Modulation of SERCA in Patients with Persistent Atrial Fibrillation Treated by Epicardial Thoracoscopic Ablation: The CAMAF Study
Abstract
1. Introduction
2. Methods
2.1. Study Design
2.2. Anthropometric Evaluation
2.3. Pre-Operative Management
2.4. Epicardial Catheter Ablation Procedure
2.5. Peri-Operative and Post-Operative Care
2.6. Blood Sampling
2.7. Cytokines
2.8. Isolation of Human Lymphocytes
2.9. Protein Isolation and ELISA Test
2.10. Study Endpoints
2.11. Follow-Up
2.12. Statistical Analysis
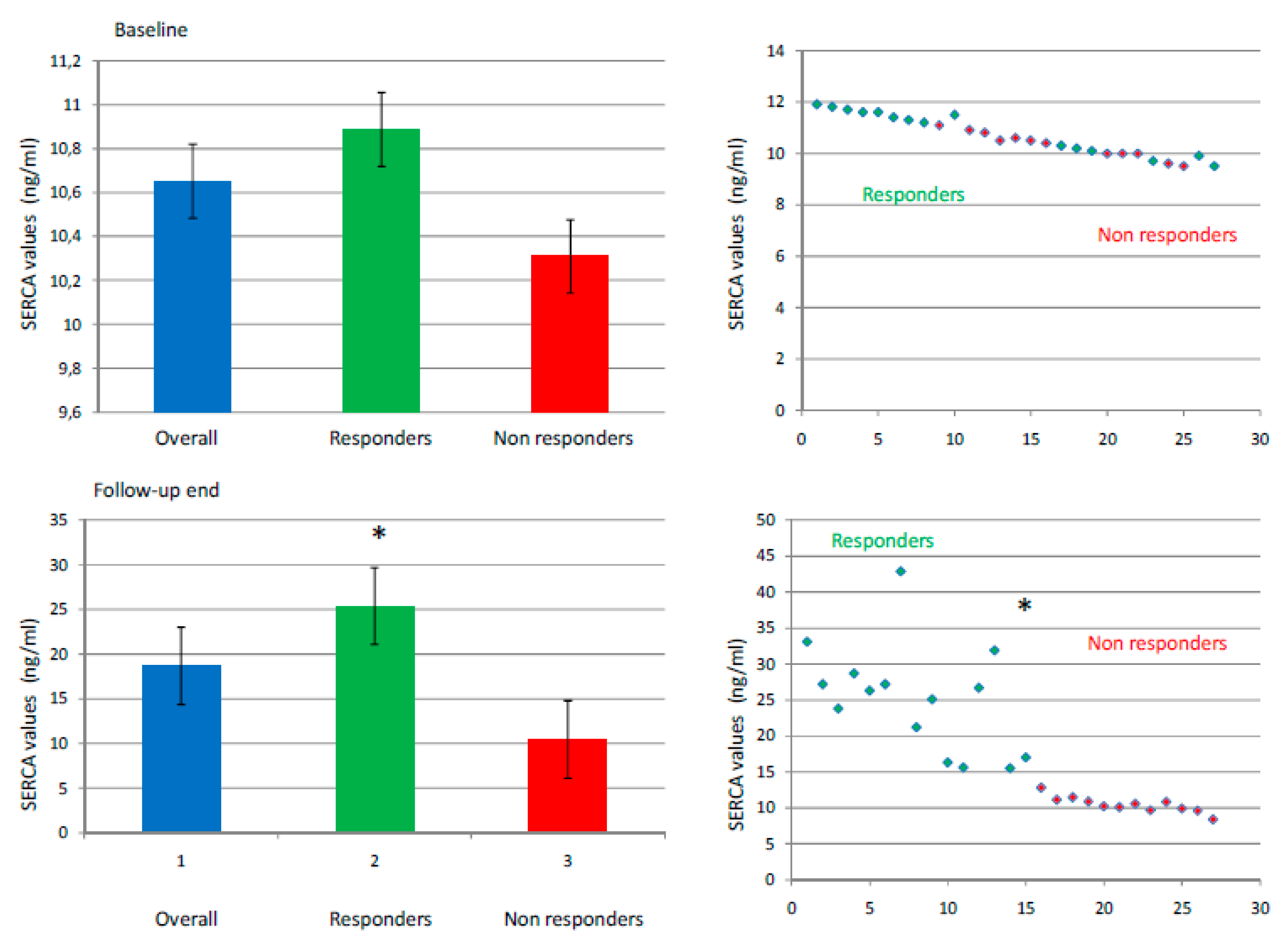
3. Results
4. Discussion
Study Limitations
5. Conclusions
Author Contributions
Funding
Conflicts of Interest
References
- Chugh, S.S.; Havmoeller, R.; Narayanan, K.; Singh, D.; Rienstra, M.; Benjamin, E.J.; Gillum, R.F.; Kim, Y.H.; Mc Anulty, J.H., Jr.; Zheng, Z.J.; et al. Worldwide epidemiology of atrial fibrillation: A Global Burden of Disease 2010 Study. Circulation 2014, 129, 837–847. [Google Scholar] [CrossRef]
- Kirchhof, P.; Benussi, S.; Kotecha, D.; Ahlsson, A.; Atar, D.; Casadei, B.; Castella, M.; Diener, H.C.; Heidbuchel, H.; Hendriks, J.; et al. Document Reviewers: 2016 ESC Guidelines for the management of atrial fibrillation developed in collaboration with EACTS: The TaskForce for the management of atrial fibrillation of the European Society of Cardiology(ESC)Developed with the special contribution of the European Heart Rhythm Association(EHRA) of the ESCEndorsed by the European Stroke Organization (ESO). Eur. Heart J. 2016, 37, 2893–2962. [Google Scholar]
- Haïssaguerre, M.; Jaïs, P.; Shah, D.C.; Takahashi, A.; Hocini, M.; Quiniou, G.; Garrigue, S.; Le Mouroux, A.; Le Métayer, P.; Clémenty, J. Spontaneous initiation of atrial fibrillation by ectopic beats originating in the pulmonary veins. N. Engl. J. Med. 1998, 339, 659–666. [Google Scholar] [CrossRef]
- Santulli, G. Catheter ablation improved quality of life more than drug therapy at 1 y in symptomatic atrial fibrillation. Ann. Intern. Med. 2019, 171, JC10. [Google Scholar] [CrossRef]
- Ganesan, A.N.; Shipp, N.J.; Brooks, A.G.; Kuklik, P.; Lau, D.H.; Lim, H.S.; Sullivan, T.; Roberts-Thomson, K.C.; Sanders, P. Long-term outcomes of catheter ablation of atrial fibrillation: A systematic review and meta-analysis. J. Am. Heart Assoc. 2013, 2, e004549. [Google Scholar] [CrossRef]
- Bisleri, G.; Rosati, F.; Bontempi, L.; Curnis, A.; Muneretto, C. Hybrid approach for the treatment oflong-standing persistent atrial fibrillation: Electrophysiological findings and clinical results. Eur. J. Cardiothorac. Surg. 2013, 44, 919–923. [Google Scholar] [CrossRef]
