Local and Nonlocal Steering Kernel Weighted Total Variation Model for Image Denoising
Abstract
:1. Introduction
2. Related Works
2.1. Regularization Based Denoising Framework
2.2. Local Steering Kernel
3. Local and Nonlocal Steering Kernel Weighted Total Variation Model
| Algorithm 1: Proposed image denoising algorithm |
| Input: noisy observation . |
| 1. Initialization: |
| 2. Iteration: Whiledo Calculate the normalized weight by Equation (15) Update according to Equation (19) end While Output: desired image |
4. Experimental Results and Analysis
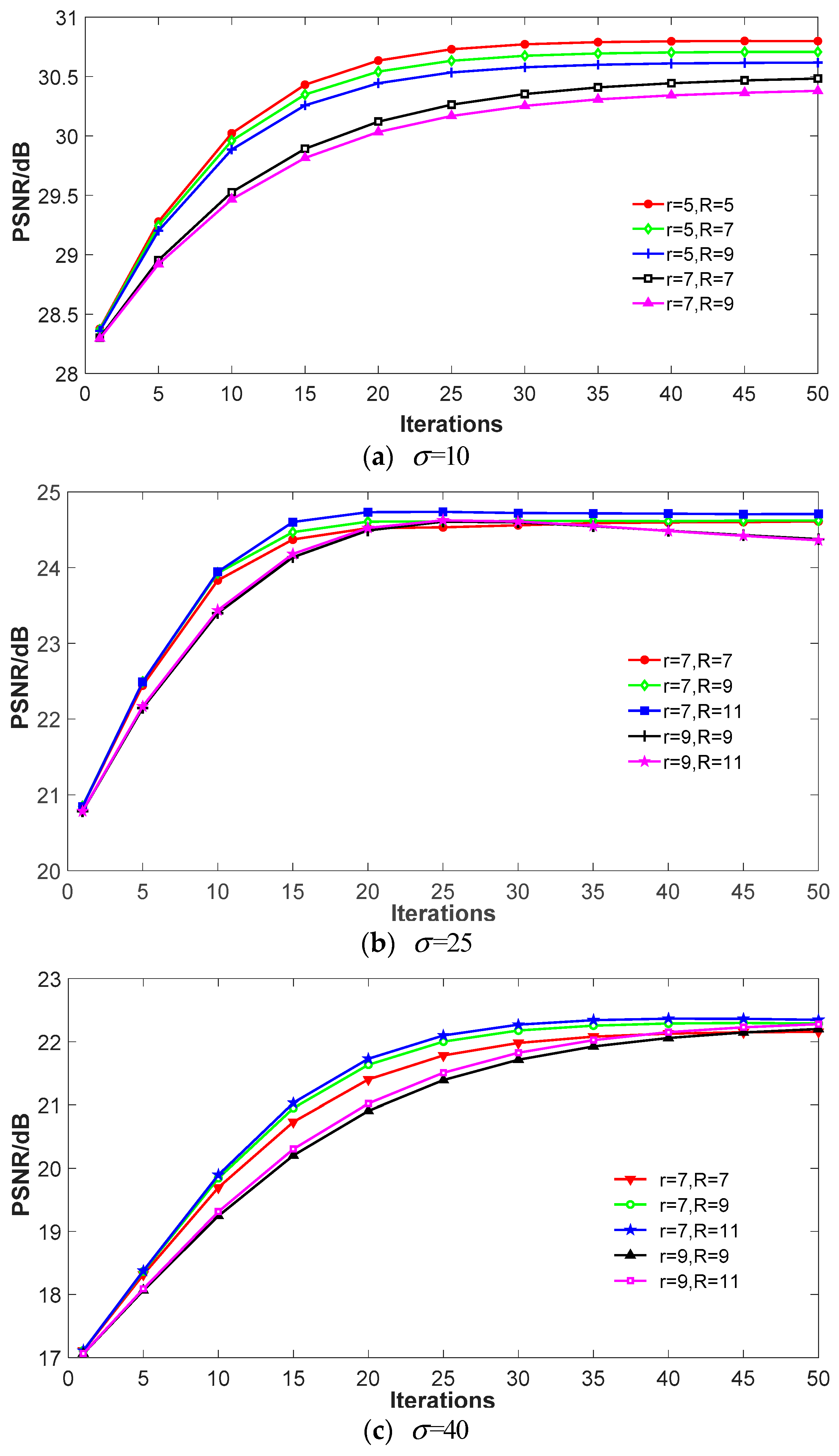
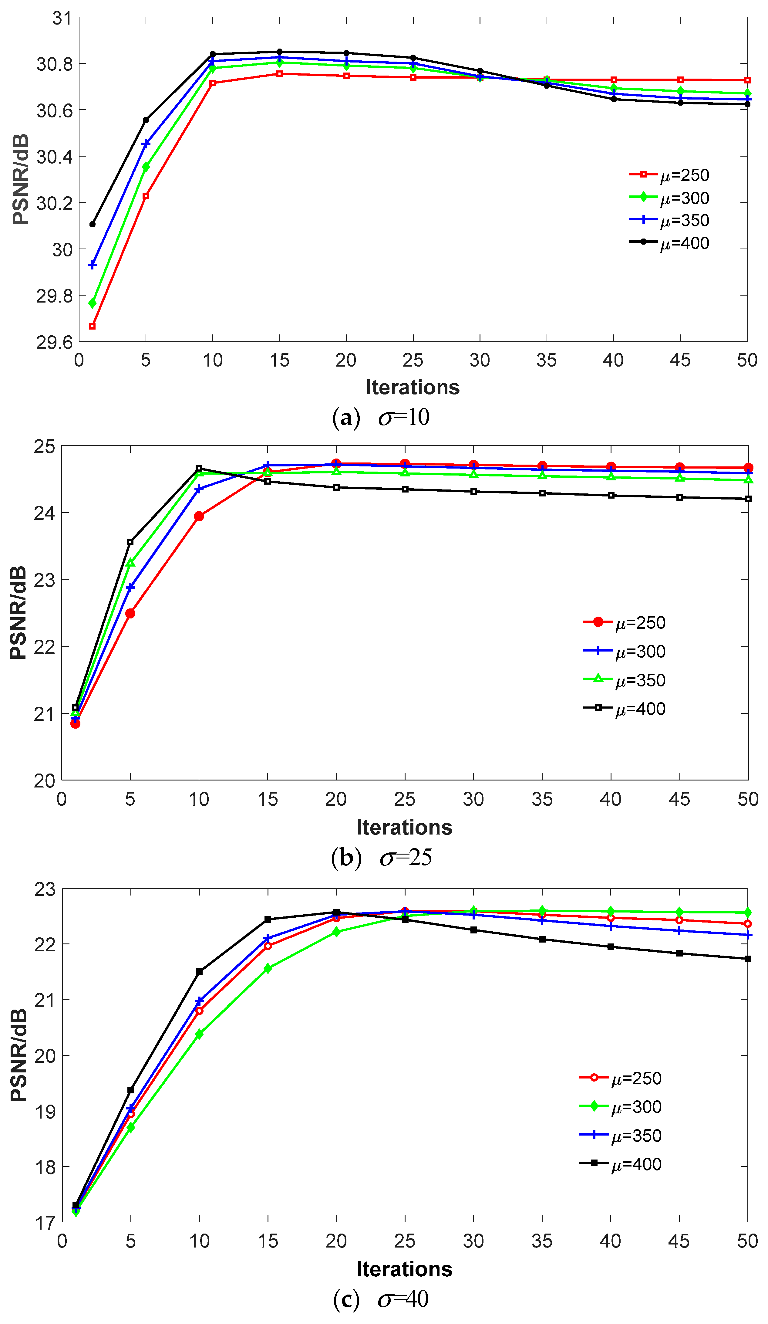
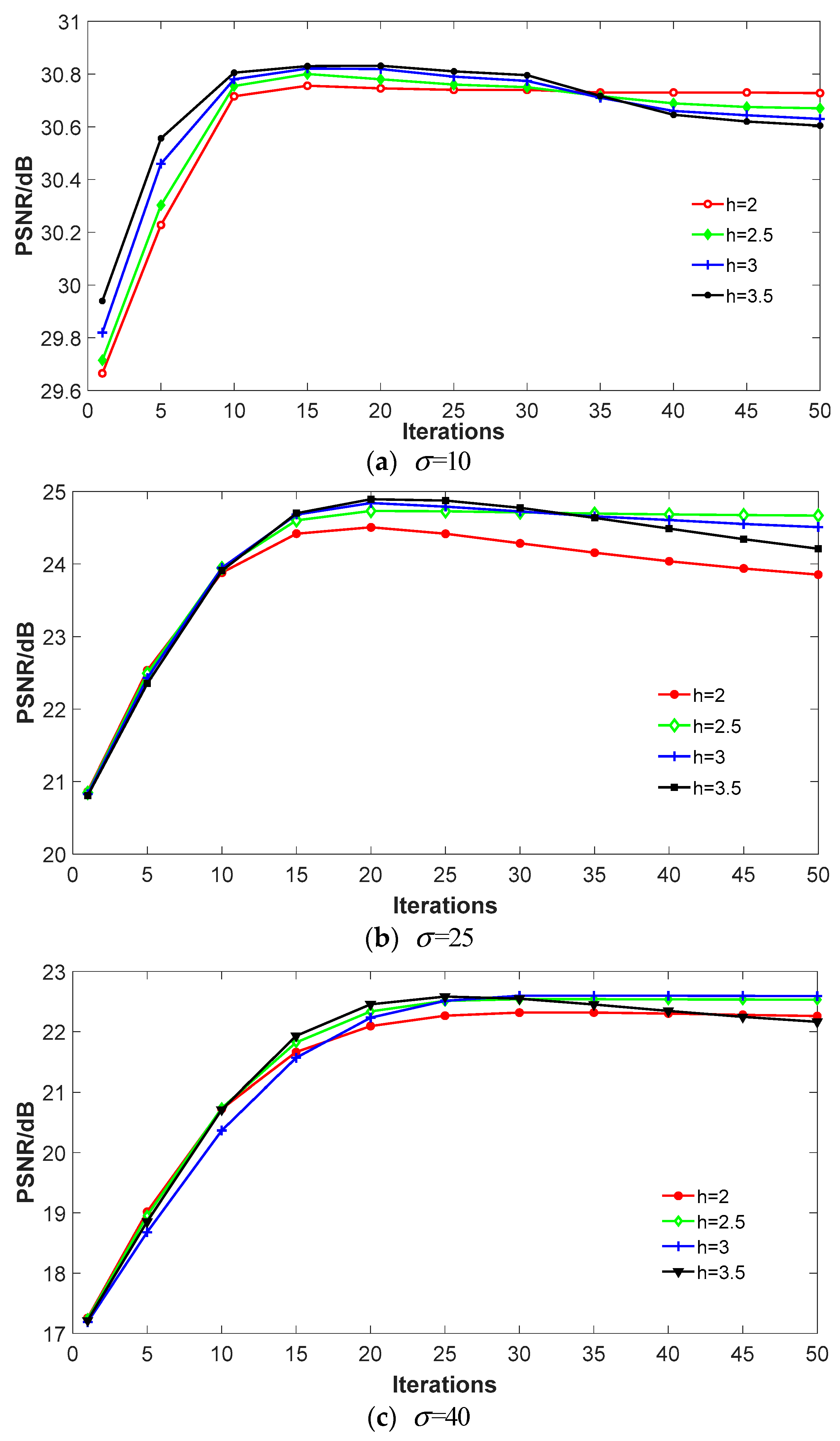
4.1. Parameter Sensitivity Analysis
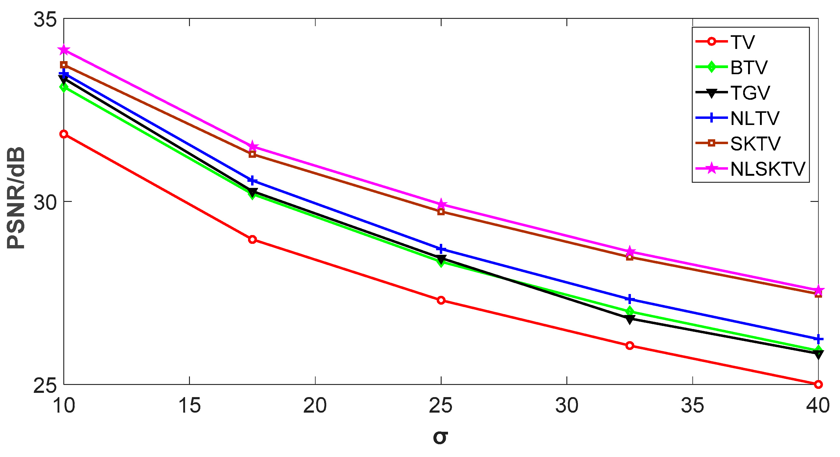
4.2. Performance Comparisons
4.3. Image Deblurring Application
4.4. Runtime Comparisons
5. Conclusions
Author Contributions
Funding
Acknowledgments
Conflicts of Interest
References
- Portilla, J.; Strela, V.; Wainwright, M.J.; Simoncelli, E.P. Image denoising using scale mixtures of gaussians in the wavelet domain. IEEE Trans. Image Process. 2003, 12, 1338–1351. [Google Scholar] [CrossRef] [PubMed]
- Bertalmio, M.; Caselles, V.; Pardo, A. Movie denoising by average of warped lines. IEEE Trans. Image Process. 2007, 16, 2333–2347. [Google Scholar] [CrossRef] [PubMed]
- Kindermann, S.; Osher, S.; Jones, P.W. Deblurring and denoising of images by nonlocal functionals. Multiscale Model. Simul. 2005, 4, 1091–1115. [Google Scholar] [CrossRef]
- Schulte, S.; Huysmans, B.; Pižurica, A.; Kerre, E.E.; Philips, W. A new fuzzy-based wavelet shrinkage image denoising technique. In International Conference on Advanced Concepts for Intelligence Vision System; Springer: Berlin, Heidelberg, 2006; pp. 12–23. [Google Scholar]
