Abstract
Stereocontrolled syntheses of biotin-labeled oligosaccharide portions containing the Galβ1-3GalNAc core of the TES-glycoprotein antigen obtained from larvae of the parasite Toxocara and their analogues have been accomplished. Trisaccharides Fuc2Meα1-2Gal4Meβ1-3GalNAcα1-OR (A), Fucα1-2Gal4Meβ1-3GalNAcα1-OR (B), Fuc2Meα1-2Galβ1-3GalNAcα1-OR (C), Fucα1-2Galβ1-3GalNAcα1-OR (D) and a disaccharide Fuc2Meα1-2Gal4Meβ1-OR (E) (R = biotinylated probe) were synthesized by block synthesis using 5-(methoxycarbonyl)pentyl-2,3,4,6-tetra-O-acetyl-β-D-galactopyranosyl-(1→3)-2-azide-4-O-benzyl-2-deoxy-α-D-galactopyranoside as a common glycosyl acceptor. We examined the antigenicity of these five oligosaccharides by enzyme linked immunosorbent assay (ELISA). Our results demonstrate that the O-methyl groups in these oligosaccharides are important for their antigenicity and the biotinylated oligosaccharides A, B, C and E have high serodiagnostic potential to detect infections caused by Toxocara larvae.
1. Introduction
In the course of our studies on unique glycoconjugates found in parasites, we have synthesized various glycosphingolipids and carbohydrate portions of glycoproteins with the aim of elucidating the mechanisms of host-parasite interactions [1,2,3,4,5,6,7]. In previous studies we have synthesized unusual carbohydrates from the parasites Echinococcus multilocularis [1,3,6], Schistosoma mansoni [2] and porcine roundworm (nematode) Ascaris suum [7]. In this paper we describe the synthesis of the carbohydrate portion of glycoproteins from Toxocara canis and T. cati. T. canis and T. cati are parasitic roundworms and are widely distributed in dogs and cats. Both nematodes cause severe infections in a human host affecting eyes, liver and the central nervous system [8,9].
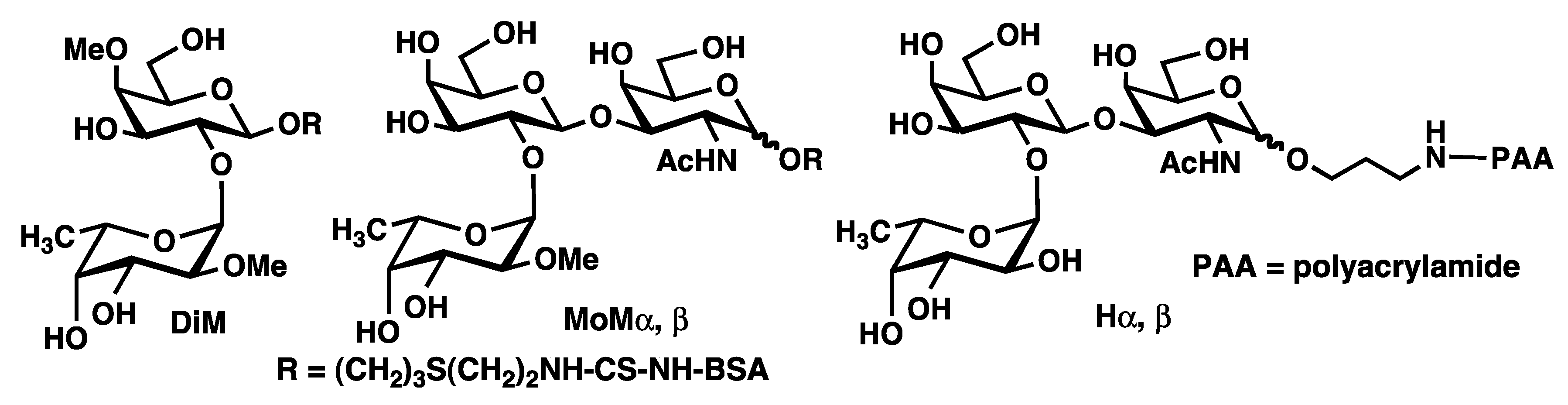
Khoo et al., isolated Toxocara excretory-secretory (TES) antigen, a family of glycoproteins that are heavily O-glycosylated from the culture media of T. canis and T. cati larvae [10]. The TES antigen of T. canis is a mixture of mucin-type glycoproteins, containing a Fuc1-2Gal1-3GalNAc structure, and it has been found that the fucose part was O-methylated at the 2-position and approximately 50% of the galactose part was O-methylated at the 4-position, i.e., it contains the following two sequences: 2-O-Me-Fucp(α1→2)-4-O-MeGalp(β1→3)-GalNAcp and 2-O-Me-Fucp(α1→2)-Galp(β1→3)-GalNAcp. Interestingly, although the di-O-methylated trisaccharide was found in both T. canis and T. cati the mono-O-methylated sugar was found only in T. canis. These structures are similar to the human blood group antigen H, Fucp(α1→2)-Galp(β1→3)-GalNAcp which does not have any O-methyl substitution. Maizels and Kosma et al., synthesized di-O-methylated disaccharide (DiM) and mono-O-methylated trisaccharide (MoM α,β conjugated to BSA, Figure 1) and studied their antigenicity [11,12]. The results showed that the sera from infected patients recognized the DiM more strongly than MoM α,β [11]. However, the both groups have not studied the effects of the di-O-methylated trisaccharide.
Figure 1.
Structures of previously prepared DiM, MoM α,β and the human blood group antigen H.
Figure 1.
Structures of previously prepared DiM, MoM α,β and the human blood group antigen H.

In this paper we report the synthesis of biotin-tagged oligosaccharides A–E (Figure 2), two glycan portions of the glycoprotein antigen of T. canis (A and C) and three analogues (B, D and E), to elucidate the antigenicity of the oligosaccharides against sera of T. canis infected patients by enzyme-linked immunosorbent assay (ELISA).
Figure 2.
Structures of target compounds A–E.
Figure 2.
Structures of target compounds A–E.

2. Results and Discussion
2.1. Chemical Synthesis
Syntheses of the target oligosaccharides A–E: In all cases we selected 5-(methoxycarbonyl)pentyl group as the protecting group of reducing end, because this group can be conveniently used for conjugation with biotin for the use in ELISA assay as previously shown by us [1]. The synthetic routes for target compounds A–E are outlined in Scheme 1,Scheme 2,Scheme 3,Scheme 4,Scheme 5.