- Marrouche, N.F.; Wilber, D.; Hindricks, G.; Jais, P.; Akoum, N.; Marchlinski, F.; Kholmovski, E.; Burgon, N.; Hu, N.; Mont, L.; et al. Association of atrial tissue fibrosis identified by delayed enhancement MRI and atrial fibrillation catheter ablation: The DECAAF study. JAMA 2014, 311, 498–506. [Google Scholar] [CrossRef]
- Pump, A.; Di Biase, L.; Price, J.; Mohanty, P.; Bai, R.; Santangeli, P.; Mohanty, S.; Trivedi, C.; Yan, R.X.; Horton, R.; et al. Efficacy of catheter ablation in nonparoxysmal atrial fibrillation patients with severe enlarged left atrium and its impact on left atrial structural remodeling. J. Cardiovasc. Electrophysiol. 2013, 24, 1224–1231. [Google Scholar] [CrossRef]
- Bortone, A.; Boveda, S.; Pasquié, J.L.; Pujadas-Berthault, P.; Marijon, E.; Appetiti, A.; Albenque, J.P. Sinus rhythm restoration by catheter ablation in patients with long-lasting atrial fibrillation and congestive heart failure: Impact of the left ventricular ejection fraction improvement on the implantable cardioverter defibrillator insertion indication. Europace 2009, 11, 1018–1023. [Google Scholar] [CrossRef]
- Gambardella, J.; Trimarco, B.; Iaccarino, G.; Santulli, G. New Insights in Cardiac Calcium Handling and Excitation-Contraction Coupling. Adv. Exp. Med. Biol. 2018, 1067, 373–385. [Google Scholar]
- Gambardella, J.; Sorriento, D.; Ciccarelli, M.; Del Giudice, C.; Fiordelisi, A.; Napolitano, L.; Trimarco, B.; Iaccarino, G.; Santulli, G. Functional Role of Mitochondria in Arrhythmogenesis. Adv. Exp. Med. Biol. 2017, 982, 191–202. [Google Scholar] [PubMed]
- Hove-Madsen, L.; Llach, A.; Bayes-Genís, A.; Roura, S.; Rodriguez Font, E.; Arís, A.; Cinca, J. Atrial fibrillation is associated with increased spontaneous calcium release from the sarcoplasmic reticulum in human atrial myocytes. Circulation 2004, 110, 1358–1363. [Google Scholar] [CrossRef] [PubMed]
- Kontaraki, J.E.; Parthenakis, F.I.; Nyktari, E.G.; Patrianakos, A.P.; Vardas, P.E. Myocardial gene expression alterations in peripheral blood mononuclear cells of patients with idiopathic dilated cardiomyopathy. Eur. J. Heart Fail. 2010, 12, 541–548. [Google Scholar] [CrossRef]
- Davia, K.; Bernobich, E.; Ranu, H.K.; del Monte, F.; Terracciano, C.M.; MacLeod, K.T.; Adamson, D.L.; Chaudhri, B.; Hajjar, R.J.; Harding, S.E. SERCA2A overexpression decreases the incidence of after contractions in adult rabbit ventricular myocytes. J. Mol. Cell. Cardiol. 2001, 33, 1005–1015. [Google Scholar] [CrossRef]
