THz Time-Domain Ellipsometer for Material Characterization and Paint Quality Control with More Than 5 THz Bandwidth
Abstract
Featured Application
Abstract
1. Introduction
2. Experimental Setup
3. Results
3.1. Automotive Multi-Layer System on Metal Substrate
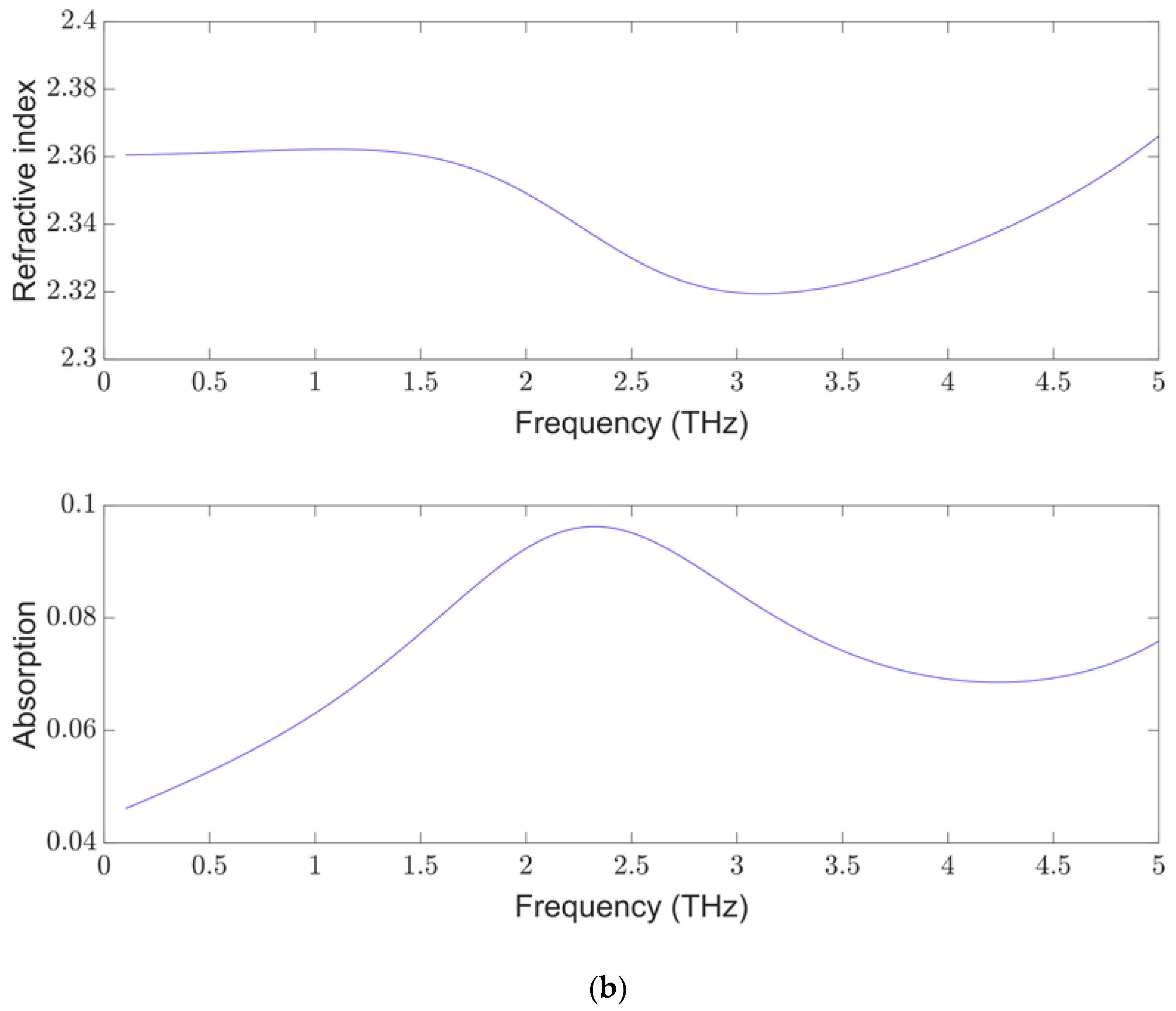
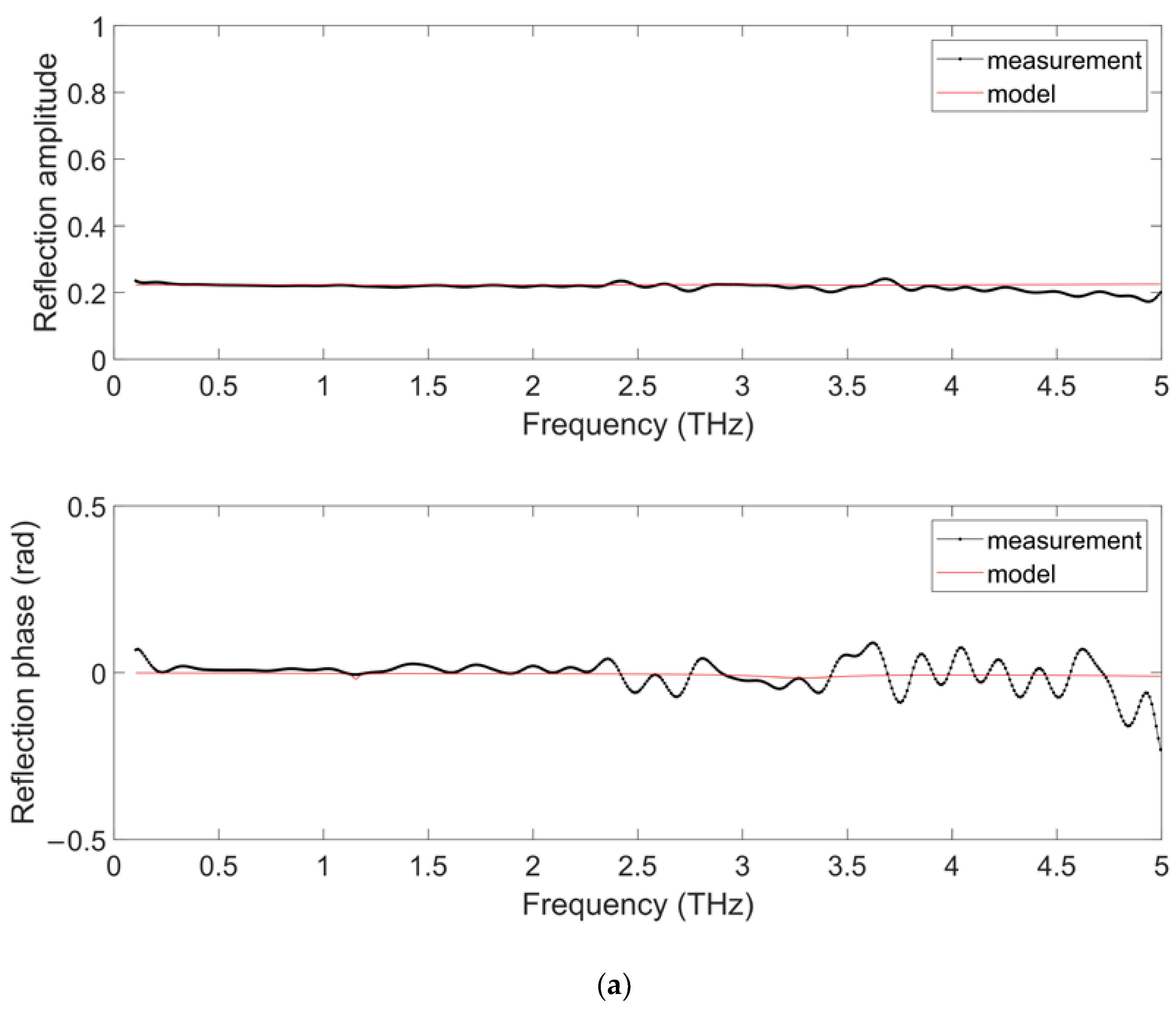
3.1.1. Single Layer Characterization
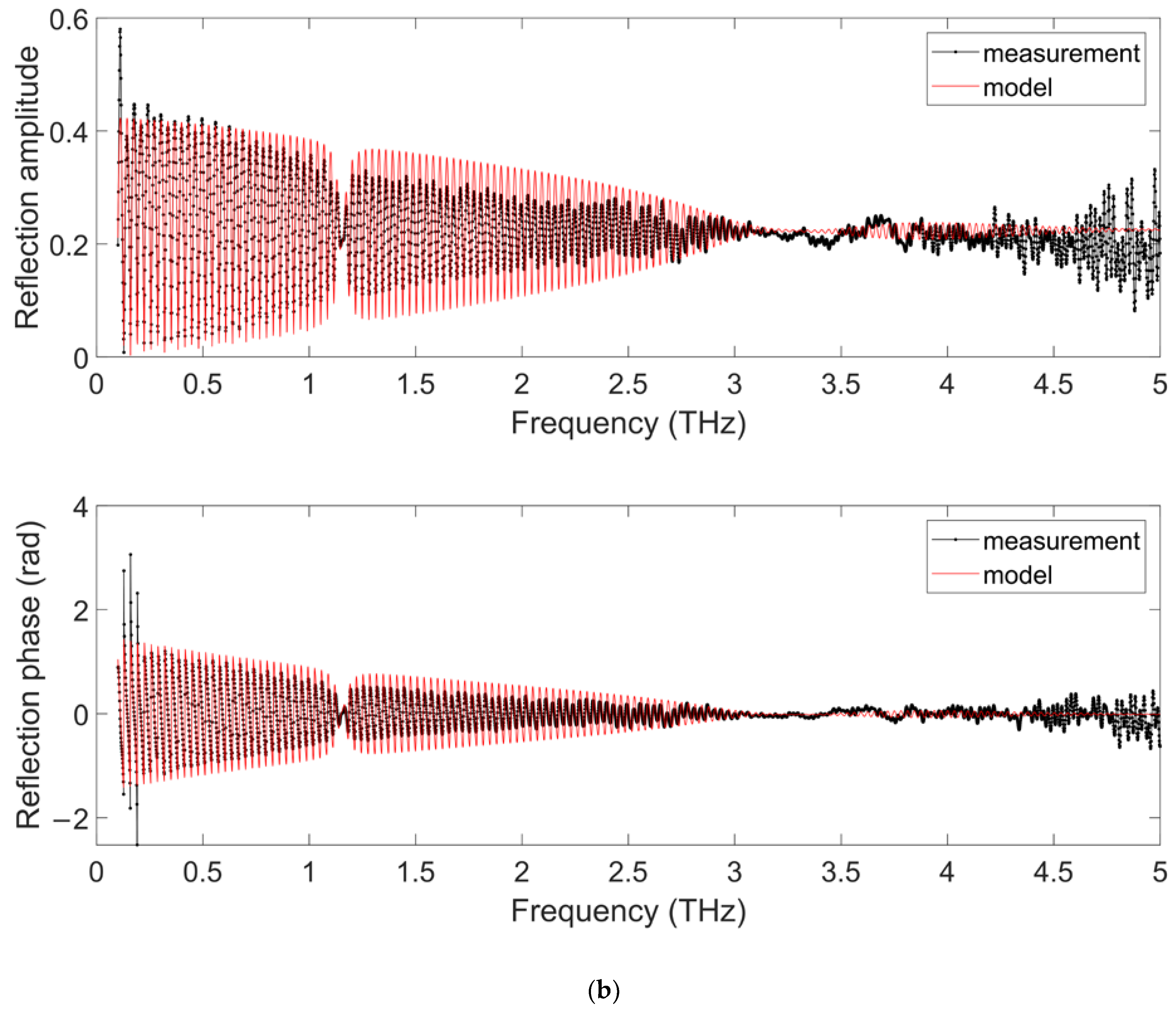
3.1.2. Full Stack Characterization
3.1.3. Thickness Measurement
3.2. Automotive Multi-Layer System on Plastic Substrate
3.2.1. Substrate Characterization
3.2.2. Multi-Layer on Anisotropic Plastic Substrate
4. Conclusions
Author Contributions
Funding
Institutional Review Board Statement
Informed Consent Statement
Data Availability Statement
Conflicts of Interest
References
- Ellrich, F.; Bauer, M.; Schreiner, N.; Keil, A.; Pfeiffer, T.; Klier, J.; Weber, S.; Jonuscheit, J.; Friedrich, F.; Molter, D. Terahertz Quality Inspection for Automotive and Aviation Industries. J. Infrared Millim. Terahertz Waves 2020, 41, 470–489. [Google Scholar] [CrossRef]
- Izutani, Y.; Akagi, M.; Kitagishi, K. Measurements of paint thickness of automobiles by using THz time-domain spectroscopy. In Proceedings of the 2012 37th International Conference on Infrared, Millimeter, and Terahertz Waves, Wollongong, NSW, Australia, 23–28 September 2012; pp. 1–2. [Google Scholar]
- Krimi, S.; Klier, J.; Herrmann, M.; Jonuscheit, J.; Beigang, R. Inline multilayer thickness sensing by using terahertz time-domain spectroscopy in reflection geometry. In Proceedings of the 2013 38th International Conference on Infrared, Millimeter, and Terahertz Waves, Mainz, Germany, 1–6 September 2013; pp. 1–2. [Google Scholar]