- Felzenszwalb, P.F.; Girshick, R.B.; McAllester, D.; Ramanan, D. Object detection with discriminatively trained partbased models. IEEE Trans. Pattern Anal. Mach. Intell. 2010, 9, 1627–1645. [Google Scholar] [CrossRef] [PubMed]
- Pang, Y.; Yuan, Y.; Wang, K. Learning optimal spatial filters by discriminant analysis for brain–computer-interface. Neurocomputing 2012, 77, 20–27. [Google Scholar] [CrossRef]
- Arivazhagan, S.; Deivalakshmi, S.; Kannan, K.; Gajbhiye, B.N.; Muralidhar, C.; Lukose, S.N.; Subramanian, M.P. Performance analysis of image denoising system for different levels of wavelet decomposition. Int. J. Imaging Sci. Eng. 2007, 1, 104–107. [Google Scholar]
- Buades, A.; Coll, B.; Morel, J.M. A review of image denoising algorithms, with a new one. Multiscale Model. Simul. 2005, 4, 490–530. [Google Scholar] [CrossRef]
- Rao, B.C.; Latha, M.M. Analysis of multi resolution image denoising scheme using fractal transform. Int. J. 2010, 2, 63–74. [Google Scholar]
- Kim, W.H.; Sikora, T. Image denoising method using diffusion equation and edge map estimated with k-means clustering algorithm. In Eighth International Workshop on Image Analysis for Multimedia Interactive Services (WIAMIS’07); IEEE: Santorini, Aegean Sea, Greece, 2007; p. 21. [Google Scholar]
- Pardo, A. Analysis of non-local image denoising methods. Pattern Recognit. Lett. 2010, 32, 2145–2149. [Google Scholar] [CrossRef]
- Pang, Y.; Li, X.; Yuan, Y. Robust tensor analysis with L1-norm. IEEE Trans. Circuits Syst. Video Technol. 2010, 20, 172–178. [Google Scholar] [CrossRef]
- Diewald, U.; Preusser, T.; Rumpf, M. Anisotropic diffusion in vector field visualization on euclidean domains and surfaces. IEEE Trans. Vis. Comput. Gr. 2000, 6, 139–149. [Google Scholar] [CrossRef]
- Rajan, J.; Kannan, K.; Kaimal, M.R. An improved hybrid model for molecular image denoising. J. Math. Imaging Vision 2008, 31, 73–79. [Google Scholar] [CrossRef]
