Estimating the Light Interception and Photosynthesis of Greenhouse-Cultivated Tomato Crops under Different Canopy Configurations
Abstract
1. Introduction
2. Materials and Methods
2.1. Virtual Model Construction
2.2. Model Scenarios
2.3. Model Validation
2.4. Statistical Analysis of Simulated Data
3. Results
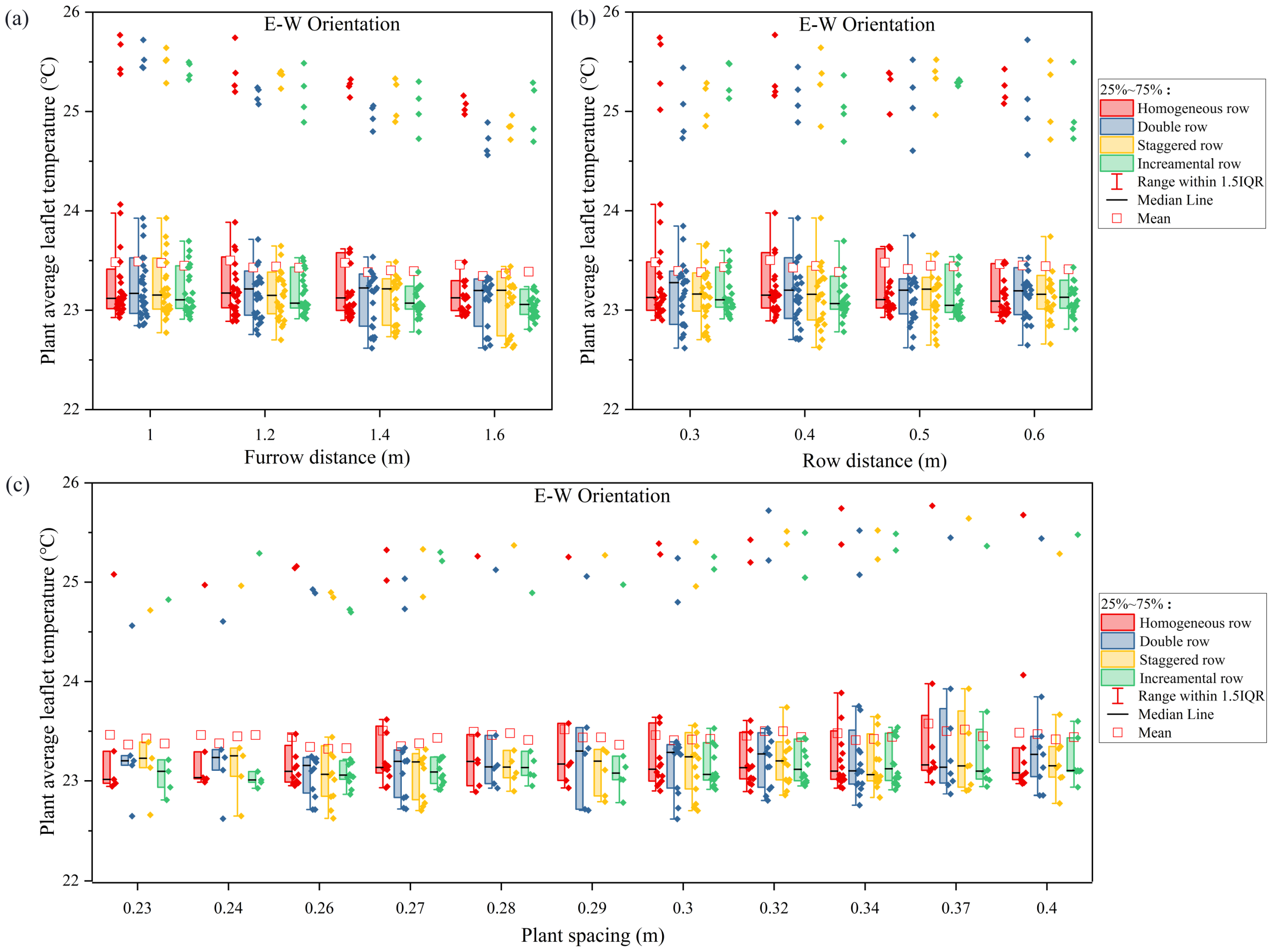
3.1. Tomato Canopy Configuration Analysis for the Chinese Solar Greenhouse
3.2. Comparing the Optimum Canopy Configuration of E–W Orientation with N–S Orientation
3.3. Partial Least Squares Path Modeling Analysis (PLS-PM)
4. Discussion
4.1. Changing from the Widely Used N–S Orientation to the E–W Orientation
4.2. The Optimal Configuration of E–W Orientation Has Been Identified
4.3. Similar Trends Can Be Applied for Other Planting Configurations
5. Conclusions
Supplementary Materials
Author Contributions
Funding
Data Availability Statement
Acknowledgments
Conflicts of Interest
References
- He, X.; Qiao, Y.; Liu, Y.; Dendler, L.; Yin, C.; Martin, F. Environmental Impact Assessment of Organic and Conventional Tomato Production in Urban Greenhouses of Beijing City, China. J. Clean. Prod. 2016, 134, 251–258. [Google Scholar] [CrossRef]
- Zhang, Y.; Henke, M.; Li, Y.; Yue, X.; Xu, D.; Liu, X.; Li, T. High Resolution 3D Simulation of Light Climate and Thermal Performance of a Solar Greenhouse Model under Tomato Canopy Structure. Renew. Energy 2020, 160, 730–745. [Google Scholar] [CrossRef]
- Meiyan, W. The Rise of Labor Cost and the Fall of Labor Input: Has China Reached Lewis Turning Point? China Econ. J. 2010, 3, 137–153. [Google Scholar] [CrossRef]
- Zheng, L.; Zhang, Q.; Zheng, K.; Zhao, S.; Wang, P.; Cheng, J.; Zhang, X.; Chen, X. Effects of Diffuse Light on Microclimate of Solar Greenhouse, and Photosynthesis and Yield of Greenhouse-Grown Tomatoes. HortScience 2020, 55, 1605–1613. [Google Scholar] [CrossRef]
- Ouyang, Z.; Tian, J.; Yan, X.; Shen, H. Photosynthesis, Yield and Fruit Quality of Tomatoes and Soil Microorganisms in Response to Soil Temperature in the Greenhouse. Irrig. Drain. 2022, 71, 604–618. [Google Scholar] [CrossRef]
- Liu, N.; Wei, Z.; Wei, H. The Effect of Planting Mode on the Growth of Pepper in a Sunlight Greenhouse. IOP Conf. Ser. Earth Environ. Sci. 2021, 692, 032001. [Google Scholar] [CrossRef]
- Dong, Q.; Louarn, G.; Wang, Y.; Barczi, J.F.; De Reffye, P. Does the Structure-Function Model GREENLAB Deal with Crop Phenotypic Plasticity Induced by Plant Spacing? A Case Study on Tomato. Ann. Bot. 2008, 101, 1195–1206. [Google Scholar] [CrossRef]
