Chemical Constituents, Antimicrobial Activity, and Food Preservative Characteristics of Aloe vera Gel
Abstract
1. Introduction
2. Chemical Constituents of Aloe vera
2.1. Chromone and its Glycoside Derivatives
2.2. Anthraquinone and its Glycoside Derivatives
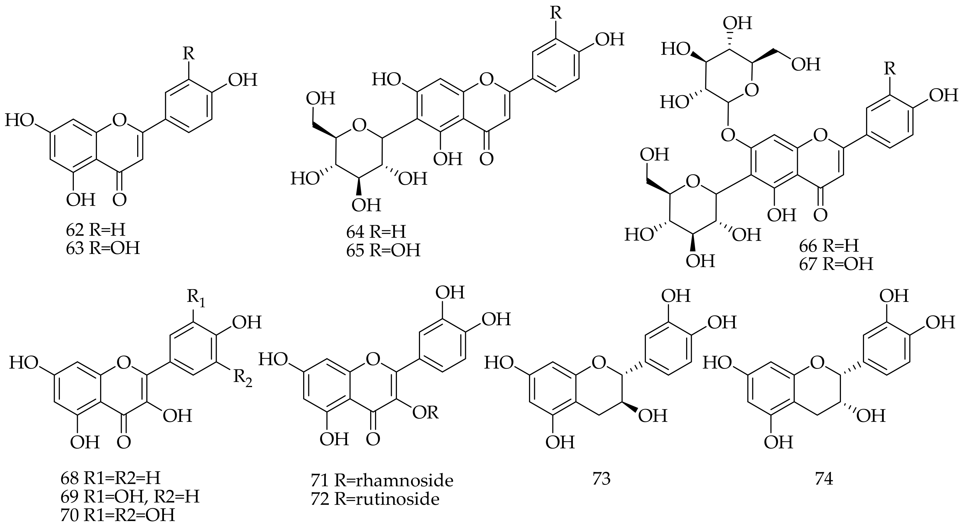
2.3. Flavonoids
2.4. Phenylpropanoids and Coumarins
2.5. Phenylpyrone and Phenol Derivatives
2.6. Phytosterols and Others
3. Antimicrobial Activity of Aloe vera
4. Food Preservative Characteristics of Aloe vera
4.1. Effects on External Food Quality Attributes
| Fruits | A. vera gel Dose | Compounds Added to A. vera gel | Fruit Storage Conditions | Acceptable Storage Duration for | Ref. | |
|---|---|---|---|---|---|---|
| Untreated Fruits | Treated Fruits | |||||
| Pineapples | 100% | Ascorbic acid (1.9–2.0 g L−1) and citric acid (4.5–4.6 g L−1) | Ambient temperature (27 + 2 ℃) and 50–60% RH | 21 days | 49 days | [73] |
| Pistachio | 50% and 100% | Chitosan (0.5% and 1.0%) | At 4 ℃ | - | 30 days | [82] |
| Nectarine cv ‘Arctic Snow’ | 2.5 g/L | 0.05% Tween-20 | At 0 ± 0.5 ℃ and 90% ± 5% RH | 21 days | 42 days | [71] |
| Tomato cv. ‘Ruchi 618′ | 2% | 0.3% antioxidant rich herb, Glycerol (2 %) and oleic acid (0.6%) | N/A | 20 days | 39 days | [84] |
| Tomato cv. ‘Dafni’ | 10% and 10% | - | At 11 ℃ and 90% RH in darkness | 7 days | 14 days | [57] |
| Tomato var. ‘Roma’ and ‘UTC’ | 20%, 60%, 100% | - | N/A | 7 days | 13–16 days | [48] |
| Table grape ‘Crimson Seedless’ | 33.3% | - | At 2 ℃ in controlled chambers with 85–90% RH | 5–10 days | 15–20 days | [64] |
| Grape ‘Thompson’ | 5% and 10% | - | In air-tight plastic container and at 15 ℃, 96–98% RH | 15 days | 40 days | [65] |
| Raspberry (grown naturally in Iran) | 25%, 50%, 75% | - | At 4 ℃ | 4 days | 8 days | [80] |
| Peach (from Iran) | 25% | - | Air dried and stored at 1 ℃ and 95% RH | 10 days | 20-30 days | [86] |
| Nectarine cv. ‘Flavela’ and ‘Flanoba’ | 1 mL/L Thymol (99.5% purity) | At 25 ℃ and 85% RH | - | 6 days | [55] | |
| Sweet cherry cv. ‘Star King’ | 25% | - | Air-dried and stored at 1 ℃ and 95% RH | 2–6 days | 9–16 days | [88] |
| Plum cv. ‘President’ | 100% | Rosehip oil (2%) | In a controlled chamber at 20 ℃ and 85% RH or at 2 ℃ and 90% RH | 14 days | 28 days | [80] |
| Bell pepper cv. ‘Cardio’ | 30% | Gum tragacanth (20% w/w) | At 4, 10, 15 and 23 ℃ | 6 days | 18–22 days | [79] |
| Strawberry cv. ‘Bari’ | 100% | 1% (w/v) CMC | At 6 ± 1 ℃ and 50% ± 5% RH | 3–6 days | 12–15 days | [62] |
| Mango var. ‘Ngowe’ | 25%, 50%, 75% | - | At 13 and 15–22 ℃ | [85] | ||
| Fresh-cut kiwifruit cv. ‘Hayward’ | 5% | - | At 4 ± 1 ℃ and 75% RH | 6 days | 11 days | [49] |
| Fresh-cut papaya cv. Pusa delicious | 100% | 1.5% glycerol | At 4 ± 1 ℃ and 95% RH | 6 days | 12 days | [75] |
| Ready-to-eat pomegranate arils cv. Mollar de Elche | 50% and 100% | Ascorbic acid and citric acid (0.5% and 1.0%) | At 3 ℃ and 90% RH | 4 days | 8–12 days | [63] |
| Minimally processed pomegranate arils cv. ‘Malas Saveh’ | 60, 125, 250, 500 mL/ L | - | At 5 ℃ and 95% RH | - | - | [47] |
| Fresh-cut oranges | 50% and 100% | Gelatin | At 4 ℃ | 9 days | 17 days | [81] |
| Fresh-cut apples cv. ‘Hongro’ | 50% | 0.5% Cysteine | At 4 ℃ | 8 days | 16 days | [89] |
4.2. Effects on Internal Food Quality Attributes
4.3. Effects on Hidden Food Quality Attributes
5. Conclusions: Current Use and Future Trends
Author Contributions
Funding
Conflicts of Interest
References
- Cordenunsi, B.R.; Nascimento, J.R.O.; Lajolo, F.M. Physicochemical changes related to quality of five strawberry fruit cultivars during cool-storage. Food Chem. 2003, 83, 167–173. [Google Scholar] [CrossRef]
- Sharma, R.R.; Singh, D.; Singh, R. Biological control of postharvest diseases of fruits and vegetables by microbial antagonists: A review. Biol. Cont. 2009, 50, 205–221. [Google Scholar] [CrossRef]
- Coulibaly, O.; Nouhoheiflin, T.; Aitchedji, C.C.; Cherry, A.J.; Adegbola, P. Consumers’ Perceptions and Willingness to Pay for Organically Grown Vegetables. Int. J. Veg. Sci. 2011, 17, 349–362. [Google Scholar] [CrossRef]
- Lin, D.; Zhao, Y. Innovations in the development and application of edible coatings for fresh and minimally processed fruits and vegetables. Compr. Rev. Food Sci. Food Saf.-CRFSFS 2007, 6, 60–75. [Google Scholar] [CrossRef]