- Catté, F.; Lions, P.L.; Morel, J.M.; Coll, T. Image selective smoothing and edge detection by nonlinear diffusion. SIAM J. Numer. Anal. 1992, 29, 182–193. [Google Scholar] [CrossRef]
- Rudin, L.I.; Osher, S.; Fatemi, E. Nonlinear total variation based noise removal algorithms. Phys. D Nonlinear Phenom. 1992, 60, 259–268. [Google Scholar] [CrossRef]
- Tomasi, C.; Manduchi, R. Bilateral filtering for gray and color images. In Sixth International Conference on Computer Vision; IEEE: Bombay, MH, India, 1998; pp. 839–846. [Google Scholar]
- Farsiu, S.; Robinson, M.D.; Elad, M.; Milanfar, P. Fast and robust multiframe super resolution. IEEE Trans. Image Process. 2004, 13, 1327–1344. [Google Scholar] [CrossRef] [PubMed]
- Hu, H.; Froment, J. Nonlocal total variation for image denoising. In Symposium on Photonics and Optoelectronics (SOPO); IEEE: Shanghai, China, 2012; pp. 1–4. [Google Scholar]
- Yang, M.; Liang, J.; Zhang, J.; Gao, H.; Meng, F.; Xingdong, L.; Song, S.J. Non-local means theory based Perona–Malik model for image denosing. Neurocomputing 2013, 120, 262–267. [Google Scholar] [CrossRef]
- Takeda, H.; Farsiu, S.; Milanfar, P. Kernel regression for image processing and reconstruction. IEEE Trans. Image Process. 2007, 16, 349–366. [Google Scholar] [CrossRef] [PubMed]
- Li, Y.; Zhang, Y. Robust infrared small target detection using local steering kernel reconstruction. Pattern Recognit. 2018, 77, 113–125. [Google Scholar] [CrossRef]
- Efros, A.A.; Leung, T.K. Texture synthesis by non-parametric sampling. In Proceedings of the Seventh IEEE International Conference on Computer Vision; IEEE: Kerkyra, Greece, 1999; pp. 1033–1038. [Google Scholar]