- Van Mechelen, J.L.M.; Kuzmenko, A.B.; Merbold, H. Stratified dispersive model for material characterization using terahertz time-domain spectroscopy. Opt. Lett. 2014, 39, 3853–3856. [Google Scholar] [CrossRef] [PubMed]
- Su, K.; Shen, Y.-C.; Zeitler, J.A. Terahertz Sensor for Non-Contact Thickness and Quality Measurement of Automobile Paints of Varying Complexity. IEEE Trans. Terahertz Sci. Technol. 2014, 4, 432–439. [Google Scholar] [CrossRef]
- Hernandez-Serrano, A.I.; Castro-Camus, E. Determination of automobile paint thickness using non-contact THz TDS technique. In Proceedings of the 2015 40th International Conference on Infrared, Millimeter, and Terahertz Waves, Hong Kong, China, 23–28 August 2015; p. 1. [Google Scholar]
- Ellrich, F.; Klier, J.; Weber, S.; Jonuscheit, J.; Freymann, G. Terahertz time-domain technology for thickness determination of industrial relevant multi-layer coatings. In Proceedings of the 2016 41st International Conference on Infrared, Millimeter, and Terahertz Waves, Copenhagen, Denmark, 25–30 September 2016; pp. 1–2. [Google Scholar]
- Krimi, S.; Torosyan, G.; Beigang, R. Advanced GPU-Based terahertz Approach for In-Line Multilayer Thickness Measurements. IEEE J. Sel. Top. Quantum Electron. 2017, 23, 1–12. [Google Scholar] [CrossRef]
- Duvillaret, L.; Garet, F.; Coutaz, J.-L. Highly precise determination of optical constants and sample thickness in terahertz time-domain spectroscopy. Appl. Opt. 1999, 38, 409–415. [Google Scholar] [CrossRef]
- Li, M.; Fortin, J.; Kim, J.Y.; Fox, G.; Chu, F.; Davenport, T.; Lu, T.-M.; Zhang, X.-C. Dielectric Constant Measurement of Thin Films Using Goniometric Terahertz Time-Domain Spectroscopy. IEEE J. Sel. Top. Quantum Electron. 2001, 7, 624–629. [Google Scholar]
- Scheller, M. Real-time terahertz material characterization by numerical three-dimensional optimization. Opt. Express 2011, 19, 10647–10655. [Google Scholar] [CrossRef]