- King, J.H.; Zhang, Y.; Lei, M.; Grace, A.A.; Huang, C.H.; Fraser, J.A. Atrial arrhythmia, triggering events and conduction abnormalities in isolated murine RyR2-P2328S hearts. Acta Physiol. (Oxf.) 2013, 207, 308–323. [Google Scholar] [CrossRef]
- Santulli, G.; Campanile, A.; Spinelli, L.; Di Panzillo, E.A.; Ciccarelli, M.; Trimarco, B.; Iaccarino, G. G protein-coupled receptor kinase 2 in patients with acute myocardial infarction. Am. J. Cardiol. 2011, 107, 1125–1130. [Google Scholar] [CrossRef]
- Kushnir, A.; Santulli, G.; Reiken, S.R.; Coromilas, E.; Godfrey, S.J.; Brunjes, D.L.; Colombo, P.C.; Yuzefpolskaya, M.; Sokol, S.I.; Kitsis, R.N.; et al. Ryanodine receptor calcium leak in circulating lymphocytes as a biomarker in heart failure. Circulation 2018, 138, 1144–1154. [Google Scholar] [CrossRef]
- Almuwaqqat, Z.; O’Neal, W.T.; Norby, F.L.; Lutsey, P.L.; Selvin, E.; Soliman, E.Z.; Chen, L.Y.; Alonso, A. Joint Associations of Obesity and NT-proBNP With the Incidence of Atrial Fibrillation in the ARIC Study. J. Am. Heart Assoc. 2019, 8, e013294. [Google Scholar] [CrossRef]
- Lin, Y.K.; Chen, Y.C.; Chen, Y.A.; Yeh, Y.H.; Chen, S.A.; Chen, Y.J. B-Type Natriuretic Peptide Modulates Pulmonary Vein Arrhythmo genesis: A Novel Potential Contributor to the Genesis of Atrial Tachyarrhythmia in Heart Failure. J. Cardiovasc. Electrophysiol. 2016, 27, 1462–1471. [Google Scholar] [CrossRef]
- Zhang, Y.; Chen, A.; Song, L.; Li, M.; Chen, Y.; Shen, L. Association Between Baseline Natriuretic Peptides and Atrial Fibrillation Recurrence After Catheter Ablation. Int. Heart. J. 2016, 57, 183–189. [Google Scholar] [CrossRef]
- Sardu, C.; Santulli, G.; Santamaria, M.; Barbieri, M.; Sacra, C.; Paolisso, P.; D’Amico, F.; Testa, N.; Caporaso, I.; Paolisso, G.; et al. Effects of Alpha Lipoic Acid on Multiple Cytokines and Biomarkers and Recurrence of Atrial Fibrillation Within 1 Year of Catheter Ablation. Am. J. Cardiol. 2017, 119, 1382–1386. [Google Scholar] [CrossRef]
- Calkins, H.; Kuck, K.H.; Cappato, R.; Brugada, J.; Camm, A.J.; Chen, S.A.; Crijns, H.J.; Damiano, R.J.; Davies, D.W.; DiMarco, J.; et al. 2012 HRS/EHRA/ECAS Expert Consensus Statement on Catheter and Surgical Ablation of Atrial Fibrillation: Recommendations for patient selection, procedural techniques, patient management and follow-up, definitions, endpoints, and research trial design. Europace 2012, 14, 528–606. [Google Scholar] [CrossRef]