- Silvestre, C.; Duraccio, D.; Cimmino, S. Food packaging based on polymer nanomaterials. Prog. Polym. Sci. 2011, 36, 1766–1782. [Google Scholar] [CrossRef]
- Sharif, R.; Mujtaba, M.; Ur Rahman, M.; Shalmani, A.; Ahmad, H.; Anwar, T.; Tianchan, D.; Wang, X. The Multifunctional Role of Chitosan in Horticultural Crops; A Review. Molecules 2015, 23, 872. [Google Scholar] [CrossRef]
- Adiletta, G.; Pasquariello, M.S.; Zampella, L.; Mastrobuoni, F.; Scortichini, M.; Petriccione, M. Chitosan coating: A postharvest treatment to delayoxidative stress in loquat fruits during cold storage. Agronomy 2018, 8, 54. [Google Scholar] [CrossRef]
- Prakash, B.; Kedia, A.; Mishra, P.K.; Dubey, N.K. Plant essential oils as food preservatives to control moulds, mycotoxin contamination and oxidative deterioration of agri-food commodities—Potentials and challenges. Food Cont. 2015, 47, 381–391. [Google Scholar] [CrossRef]
- Kahramanoğlu, İ. Effects of lemongrass oil application and modified atmosphere packaging on the postharvest life and quality of strawberry fruits. Sci. Hortic. 2019, 256. [Google Scholar] [CrossRef]
- Kahramanoğlu, İ.; Aktaş, M.; Gündüz, Ş. Effects of fludioxonil, propolis and black seed oil application on the postharvest quality of “Wonderful” pomegranate. PLoS ONE 2018, 13, e0198411. [Google Scholar] [CrossRef]
- Chen, J.; Shen, Y.; Chen, C.; Wan, C. Inhibition of key citrus postharvest fungal strains by plant extracts in vitro and in vivo: A review. Plants 2019, 8, 26. [Google Scholar] [CrossRef] [PubMed]
- Gatto, M.A.; Sergio, L.; Ippolito, A.; Di Venere, D. Phenolic extracts from wild edible plants to control postharvest diseases of sweet cherry fruit. Postharvest Biol. Technol. 2016, 120, 80–187. [Google Scholar] [CrossRef]
- Dang, K.T.H.; Singh, Z.; Swinny, E.E. Edible coatings influence fruit ripening, quality, and aroma biosynthesis in mango fruit. J. Agric. Food Chem. 2008, 56, 1361–1370. [Google Scholar] [CrossRef] [PubMed]
- Chen, C.; Peng, X.; Zeng, R.; Chen, M..; Wan, C.; Chen, J. Ficus hirta fruits extract incorporated into an alginate-based edible coating for Nanfeng mandarin preservation. Sci. Hortic. 2016, 202, 41–48. [Google Scholar] [CrossRef]
- Troyo, R.D.; Acedo, A.L. Effects of calcium ascorbate and calcium lactate on quality offresh-cut pineapple (Ananas comosus). Int. J. Agric. Life Sci. 2019, 3, 143–150. [Google Scholar]
- Misir, J.; Brishti, F.H.; Hoque, M.M. Aloe vera gel as a novel edible coating for fresh fruits: A Review. Am. J. Food Sci. Technol. 2014, 2, 93–97. [Google Scholar] [CrossRef]
- Kahramanoğlu, İ. Introductory chapter: Postharvest physiology and technology of horticultural crops. In Postharvest Handling; Kahramanoğlu, İ., Ed.; InTech Open: London, UK, 2017; pp. 1–5. [Google Scholar] [CrossRef]
- Singh, D.; Sharma, R.R. Postharvest diseases of fruits and vegetables and their management. In Postharvest Disinfection of Fruits and Vegetables; Elsevier: Amsterdam, The Netherlands, 2018; pp. 1–52. [Google Scholar]
- Dagne, E.; Bisrat, D.; Viljoen, A.; Van Wyk, B.E. Chemistry of Aloe Species. Curr. Org. Chem. 2000, 4, 1055–1078. [Google Scholar] [CrossRef]
- Mchugh, T.H.; Senesi, E. Apple wraps: A novel method to improve the quality and extend the shelf life of fresh-cut apples. J. Food Sci. 2000, 65, 480–485. [Google Scholar] [CrossRef]
- Michailides, T.J.; Manganaris, G.A. Harvesting and handling effects on postharvest decay. Stewart Postharvest Rev. 2009, 5, 1–7. [Google Scholar] [CrossRef][Green Version]
- Lv, L.; Yang, Q.Y.; Zhao, Y.; Yao, C.S.; Sun, Y.; Yang, E.J.; Fang, W.S. BACE1 (β-secretase) inhibitory chromone glycosides from Aloe vera and Aloe nobilis. Planta Med. 2008, 74, 540–545. [Google Scholar] [CrossRef]
- Lee, S.; Do, S.G.; Kim, S.Y.; Kim, J.; Jin, Y.; Lee, C.H. Mass Spectrometry-Based Metabolite Profiling and Antioxidant Activity of Aloe vera (Aloe barbadensis Miller) in Different Growth Stages. J. Agric. Food Chem. 2012, 60, 11222–11228. [Google Scholar] [CrossRef] [PubMed]
- Park, M.K.; Park, J.H.; Shin, Y.G.; Kim, W.Y.; Lee, J.H.; Kim, K.H. Neoaloesin A: A New C-Glucofuranosyl Chromone from Aloe barbadensis. Planta Medica 1996, 64, 363–365. [Google Scholar] [CrossRef] [PubMed]