- Protter, M.; Elad, M.; Takeda, H.; Milanfar, P. Generalizing the nonlocal-means to super-resolution reconstruction. IEEE Trans. Image Process. 2009, 18, 36–51. [Google Scholar] [CrossRef] [PubMed]
- Zhang, K.; Gao, X.; Tao, D.; Li, X. Image super-resolution via non-local steering kernel regression regularization. In 2013 IEEE International Conference on Image Processing; IEEE: Melbourne, VIC, Australia, 2013; pp. 943–946. [Google Scholar]
- Elad, M.; Hel-Or, Y. A fast super-resolution reconstruction algorithm for pure translational motion and common space-invariant blur. IEEE Trans. Image Process. 2001, 10, 1187–1193. [Google Scholar] [CrossRef] [PubMed]
- Elad, M.; Feuer, A. Restoration of a single superresolution image from several blurred, noisy, and undersampled measured images. IEEE Trans. Image Process. 1997, 6, 1646–1658. [Google Scholar] [CrossRef] [PubMed]
- Nguyen, N.; Milanfar, P.; Golub, G. A computationally efficient superresolution image reconstruction algorithm. IEEE Trans. Image Process. 2001, 10, 573–583. [Google Scholar] [CrossRef] [PubMed]
- Gilboa, G.; Osher, S. Nonlocal linear image regularization and supervised segmentation. Multiscale Model. Simul. 2007, 6, 595–630. [Google Scholar] [CrossRef]
- Chan, T.F.; Osher, S.; Shen, J. The digital TV filter and nonlinear denoising. IEEE Trans. Image Process. 2001, 10, 231–241. [Google Scholar] [CrossRef] [PubMed]
- Feng, X.; Milanfar, P. Multiscale principal components analysis for image local orientation estimation. In Conference Record of the Thirty-Sixth Asilomar Conference on Signals, Systems and Computers; IEEE: Pacific Grove, CA, USA, 2002; Volume 1, pp. 478–482. [Google Scholar]
- Takeda, H.; Farsiu, S.; Milanfar, P. Higher order bilateral filters and their properties. In Computational Imaging V; International Society for Optics and Photonics: San Jose, CA, USA, 2007; Volume 6498. [Google Scholar]