- Hejase, J.A.; Rothwell, E.J.; Chahal, P. A multiple Angle Method for THz Time-Domain Material Characterization. IEEE Trans. Terahertz Sci. Technol. 2013, 3, 656–665. [Google Scholar] [CrossRef]
- Scheller, M. Data Extraction from Terahertz Time Domain Spectroscopy Measurements. J. Infrared Millim. Terahertz Waves 2014, 35, 638–648. [Google Scholar] [CrossRef]
- Bernier, M.; Garet, F.; Kato, E.; Blampey, B.; Coutaz, J.-L. Comparative Study of Material Parameter Extraction Using Terahertz Time-Domain Spectroscopy in Transmission and in Reflection. J. Infrared Millim. Terahertz Waves 2018, 39, 349–366. [Google Scholar] [CrossRef]
- Krimi, S.; Klier, J.; Jonuscheit, J.; von Freymann, G.; Urbansky, R.; Beigang, R. Highly accurate thickness measurement of multi-layered automotive paints using terahertz technology. Appl. Phys. Lett. 2016, 109, 021105. [Google Scholar] [CrossRef]
- Taschin, A.; Bartolini, P.; Tasseva, J.; Torre, R. THz time-domain spectroscopic investigations of thin films. Measurement 2018, 118, 282–288. [Google Scholar] [CrossRef]
- Röseler, A. IR spectroscopic ellipsometry: Instrumentation and results. Thin Solid Films 1993, 234, 307–313. [Google Scholar] [CrossRef]
- Jellison, G.E., Jr. The calculation of thin film parameters from spectroscopic ellipsometry data. Thin Solid Films 1996, 290–291, 40–45. [Google Scholar] [CrossRef]
- Schubert, M. Generalized ellipsometry and complex optical system. Thin Solid Films 1998, 313–314, 323–332. [Google Scholar] [CrossRef]
- Collins, R.W.; Koh, J.; Fujiwara, H.; Rovira, P.I.; Ferlauto, A.S.; Zapien, J.A.; Wromski, C.R.; Messier, R. Recent progress in thin film growth analysis by multichannel spectroscopic ellipsometry. Appl. Surf. Sci. 2000, 154–155, 217–228. [Google Scholar] [CrossRef]