Monosaccharide derivative 3 was chosen as a common acceptor for the synthesis of oligosaccharides A–D (Scheme 1). Galactopyranosyl donor 2 was obtained from phenyl 3,6-di-O-benzyl-2-O-benzoyl-1-thio-β-D-galactopyranoside (1) [3], by methylation using methyl iodide. Glycosylation of 2 with 3 [1] in the presence of N-iodosuccinimide (NIS)/trifluoromethanesulfonic acid (TfOH) [13] and AW-300 molecular sieves (MS AW-300) in CH2Cl2 afforded desired disaccharide (4) in 68% yield. The nature of the new glycosidic linkage was determined by the vicinal coupling constant of the anomeric proton (H-1 of Gal, δ = 4.79 ppm, J = 8.0 Hz). Removal of the benzoyl groups in 4 under Zemplén conditions gave disaccharide acceptor 5 which was used directly for the next glycosylation step. To prepare the Fucα1-2Gal sequence α-stereoselectively, we selected 3,4-di-acyl protected fucosyl donor 7 [14], which was obtained from 6 [11] by benzoylation. Previous studies have indicated that 3,4-di-acyl-protected fucopyranosyl donors induce high α-selectivity in fucosylation [2]. Glycosylation of 5 with 7 in the presence of methyl trifluoromethanesulfonate (MeOTf) [15], tri-tert-butyl pyridine (TTBP) and MS AW-300 in CH2Cl2 afforded desired trisaccharide (8) in 73% yield. The nature of the new glycosidic linkage was determined by the coupling constant of anomeric proton (H-1 of Fuc, δ = 5.67 ppm, J = 3.7 Hz). Global deprotection was performed by a combination of protection/deprotection steps. At first, the benzylidene acetal of 8 was removed by acidic hydrolysis followed by O-acetylation using acetic anhydride in pyridine to afford 9 in 87% yield. Next, the azide group was converted to an acetamide by reduction with Zn/Cu AcOH in the presence of acetic anhydride. The obtained N-acylated product 9 was debenzylated by catalytic hydrogenolysis using Pearlman’s catalyst followed by O-acetylation to give 10 (52%), which was deacetylated to produce deprotected trisaccharide 11 in 96% yield. The 5-(methoxycarbonyl)pentyl glycoside 11 was converted into the ethylenediamine monoamide by exposure to ethylenediamine and conjugated to biotin to afford trisaccharide-biotin conjugate A in 94% yield (Scheme 1).
Scheme 1.
Synthesis of di-methylated trisaccharide A.
Scheme 1.
Synthesis of di-methylated trisaccharide A.

Non-methylated fucopyranosyl donor 13 was synthesized from known donor 12 [16] by two-step procedure (Scheme 2). Hydrolysis of the isopropylidene group in 12 with aqueous AcOH and subsequent benzoylation produced fucopyranosyl donor 13. Trisaccharide 14 was synthesized by a coupling of the fucopyranosyl donor 13 with the disaccharide acceptor 5. The presence of an α fucosidic linkage in 14 was indicated by a doublet at δ 5.71 ppm showing small homonuclear coupling constant of 3.3 Hz in the 1H-NMR spectrum. Deprotection and biotinylation were performed as described for compound A to provide target trisaccharide B (Scheme 2).
Scheme 2.
Synthesis of mono-methylated trisaccharide B.
Scheme 2.
Synthesis of mono-methylated trisaccharide B.

The synthesis of the trisaccharide C is outlined in Scheme 3. As C does not contain the O-methyl substitution in the galactose residue, we chose phenyl 3,4,6-tri-O-benzyl-2-O-benzoyl-1-thio-β-D-galactopyranoside (18) [17] as a galactosyl donor. Glycosylation of acceptor 3 with donor 18 in the presence of NIS/TfOH provided disaccharide 19 in 68% yield. Selective removal of the benzoyl group in 19 with NaOMe produced disaccharide acceptor 20. Fucosylation of 20 with the donor 7 afforded trisaccharide 21, whose benzylidene acetal was removed as described for 8 and 14 to give 22 in 88% yield. Reduction of the azide group together with removal of benzyl groups of 22 was initially performed as described for compounds 9 and 15 using Zn/Cu and Pd(OH)2. However, this resulted only in a 24% yield of 23. In contrast, significantly improved yield was obtained by catalytic hydrogenation of 22 with Pd-C followed by acetylation to produce the desired trisaccharide 23 in 60% yield. Deacylation and biotinylation were performed as described for compound A to give target trisaccharide C (Scheme 3).
Scheme 3.
.Synthesis of mono-methylated trisaccharide C.
Scheme 3.
.Synthesis of mono-methylated trisaccharide C.

Non-methylated trisaccharide D was synthesized from the glycosyl donor 13 and acceptor 20 as described for compound C in a good yield (Scheme 4).
Dimethylated disaccharide E, which does not contain a GalNAc residue was synthesized from galactosyl acceptor 30 with the fucosyl donor 7 as outlined in Scheme 5. Compound 30 was obtained by coupling of galactose-based thiophenyl glycoside 2 to methyl 6-hydroxyhexanoate and subsequent debenzoylation using standard conditions. Glycosylation of the acceptor 30 with 7 in the presence of MeOTf and TTBP afforded desired disaccharide 31 in 72% yield. Unfortunately, the anomeric ratio of the fucopyranosyl linkage was 10:1 (α:β, from 1H-NMR). Although we cannot properly explain the reason of it, we presume the influence by the absence of a GalNAc derivative in monosaccharide acceptor 30. Deprotection of benzyl groups by catalytic hydrogenolysis using Pearlman’s catalyst provided 32. It was possible to separate the major α-anomer form the minor β-glycoside at this stage. Deacylation and biotinylation were performed as described for compound A to provide target trisaccharide E in a good yield (Scheme 5).
Scheme 4.
Synthesis trisaccharide D without O-methyl substitution.
Scheme 4.
Synthesis trisaccharide D without O-methyl substitution.

Scheme 5.
Synthesis of di-methylated disaccharide E.
Scheme 5.
Synthesis of di-methylated disaccharide E.

2.2. Antigenicity of Oligosaccharides by ELISA
The reactivity of the five biotin-labeled oligosaccharides A (natural), B, C (natural), D and E to patients’ sera was examined using streptavidin-coated microplates. In four of the five oligosaccharides, except for D, the antibody response of the T. canis-infected patient group (Tc) was significantly high compared with that of the normal healthy (N) group (Figure 3). However, the non-methylated trisaccharide D did not show any antigenicity to the patients’ sera. This is in contrast to previous findings by Kosma and Maizels, who have reported marked differences in the antigenicity between dimethylated disaccharide (DiM) and monomethylated trisaccharide (MoMα,β in the form of BSA conjugates [11]. Our study indicates that not only the natural monomethylated trisaccharide C containing a mono-Fuc2Me moiety but also non-natural trisaccharide B containing a mono-Gal4Me moiety have the antigenicity. Moreover, the antigenicity of di-methylated trisaccharide A was stronger than that of di-methylated disaccharide E indicating that the GalNAc portion contributes to the antigenicity. Significant differences of A–C and E were observed between Tc patient group and N group (p < 0.05, Student’s t test).
Figure 3.
ELISA reaction between human sera and synthesized oligosaccharides A–E.Tc: toxocariasis patient group; N: normal healthy group.
Figure 3.