- Santulli, G.; D’ascia, S.L.; D’ascia, C. Development of atrial fibrillation in recipients of cardiac resynchronization therapy: The role of atrial reverse remodelling. Can. J. Cardiol. 2012, 28, 245. [Google Scholar] [CrossRef]
- Psaty, B.M.; Manolio, T.A.; Kuller, L.H.; Kronmal, R.A.; Cushman, M.; Fried, L.P.; White, R.; Furberg, C.D.; Rautaharju, P.M. Incidence of and risk factors for atrial fibrillation in older adults. Circulation 1997, 96, 2455–2461. [Google Scholar] [CrossRef]
- Sardu, C.; Santamaria, M.; Paolisso, G.; Marfella, R. microRNA expression changes after atrialfibrillationcatheterablation. Pharmacogenomics 2015, 16, 1863–1877. [Google Scholar] [CrossRef]
- Dell’Era, G.; Rondano, E.; Franchi, E.; Marino, P.N. Atrial asynchrony and function before and after electrical cardioversion for persistent atrial fibrillation. Eur. J. Echocardiogr. 2010, 11, 577–583. [Google Scholar] [CrossRef]
- Zhou, X.; Otsuji, Y.; Yoshifuku, S.; Yuasa, T.; Zhang, H.; Takasaki, K.; Matsukida, K.; Kisanuki, A.; Minagoe, S.; Tei, C. Impact of atrial fibrillation on tricuspid and mitral annular dilatation and valvular regurgitation. Circ. J. 2002, 66, 913–916. [Google Scholar] [CrossRef]
- Gertz, Z.M.; Raina, A.; Saghy, L.; Zado, E.S.; Callans, D.J.; Marchlinski, F.E.; Keane, M.G.; Silvestry, F.E. Evidence of atrial functionalmitral regurgitation due to atrial fibrillation: Reversal with Arrhythmia control. J. Am. Coll. Cardiol. 2011, 58, 1474–1481. [Google Scholar] [CrossRef]
- Lau, D.H.; Linz, D.; Sanders, P. New Findings in Atrial Fibrillation Mechanisms. Card. Electrophysiol. Clin. 2019, 11, 563–571. [Google Scholar] [CrossRef]
- Sardu, C.; Santamaria, M.; Rizzo, M.R.; Barbieri, M.; Di Marino, M.; Paolisso, G.; Santulli, G.; Marfella, R. Telemonitoring in heart failure patients treated by cardiac resynchronisation therapy with defibrillator (CRT-D): The TELECART Study. Int. J. Clin. Pract. 2016, 70, 569–576. [Google Scholar] [CrossRef]



| At Baseline | At Follow-up End | ||||||
|---|---|---|---|---|---|---|---|
| Clinical General Characteristics | General Population | Responders | Non Responders | P value | Responders | Non Responders | P value |
| Number of patients | n 27 | n 15 (56%) | n 12 (44%) | n 15 (56%) | n 12 (44%) | ||
| Age (years) | 57.1 ± 5.8 | 55.6 ± 5.8 | 59 ± 5.3 | -- | / | / | -- |
