference on Advances in System Simulation, Barcelona, Spain, 23–28 October 2011. [Google Scholar]
- Jenn, A.; Tal, G.; Fulton, L. A multi-model approach to generating international electric vehicle future adoption scenarios. In Proceedings of the EVS30: 30th International Electric Vehicle Symposium & Exhibition, Stuttgart, Germany, 9–11 October 2017. [Google Scholar]
- Lee, J.H.; Hardman, S.J.; Tal, G. Who is buying electric vehicles in California? Characterising early adopter heterogeneity and forecasting market diffusion. Energy Res. Soc. Sci. 2019, 55, 218–226. [Google Scholar] [CrossRef]
- Walker, W.E. Policy analysis: A systematic approach to supporting policymaking in the public sector. J. Multi-Criteria Decis. Anal. 2000, 9, 11–27. [Google Scholar] [CrossRef]
- Bryson, J.M. What to do when Stakeholders matter. Public Manag. Rev. 2004, 6, 21–53. [Google Scholar] [CrossRef]
- Hermans, L.M.; Thissen, W.A. Actor analysis methods and their use for public policy analysts. Eur. J. Oper. Res. 2009, 196, 808–818. [Google Scholar] [CrossRef]
- Wang, Q.; Hauge, J.B.; Meijer, S. Adopting an Actor Analysis Framework to a Complex Technology Innovation Project: A Case Study of an Electric Road System. Sustainability 2019, 12, 313. [Google Scholar] [CrossRef]
- Statista. Vehicle to Population Ratio in Southeast Asia from 2012 to 2021, by Country. Available online: https://www.statista.com/statistics/1358331/asean-vehicle-to-population-ratio-by-country/ (accessed on 1 January 2024).
- Kara, S.; Li, W.; Sadjiva, N. Life Cycle Cost Analysis of Electrical Vehicles in Australia. Procedia CIRP 2017, 61, 767–772. [Google Scholar] [CrossRef]
- Yu, J.; Yang, P.; Zhang, K.; Wang, F.; Miao, L. Evaluating the Effect of Policies and the Development of Charging Infrastructure on Electric Vehicle Diffusion in China. Sustainability 2018, 10, 3394. [Google Scholar] [CrossRef]
- Kapli, F.W.A.; Azis, F.A.; Suhaimi, H.; Shamsuddin, N.; Abas, P.E. Feasibility Studies of Rainwater Harvesting System for Ablution Purposes. Water 2023, 15, 1686. [Google Scholar] [CrossRef]
- Becker, T.A.; Sidhu, I.; Tenderich, B. Electric Vehicles in the United States A New Model with Forecasts to 2030; Center for Entrepreneurship & Technology: Berkeley, CA, USA, 2009. [Google Scholar]
- Apostolaki-Iosifidou, E.; Codani, P.; Kempton, W. Measurement of power loss during electric vehicle charging and discharging. Energy 2017, 127, 730–742. [Google Scholar] [CrossRef]
- Stone, M. Will Charging Electric Cars Ever Be as Fast as Pumping Gas? Available online: https://www.nationalgeographic.com/environment/article/will-charging-electric-cars-ever-be-as-fast-as-pumping-gas (accessed on 1 January 2024).
- International Energy Agency. Trends and Development in Electric Vehicle Markets—Global EV Outlook; International Energy Agency: Paris, France, 2021. [Google Scholar]
- Neta Auto Brunei. Neta V. Available online: https://www.netaautobrunei.com/neta-v.html (accessed on 1 January 2024).
- Toyota. Toyota Vios. Available online: https://www.toyota.com.bn/car/vios/ (accessed on 1 January 2024).








| Actor | Perception | Values | Resources | |
|---|---|---|---|---|
| Interest | Objective | |||
| Government | Transportation plays a major role in the economy, despite being a significant contributor to CO2 emissions. Currently, ICEV is perceived to be more attractive to EVs. | Increase the adoption of EVs and thereby reduce CO2 emissions. | To increase the proportion of EVs with respect to the total number of vehicles. | Implement effective policies to increase EV adoption. |
| ICEV Users | The perception is that EVs are more expensive than ICEVs, with limited driving range. This is exacerbated by the limited number of charging stations. | Affordable and reliable, with a reasonable driving range. | To own an affordable and reliable EV with respect to ICEVs. | The flexibility of choosing between ICEVs and EVs. |
| Automotive Industries | Limited demand for EVs is due to various factors, most importantly, their cost. | Profitable income from EV sales. | To provide a selection of EVs to meet demand. | Manufacture or provision of affordable and energy-efficient EVs. |
| Charging Station Providers | With the limited number of EVs, investment in building a charging station may be unjustified. | Asset Utilisation. | To ensure a high utilization rate of the charging stations with a reasonable rate of return. | The flexibility of investing in EV charging stations. |
| Workshops | With the limited number of EVs and the unavailability of expertise, investment in an EV workshop may be unjustified. | Service Utilisation. | To provide servicing and maintenance for EVs with a reasonable rate of return. | The flexibility of investing in an EV workshop. |
| Electrical Companies | The adoption of EVs may cause uncertainty in electric demand. | Provision of reliable electricity for customers, including EV users. | To provide reliable and sufficient electrical supply to customers. | Change the energy mix to reduce CO2 emissions and to provide clean and reliable electric supplies. |
| Parameters | Value |
|---|---|
| Coefficient of innovation | 0.025 |
| Coefficient of imitation | 0.42 |
| Relative importance of LCC, | 53.6% |
| Relative importance of driving range, | 12.5% |
| Relative importance of infrastructure readiness, | 25% |
| Relative importance of charging time, | 8.9% |
Disclaimer/Publisher’s Note: The statements, opinions and data contained in all publications are solely those of the individual author(s) and contributor(s) and not of MDPI and/or the editor(s). MDPI and/or the editor(s) disclaim responsibility for any injury to people or property resulting from any ideas, methods, instructions or products referred to in the content. |
© 2024 by the authors. Licensee MDPI, Basel, Switzerland. This article is an open access article distributed under the terms and conditions of the Creative Commons Attribution (CC BY) license (https://creativecommons.org/licenses/by/4.0/).
Share and Cite
Abas, P.E.; Tan, B. Modeling the Impact of Different Policies on Electric Vehicle Adoption: An Investigative Study. World Electr. Veh. J. 2024, 15, 52. https://doi.org/10.3390/wevj15020052
Abas PE, Tan B. Modeling the Impact of Different Policies on Electric Vehicle Adoption: An Investigative Study. World Electric Vehicle Journal. 2024; 15(2):52. https://doi.org/10.3390/wevj15020052
Chicago/Turabian StyleAbas, Pg Emeroylariffion, and Benedict Tan. 2024. "Modeling the Impact of Different Policies on Electric Vehicle Adoption: An Investigative Study" World Electric Vehicle Journal 15, no. 2: 52. https://doi.org/10.3390/wevj15020052
APA StyleAbas, P. E., & Tan, B. (2024). Modeling the Impact of Different Policies on Electric Vehicle Adoption: An Investigative Study. World Electric Vehicle Journal, 15(2), 52. https://doi.org/10.3390/wevj15020052