ELISA reaction between human sera and synthesized oligosaccharides A–E.Tc: toxocariasis patient group; N: normal healthy group.

3. Experimental
3.1. General Procedures
Optical rotations were measured with a Jasco P-1020 digital polarimeter (Tokyo, Japan). 1H (500 MHz) and 13C-NMR (125 MHz) spectra were recorded with a Varian 500 FT NMR spectrometer (Palo Alto, CA, USA). Me4Si and acetone were used as internal standards for CDCl3 and D2O, respectively. MALDI-TOFMS was recorded on an AB SCIEX Voyager RP mass spectrometer (Framingham, MS, USA). High-resolution mass spectra were recorded on a JEOL JMS-700 (Tokyo, Japan) under FAB conditions. TLC was performed on Silica Gel 60 F254 (E. Merck, Darmstadt, Germany) with detection by quenching of UV fluorescence and by charring with 10% H2SO4. Column chromatography was carried out on Silica Gel 60. Phenyl 2-O-benzoyl-3,6-di-O-benzyl-1-thio-β-D-galactopyranoside (1) [3], 5-(methoxycarbonyl)pentyl 2-azide-4,6-O-benzylidene-2-deoxy-β-D-galactopyranoside (3) [1], phenyl 2-O-methyl-1-thio-β-L-fucopyranoside (6) [11], were prepared as reported.
Phenyl 2-O-benzoyl-3,6-di-O-benzyl-4-O-methyl-1-thio-β-D-galactopyranoside (2). Sodium hydride was added portionwise to a stirred mixture of compound 1 (253 mg, 0.45 mmol), MeI (56.5 μL, 0.91 mmol) and n-Bu4NBr (176 mg, 0.56 mmol) in DMF (5.0 mL) at −15 °C. The mixture was stirred for 3 h at −15 °C, and MeOH was added dropwise to destroy excess NaH. The mixture was diluted with EtOAc, washed with water, dried (MgSO4), and concentrated in vacuo. The product was purified by silica gel column chromatography (6:1 hexane-ethyl acetate) to give 2 (234 mg, 90%). [α]D +50.6 (c 1.0, CHCl3). 1H-NMR (CDCl3): δ 8.02-7.12 (m, 20H, Ar), 5.61 (t, 1H, J1,2 = J2,3 = 9.8 Hz, H-2), 4.76 (d, 1H, J1,2 = 9.8 Hz, H-1), 4.67 and 4.53 (each d, 2H, Jgem = 12.8 Hz, PhCH2), 4.58 and 4.53 (each d, 2H, Jgem = 11.6 Hz, PhCH2), 3.79–3.67 (m, 5H, H-3, H-4, H-5, H-6a, H-6b), 3.58 (s, 1H, OCH3). 13C-NMR (CDCl3): δ 165.2, 137.8, 137.5, 134.0, 133.0, 129.8, 128.7, 128.5, 128.3, 127.9, 127.8, 127.6, 127.3, 87.2 (C-1), 80.8 (C-4), 77.5 (C-3), 75.2 (C-5), 73.6 (PhCH2), 71.6 (PhCH2), 70.3 (C-2), 68.5 (C-6), 61.3 (OCH3). MALDI-TOFMS: calcd for C34H34O6SNa, m/z 593.2; found, m/z 593.8 [M+Na]+. HR-FABMS: calcd for C34H34O6SNa, m/z 593.1974; found, m/z 593.1958 [M+Na]+.
5-(Methoxycarbonyl)pentyl 2-O-benzoyl-3,6-di-O-benzyl-4-O-methyl-β-D-galacto-pyranosyl-(1→3)-2-azide-4,6-O-benzylidene-2-deoxy-α-D-galactopyranoside (4). A mixture of 2 (203 mg, 0.37 mmol), 3 (125 mg, 0.30 mmol) and powdered MS AW300 (300 mg) in dry CH2Cl2 (3 mL) was stirred under Ar atmosphere for 2 h at room temperature, then cooled to −40 °C. NIS (160 mg, 0.71 mmol) and TfOH (6.3 μL, 71.2 μmol) were added to the mixture, which was stirred for 1 h at −40 °C, then neutralized with Et3N. The precipitates were filtered off and washed with CHCl3. The combined filtrate and washings were successively washed with saturated aqueous Na2S2O3 and water, dried (MgSO4), and concentrated. The product was purified by silica gel column chromatography (5:2 hexane-ethyl acetate) to give 4 (178 mg, 68%). [α]D +94.6 (c 1.0, CHCl3). 1H-NMR (CDCl3): δ 8.05–7.11 (m, 20H, Ar), 5.59 (dd, 1H, J1',2' = 8.0 Hz, J2',3' = 9.8 Hz, H-2'), 5.45 (s, 1H, PhCH), 4.92 (d, 1H, J1,2 = 3.4 Hz, H-1), 4.79 (d, 1H, J1',2' = 8.0 Hz H-1'), 4.68 and 4.52 (each d, 2H, Jgem = 12.2 Hz, PhCH2), 4.57 (s, 2H, PhCH2), 4.37 (d, 1H, J3',4' = 3.1 Hz H-4), 4.15 (dd, 1H, J5,6a = 12.4 Hz, J6a,6b = 1.4 Hz, H-6a), 4.09 (dd, 1H, J2,3 = 11.0 Hz, J3,4 = 3.1 Hz, H-3), 3.92 (dd, 1H, J5,6b = 12.4 Hz, J6a,6b = 1.2 Hz, H-6b), 3.73–3.48 (m, 14H, H-2, H-5, H-3', H-4', H-5', H-6'a, H-6'b, OCH3×2, OCH2CH2 a), 3.47–3.42 (m, 1H, OCH2CH2 b), 2.33–2.28 (m, 2H), 1.67–1.59 (m, 4H), 1.41–1.35 (m, 2H). 13C-NMR (CDCl3: δ 174.0, 165.3, 137.9, 137.7, 137.6, 132.8, 129.8, 128.6, 128.5, 128.3, 128.2, 127.94, 127.85, 127.69, 127.65, 126.2, 102.5 (C-1'), 100.4 (CHPh) 98.7 (C-1), 79.9 (C-3'), 75.8 (C-4), 75.1 (C-4'), 74.1 (C-3), 73.69 (C-5'), 73.65 (PhCH2), 71.7 (PhCH2), 71.5 (C-2'), 69.0 (C-6), 68.6 (C-6'), 68.2 (OCH2CH2), 63.2 (C-5), 61.5 (OCH3), 58.8 (C-2), 33.9, 29.0, 25.6, 24.7. MALDI-TOFMS: calcd for C48H55N3O13Na, m/z 904.4; found, m/z 905.0 [M+Na]+. HR-FABMS: calcd for C48H55N3O13Na, m/z 904.3633; found, m/z 904.3594 [M+Na]+.