- Okamura, N.; Hine, N.; Tateyama, Y.; Nakazawa, M.; Fujioka, T.; Mihashi, K.; Yagi, A. Three chromones of Aloe vera leaves. Phytochemistry 1997, 45, 1511–1513. [Google Scholar] [CrossRef]
- Okamura, N.; Hine, N.; Harada, S.; Fujioka, T.; Mihashi, K.; Yagi, A. Three chromone components from Aloe vera leaves. Phytochemistry 1996, 43, 495–498. [Google Scholar] [CrossRef]
- Okamura, N.; Hine, N.; Tateyama, Y.; Nakazawa, M.; Fujioka, T.; Mihashi, K.; Yagi, A. Five chromones from Aloe vera leaves. Phytochemistry 1998, 49, 219–223. [Google Scholar] [CrossRef]
- Okamura, N.; Hine, N.; Harada, S.; Fujioka, T.; Mihashi, K.; Nishi, M.; Miyahara, K.; Yagi, A. Diastereomeric C-glucosylanthrones of Aloe vera leaves. Phytochemistry 1997, 45, 1519–1522. [Google Scholar] [CrossRef]
- Zhong, J.S.; Huang, Y.Y.; Zhang, T.H.; Liu, Y.P.; Ding, W.J.; Wu, X.F.; Xie, Z.Y.; Luo, H.B.; Wan, J.Z. Natural phosphodiesterase-4 inhibitors from the leaf skin of Aloe barbadensis Miller. Fitoterapia 2015, 100, 68–74. [Google Scholar] [CrossRef]
- Hutter, J.A.; Salman, M.; Stavinoha, W.B.; Satsangi, N.; Williams, R.F.; Streeper, R.T.; Weintraub, S.T. Antiinflammatory C-Glucosyl Chromone from Aloe barbadensis. J. Nat. Prod. 1996, 59, 541–543. [Google Scholar] [CrossRef]
- Kim, J.H.; Yoon, J.Y.; Yang, S.Y.; Choi, S.K.; Kwon, S.J.; Cho, I.S.; Jeong, M.H.; Kim, Y.H.; Choi, G.S. Tyrosinase inhibitory components from Aloe vera and their antiviral activity. J. Enzym. Inhib. Med. Chem. 2017, 32, 78–83. [Google Scholar] [CrossRef]
- Rehman, N.U.; Al-Riyami, S.A.; Hussain, H.; Ali, A.; Khan, A.L.; Al-Harrasi, A. Secondary metabolites from the resins of Aloe vera and Commiphora mukul mitigate lipid peroxidation. Acta Pharm. 2019, 69, 433–441. [Google Scholar] [CrossRef]
- Rehman, N.U.; Hussain, H.; Khiat, M.; Khan, H.Y.; Abbas, G.; Green, I.R.; Al-Harrasi, A. Bioactive chemical constituents from the resin of Aloe vera. Z. Nat. Sect. B-A J. Chem. Sci. 2017, 72, 955–958. [Google Scholar] [CrossRef]
- Rehman, N.U.; Hussain, H.; Khiat, M.; Al-Riyami, S.A.; Csuk, R.; Khan, H.Y.; Abbas, G.; Al-Thani, G.S.; Green, I.R.; Al-Harrasi, A. Aloeverasides A and B: Two Bioactive C-Glucosyl Chromones from Aloe vera Resin. Helv. Chim. Acta 2016, 99, 687–690. [Google Scholar] [CrossRef]
- Yang, Q.Y.; Yao, C.S.; Fang, W.S. A new triglucosylated naphthalene glycoside from Aloe vera L. Fitoterapia 2010, 81, 59–62. [Google Scholar] [CrossRef] [PubMed]
- Choi, J.S.; Lee, S.K.; Sung, C.K.; Jung, J.H. Phytochemical study on Aloe vera. Arch. Pharmacal Res. 1996, 19, 163–167. [Google Scholar] [CrossRef]
- Tan, Z.J.; Li, F.F.; Xu, X.L. Extraction and purification of anthraquinones derivatives from Aloe vera L. using alcohol/salt aqueous two-phase system. Bioprocess Biosyst. Eng. 2013, 36, 1105–1113. [Google Scholar] [CrossRef]
- Borges-Argaez, R.; Chan-Balan, R.; Cetina-Montejo, L.; Ayora-Talavera, G.; Sansores-Peraza, P.; Gomez-Carballo, J.; Caceres-Farfan, M. In vitro evaluation of anthraquinones from Aloe vera (Aloe barbadensis Miller) roots and several derivatives against strains of influenza virus. Ind. Crop. Prod. 2019, 132, 468–475. [Google Scholar] [CrossRef]
- Epifano, F.; Fiorito, S.; Locatelli, M.; Taddeo, V.A.; Genovese, S. Screening for novel plant sources of prenyloxyanthraquinones: Senna alexandrina Mill. and Aloe vera (L.) Burm. F. Nat. Prod. Res. 2015, 29, 180–184. [Google Scholar] [CrossRef]
- Lopez, A.; de Tangil, M.; Vega-Orellana, O.; Ramirez, A.S.; Rico, M. Phenolic Constituents, Antioxidant and Preliminary Antimycoplasmic Activities of Leaf Skin and Flowers of Aloe vera (L.) Burm. f. (syn. A. barbadensis Mill.) from the Canary Islands (Spain). Molecules 2013, 18, 4942–4954. [Google Scholar] [CrossRef]
- Keyhanian, S.; Stahl-Biskup, E. Phenolic constituents in dried flowers of Aloe vera (Aloe barbadensis) and their in vitro antioxidative capacity. Planta Med. 2007, 73, 599–602. [Google Scholar] [CrossRef]
- Lawrence, R.; Tripathi, P.; Jeyakumar, E. Isolation, purification and evaluation of antibacterial agents from Aloe vera. Braz. J. Microbiol. 2009, 40, 906–915. [Google Scholar] [CrossRef]