- Seo, H.J.; Milanfar, P. Static and space-time visual saliency detection by self-resemblance. J. Vis. 2009, 9, 15. [Google Scholar] [CrossRef] [PubMed]
- Tschumperlé, D. PDE’s Based Regularization of Multivalued Images and Applications. Ph.D. Thesis, University Nice Sophia Antipolis, Nice, France, 2012. [Google Scholar]
- Zhang, K.; Gao, X.; Li, J.; Xia, H. Single image super-resolution using regularization of non-local steering kernel regression. Signal Process. 2016, 123, 53–63. [Google Scholar] [CrossRef]
- Getreuer, P. Total variation deconvolution using split Bregman. Image Process. Line. 2012, 2, 158–174. [Google Scholar] [CrossRef]
- Zhang, X.; Burger, M.; Bresson, X.; Osher, S. Bregmanized nonlocal regularization for deconvolution and sparse reconstruction. SIAM J. Imaging Sci. 2010, 3, 253–276. [Google Scholar] [CrossRef]
- Wang, Z.; Bovik, A.C.; Sheikh, H.R.; Simoncelli, E.P. Image quality assessment: From error visibility to structural similarity. IEEE Trans. Image Process. 2004, 13, 600–612. [Google Scholar] [CrossRef] [PubMed]
- Langer, A. Automated parameter selection for total variation minimization in image restoration. J. Math. Imaging Vision 2015, 57, 1–30. [Google Scholar] [CrossRef]
- Chambolle, A.; Caselles, V.; Novaga, M.; Pock, T. An introduction to total variation for image analysis. In Theoretical Foundations and Numerical Methods for Sparse Recovery; De Gruyter: Berlin, Germany, 2009. [Google Scholar]
- Bredies, K.; Kunisch, K.; Pock, T. Total generalized variation. SIAM J. Imaging Sci. 2010, 3, 492–526. [Google Scholar] [CrossRef]
- Ma, L.; Xu, L.; Zeng, T. Low rank prior and total variation regularization for image deblurring. J. Sci. Comput. 2017, 70, 1336–1357. [Google Scholar] [CrossRef]