- Wang, J.; Li, S.; Guo, S.; Ma, C.; Wang, J.; Jin, S. Simulation and Optimization of Solar Greenhouses in Northern Jiangsu Province of China. Energy Build. 2014, 78, 143–152. [Google Scholar] [CrossRef]
- Amare, G.; Gebremedhin, H. Effect of Plant Spacing on Yield and Yield Components of Tomato (Solanum lycopersicum L.) in Shewarobit, Central Ethiopia. Scientifica 2020, 2020, 8357237. [Google Scholar] [CrossRef]
- Ohashi, Y.; Torii, T.; Ishigami, Y.; Goto, E. Estimation of the Light Interception of a Cultivated Tomato Crop Canopy under Different Furrow Distances in a Greenhouse Using the Ray Tracing. J. Agric. Meteorol. 2020, 76, 188–193. [Google Scholar] [CrossRef]
- Schipper, R.; van der Meer, M.; de Visser, P.H.B.; Heuvelink, E.; Marcelis, L.F.M. Consequences of Intra-Canopy and Top LED Lighting for Uniformity of Light Distribution in a Tomato Crop. Front. Plant Sci. 2023, 14, 1012529. [Google Scholar] [CrossRef] [PubMed]
- Bielczynski, L.W.; Łaçki, M.K.; Hoefnagels, I.; Gambin, A.; Croce, R. Leaf and Plant Age Affects Photosynthetic Performance and Photoprotective Capacity. Plant Physiol. 2017, 175, 1634–1648. [Google Scholar] [CrossRef] [PubMed]
- Mohammed, H.A.; Aljabary, A.M.A.O.; Halshoy, H.S.; Hama, J.R.; Rashid, H.A.; Rashid, H.W. Soil-Borne Microbes, Natural Stimulants, and Post-Harvest Treatments Alter Quality and Phytochemicals of Tomato Fruit. Int. J. Veg. Sci. 2023, 1–13. [Google Scholar] [CrossRef]
- Niinemets, Ü. Photosynthesis and Resource Distribution through Plant Canopies. Plant Cell Environ. 2007, 30, 1052–1071. [Google Scholar] [CrossRef] [PubMed]
- van der Meer, M.; de Visser, P.H.B.; Heuvelink, E.; Marcelis, L.F.M. Row Orientation Affects the Uniformity of Light Absorption, but Hardly Affects Crop Photosynthesis in Hedgerow Tomato Crops. Silico Plants 2021, 3, diab025. [Google Scholar] [CrossRef]
- Berrueta, C.; Borges, A.; Giménez, G.; Dogliotti, S. On-Farm Diagnosis for Greenhouse Tomato in South Uruguay: Explaining Yield Variability and Ranking of Determining Factors. Eur. J. Agron. 2019, 110, 125932. [Google Scholar] [CrossRef]
- Kimura, K.; Yasutake, D.; Koikawa, K.; Kitano, M. Spatiotemporal Variability of Leaf Photosynthesis and Its Linkage with Microclimates across an Environment-Controlled Greenhouse. Biosyst. Eng. 2020, 195, 97–115. [Google Scholar] [CrossRef]