- Zhang, X.F.; Wang, H.M.; Song, Y.L.; Nie, L.H.; Wang, L.F.; Liu, B.; Shen, P.P.; Liu, Y. Isolation, structure elucidation, antioxidative and immunomodulatory properties of two novel dihydrocoumarins from Aloe vera. Bioorg. Med. Chem. Lett. 2016, 16, 949–953. [Google Scholar] [CrossRef] [PubMed]
- Speranza, G.; Dadá, G.; Lunazzi, L.; Gramatica, P.; Manitto, P. Aloenin B, a New Diglucosylated 6-Phenyl-2-pyrone from Kenya Aloe. J. Nat. Prod. 1986, 49, 800–805. [Google Scholar] [CrossRef]
- Tanaka, M.; Misawa, E.; Ito, Y.; Habara, N.; Nomaguchi, K.; Yamada, M.; Toida, T.; Hayasawa, H.; Takase, M.; Inagaki, M.; et al. Identification of five phytosterols from aloe vera gel as anti-diabetic compounds. Biol. Pharm. Bull. 2006, 29, 1418–1422. [Google Scholar] [CrossRef] [PubMed]
- Afzal, M.; Ali, M.; Hassan, R.A.H.; Sweedan, N.; Dhami, M.S.I. Identification of Some Prostanoids in Aloe vera Extracts. Planta Med. 1991, 57, 38–40. [Google Scholar] [CrossRef]
- Nabigol, A.; Asghari, A. Antifungal activity of Aloe vera gel on quality of minimally processed pomegranate arils. Int. J. Agron. Plant Prod. 2013, 4, 833–838. [Google Scholar]
- Kator, L.; Hosea, Z.Y.; Ene, O.P. The Efficacy of Aloe-vera coating on postharvest shelf life and quality tomato fruits during storage. Asian Res. J. Agric. 2018, 8, 1–9. [Google Scholar] [CrossRef]
- Benitez, S.; Achaerandio, I.; Pujol, M.; Sepulcre, F. Aloe vera as an alternative to traditional edible coatings used in freshcut fruits: A case of study with kiwifruit slices. LWT-Food Sci. Technol. 2015, 61, 184–193. [Google Scholar] [CrossRef]
- Krishnan, S.A.; Ullas, A.; Sagarika, N.; Oommen, T.E.; Sunaila, K. Development of Aloevera Based Edible Coating. Int. J. Pure App. Biosci. 2017, 5, 796–801. [Google Scholar] [CrossRef]
- Sitara, U.; Hassan, N.; Naseem, J. Antifungal activity of Aloe vera gel against plant pathogenic fungi. Pak. J. Bot. 2011, 43, 2231–2233. [Google Scholar]
- Rosca-Casian, O.; Parvu, M.; Vlase, L.; Tamas, M. Antifungal activity of Aloe vera leaves. Fitoterapia 2007, 78, 219–222. [Google Scholar] [CrossRef]
- Ortega-Toro, R.; Collazo-Bigliardi, S.; Roselló, J.; Santamarina, P.; Chiralt, A. Antifungal starch-based edible films containing Aloe vera. Food Hydrocoll. 2017, 72, 1–10. [Google Scholar] [CrossRef]
- Serrano, M.; Miguel, J.; Guillen, F.; Castillo, S.; Martinez-Romero, D.; Valero, D. Use of Aloe vera gel coating preserves the functional properties of table grapes. J. Agri. Food Chem. 2006, 54, 3882–3886. [Google Scholar] [CrossRef] [PubMed]
- Navarro, D.; Díaz-Mula, H.M.; Guillén, F.; Zapata, P.J.; Castillo, S.; Serrano, M.; Valero, D.; Martínez-Romero, D. Reduction of nectarine decay caused by Rhizopus stolonifer, Botrytis cinerea and Penicillium digitatum with Aloe vera gel alone or with the addition of thymol. Int. J. Food Microbiol. 2011, 151, 241–246. [Google Scholar] [CrossRef] [PubMed]
- Garcia, M.A.; Ventosa, M.; Diazi, R.; Falco, S.; Casariego, A. Effects of Aloe vera coating on postharvest quality of tomato. Fruits 2014, 69, 117–126. [Google Scholar] [CrossRef]
- Chrysargyris, A.; Nikou, A.; Tzortzakis, N. Effectiveness of Aloe vera gel coating for maintaining tomato fruit quality. N. Z. J. Crop Hortic. Sci. 2016. [Google Scholar] [CrossRef]
- Saks, Y.; Barkai-Golan, R. Aloe vera gel activity against plant pathogenic fungi. Postharvest Biol. Technol. 1995, 6, 159–165. [Google Scholar] [CrossRef]
- Jhalegar, J.; Sharma, R.R.; Singh, D. Antifungal efficacy of botanicals against major postharvest pathogens of Kinnow mandarin and their use to maintain postharvest quality. Fruits 2014, 69, 223–237. [Google Scholar] [CrossRef]
- Hassanpour, H. Effect of Aloe vera gel coating on antioxidant capacity, antioxidant enzyme activities and decay in raspberry fruit. LWT-Food Sci. Technol. 2015, 60, 495–501. [Google Scholar] [CrossRef]
- Vieira, J.M.; Flores-López, M.L.; de Rodríguez, D.J.; Sousa, M.C.; Vicente, A.A.; Martins, J.T. Effect of chitosan–Aloe vera coating on postharvest quality of blueberry (Vaccinium corymbosum) fruit. Postharvest Biol. Technol. 2016, 116, 88–97. [Google Scholar] [CrossRef]
- Nasrin, T.A.A.; Rahman, M.A.; Hossain, M.A.; Islam, M.N.; Arfin, M.S. Postharvest quality response of strawberries with aloe vera coating during refrigerated storage. J. Hortic. Sci. Biotechnol. 2017. [Google Scholar] [CrossRef]