| Gender (male) | n 17 (63%) | n 9 (60%) | n 8 (66%) | -- | / | / | -- |
| BMI (kg/m2) | 28.2 ± 2 | 27.7 ± 1.8 | 28.9 ± 2.1 | -- | 27.9 ± 1.7 | 28.4 ± 1.9 | -- |
| Diabetes | n 4 (15%) | n 2 (13%) | n 2 (16%) | -- | n 2 (13%) | n 2 (16%) | -- |
| CAD | n 10 (37%) | n 6 (40%) | n 4 (34%) | -- | n 6 (40%) | n 5 (41.7%) | -- |
| COPD | n 5 (18.5%) | n 3 (20%) | n 2 (17%) | -- | n 3 (20%) | n 2 (17%) | -- |
| Hypertension | n 6 (22%) | n 3 (20%) | n 3 (25%) | -- | n 4 (26.7%) | n 3 (25%) | -- |
| History of AF duration (months) | 44.7 ± 8.3 | 40.2 ± 7.5 | 50.2 ± 5.7 | <0.05* | / | / | -- |
| Previous stroke | n 2 (0.7%) | n 1 (0.6%) | n 1 (0.8%) | -- | / | / | -- |
| Biohumoral markers | |||||||
| Creatinine (mg/dL) | 0.98 ± 0.18 | 1.0 ± 0.17 | 0.96 ± 0.20 | -- | 0.98 ± 0.21 | 1.01 ± 0.19 | -- |
| BNP (pg/mL) | 198.59 ± 9.6 | 257.54 ± 6.12 | 287. 15 ± 56.26 | -- | 43.67 ± 4.97 | 303.75 ± 51.16 | <0.05** |
| SERCA (ng/mL) | 10.6 ± 0.8 | 10.9 ± 0.8 | 10.3 ± 0.6 | -- | 25.4 ± 6.2 | 10.6 ± 0.9 | <0.05** |
| IL-6 (pg/mL) | 2.8 ± 0.8 | 2.7 ± 0.9 | 2.9 ± 0.7 | -- | 1.6 ± 0.2 | 2.4 ± 0.3 | <0.05** |
| TNFα (pg/mL) | 9.1 ± 2.3 | 9.3 ± 2.1 | 8.6 ± 2.6 | -- | 6.1 ± 1.7 | 8.7 ± 2.8 | <0.05** |
| CRP (mg/dl) | 4.0 ± 0.2 | 4.1 ± 0.2 | 3.9 ± 0.3 | -- | 1.9 ± 0.4 | 3.3 ± 0.6 | <0.05** |
| Echocardiographic measurements | |||||||
| LAD* (mm) | 44.15 ± 5.1 | 42.2 ± 3.9 | 47.8 ± 4.0 | <0.05* | 41.2 ± 2.9 | 48.2 ± 4.3 | <0.05** |
| LAV* (ml) | 33 ± 3.8 | 30.5 ± 2.5 | 36.2 ± 2.5 | <0.05* | 28.5 ± 2.9 | 36.8 ± 2.9 | <0.05** |
| LVEF | 49 ± 5 | 51 ± 4 | 50 ± 2 | -- | 52 ± 4 | 46 ± 4 | <0.05** |
| MR low grade | n 19 (70%) | n 10 (66.7%) | n 8 (67%) | -- | n 13 (86%) | n 7 (58.3%) | <0.05** |
| MR moderate grade | n 9 (33%) | n 5 (33%) | n 4 (33%) | -- | n 2 (13.3%) | n 5 (41.7%) | <0.05** |
| Drug Therapy | |||||||
| Beta blockers | n 6 (22.2%) | n 3 (20%) | n 3 (25%) | -- | n 2 (13.3%) | n 2 (16.6%) | -- |
| ACE inhibitors | n 2 (7.4%) | n 1(5%) | n 1 (8%) | -- | n 1 (5%) | n 1 (8%) | -- |
| ARS inhibitors | n 4 (15%) | n 2 (13%) | n 2 (16%) | -- | n 2 (13%) | n 2 (16%) | -- |
| AADs class 1 | n 5 (18%) | n 3 (20%) | n 2 (17%) | -- | n 2 (13%) | n 3 (25%) | <0.05** |
| AADs class 3 | n 15 (56%) | n 8 (53%) | n 7 (58%) | -- | n 2 (13%) | n 7 (67%) | <0.05** |
| Vitamin K Antagonists | n 11 (41%) | n 6 (40%) | n 5 (42%) | -- | n 3 (20%) | n 6 (50%) | <0.05** |
| New oral anticoagulation | n 16 (59%) | n 9 (60%) | n 7 (58%) | -- | n 4 (27%) | n 6 (50%) | <0.05** |