5-(Methoxycarbonyl)pentyl 3,6-di-O-benzyl-4-O-methyl-β-D-galactopyranosyl-(1→3)-2-azide-4,6-O-benzylidene-2-deoxy-α-D-galactopyranoside (5). A solution of 4 (301 mg, 0.34 mmol) and NaOMe (55 mg, 1.02 mmol) in MeOH (10 mL) was stirred at 50 °C for 48 h, then neutralized with Amberlite IR 120 [H+]. The mixture was filtered off and concentrated. The product was purified by silica gel column chromatography (2:1 hexane-ethyl acetate) to give 5 (182 mg, 69%). [α]D +88.5 (c 1.0, CHCl3). 1H-NMR (CDCl3): δ 7.51–7.25 (m, 15H, Ar), 5.48 (s, 1H, PhCH), 5.04 (d, 1H, J1,2 = 3.5 Hz, H-1), 4.81 and 4.76 (each d, 2H, Jgem = 12.0 Hz, PhCH2), 4.55 (s, 2H, PhCH2), 4.47 (d, 1H, J1',2' = 7.9 Hz, H-1'), 4.35 (d, 1H, J3',4' = 3.2 Hz, H-4), 4.19 (dd, 1H, J5,6a = 11.4 Hz, J6a,6b = 1.2 Hz, H-6a), 4.11 (dd, 1H, J2,3 = 10.8 Hz, J3,4 = 3.2 Hz, H-3), 3.95–3.88 (m, 3H, H-2, H-2', H-6b), 3.73–3.60 (m, 9H, H-5, H-4', H-5', H-6'a, H-6'b, OCH2CH2 a, OCH3), 3.56 (s, 3H, OCH3), 3.52–3.48 (m, 1H, OCH2CH2 b), 3.45 (dd, 1H, J2',3' = 9.8 Hz, J3',4' = 3.0 Hz, H-3'), 2.32 (t, 2H, J´ = 7.7 Hz), 1.69–1.62 (m, 4H), 1.43–1.39 (m, 2H). 13C-NMR (CDCl3): δ 174.1, 138.3, 137.9, 137.7, 128.9, 128.5, 128.4, 128.1, 127.9, 127.8, 127.7, 127.6, 126.3, 105.1 (C-1'), 100.8 (CHPh) 98.5 (C-1), 81.6 (C-3'), 76.07 (C-4'), 76.06 (C-4), 75.3 (C-3), 73.8 (C-5'), 73.6 (PhCH2), 72.9 (PhCH2), 71.4 (C-2'), 69.1 (C-6), 68.6 (C-6'), 68.4 (OCH2CH2), 63.2 (C-5), 61.5 (OCH3), 59.1 (C-2), 51.5 (OCH3), 33.9, 29.1, 25.6, 24.6. MALDI-TOFMS: calcd for C41H51N3O12Na, m/z 800.3; found, m/z 800.2 [M+Na]+. HR-FABMS: calcd for C41H51N3O12Na, m/z 800.3370; found, m/z 800.3384 [M+Na]+.
Phenyl 3,4-di-O-benzoyl-2-O-methyl-1-thio-β-L-fucopyranoside (7). A solution of 6 (616 mg, 2.28 mmol) and benzoyl chloride (793 μL, 6.84 mmol) in pyridine (8 mL) was stirred for 16 h at room temperature. After completion of the reaction, the mixture was poured into ice H2O and extracted with CHCl3. The extract was washed sequentially with 5% HCl, aq NaHCO3, and brine, dried (MgSO4), and concentrated. The product was purified by silica gel column chromatography (10:1 hexane-ethyl acetate) to give 7 (976 mg, 90%). [α]D –63.9 (c 1.0, CHCl3). 1H-NMR (CDCl3): δ 7.96–7.26 (m, 15H, Ar), 5.63 (d, 1H, J3,4 = 2.8 Hz, H-4), 5.35 (dd, 1H, J2,3 = 9.6 Hz, J3,4 = 3.1 Hz, H-3), 4.71 (d, 1H, J1,2 = 9.5 Hz, H-1), 4.01 (q, 1H, J5,6 = 6.2 Hz, H-5), 3.63 (t, 1H, J1,2 = J2,3 = 9.5 Hz, H-2), 3.49 (s, 3H, OCH3), 1.32 (d, 1H, J5,6 = 6.3 Hz, H-6). 13C-NMR (CDCl3): δ 165.7, 165.5, 133.3, 133.13, 133.08, 132.6, 129.9, 129.6, 129.53, 129.49, 128.9, 128.5, 128.3, 127.8, 86.7 (C-1), 76.5 (C-2), 75.5 (C-3), 73.4 (C-5), 71.6 (C-4), 61.0 (OCH3), 16.7 (C-6). MALDI-TOFMS: calcd for C27H26O6SNa, m/z 501.1; found, m/z 501.6 [M+Na]+. HR-FABMS: calcd for C27H27O6S, m/z 479.1528; found, m/z 479.1532 [M+H]+.
5-(Methoxycarbonyl)pentyl 3,4-di-O-benzoyl-2-O-methyl-α-L-fucopyranosyl-(1→2)-3,6-di-O-benzyl-4-O-methyl-β-D-galactopyranosyl-(1→3)-2-azide-4,6-O-benzylidene-2-deoxy-α-D-galactopyranoside (8). A mixture of 5 (98.3 mg, 0.13 mmol), 7 (121 mg, 0.25 mmol) and MS AW300 (200 mg) in dry CH2Cl2-Et2O (1:1, 2.0 mL) was stirred for 2 h at room temperature. MeOTf (120 μL, 1.06 mmol) and TTBP (93.5 mg, 0.38 mmol) were added, and the mixture was stirred for 14 h at room temperature, then neutralized with Et3N. The precipitates were filtrated off and washed with CHCl3. The combined filtrate and washings were washed with water, dried (MgSO4), and concentrated. The product was purified by silica gel column chromatography (3:2 hexane-EtOAc) to give 8 (105 mg, 73%). [α]D −7.9 (c 1.0, CHCl3). 1H-NMR (CDCl3) δ 8.02–7.23 (m, 25H, Ar), 5.67 (d, 1H, J1",2" = 3.7 Hz, H-1"), 5.18 (d, 1H, J1,2 = 3.2 Hz, H-1), 4.74 (d, 1H, J1',2' = 7.8 Hz, H-1'). 13C-NMR (CDCl3): δ 103.3 (C-1'), 99.2 (C-1), 97.4 (C-1"). MALDI-TOFMS: calcd for C62H71N3O18Na, m/z 1168.5; found, m/z 1168.9 [M+Na]+. HR-FABMS: calcd for C62H71N3O18Na, m/z 1168.4630; found, m/z 1168.4591 [M+Na]+.