- Martínez-Romero, D.; Castillo, S.; Guillén, F.; Díaz-Mula, H.M.; Zapata, P.J.; Valeroa, D.; Serranoba, M. Aloe vera gel coating maintains quality and safety of ready-to-eatpomegranate arils. Postharvest Biol. Technol. 2013, 86, 107–112. [Google Scholar] [CrossRef]
- Castillo, S.; Navarro, D.; Zapata, D.J.; Guillén, F.; Valero, D.; Martínez-Romero, D.; Serrano, M. Using Aloe vera as a preharvest treatment to maintain postharvest organic table grape quality. Acta Hortic. 2012, 933, 621–626. [Google Scholar] [CrossRef]
- Chauhan, S.; Gupta, K.C.; Agrawal, M. Application of Biodegradable Aloe vera gel to control post-harvest decay and longer the shelf life of Grapes. Int. J. Curr. Microbiol. App. Sci. 2014, 3, 632–642. [Google Scholar]
- Ferro, V.A.; Bradlbury, F.; Cameron, P.; Shakir, E.; Rahman, S.R.; Stimson, W.H. In vitro suscepitibilities of Shigella flexneri and Streptococcus pyogenes to inner gel of Aloe barbadensis Miller. Antimicrob. Agent Chemother. 2003, 47, 1137–1139. [Google Scholar] [CrossRef] [PubMed]
- Wang, H.H.; Chung, J.G.; Ho, C.C.; Wu, L.T.; Chang, S.H. Aloe-emodin effects on arylamine N-Acetyltransferase activity in the bacterium heliobacter pylori. Planta Med. 1998, 64, 176–178. [Google Scholar] [CrossRef]
- Cellini, L.; Di Bartolomeo, S.; Di Campli, E.; Genovese, S.; Locatelli, M.; Di Guilio, M. In vitro activity of Aloe vera inner gel against Heliobacter pylori strains. Lett. Appl. Microbiol. 2014, 59, 43–48. [Google Scholar] [CrossRef]
- Zandi, K.; Rastian, Z. Antiviral activity of Aloe vera against herpes simplex virus type 2: An in vitro study. Afr. J. Biotechnol. 2007, 6, 1770–1773. [Google Scholar]
- Li, S.W.; Yang, T.C.; Lai, C.C.; Huang, S.H.; Liao, J.M.; Wan, L.; Lin, Y.J.; Lin, C.W. Antiviral activity of aloe-emodin against influenza A virus via galectin-3 up-regulation. Eur. J. Pharmacol. 2014, 738, 125–132. [Google Scholar] [CrossRef]
- Achipiz, S.M.; Castillo, A.E.; Mosquera, S.A.; Hoyos, J.L.; Navia, D.P. Efecto de Recubrimiento a Base de Almidón Sobre la maduracion de la Guayaba (Psidium guajava). Biotecnol. Sect. Agropecu. Agroind. 2013, 2, 92–101. [Google Scholar]
- Adetunji, C.O.; Fawole, O.B.; Arowora, K.A.; Nwaubani, S.I.; Ajayi, E.S.; Oloke, J.K.; Majolagbe, O.M.; Ogundele, B.A.; Aina, J.A.; Adetunji, J.B. Effects of edible coatings from Aloe vera gel on quality and postharvest physiology of Ananas comosus (L.) fruit during ambient storage. Glob. J. Sci. Front. Res. Bio-Tech Genet. 2012, 12, 39–43. [Google Scholar]
- Shahkoomahally, S.; Ramezanian, A. Effect of Natural Aloe Vera Gel Coating Combined with Calcium Chloride and Citric Acid Treatments on Grape (Vitis vinifera L. Cv. Askari) Quality during Storage. Am. J. Food Sci. Technol. 2014, 2, 1–5. [Google Scholar] [CrossRef]
- Sharmin, M.R.; Islam, M.N.; Alim, M.A. Shelf-life enhancement of papaya with aloe vera gel coating at ambient temperature. J. Bangladesh Agril. Univ. 2015, 13, 131–136. [Google Scholar] [CrossRef]
- Khoshgozaran-Abrasa, S.; Azizia, M.H.; Hamidya, Z.; Bagheripoor-Fallah, N. Mechanical, physicochemical and color properties of chitosan based-films as a function of Aloe vera gel incorporation. Carbohydr. Polym. 2012, 87, 2058–2062. [Google Scholar] [CrossRef]
- Gutierrez, T.J.; Alvarez, K. Physico-chemical properties and in vitro digestibility of edible films made from plantain flour with added Aloe vera gel. J. Funct. Foods 2016, 26, 750–762. [Google Scholar] [CrossRef]
- Gutiérrez, T.J.; González, G. Effect of cross-linking with Aloe vera gel on surface and physicochemical properties of edible films made from plantain flour. Food Biophys. 2016. [Google Scholar] [CrossRef]
- Mohebbi, M.; Hasanpour, N.; Ansarifar, E.; Amiryousefi, M.R. Physicochemical properties of bell pepper and kinetics of its color change influenced by Aloe vera and gum tragacanth coatings during storage at different temperatures. J. Food Process Preserv. 2014, 38, 684–693. [Google Scholar] [CrossRef]
- Martínez-Romero, D.; Zapata, P.J.; Guillén, F.; Paladines, D.; Castillo, S.; Valero, D.; Serrano, M. The addition of rosehip oil to Aloe gels improves their properties as postharvest coatings for maintaining quality in plum. Food Chem. 2017, 217, 585–592. [Google Scholar] [CrossRef]