- Aspnes, D.E. Expanding horizons: New developments in ellipsometry and polarimetry. Thin Solid Films 2004, 455–456, 3–13. [Google Scholar] [CrossRef]
- Birch, J.R. The Absolute Determination of Complex Reflectivity. Infrared Phys. 1978, 18, 613–620. [Google Scholar] [CrossRef]
- Gatesman, A.J.; Giles, R.H.; Waldman, J. High-precision reflectometer for submillimeter wavelengths. J. Opt. Soc. Am. B 1995, 12, 212–219. [Google Scholar] [CrossRef]
- Neshat, M.; Armitage, N.P. Developments in THz range ellipsometry. J. Infrared Millim. Terahertz Waves 2013, 34, 682–708. [Google Scholar] [CrossRef][Green Version]
- Nagashima, T.; Hangyo, M. Measurement of complex optical constants of a highly doped Si wafer using terahertz ellipsometry. Appl. Phys. Lett. 2001, 79, 3017–3019. [Google Scholar] [CrossRef]
- Matsumoto, N.; Fujii, T.; Kageyama, K.; Takagi, H.; Nagashima, T.; Hangyo, M. Measurement of the Soft-Mode Dispersion in SrTiO3 by Terahertz Time-Domain Spectroscopic Ellipsometry. Jpn. J. Appl. Phys. 2009, 48, 09KC11. [Google Scholar] [CrossRef]
- Iwata, T.; Uemura, H.; Mizutani, Y.; Yasui, T. Double-modulation reflection-type terahertz ellipsometer for measuring the thickness of a thin paint coating. Opt. Express 2014, 22, 20595–20606. [Google Scholar] [CrossRef]
- Chen, X.; Parrott, E.P.J.; Huang, Z.; Chan, H.-P.; Pickwell-MacPherson, E. Robust and accurate terahertz time-domain spectroscopic ellipsometry. Photonics Res. 2018, 6, 768–775. [Google Scholar] [CrossRef]
- Guo, Q.; Zhang, Y.; Lyu, Z.; Zhang, D.; Huang, Y.; Meng, C.; Zhao, Z.; Yuan, J. THz Time-Domain Spectroscopic Ellipsometry with Simultaneous Measurements of Orthogonal Polarizations. IEEE Trans. Terahertz Sci. Technol. 2019, 9, 422–429. [Google Scholar] [CrossRef]