- Wang, W.M.; Li, Z.L.; Su, H.B. Comparison of Leaf Angle Distribution Functions: Effects on Extinction Coefficient and Fraction of Sunlit Foliage. Agric. For. Meteorol. 2007, 143, 106–122. [Google Scholar] [CrossRef]
- Vose, J.M.; Clinton, B.D.; Sullivan, N.H.; Bolstad, P.V. Vertical Leaf Area Distribution, Light Transmittance, and Application of the Beer–Lambert Law in Four Mature Hardwood Stands in the Southern Appalachians. Can. J. For. Res. 1995, 25, 1036–1043. [Google Scholar] [CrossRef]
- Vos, J.; Evers, J.B.; Buck-Sorlin, G.H.; Andrieu, B.; Chelle, M.; de Visser, P.H.B. Functional-Structural Plant Modelling: A New Versatile Tool in Crop Science. J. Exp. Bot. 2010, 61, 2101–2115. [Google Scholar] [CrossRef]
- Gao, Y.; Dong, J.; Isabella, O.; Santbergen, R.; Tan, H.; Zeman, M.; Zhang, G. Modeling and Analyses of Energy Performances of Photovoltaic Greenhouses with Sun-Tracking Functionality. Appl. Energy 2019, 233–234, 424–442. [Google Scholar] [CrossRef]
- Sarlikioti, V.; de Visser, P.H.B.; Marcelis, L.F.M. Exploring the Spatial Distribution of Light Interception and Photosynthesis of Canopies by Means of a Functionalstructural Plant Model. Ann. Bot. 2011, 107, 875–883. [Google Scholar] [CrossRef] [PubMed]
- van der Meer, M.; Lee, H.; de Visser, P.H.B.; Heuvelink, E.; Marcelis, L.F.M. Consequences of Interplant Trait Variation for Canopy Light Absorption and Photosynthesis. Front. Plant Sci. 2023, 14, 1012718. [Google Scholar] [CrossRef] [PubMed]
- Soualiou, S.; Wang, Z.; Sun, W.; de Reffye, P.; Collins, B.; Louarn, G.; Song, Y. Functional–Structural Plant Models Mission in Advancing Crop Science: Opportunities and Prospects. Front. Plant Sci. 2021, 12, 747142. [Google Scholar] [CrossRef] [PubMed]
- Albasha, R.; Fournier, C.; Pradal, C.; Chelle, M.; Prieto, J.A.; Louarn, G.; Simonneau, T.; Lebon, E. HydroShoot: A Functional-Structural Plant Model for Simulating Hydraulic Structure, Gas and Energy Exchange Dynamics of Complex Plant Canopies under Water Deficit—Application to Grapevine (Vitis vinifera). Silico Plants 2019, 1, diz007. [Google Scholar] [CrossRef]
- Chen, T.W.; Nguyen, T.M.N.; Kahlen, K.; Stützel, H. Quantification of the Effects of Architectural Traits on Dry Mass Production and Light Interception of Tomato Canopy under Different Temperature Regimes Using a Dynamic Functional-Structural Plant Model. J. Exp. Bot. 2014, 65, 6399–6410. [Google Scholar] [CrossRef] [PubMed]