| Univariate analysis | Multivariate analysis | |||||
|---|---|---|---|---|---|---|
| Variable | OR | CI 95% | P value | OR | CI 95% | P value |
| Diabetes | 0.933 | (0.204–4.274) | 0.929 | 0.338 | (0.025–4.637) | 0.417 |
| Obesity | 1.312 | (0.950–1.811) | 0.101 | 1.473 | (0.841–2.580) | 0.175 |
| Age | 1.082 | (0.956–1.225) | 0.212 | 0.805 | (0.637–1.018) | 0.070 |
| Mean AF duration | 1.121 | (1.032–1.218) | 0.007 | 1.235 | (1.037–1.471) | 0.018* |
| LVEF | 0.918 | (0.817–1.032) | 0.153 | 0.746 | (0.555–1.003) | 0.053 |
| LA volume | 1.264 | (1.038–1.540) | 0.020 | 1.755 | (1.126–2.738) | 0.013* |
| BNP | 1.021 | (1.005–1.037) | 0.001 | 1.945 | (1.895–1.999) | 0.045* |
| SERCA | 1.221 | (1.105–1.349) | 0.001 | 1.763 | (1.167–2.663) | 0.007* |
© 2020 by the authors. Licensee MDPI, Basel, Switzerland. This article is an open access article distributed under the terms and conditions of the Creative Commons Attribution (CC BY) license (http://creativecommons.org/licenses/by/4.0/).
Share and Cite
Sardu, C.; Santulli, G.; Guerra, G.; Trotta, M.C.; Santamaria, M.; Sacra, C.; Testa, N.; Ducceschi, V.; Gatta, G.; D' Amico, M.; et al. Modulation of SERCA in Patients with Persistent Atrial Fibrillation Treated by Epicardial Thoracoscopic Ablation: The CAMAF Study. J. Clin. Med. 2020, 9, 544. https://doi.org/10.3390/jcm9020544
Sardu C, Santulli G, Guerra G, Trotta MC, Santamaria M, Sacra C, Testa N, Ducceschi V, Gatta G, D' Amico M, et al. Modulation of SERCA in Patients with Persistent Atrial Fibrillation Treated by Epicardial Thoracoscopic Ablation: The CAMAF Study. Journal of Clinical Medicine. 2020; 9(2):544. https://doi.org/10.3390/jcm9020544
Chicago/Turabian StyleSardu, Celestino, Gaetano Santulli, Germano Guerra, Maria Consiglia Trotta, Matteo Santamaria, Cosimo Sacra, Nicola Testa, Valentino Ducceschi, Gianluca Gatta, Michele D' Amico, and et al. 2020. "Modulation of SERCA in Patients with Persistent Atrial Fibrillation Treated by Epicardial Thoracoscopic Ablation: The CAMAF Study" Journal of Clinical Medicine 9, no. 2: 544. https://doi.org/10.3390/jcm9020544
APA StyleSardu, C., Santulli, G., Guerra, G., Trotta, M. C., Santamaria, M., Sacra, C., Testa, N., Ducceschi, V., Gatta, G., D' Amico, M., Sasso, F. C., Paolisso, G., & Marfella, R. (2020). Modulation of SERCA in Patients with Persistent Atrial Fibrillation Treated by Epicardial Thoracoscopic Ablation: The CAMAF Study. Journal of Clinical Medicine, 9(2), 544. https://doi.org/10.3390/jcm9020544