| Method | Zebra | Boat | Barbara | Dollar | Lighthouse | House |
|---|---|---|---|---|---|---|
| PSNR/SSIM | PSNR/SSIM | PSNR/SSIM | PSNR/SSIM | PSNR/SSIM | PSNR/SSIM | |
| σ = 10 | ||||||
| TV | 31.84/0.8053 | 31.45/0.8204 | 29.90/0.7998 | 28.69/0.8235 | 30.58/0.8287 | 35.23/0.8567 |
| BTV | 33.13/0.8825 | 32.37/0.8598 | 30.96/0.8690 | 29.73/0.8816 | 31.26/0.8633 | 36.54/0.9303 |
| TGV | 33.36/0.8771 | 32.81/0.8688 | 31.42/0.8797 | 29.54/0.8750 | 31.54/0.8661 | 36.77/0.9466 |
| NLTV | 34.06/0.8952 | 32.85/0.8692 | 32.26/0.9091 | 30.60/0.9296 | 31.84/0.8743 | 37.24/0.9392 |
| LSKTV | 33.73/0.8891 | 32.87/0.8701 | 31.91/0.8983 | 29.88/0.9021 | 32.04/0.8729 | 37.39/0.9347 |
| NLSKTV | 34.18/0.8955 | 32.97/0.8745 | 32.60/0.9139 | 30.80/0.9329 | 32.20/0.8852 | 37.76/0.9394 |
| σ = 25 | ||||||
| TV | 27.30/0.6553 | 27.30/0.6810 | 24.98/0.6568 | 22.72/0.6566 | 25.89/0.6721 | 31.15/0.7583 |
| BTV | 28.35/0.8143 | 28.10/0.7392 | 25.64/0.7079 | 23.52/0.7236 | 26.30/0.6982 | 32.46/0.8842 |
| TGV | 28.45/0.7724 | 28.24/0.7399 | 25.71/0.6876 | 23.17/0.6974 | 26.32/0.6788 | 32.63/0.8512 |
| NLTV | 28.70/0.8288 | 28.19/0.7477 | 26.02/0.7368 | 23.57/0.7474 | 26.25/0.7133 | 32.64/0.8705 |
| LSKTV | 29.72/0.8345 | 28.73/0.7543 | 26.72/0.7642 | 24.15/0.7767 | 27.71/0.7297 | 33.47/0.8783 |
| NLSKTV | 30.21/0.8495 | 29.31/0.7737 | 27.37/0.8043 | 24.73/0.8455 | 28.03/0.7505 | 34.05/0.8938 |
| σ =40 | ||||||
| TV | 25.00/0.5862 | 25.45/0.6064 | 23.55/0.5869 | 20.54/0.5633 | 23.90/0.5824 | 29.06/0.7064 |
| BTV | 25.92/0.7640 | 26.20/0.6682 | 23.77/0.6238 | 21.05/0.6072 | 24.04/0.6024 | 30.44/0.8540 |
| TGV | 25.84/0.7340 | 26.19/0.6670 | 24.00/0.5995 | 20.80/0.5753 | 24.01/0.5683 | 30.34/0.8232 |
| NLTV | 26.27/0.7405 | 26.26/0.6653 | 24.52/0.6756 | 21.75/0.7101 | 24.50/0.6220 | 29.99/0.7834 |