- Agulto, V.C.; Iwamoto, T.; Kitahara, H. Terahertz time-domain ellipsometry with high precision for the evaluation of GaN crystals with carrier densities up to 1020 cm−3. Sci. Rep. 2021, 11, 18129. [Google Scholar] [CrossRef]
- Matsumoto, N.; Hosokura, T.; Nagashima, T.; Hangyo, M. Measurement of the dielectric constant of thin films by terahertz time-domain spectroscopic ellipsometry. Opt. Lett. 2011, 36, 265–267. [Google Scholar] [CrossRef]
- Lucarini, V.; Ino, Y.; Peiponen, K.-E.; Kuwata-Gonokami, M. Detection and correction of the misplacement error in terahertz spectroscopy by application of singly subtractive Kramers-Kronig relations. Phy. Rev. B 2005, 72, 125107. [Google Scholar] [CrossRef]
- Vartiainen, E.M.; Peiponen, K.-E.; Asakura, T. Phase Retrieval in Optical Spectroscopy: Resolving Optical Constants from Power Spectra. Appl. Spectrosc. 1996, 50, 1283–1289. [Google Scholar] [CrossRef]
- Vartiainen, E.M.; Ino, Y.; Shimano, R.; Kuwata-Gonokami, M.; Svirko, Y.P.; Peiponen, K.-E. Numerical phase correction method for terahertz time-domain reflection spectroscopy. J. Appl. Phys. 2004, 96, 4171–4175. [Google Scholar] [CrossRef]
- Kohlhaas, R.; Breuer, S.; Liebermeister, L.; Nellen, S.; Deumer, M.; Semtsiv, M.P.; Masselink, T.; Globisch, B. 637 µW emitted terahertz power from photoconductive antennas based on rhodium doped InGaAs. Appl. Phys. Lett. 2020, 117, 131105. [Google Scholar] [CrossRef]
- Kohlhaas, R.B.; Breuer, S.; Mutschall, S.; Kehrt, M.; Nellen, S.; Liebermeister, L.; Schell, M.; Globisch, B. Fiber Coupled THz Time-Domain Spectrometer with 10 THz Bandwidth. In Proceedings of the 2021 46th International Conference on Infrared, Millimeter, and Terahertz Waves, Chengdu, China, 29 August–3 September 2021; pp. 1–2. [Google Scholar]
- Neshat, M.; Armitage, N.P. Improved measurement of polarization state in terahertz polarization spectroscopy. Opt. Lett. 2012, 37, 1811–1813. [Google Scholar] [CrossRef]