5-(Methoxycarbonyl)pentyl 3,4-di-O-benzoyl-2-O-methyl-α-L-fucopyranosyl-(1→2)-3,6-di-O-benzyl-4-O-methyl-β-D-galactopyranosyl-(1→3)-4,6-di-O-acetyl-2-azide-2-deoxy-α-D-galacto-pyranoside (9). A solution of 8 (167 mg, 0.15 mmol) in 80% AcOH (5.0 mL) was stirred at 70 °C for 2 h, then diluted with toluene and concentrated. The residue was acetylated with acetic anhydride (3.0 mL) in pyridine (5.0 mL). After the reaction was quenched with MeOH, toluene was added and co-evaporated several times. The product was purified by silica gel column chromatography (3:2 hexane-ethyl acetate) to give 9 (145 mg, 87%). [α]D −3.8 (c 1.0, CHCl3). 1H-NMR (CDCl3). δ 8.05–7.26 (m, 20H, Ar), 5.70 (d, 1H, J1",2" = 3.6 Hz, H-1"), 5.18 (d, 1H, J1,2 = 3.4 Hz, H-1), 4.74 (d, 1H, J1',2' = 7.5 Hz, H-1'). 13C-NMR (CDCl3): δ 103.3 (C-1'), 98.9 (C-1), 97.4 (C-1"). MALDI-TOFMS: calcd for C59H71N3O20Na, m/z 1164.4; found, m/z 1164.7 [M+Na]+. HR-FABMS: calcd for C59H71N3O20Na, m/z 1164.4529; found, m/z 1164.4508 [M+Na]+.
5-(Methoxycarbonyl)pentyl 3,4-di-O-benzoyl-2-O-methyl-α-L-fucopyranosyl-(1→2)-4-O-methyl-β-D-galactopyranosyl-(1→3)-4,6-di-O-acetyl-2-acetamide-2-deoxy-α-D-galactopyranoside (10). A mixture of 9 (145 mg, 0.13 mmol) and Zn-Cu (600 mg) in THF-AcOH-Ac2O (3:2:1, 6.0 mL) was stirred for 30 min. at room temperature. After completion of the reaction, the mixture was filtered and the filtrate was concentrated. The residue was purified by silica gel column chromatography (6:1 toluene-acetone) to give an acetamide compound (128 mg). A solution of this compound in THF (2.0 mL) was hydrogenolysed (0.4 MPa) under hydrogen in the presence of 10% Pd/C (100 mg) for 2 h at room temperature. The mixture was filtered and concentrated, and the product was purified by silica gel column chromatography (2:1 toluene-acetone) to give 10 (64.1 mg, 52%). [α]D −11.9 (c 1.0, CHCl3). 1H-NMR (CDCl3). δ 7.98–7.17 (m, 10H, Ar), 5.36 (d, 1H, J1",2" = 3.7 Hz, H-1"), 5.15 (d, 1H, J1,2 = 3.3 Hz, H-1), 4.74 (d, 1H, J1',2' = 6.9 Hz, H-1'). 13C-NMR (CDCl3): 102.9 (C-1'), 99.1 (C-1"), 96.9 (C-1). MALDI-TOFMS: calcd for C47H63NO21Na, m/z 1000.4; found, m/z 1000.4 [M+Na]+. HR-FABMS: calcd for C47H64NO21, m/z 978.3971; found, m/z 978.3983 [M+H]+.
5-(Methoxycarbonyl)pentyl 2-O-methyl-α-L-fucopyranosyl-(1→2)-4-O-methyl-β-D-galactopyranosyl-(1→3)-2-acetamide-2-deoxy-α-D-galactopyranoside (11). A solution of 10 (64.1 mg, 65.5 μmol) and NaOMe (30 mg) in MeOH (3.0 mL) was stirred for 3 h and then neutralized with Amberlite IR 120 [H+]. The mixture was filtered and concentrated. The product was purified by Sephadex LH-20 column chromatography in MeOH to give 11 (43.0 mg, 96%). [α]D +17.4 (c 1.0, H2O). 1H-NMR (D2O). δ 5.24 (d, 1H, J1",2" = 3.8 Hz, H-1"), 4.65 (d, 1H, J1,2 = 3.4 Hz, H-1), 4.40 (d, 1H, J1',2' = 7.7 Hz, H-1'). 13C-NMR (D2O): δ 101.6 (C-1'), 96.1 (C-1) 95.9 (C-1"). MALDI-TOFMS: calcd for C29H51NO17Na, m/z 708.3; found, m/z 708.8 [M+Na]+.
Biotinylated trisaccharide (A). Compound 11 (43.0 mg, 62.7 μmol) was dissolved in anhydrous ethylenediamine (5.0 mL) and heated at 70 °C for 44 h. The mixture was concentrated with toluene and the product was purified by Sephadex LH-20 column chromatography with H2O to give an amine intermediate. The amine (42.0 mg, 58.8 μmol) was dissolved in DMF (3.0 mL), and the pH was adjusted to 8–9 with DIPEA. Biotine-NHS (24.0 mg, 70.6 μmol) was added and the mixture was stirred for 13 h at room temperature. The solvent was removed by repeated co-evaporation with toluene and the product was purified by Sephadex LH-20 column chromatography with MeOH to give A (55.5 mg, 94%). [α]D +30.8 (c 1.0, MeOH). 1H-NMR (D2O): δ 5.24 (d, 1H, J1",2" = 3.9 Hz, H-1"), 4.65 (d, 1H, J1,2 = 3.5 Hz, H-1), 4.41 (d, 1H, J1',2' = 7.7 Hz, H-1'). 13C-NMR (D2O): δ 101.6 (C-1'), 96.1 (C-1), 95.9 (C-1"). MALDI-TOFMS: calcd for C40H69N5O18SNa, m/z 962.4; found, m/z 963.0 [M+Na]+. HR-FABMS: calcd for C40H69N5O18SNa, m/z 962.4256; found, m/z 962.4271 [M+Na]+.
Phenyl 3,4-di-O-benzoyl-2-O-benzyl-1-thio-β-L-fucopyranoside (13). A solution of 12 (985 mg, 2.55 mmol) in 80% AcOH (20 mL) was stirred at 70 °C for 2 h, then diluted with toluene and concentrated. The residue was benzoylated with benzoyl chloride (887 μL, 7.65 mmol) in pyridine (20 mL). After the reaction was quenched with MeOH, the mixture was concentrated by repeated co-evaporation with toluene. The product was purified by silica gel column chromatography (10:1 hexane-ethyl acetate) to give 13 (1.31 g, 93%). [α]D −66.2 (c 1.0, CHCl3). 1H-NMR (CDCl3): δ 7.97–7.15 (m, 20H, Ar), 5.65 (d, 1H, J3,4 = 3.0 Hz, H-4), 5.44 (dd, 1H, J2,3 = 9.4 Hz, J3,4 = 3.3 Hz, H-3), 4.81 (d, 1H, J1,2 = 9.5 Hz, H-1), 4.80 and 4.58 (each d, 2H, Jgem = 10.7 Hz, PhCH2), 4.04 (q, 1H, J5,6 = 6.4 Hz, H-5), 3.97 (t, 1H, J1,2 = J2,3 = 9.6 Hz, H-2), 1.33 (d, 1H, J5,6 = 6.5 Hz, H-6). 13C-NMR (CDCl3): δ 165.8, 165.5, 137.5, 133.3, 133.1, 132.90, 132.86, 130.2, 129.9, 129.6, 129.51, 129.46, 129.0, 128.5, 128.3, 128.2, 128.1, 127.81, 127.76, 87.0 (C-1), 75.3 (C-3, PhCH2), 74.9 (C-2), 73.4 (C-5), 71.7 (C-4), 16.8 (C-6). MALDI-TOFMS: calcd for C33H30O6SNa, m/z 577.2; found, m/z 577.5 [M+Na]+. HR-FABMS: calcd for C33H31O6S, m/z 555.1841; found, m/z 555.1816 [M+H]+.