- Evers, J.B.; Vos, J.; Yin, X.; Romero, P.; Van Der Putten, P.E.L.; Struik, P.C. Simulation of Wheat Growth and Development Based on Organ-Level Photosynthesis and Assimilate Allocation. J. Exp. Bot. 2010, 61, 2203–2216. [Google Scholar] [CrossRef] [PubMed]
- Auzmendi, I.; Hanan, J.S. Investigating Tree and Fruit Growth through Functional-Structural Modelling: Implications of Carbon Autonomy at Different Scales. Ann. Bot. 2020, 126, 775–788. [Google Scholar] [CrossRef]
- Tang, L.; Yin, D.; Chen, C.; Yu, D.; Han, W. Optimal Design of Plant Canopy Based on Light Interception: A Case Study with Loquat. Front. Plant Sci. 2019, 10, 364. [Google Scholar] [CrossRef]
- Kniemeyer, O. Design and Implementation of a Graph Grammar Based Language for Functional-Structural Plant Modelling. Ph.D. Thesis, BTU Cottbus, Senftenberg, Germany, November 2008; p. 432. [Google Scholar]
- Zhang, Y.; Henke, M.; Buck-Sorlin, G.H.; Li, Y.; Xu, H.; Liu, X.; Li, T. Estimating Canopy Leaf Physiology of Tomato Plants Grown in a Solar Greenhouse: Evidence from Simulations of Light and Thermal Microclimate Using a Functional-Structural Plant Model. Agric. For. Meteorol. 2021, 307, 108494. [Google Scholar] [CrossRef]
- Ringle, C.M.; Wende, S.; Becker, J.-M. SmartPLS 3; Boenningstedt SmartPLS GmbH: Boenningstedt, Germany, 2015. [Google Scholar]
- Rowland, S.D.; Zumstein, K.; Nakayama, H.; Cheng, Z.; Flores, A.M.; Chitwood, D.H.; Maloof, J.N.; Sinha, N.R. Leaf Shape Is a Predictor of Fruit Quality and Cultivar Performance in Tomato. New Phytol. 2020, 226, 851–865. [Google Scholar] [CrossRef] [PubMed]
- Barberán, A.; Ramirez, K.S.; Leff, J.W.; Bradford, M.A.; Wall, D.H.; Fierer, N. Why Are Some Microbes More Ubiquitous than Others? Predicting the Habitat Breadth of Soil Bacteria. Ecol. Lett. 2014, 17, 794–802. [Google Scholar] [CrossRef] [PubMed]
- Kohli, A.; Miro, B.; Balié, J.; d’A Hughes, J. Photosynthesis Research: A Model to Bridge Fundamental Science, Translational Products, and Socio-Economic Considerations in Agriculture. J. Exp. Bot. 2020, 71, 2281–2298. [Google Scholar] [CrossRef] [PubMed]
- Granier, C.; Vile, D. Phenotyping and beyond: Modelling the Relationships between Traits. Curr. Opin. Plant Biol. 2014, 18, 96–102. [Google Scholar] [CrossRef] [PubMed]
- Zhang, Y.; Henke, M.; Li, Y.; Xu, D.; Liu, A.; Liu, X.; Li, T. Analyzing the Impact of Greenhouse Planting Strategy and Plant Architecture on Tomato Plant Physiology and Estimated Dry Matter. Front. Plant Sci. 2022, 13, 828252. [Google Scholar] [CrossRef]