- Radi, M.; Firouzi, E.; Akhavan, H.; Amiri, S. Effect of gelatin-based edible coatings ıncorporated with Aloe vera and black and green tea extracts on the shelf life of fresh-cut oranges. Hindawi J. Food Qual. 2017, 2017, 9764650. [Google Scholar] [CrossRef]
- Vanaei, M.; Sedaghat, N.; Abbaspour, H.; Kaviani, M.; Azarbad, H.R. Novel edible coating based on Aloe Vera gel to maintain pistachio quality. Int. J. Sci. Eng. Technol. 2018, 3, 1016–1019. [Google Scholar]
- Sogvar, O.B.; Saba, M.K.; Emamifar, A. Aloe vera and ascorbic acid coatings maintain postharvest quality and reduce microbial load of strawberry fruit. Postharvest Biol. Technol. 2016, 114, 29–35. [Google Scholar] [CrossRef]
- Athmaselvi, K.A.; Sumitha, P.; Revathy, B. Development of Aloe vera based edible coating for tomato. Int. Agrophys. 2013, 27, 369–375. [Google Scholar] [CrossRef]
- Sophia, O.; Robert, G.M.; Ngwela, W.J. Effect of Aloe vera gel coating on postharvest quality and shelf life of mango (Magnifera indica L.) fruits var. ‘Ngowe’. J. Hortic. For. 2015, 7, 1–7. [Google Scholar] [CrossRef]
- Hazrati, S.; Kashkooli, A.B.; Habibzadeh, F.; Tahmasebi-Sarvestani, Z.; Sadeghi, A.R. Evaluation of Aloe vera gel as an alternative edible coating for peach fruits during cold storage period. Gesunde Pflanz. 2017, 69, 131–137. [Google Scholar] [CrossRef]
- Ahmed, M.J.; Singh, Z.; Khan, A.S. Postharvest Aloe vera gel-coating modulates fruit ripening and quality of ‘Arctic Snow’ nectarine kept in ambient and cold storage. Int. J. Food Sci. Technol. 2009, 44, 1024–1033. [Google Scholar] [CrossRef]
- Ravanfar, R.; Niakousari, M.; Maftoonazad, N. Postharvest sour cherry quality and safety maintenance by exposure to Hot- water or treatment with fresh Aloe vera gel. J. Food Sci. Technol. 2012. [Google Scholar] [CrossRef]
- Martinez-Romero, D.; Alburquerque, N.; Valverde, J.M.; Guillen, F.; Castillo, S.; Valero, D.; Serrano, M. Postharvest sweet cherry quality and safety maintenance by Aloe vera treatment: A new edible coating. Postharvest Biol. Technol. 2006, 39, 93–100. [Google Scholar] [CrossRef]
- Song, H.Y.; Jo, W.S.; Song, N.B.; Min, S.C.; Song, K.B. Quality change of apple slices coated with Aloe vera gel during storage. J. Food Sci. 2013, 78, 817–822. [Google Scholar] [CrossRef]
- Guillén, F.; Díaz-Mula, H.M.; Zapata, P.J.; Valero, D.; Serrano, M.; Castillo, S.; Martínez-Romero, D. Aloe arborescens and Aloe vera gels as coatings in delaying postharvest ripening in peach and plum fruit. Postharvest Biol. Technol. 2013, 83, 54–57. [Google Scholar] [CrossRef]
- Supapvanich, S.; Mitrsang, P.; Srinorkham, P.; Boonyaritthongchai, P.; Wongs-Aree, C. Effects of fresh Aloe vera gel coating on browning alleviation of fresh cut wax apple (Syzygium samarangenese) fruit cv. Taaptimjaan. J. Food Sci. Technol. 2016, 53, 2844–2850. [Google Scholar] [CrossRef]
- Reid, M.S. Ethylene in plant growth, development, and senescence. In Plant Hormones; Davis, P.J., Ed.; Springer: Dordrecht, The Netherlands, 1995. [Google Scholar] [CrossRef]
- Pierik, R.; Tholen, D.; Poorter, H.; Visser, E.J.; Voesenek, L.A. The Janus face of ethylene: Growth inhibition and stimulation. Trends Plant Sci. 2006, 11, 176–183. [Google Scholar] [CrossRef]
- Nazar, R.; Khan, M.I.; Iqbal, N.; Masood, A.; Khan, N.A. Involvement of ethylene in reversal of salt-inhibited photosynthesis by sulfur in mustard. Physiol. Plant 2014, 152, 331–344. [Google Scholar] [CrossRef] [PubMed]
- Defilippi, B.G.; Manríquez, D.; Luengwilai, K.; González-Agüero, M. Chapter 1 Aroma Volatiles: Biosynthesis and Mechanisms of Modulation During Fruit Ripening. Adv. Bot. Res. 2009, 50, 1–37. [Google Scholar] [CrossRef]
- El Hadi, M.A.; Zhang, F.J.; Wu, F.F.; Zhou, C.H.; Tao, J. Advances in fruit aroma volatile research. Molecules 2013, 18, 8200–8229. [Google Scholar] [CrossRef] [PubMed]
- Dixon, J.; Hewett, E.W. Factors affecting apple aroma/flavour volatile concentration: A review. N. Z. J. Crop Hortic. Sci. 2000, 28, 155–173. [Google Scholar] [CrossRef]
- Salunkhe, D.K.; Boun, H.R.; Rddy, N.R. Fresh Fruits and Vegetables. In Storage Processing and Nutritional Quality of Fruits and Vegetables; CRC Press Inc.: Boston, MA, USA, 1991; Volume 1. [Google Scholar]