5-(Methoxycarbonyl)pentyl 3,4-di-O-benzoyl-2-O-benzyl-α-L-fucopyranosyl-(1→2)-3,6-di-O-benzyl-4-O-methyl-β-D-galactopyranosyl-(1→3)-2-azide-4,6-O-benzylidene-2-deoxy-α-D-galactopyranoside (14). Compound 14 was prepared from 5 (140 mg, 0.18 mmol) and 13 (200 mg, 0.36 mmol) as described for preparation of 8. The product was purified by silica gel column chromatography (3:1 hexane-ethyl acetate) to give 14 (157 mg, 72%). [α]D −14.1 (c 1.0, CHCl3). 1H-NMR (CDCl3): δ 7.85–6.83 (m, 30H, Ar), 5.71 (d, 1H, J1",2" = 3.3 Hz, H-1"), 5.19 (d, 1H, J1,2 = 3.1 Hz, H-1), 4.77 (d, 1H, J1',2'= 7.7 Hz, H-1'). 13C-NMR (CDCl3): δ 103.4 (C-1'), 99.2 (C-1), 97.1 (C-1"). MALDI-TOFMS: calcd for C68H75N3O18Na, m/z 1244.5; found, m/z 1244.6 [M+Na]+. HR-FABMS: calcd for C68H75N3O18Na, m/z 1244.4943; found, m/z 1244.4974 [M+Na]+.
5-(Methoxycarbonyl)pentyl 3,4-di-O-benzoyl-2-O-benzyl-α-L-fucopyranosyl-(1→2)-3,6-di-O-benzyl-4-O-methyl-β-D-galactopyranosyl-(1→3)-4,6-di-O-acetyl-2-azide-2-deoxy-α-D-galactopyranoside (15). Compound 15 was prepared from 14 (157 mg, 0.13 mmol) as described for preparation of 9. The product was purified by silica gel column chromatography (2:1 hexane-ethyl acetate) to give 15 (148 mg, 95%). [α]D −14.6 (c 1.0, CHCl3). 1H-NMR (CDCl3): δ 7.87–6.85 (m, 25H, Ar), 5.74 (d, 1H, J1",2" = 3.4 Hz, H-1"), 5.06 (d, 1H, J1,2 = 3.3 Hz, H-1), 4.71 (d, 1H, J1',2' = 7.5 Hz, H-1'). 13C-NMR (CDCl3): δ 103.4 (C-1'), 98.9 (C-1), 97.0 (C-1"). MALDI-TOFMS: calcd for C65H75N3O20Na, m/z 1240.4; found, m/z 1240.6 [M+Na]+. HR-FABMS: calcd for C65H75N3O20Na, m/z 1240.4842; found, m/z 1240.4852 [M+Na]+.
5-(Methoxycarbonyl)pentyl 3,4-di-O-benzoyl-α-L-fucopyranosyl-(1→2)-4-O-methyl-β-D-galactopyranosyl-(1→3)-4,6-di-O-acetyl-2-acetamide-2-deoxy-α-D-galactopyranoside (16). Compound 16 was prepared from 15 (148 mg, 0.12 mmol) as described for preparation of 10. The product was purified by silica gel column chromatography (3:2 toluene-acetone) to give 16 (50.9 mg, 44%). [α]D −0.7 (c 1.0, CHCl3). 1H-NMR (CDCl3): δ 7.99–7.16 (m, 10H, Ar), 5.26 (d, 1H, J1",2" = 3.6 Hz, H-1"), 5.12 (d, 1H, J1,2 = 3.3 Hz, H-1), 4.44 (d, 1H, J1',2' = 7.1 Hz, H-1'). 13C-NMR (CDCl3): δ 103.0 (C-1'), 101.2 (C-1"), 96.9 (C-1). MALDI-TOFMS: calcd for C46H61NO21Na, m/z 986.4; found, m/z 986.8 [M+Na]+.
5-(Methoxycarbonyl)pentyl α-L-fucopyranosyl-(1→2)-4-O-methyl-β-D-galacto-pyranosyl-(1→3)-2-acetamide-2-deoxy-α-D-galactopyranoside (17). Compound 17 was prepared from 16 (50.9 mg, 52.8 μmol) as described for preparation of 11. The product was purified by Sephadex LH-20 column chromatography in MeOH to give 17 (35.8 mg, quant.). [α]D +19.7 (c 1.0, H2O). 1H-NMR (D2O). δ 5.03 (d, 1H, J1",2" = 4.2 Hz, H-1"), 4.61 (d, 1H, J1,2 = 3.5 Hz, H-1), 4.42 (d, 1H, J1',2' = 7.6 Hz, H-1'). 13C-NMR (D2O): δ 101.5 (C-1'), 98.8 (C-1"), 96.1 (C-1). MALDI-TOFMS: calcd for C28H49NO17Na, m/z 694.3; found, m/z 694.7 [M+Na]+.
Biotinylated trisaccharide (B). Compound B was prepared from 17 (43.0 mg, 62.7 μmol) as described for preparation of A. The product was purified by Sephadex LH-20 column chromatography with MeOH to give B (22.7 mg, 39%). [α]D +35.2 (c 0.5, MeOH). 1H-NMR (D2O): δ 5.03 (d, 1H, J1",2" = 4.0 Hz, H-1"), 4.68 (d, 1H, J1,2 = 3.4 Hz, H-1), 4.42 (d, 1H, J1',2' = 7.8 Hz, H-1'). 13C-NMR (D2O): δ 101.6 (C-1'), 96.1 (C-1), 95.9 (C-1"). MALDI-TOFMS: calcd for C39H67N5O18SNa, m/z 948.4; found, m/z 948.6 [M+Na]+. HR-FABMS: calcd for C39H67N5O18SNa, m/z 948.4100; found, m/z 948.4130 [M+Na]+.