- Gijzen, H.; Goudriaan, J. A Flexible and Explanatory Model of Light Distribution and Photosynthesis in Row Crops. Agricultural. Agric. For. Meteorol. 1989, 48, 1–20. [Google Scholar] [CrossRef]
- Trentacoste, E.R.; Gómez-del-Campo, M.; Rapoport, H.F. Olive Fruit Growth, Tissue Development and Composition as Affected by Irradiance Received in Different Hedgerow Positions and Orientations. Sci. Hortic. 2016, 198, 284–293. [Google Scholar] [CrossRef]
- Trentacoste, E.R.; Connor, D.J.; Gómez-del-Campo, M. Row Orientation: Applications to Productivity and Design of Hedgerows in Horticultural and Olive Orchards. Sci. Hortic. 2015, 187, 15–29. [Google Scholar] [CrossRef]
- Sarlikioti, V.; De Visser, P.H.B.; Buck-Sorlin, G.H.; Marcelis, L.F.M. How Plant Architecture Affects Light Absorption and Photosynthesis in Tomato: Towards an Ideotype for Plant Architecture Using a Functionalstructural Plant Model. Ann. Bot. 2011, 108, 1065–1073. [Google Scholar] [CrossRef]












| Description | Value (Range) | Unit |
|---|---|---|
| Greenhouse | ||
| Front cover (L, W, H) | 30, 8.2, 0.00015 | meter |
| Wall (L, W, H) | 30, 2.5, 0.48 | meter |
| Roof (L, W, H) | 30, 2.12, 0.3 | meter |
| Soil (L, W, H) | 30, 8, 0.5 | meter |
| Weather parameter of winter solstice day | ||
| Outdoor average radiation (12 p.m.) | 435 | W m−2 |
| Outdoor temperature (12 p.m.) | 8.50 | °C |
| Simulated indoor temperature (12 p.m.) | 24.63 | °C |
| Indoor relative humidity | 63 | % |
| CO2 concentration inside greenhouse | 321 | ppm |
| Reference plant architecture used for simulation | ||
| Maximal leaf rank per plant | 21 | - |
| Final height of an adult plant | 1.85 | meter |
| Paired leaflet number per leaf rank (1–21) | 7, 6, 6, 8, 7, 7, 6, 5, 6, 6, 6, 7, 7, 6, 7, 6, 6, 4, 4, 4, 6, 6 | - |
| Average horizontal angle of petiole | 55 | ° |
| Average internode length per rank | 0.15, 0.20, 0.08, 0.09, 0.08, 0.07, 0.09, 0.08, 0.07, 0.07, 0.09, 0.08, 0.08, 0.07, 0.08, 0.08, 0.06, 0.08, 0.07, 0.06, 0.06, 0.06 | meter |
| Average leaf elevation angle | 0 | ° |
| Average leaf azimuth angle | 140 | ° |
| Average leaflet elevation angle | 0 | ° |
| Average leaflet length per leaf rank (1–21) | 0.10, 0.10, 0.10, 0.10, 0.09, 0.12, 0.14, 0.15, 0.10, 0.14, 0.12, 0.10, 0.15, 0.13, 0.14, 0.11, 0.12, 0.10, 0.10, 0.10, 0.07, 0.07 | meter |