- Neshat, M.; Armitage, N.P. Terahertz time-domain spectroscopic ellipsometry: Instrumentation and calibration. Opt. Express 2012, 20, 29063–29075. [Google Scholar] [CrossRef]
- Tompkins, H.G.; Irene, E.A. Handbook of Ellipsometry; William Andrew Publishing: Norwich, NY, USA; Springer-Verlag GmbH & Co. KG: Heidelberg, Germany, 2005; pp. 77, 282. [Google Scholar]
- Liebermeister, L.; Nellen, S.; Kohlhaas, R.B.; Lauck, S.; Deumer, M.; Breuer, S.; Schell, M.; Globisch, B. Terahertz Multilayer Thickness Measurements: Comparison of Optoelectronic Time and Frequency Domain Systems. J. Infrared Millim. Terahertz Waves 2021, 42, 1153–1167. [Google Scholar] [CrossRef]
- Scheller, M.; Koch, M. Fast and Accurate Thickness Determination of Unknown Materials using Terahertz Time Domain Spectroscopy. J. Infrared Millim. Terahertz Waves 2009, 30, 762–769. [Google Scholar] [CrossRef]
- Stoik, C.D.; Bohn, M.J.; Blackshire, L. Nondestructive evaluation of aircraft composites using transmissive time domain spectroscopy. Opt. Express 2008, 16, 17039–17051. [Google Scholar] [CrossRef]
- Chudpooti, N.; Duangrit, N.; Burnett, A.D.; Freeman, J.R.; Gill, T.B.; Phongcharoenpanich, C.; Imberg, U.; Torrungrueng, D.; Akkaraekthalin, P.; Robertson, I.D.; et al. Wideband dielectric properties of silicon and glass substrates for terahertz integrated circuits and microsystems. Mater. Res. Express 2021, 8, 056201. [Google Scholar] [CrossRef]
- Fujiwara, H. Spectroscopic Ellipsometry—Principles and Applications; John Wiley & Sons Ltd.: Chichchester, UK, 2007; pp. 209–246. [Google Scholar]

















| Layer | THz Ellipsometry (µm) | THz Reflectometry (µm) | Confocal Microscope (µm) |
|---|---|---|---|
| Clear coat (CC) | 39.5 ± 0.2 | 39.6 ± 0.1 | 40.0 ± 0.9 |
| Base coat (BC) | 44.9 ± 0.4 | 42.8 ± 0.1 | - |