5-(Methoxycarbonyl)pentyl 2-O-benzoyl-3,4,6-tri-O-benzyl-α-D-galactopyranosyl-(1→3)-2-azide-4,6-O-benzylidene-2-deoxy-β-D-galactopyranoside (19). Compound 19 was prepared from 3 (326 mg, 0.77 mmol) and 18 (600 mg, 0.93 mmol) as described for preparation of 4. The product was purified by silica gel column chromatography (3:1 hexane-ethyl acetate) to give 19 (566 mg, 79%). [α]D +88.1 (c 1.0, CHCl3). 1H-NMR (CDCl3): δ 8.05–7.12 (m, 25H, Ar), 5.71 (dd, 1H, J1',2' = 8.0 Hz, J2',3'= 10.0 Hz, H-2'), 5.45 (s, 1H, PhCH), 5.01 and 4.63 (each d, 2H, Jgem = 11.8 Hz, PhCH2), 4.91 (d, 1H, J1,2 = 3.4 Hz, H-1), 4.82 (d, 1H, J1',2' = 8.0 Hz H-1'), 4.64 and 4.50 (each d, 2H, Jgem = 12.4 Hz, PhCH2), 4.46 and 4.43 (each d, 2H, Jgem = 11.7 Hz, PhCH2), 4.39 (d, 1H, J3',4' = 3.3 Hz H-4), 4.14 (dd, 1H, J5,6a = 12.3 Hz, J6a,6b = 1.4 Hz, H-6a), 4.09 (dd, 1H, J2,3 = 10.8 Hz, J3,4 = 3.3 Hz, H-3), 3.99 (d, 1H, J3',4' = 2.7 Hz, H-4'), 3.89 (dd, 1H, J5,6b = 12.3 Hz, J6a,6b = 1.4 Hz, H-6b), 3.72–3.63 (m, 9H, H-2, H-5, H-3', H-6'a, H-6'b, OCH3, OCH2CH2 a), 3.57 (s, 1H, H-5'), 3.45–3.41 (m, 1H, OCH2CH2 b), 2.30 (t, 2H, J´ = 7.3 Hz), 1.66–1.57 (m, 4H), 1.40–1.35 (m, 2H). 13C-NMR (CDCl3): δ 174.1, 165.3, 138.5, 137.9, 137.7, 137.6, 132.8, 130.3, 129.8, 128.6, 128.5, 128.3, 128.22, 128.20, 127.97, 127.92, 127.85, 127.70, 127.67, 127.65, 126.2, 102.6 (C-1'), 100.5 (CHPh), 98.7 (C-1), 80.1 (C-3'), 75.8 (C-4), 74.5 (C-3), 74.4 (PhCH2), 73.9 (C-5), 73.6 (PhCH2), 72.7 (C-4'), 71.9 (PhCH2), 71.7 (C-2'), 69.12 (C-6'), 69.06 (C-6), 68.2 (OCH2CH2), 63.2 (C-5'), 58.6 (C-2), 51.5 (OCH3), 33.9, 29.0, 25.6, 24.7. MALDI-TOFMS: calcd for C54H59N3O13Na, m/z 980.4; found, m/z 981.4 [M+Na]+. HR-FABMS: calcd for C54H59N3O13Na, m/z 980.3946; found, m/z 980.3924 [M+Na]+.
5-(Methoxycarbonyl)pentyl 3,4,6-tri-O-benzyl-α-D-galactopyranosyl-(1→3)-2-azide-4,6-O-benzylidene-2-deoxy-β-D-galactopyranoside (20). Compound 20 was prepared from 19 (200 mg, 0.22 mmol) as described for preparation of 5. The product was purified by silica gel column chromatography (5:2 hexane–ethyl acetate) to give 20 (87.3 mg, 41%). [α]D +61.0 (c 1.0, CHCl3). 1H-NMR (CDCl3): δ 7.51–7.24 (m, 20H, Ar), 5.47 (s, 1H, PhCH), 5.02 (d, 1H, J1,2 = 3.6 Hz, H-1), 4.94 and 4.60 (each d, 2H, Jgem = 11.6 Hz, PhCH2), 4.81 and 4.74 (each d, 2H, Jgem = 11.9 Hz, PhCH2), 4.49 (d, 1H, J1',2' = 7.7 Hz, H-1'), 4.45 and 4.41 (each d, 2H, Jgem = 11.9 Hz, PhCH2), 4.38 (d, 1H, J3',4' = 3.2 Hz, H-4), 4.18 (dd, 1H, J5,6a = 12.4 Hz, J6a,6b = 1.4 Hz, H-6a), 4.12 (dd, 1H, J2,3 = 10.8 Hz, J3,4 = 3.3 Hz, H-3), 4.05 (dd, 1H, J1',2' = 8.3 Hz , J2',3' = 9.1 Hz, H-2'), 3.95–3.88 (m, 3H, H-2, H-6b, H-4'), 3.72–3.68 (m, 1H, OCH2CH2 a), 3.66–3.55 (m, 7H, H-5, H-5', H-6'a, H-6'b, OCH3), 3.51–3.47 (m, 2H, H-3', OCH2CH2 b), 2.32 (t, 2H, J´ = 7.4 Hz), 1.69–1.61 (m, 4H), 1.43–1.38 (m, 2H). 13C-NMR (CDCl3): δ 174.1, 138.6, 138.4, 137.9, 137.7, 128.8, 128.5, 128.4, 128.3, 128.2, 128.1, 127.9, 127.8, 127.7, 127.6, 126.3, 105.2 (C-1'), 100.8 (CHPh) 98.5 (C-1), 81.8 (C-3'), 76.0 (C-4), 75.7 (C-3), 74.6 (PhCH2), 73.9 (C-5'), 73.7 (C-4'), 73.5 (PhCH2), 73.0 (PhCH2), 71.5 (C-2'), 69.2 (C-6'), 69.1 (C-6), 68.3 (OCH2CH2), 63.1 (C-5), 58.9 (C-2), 51.5 (OCH3), 33.9, 29.1, 25.6, 24.6. MALDI-TOFMS: calcd for C47H55N3O12Na, m/z 876.4; found, m/z 876.5 [M+Na]+. HR-FABMS: calcd for C47H55N3O12Na, m/z 876.3683; found, m/z 876.3721 [M+Na]+.
5-(Methoxycarbonyl)pentyl 3,4-di-O-benzoyl-2-O-methyl-α-L-fucopyranosyl-(1→2)-3,4,6-tri-O-benzyl-β-D-galactopyranosyl-(1→3)-2-azide-4,6-O-benzylidene-2-deoxy-α-D-galactopyranoside (21). Compound 21 was prepared from 20 (119 mg, 0.14 mmol) and 7 (133 mg, 0.28 mmol) as described for preparation of 8. The product was purified by silica gel column chromatography (25:1 toluene-acetone) to give 21 (118 mg, 69%). [α]D +1.1 (c 1.0, CHCl3). 1H-NMR (CDCl3): δ 8.03–7.22 (m, 30H, Ar), 5.72 (d, 1H, J1",2" = 3.5 Hz, H-1"), 5.17 (d, 1H, J1,2 = 3.1 Hz, H-1), 4.76 (d, 1H, J1',2' = 7.5 Hz, H-1'). 13C-NMR (CDCl3): δ 103.4 (C-1'), 99.3 (C-1), 97.5 (C-1"). MALDI-TOFMS: calcd for C68H75N3O18Na, m/z 1244.5; found, m/z 1244.1 [M+Na]+. HR-FABMS: calcd for C68H75N3O18Na, m/z 1244.4943; found, m/z 1244.4974 [M+Na]+.