- Weichmann, J. Postharvest Physiology of Vegetables; Marcel Dekker: New York, NY, USA, 1985. [Google Scholar]
- Deutsch, J.C. Dehydroascorbic acid: Review. J. Chromatogr. A 2000, 881, 299–307. [Google Scholar] [CrossRef]
- Lee, S.K.; Kader, A.A. Preharvest and postharvest factors influencing vitamin C content of horticultural crops. Postharvest Biol. Technol. 2000, 20, 207–220. [Google Scholar] [CrossRef]






| No | Constituents | Molecular Formula | Exact Mass | References |
|---|---|---|---|---|
| 1 | aloesin | C19H22O9 | 394.1264 | [22,23] |
| 2 | neoaloesin A | C19H22O9 | 394.1264 | [24] |
| 3 | 8-C-glucosyl-(R)-aloesol | C19H24O9 | 396.142 | [22] |
| 4 | 8-C-glucosyl-7-methoxy-(R)-aloesol | C20H26O9 | 410.1577 | [22] |
| 5 | 8-C-glucosyl-(S)-aloesol | C19H24O9 | 396.142 | [25] |
| 6 | 8-C-glucosyl-7-methoxy-(S)-aloesol | C20H26O9 | 410.1577 | [25,26] |
| 7 | 8-C-glucosyl-7-O-methylaloediol | C20H26O10 | 426.1526 | [22,25] |
| 8 | 8-glucosyl-(2’-O-cinnamoyl)-7-O-methylaloediol A | C29H32O12 | 572.1894 | [27] |
| 9 | 8-glucosyl-(2’-O-cinnamoyl)-7-O-methylaloediol B | C29H32O12 | 572.1894 | [27] |
| 10 | C-2′-decoumaroyl-aloeresin G | C20H24O8 | 392.1471 | [22] |
| 11 | aloeresin E | C29H32O10 | 540.1995 | [26] |
| 12 | isoaloeresin D | C29H32O11 | 556.1945 | [26,28,29] |
| 13 | iso-rabaichromone | C29H32O12 | 572.1894 | [25] |
| 14 | 8-[C-β-D-[2-O-(E)-cinnamoyl] glucopyranosyl]-2-[(R)-2-hydroxypropyl]-7-methoxy-5-methylchromone | C29H32O10 | 540.1995 | [30] |
| 15 | aloeresin D | C29H32O11 | 556.1945 | [22,30] |
| 16 | rabaichromone | C29H32O12 | 572.1894 | [22] |
| 17 | allo-aloeresin D | C29H32O11 | 556.1945 | [22] |
| 18 | aloeresin K | C31H34O12 | 598.205 | [29] |
| 19 | aloeresin J | C30H34O11 | 570.2101 | [29] |
| 20 | 8-C-glucosyl-noreugenin | C16H18O9 | 354.0951 | [27] |
| 21 | 4’-O-glucosyl-isoaloeresin DI | C35H42O16 | 718.2473 | [27] |
| 22 | 4’-O-glucosyl-isoaloeresin DII | C35H42O16 | 718.2473 | [27] |
| 23 | aloeresin A | C28H28O11 | 540.1632 | [23] |
| 24 | 7-O-methyl-aloeresin A | C29H30O11 | 554.1788 | [23,31] |
| 25 | 9-dihydroxyl-2’-O-(Z)-cinnamoyl-7-methoxy-aloesin | C29H30O12 | 570.1737 | [31] |
| 26 | 6′-O-coumaroyl-aloesin | C28H28O12 | 556.1581 | [32] |
| 27 | 7-methoxy-6′-O-coumaroyl-aloesin | C29H30O12 | 570.1737 | [33] |
| 28 | aloeveraside B | C28H28O12 | 556.1581 | [32,34] |
| 29 | aloeveraside A | C29H30O12 | 570.1737 | [32,34] |
| No | Constituents | Molecular Formula | Exact Mass | References |
|---|---|---|---|---|
| 30 | aloin A | C21H22O9 | 418.1264 | [29] |
| 31 | aloin B | C21H22O9 | 418.1264 | [29] |
| 32 | 6′-O-acetyl-aloin A | C23H24O10 | 460.1369 | [29] |
| 33 | 6′-O-acetyl-aloin B | C23H24O10 | 460.1369 | [29] |
| 34 | 10-hydroxyaloins A | C21H22O10 | 434.1213 | [28,32] |
| 35 | 10-hydroxyaloins B | C21H22O10 | 434.1213 | [28,32] |
| 36 | aloinoside A | C27H32O13 | 564.1843 | [29] |
| 37 | aloinoside B | C27H32O13 | 564.1843 | [29] |
| 38 | 7-hydroxyaloin A | C21H22O10 | 434.1213 | [23] |
| 39 | 7-hydroxyaloin B | C21H22O10 | 434.1213 | [23] |
| 40 | 7-hydroxy-8-O-methylaloin A | C22H24O10 | 448.1369 | [23,28] |
| 41 | 7-hydroxy-8-O-methylaloin B | C22H24O10 | 448.1369 | [23,28] |
| 42 | 6′-malonylnataloin A | C24H24O12 | 504.1268 | [23] |
| 43 | 6′-malonylnataloin B | C24H24O12 | 504.1268 | [23] |
| 44 | homonataloside B | C28H34O14 | 594.1949 | [23] |
| 45 | elgonica dimer A | C36H30O14 | 686.1636 | [29,35,36] |
| 46 | elgonica dimer B | C36H30O14 | 686.1636 | [29,35,36] |
| 47 | aloindimer A | C42H42O18 | 834.2371 | [29] |
| 48 | aloindimer B | C42H42O18 | 834.2371 | [29] |
| 49 | aloindimer C | C42H42O18 | 834.2371 | [29] |
| 50 | aloindimer D | C42H42O18 | 834.2371 | [29] |
| 51 | aloe-emodin-11-O-rhamnoside | C21H20O9 | 416.1107 | [32] |
| 52 | chrysophanol | C15H10O4 | 254.0579 | [37] |
| 53 | emodin | C15H10O5 | 270.0528 | [32,37] |
| 54 | physcione | C16H12O5 | 284.0685 | [37] |
| 55 | aloe-emodin | C15H10O5 | 270.0528 | [32,37] |
| 56 | nataloeemodin | C15H10O5 | 270.0528 | [23] |
| 57 | aloesaponarin I | C17H12O6 | 312.0634 | [38] |
| 58 | aloesaponarin II | C15H10O4 | 254.0579 | [38] |
| 59 | madagascine | C20H18O5 | 338.1154 | [39] |