| LSKTV | 27.47/0.7735 | 26.75/0.6801 | 24.53/0.6626 | 21.90/0.6805 | 25.67/0.6476 | 31.18/0.8255 |
| NLSKTV | 27.56/0.8092 | 26.83/0.6937 | 24.74/0.6980 | 22.60/0.7420 | 25.74/0.6604 | 31.31/0.8498 |
| Method | TV | BTV | TGV | NLTV | LSKTV | NLSKTV |
|---|---|---|---|---|---|---|
| PSNR/SSIM | PSNR/SSIM | PSNR/SSIM | PSNR/SSIM | PSNR/SSIM | PSNR/SSIM | |
| 24.68/0.7574 | 24.67/0.7698 | 24.74/0.7666 | 24.88/0.7719 | 24.98/0.7887 | 25.14/0.7923 | |
| 23.67/0.6385 | 23.75/0.6827 | 23.91/0.6693 | 24.01/0.6986 | 24.37/0.7506 | 24.53/0.7550 |
| Image Size | TV | BTV | TGV | NLTV | LSKTV | NLSKTV |
|---|---|---|---|---|---|---|
| 128 × 128 | 0.001 | 0.033 | 0.032 | 0.118 | 0.485 | 0.753 |
| 256 × 256 | 0.051 | 0.112 | 0.089 | 0.423 | 1.356 | 1.975 |
| 512 × 512 | 0.175 | 0.451 | 0.338 | 2.024 | 4.122 | 6.771 |
© 2019 by the authors. Licensee MDPI, Basel, Switzerland. This article is an open access article distributed under the terms and conditions of the Creative Commons Attribution (CC BY) license (http://creativecommons.org/licenses/by/4.0/).
Share and Cite
Lai, R.; Mo, Y.; Liu, Z.; Guan, J. Local and Nonlocal Steering Kernel Weighted Total Variation Model for Image Denoising. Symmetry 2019, 11, 329. https://doi.org/10.3390/sym11030329
Lai R, Mo Y, Liu Z, Guan J. Local and Nonlocal Steering Kernel Weighted Total Variation Model for Image Denoising. Symmetry. 2019; 11(3):329. https://doi.org/10.3390/sym11030329
Chicago/Turabian StyleLai, Rui, Yiguo Mo, Zesheng Liu, and Juntao Guan. 2019. "Local and Nonlocal Steering Kernel Weighted Total Variation Model for Image Denoising" Symmetry 11, no. 3: 329. https://doi.org/10.3390/sym11030329
APA StyleLai, R., Mo, Y., Liu, Z., & Guan, J. (2019). Local and Nonlocal Steering Kernel Weighted Total Variation Model for Image Denoising. Symmetry, 11(3), 329. https://doi.org/10.3390/sym11030329