| Range of internode diameter linear interpolated from bottom to top | [0.0025, 0.01] | meter |
| Scenario | Furrow Distance (F)(m) | Row Distance (R)(m) | Plant Distance (S)(m) | Planting Pattern (for Each Scenario) | Plant Density (Plants/ha) |
|---|---|---|---|---|---|
| 1 | 1 | 0.3 | 0.4 | Homogeneous row Double row Stagger row Incremental row | 39,000 |
| 2 | 0.4 | 0.37 | |||
| 3 | 0.5 | 0.34 | |||
| 4 | 0.6 | 0.32 | |||
| 5 | 1.2 | 0.3 | 0.34 | ||
| 6 | 0.4 | 0.32 | |||
| 7 | 0.5 | 0.30 | |||
| 8 | 0.6 | 0.28 | |||
| 9 | 1.4 | 0.3 | 0.30 | ||
| 10 | 0.4 | 0.29 | |||
| 11 | 0.5 | 0.27 | |||
| 12 | 0.6 | 0.26 | |||
| 13 | 1.6 | 0.3 | 0.27 | ||
| 14 | 0.4 | 0.26 | |||
| 15 | 0.5 | 0.24 | |||
| 16 | 0.6 | 0.23 |
Disclaimer/Publisher’s Note: The statements, opinions and data contained in all publications are solely those of the individual author(s) and contributor(s) and not of MDPI and/or the editor(s). MDPI and/or the editor(s) disclaim responsibility for any injury to people or property resulting from any ideas, methods, instructions or products referred to in the content. |
© 2024 by the authors. Licensee MDPI, Basel, Switzerland. This article is an open access article distributed under the terms and conditions of the Creative Commons Attribution (CC BY) license (https://creativecommons.org/licenses/by/4.0/).
Share and Cite
Zhang, Y.; Henke, M.; Li, Y.; Sun, Z.; Li, W.; Liu, X.; Li, T. Estimating the Light Interception and Photosynthesis of Greenhouse-Cultivated Tomato Crops under Different Canopy Configurations. Agronomy 2024, 14, 249. https://doi.org/10.3390/agronomy14020249
Zhang Y, Henke M, Li Y, Sun Z, Li W, Liu X, Li T. Estimating the Light Interception and Photosynthesis of Greenhouse-Cultivated Tomato Crops under Different Canopy Configurations. Agronomy. 2024; 14(2):249. https://doi.org/10.3390/agronomy14020249
Chicago/Turabian StyleZhang, Yue, Michael Henke, Yiming Li, Zhouping Sun, Weijia Li, Xingan Liu, and Tianlai Li. 2024. "Estimating the Light Interception and Photosynthesis of Greenhouse-Cultivated Tomato Crops under Different Canopy Configurations" Agronomy 14, no. 2: 249. https://doi.org/10.3390/agronomy14020249
APA StyleZhang, Y., Henke, M., Li, Y., Sun, Z., Li, W., Liu, X., & Li, T. (2024). Estimating the Light Interception and Photosynthesis of Greenhouse-Cultivated Tomato Crops under Different Canopy Configurations. Agronomy, 14(2), 249. https://doi.org/10.3390/agronomy14020249