| 60 | 3-Geranyloxyemodin | C24H24O5 | 392.1624 | [39] |
| 61 | rhein | C15H8O6 | 284.0321 | [37] |
| No | Constituents | Molecular formula | Exact Mass | References |
|---|---|---|---|---|
| 62 | apigenin | C15H10O5 | 270.0528 | [40] |
| 63 | luteolin | C15H10O6 | 286.0477 | [41] |
| 64 | isovitexin | C21H20O10 | 432.1056 | [41] |
| 65 | isoorientin | C21H20O11 | 448.1006 | [41] |
| 66 | saponarin | C27H30O15 | 594.1585 | [41] |
| 67 | lutonarin | C27H30O16 | 610.1534 | [41] |
| 68 | kaempferol | C15H10O6 | 286.0477 | [40] |
| 69 | quercetin | C15H10O7 | 302.0427 | [40] |
| 70 | myricetin | C15H10O8 | 318.0376 | [40] |
| 71 | quercitrin | C21H20O11 | 448.1006 | [40] |
| 72 | rutin | C27H30O16 | 610.1534 | [40] |
| 73 | catechin | C15H14O6 | 290.0790 | [40] |
| 74 | epicatechin | C15H14O6 | 290.0790 | [40] |
| No | Constituents | Molecular Formula | Exact Mass | References |
|---|---|---|---|---|
| 75 | cinnamic acid | C9H8O2 | 148.0524 | [42] |
| 76 | p-coumaric | C9H8O3 | 164.0473 | [40] |
| 77 | caffeic acid | C9H8O4 | 180.0423 | [40] |
| 78 | ferulic acid | C10H10O4 | 194.0579 | [40] |
| 79 | sinapic acid | C11H12O5 | 224.0685 | [40] |
| 80 | 5-p-coumaroylquinic | C16H18O8 | 338.1002 | [41] |
| 81 | chlorogenic | C16H18O9 | 354.0951 | [40] |
| 82 | 5-feruloylquinic | C17H20O9 | 368.1107 | [41] |
| 83 | caffeoylshikimic | C16H16O8 | 336.0845 | [41] |
| 84 | 5-p-cis-coumaroylquinic | C16H18O8 | 338.1002 | [41] |
| 85 | 3-(4-hydroxyphenyl) propanoic acid | C9H10O3 | 166.063 | [32] |
| 86 | methyl 3-(4-hydroxyphenyl) propionate | C10H12O3 | 180.0786 | [32] |
| 87 | 7-demethylsiderin | C11H10O4 | 206.0579 | [32] |
| 88 | feralolide | C18H16O7 | 344.0896 | [33,36] |
| 89 | dihydrocoumarin | C22H18O7 | 394.1053 | [43] |
| 90 | dihydrocoumarin ethyl ester | C25H26O7 | 438.1679 | [43] |
| No | Constituents | Molecular Formula | Exact Mass | References |
|---|---|---|---|---|
| 91 | aloenin A | C19H22O10 | 410.1213 | [44] |
| 92 | aloenin B | C34H38O17 | 718.2109 | [35,44] |
| 93 | p-coumaroyl aloenin | C28H28O12 | 556.1581 | [35] |
| 94 | aloveroside A | C30H40O17 | 672.2265 | [35] |
| 95 | feroxidin | C11H14O3 | 194.0943 | [32] |
| 96 | 1-(2,4-dihydroxy-6-methylphenyl) ethanone | C9H10O3 | 166.0630 | [32] |
| 97 | p-anisaldehyde | C8H8O2 | 136.0524 | [32] |
| 98 | salicylaldehyde | C7H6O2 | 122.0368 | [32] |
| 99 | p-cresol | C7H8O | 108.0575 | [32] |
| 100 | pyrocatechol | C6H6O2 | 110.0368 | [42] |
| 101 | gentisic acid | C7H6O4 | 154.0266 | [40] |
| 102 | gallic acid | C7H6O5 | 170.0215 | [40] |
| 103 | vanillic acid | C8H8O4 | 168.0423 | [40] |
| 104 | syringic acid | C9H10O5 | 198.0528 | [40] |
| 105 | ascorbic acid | C6H8O6 | 176.0321 | [40] |
| No | Constituents | Molecular Formula | Exact Mass | References |
|---|---|---|---|---|
| 106 | cycloartanol | C30H52O | 428.4018 | [45] |
| 107 | 24-methylene-cycloartanol | C31H52O | 440.4018 | [45] |
| 108 | lophenol | C28H48O | 400.3705 | [45] |
| 109 | 24-methyl-lophenol | C29H50O | 414.3862 | [45] |
| 110 | 24-ethyl-lophenol | C30H52O | 428.4018 | [45] |
© 2019 by the authors. Licensee MDPI, Basel, Switzerland. This article is an open access article distributed under the terms and conditions of the Creative Commons Attribution (CC BY) license (http://creativecommons.org/licenses/by/4.0/).
Share and Cite
Kahramanoğlu, İ.; Chen, C.; Chen, J.; Wan, C. Chemical Constituents, Antimicrobial Activity, and Food Preservative Characteristics of Aloe vera Gel. Agronomy 2019, 9, 831. https://doi.org/10.3390/agronomy9120831
Kahramanoğlu İ, Chen C, Chen J, Wan C. Chemical Constituents, Antimicrobial Activity, and Food Preservative Characteristics of Aloe vera Gel. Agronomy. 2019; 9(12):831. https://doi.org/10.3390/agronomy9120831
Chicago/Turabian StyleKahramanoğlu, İbrahim, Chuying Chen, Jinyin Chen, and Chunpeng Wan. 2019. "Chemical Constituents, Antimicrobial Activity, and Food Preservative Characteristics of Aloe vera Gel" Agronomy 9, no. 12: 831. https://doi.org/10.3390/agronomy9120831
APA StyleKahramanoğlu, İ., Chen, C., Chen, J., & Wan, C. (2019). Chemical Constituents, Antimicrobial Activity, and Food Preservative Characteristics of Aloe vera Gel. Agronomy, 9(12), 831. https://doi.org/10.3390/agronomy9120831