| E-coat | 17.1 ± 0.5 | 18.1 ± 0.1 | - |
| Layer | THz Ellipsometry (µm) | THz Reflectometry (µm) | Confocal Microscope (µm) |
|---|---|---|---|
| Clear coat (CC) | 32.2 ± 0.2 | 31.3 ± 0.1 | 32 µm ± 1.6 |
| Base coat (BC) | 14.2 ± 0.2 | 13.1 ± 0.1 | - |
| Primer | 12.2 ± 0.2 | 13.4 ± 0.1 | - |
| Substrate | 2940.5 ± 0.5 | 2937.0 ± 1 | - |
Publisher’s Note: MDPI stays neutral with regard to jurisdictional claims in published maps and institutional affiliations. |
© 2022 by the authors. Licensee MDPI, Basel, Switzerland. This article is an open access article distributed under the terms and conditions of the Creative Commons Attribution (CC BY) license (https://creativecommons.org/licenses/by/4.0/).
Share and Cite
Ketelsen, H.; Mästle, R.; Liebermeister, L.; Kohlhaas, R.; Globisch, B. THz Time-Domain Ellipsometer for Material Characterization and Paint Quality Control with More Than 5 THz Bandwidth. Appl. Sci. 2022, 12, 3744. https://doi.org/10.3390/app12083744
Ketelsen H, Mästle R, Liebermeister L, Kohlhaas R, Globisch B. THz Time-Domain Ellipsometer for Material Characterization and Paint Quality Control with More Than 5 THz Bandwidth. Applied Sciences. 2022; 12(8):3744. https://doi.org/10.3390/app12083744
Chicago/Turabian StyleKetelsen, Helge, Rüdiger Mästle, Lars Liebermeister, Robert Kohlhaas, and Björn Globisch. 2022. "THz Time-Domain Ellipsometer for Material Characterization and Paint Quality Control with More Than 5 THz Bandwidth" Applied Sciences 12, no. 8: 3744. https://doi.org/10.3390/app12083744
APA StyleKetelsen, H., Mästle, R., Liebermeister, L., Kohlhaas, R., & Globisch, B. (2022). THz Time-Domain Ellipsometer for Material Characterization and Paint Quality Control with More Than 5 THz Bandwidth. Applied Sciences, 12(8), 3744. https://doi.org/10.3390/app12083744