5-(Methoxycarbonyl)pentyl 3,4-di-O-benzoyl-2-O-methyl-α-L-fucopyranosyl-(1→2)-3,4,6-tri-O-benzyl-β-D-galactopyranosyl-(1→3)-4,6-di-O-acetyl-2-azide-2-deoxy-α-D-galactopyranoside (22). Compound 22 was prepared from 21 (130 mg, 106 μmol) as described for preparation of 9. The product was purified by silica gel column chromatography (2:1 hexane-ethyl acetate) to give 22 (114 mg, 88.4%). [α]D −1.1 (c 1.0, CHCl3). 1H-NMR (CDCl3): δ 8.05–7.26 (m, 25H, Ar), 5.73 (d, 1H, J1",2" = 3.8 Hz, H-1"), 5.05 (d, 1H, J1,2 = 3.5 Hz, H-1), 4.75 (d, 1H, J1',2' = 7.7 Hz, H-1'). 13C-NMR (CDCl3): δ 103.1 (C-1'), 98.9 (C-1), 97.4 (C-1"). MALDI-TOFMS: calcd for C65H75N3O20Na, m/z 1240.5; found, m/z 1240.6 [M+Na]+. HR-FABMS: calcd for C65H75N3O20Na, m/z 1240.4842; found, m/z 1240.4852 [M+Na]+.
5-(Methoxycarbonyl)pentyl 3,4-di-O-benzoyl-2-O-methyl-α-L-fucopyranosyl-(1→2)-3,4,6-tri-O-acetyll-β-D-galactopyranosyl-(1→3)-4,6-di-O-acetyl-2-acetamide-2-deoxy-α-D-galactopyranoside (23). A solution of 22 (98.1 mg, 80.5 μmol) in MeOH–THF (1:1, 3 mL) was hydrogenolysed (0.4 MPa) under hydrogen in the presence of 10% Pd/C (150 mg) for 18 h at room temperature, then filtered and concentrated. The residue was acetylated with acetic anhydride (2 mL) in pyridine (3 mL). The reaction mixture was poured into ice H2O and extracted with CHCl3. The extract was washed sequentially with 5% HCl, aq NaHCO3, and brine, dried (MgSO4), and concentrated. The residue was purified by silica gel column chromatography (4:1 toluene-acetone) to give 23 (61.3 mg, 60%). [α]D −10.4 (c 0.4, CHCl3). 1H-NMR (CDCl3): δ 7.97–7.18 (m, 10H, Ar), 5.35 (d, 1H, J1",2" = 3.5 Hz, H-1"), 5.15 (d, 1H, J1,2 = 3.3 Hz, H-1), 4.51 (d, 1H, J1',2' = 7.5 Hz, H-1'). 13C-NMR (CDCl3): δ 102.8 (C-1'), 99.1 (C-1"), 96.9 (C-1). MALDI-TOFMS: calcd for C46H61NO21Na, m/z 986.4; found, m/z 987.2 [M+Na]+. HR-FABMS: calcd for C46H61NO21Na, m/z 986.3634; found, m/z 986.3618 [M+Na]+.
5-(Methoxycarbonyl)pentyl 2-O-methyl-α-L-fucopyranosyl-(1→2)-β-D-galactopyranosyl-(1→3)-2-acetamide-2-deoxy-α-D-galactopyranoside (24). Compound 24 was prepared from 23 (18.7 mg, 19.4 μmol) as described for preparation of 11. The product was purified by Sephadex LH-20 column chromatography with MeOH to give 24 (10.0 mg, 77%). [α]D +24.7 (c 0.2, H2O). 1H-NMR (D2O): δ 5.27 (d, 1H, J1",2" = 4.0 Hz, H-1"), 4.66 (d, 1H, J1,2 = 3.4 Hz, H-1), 4.44 (d, 1H, J1',2' = 7.7 Hz, H-1'). 13C-NMR (D2O): δ 101.7 (C-1'), 96.1 (C-1), 95.9 (C-1"). MALDI-TOFMS: calcd for C28H49NO17Na, m/z 694.3; found, m/z 694.9 [M+Na]+.
Biotinylated trisaccharide (C). Compound C was prepared from 24 (10.0 mg, 14.9 μmol) as described for preparation of A. The product was purified by Sephadex LH-20 column chromatography with MeOH to give C (6.1 mg, 37%). [α]D +8.9 (c 0.2, MeOH).1H-NMR (D2O): δ 5.27 (d, 1H, J1",2" = 3.9 Hz, H-1"), 4.66 (d, 1H, J1,2 = 3.2 Hz, H-1), 4.44 (d, 1H, J1',2' = 7.4 Hz, H-1'). 13C-NMR (D2O): δ 101.6 (C-1'), 96.1 (C-1), 95.9 (C-1"). MALDI-TOFMS: calcd for C39H67N5O18SNa, m/z 948.4; found, m/z 948.8 [M+Na]+. HR-FABMS: calcd for C39H67N5O18SNa, m/z 948.4100; found, m/z 948.4132 [M+Na]+.
5-(Methoxycarbonyl)pentyl 3,4-di-O-benzoyl-2-O-benzyl-α-L-fucopyranosyl-(1→2)-3,4,6-tri-O-benzyl-β-D-galactopyranosyl-(1→3)-2-azide-4,6-O-benzylidene-2-deoxy-α-D-galactopyranoside (25). Compound 25 was prepared from 20 (152 mg, 0.18 mmol) and 13 (197 mg, 0.356 mmol) as described for preparation of 8. The product was purified by silica gel column chromatography (2:1 hexane-ethyl acetate) to give 25 (176 mg, 76%). 1H-NMR (CDCl3): δ 7.86–6.82 (m, 35H, Ar), 5.76 (d, 1H, J1",2" = 3.5 Hz, H-1"), 5.18 (d, 1H, J1,2 = 3.3 Hz, H-1), 4.79 (d, 1H, J1',2' = 7.8 Hz, H-1'). 13C-NMR (CDCl3): δ 103.4 (C-1'), 99.3 (C-1), 97.2 (C-1"). MALDI-TOFMS: calcd for C74H79N3O18Na, m/z 1320.5; found, m/z 1321.6 [M+Na]+. HR-FABMS: calcd for C74H80N3O18, m/z 1298.5437; found, m/z 1298.5442 [M+H]+.
5-(Methoxycarbonyl)pentyl 3,4-di-O-benzoyl-2-O-benzyl-α-L-fucopyranosyl-(1→2)-3,4,6-tri-O-benzyl-β-D-galactopyranosyl-(1→3)-4,6-di-O-acetyl-2-azide-2-deoxy-α-D-galactopyranoside (26). Compound 26 was prepared from 25 (176 mg, 0.14 mmol) as described for preparation of 9. The product was purified by silica gel column chromatography (2:1 hexane–ethyl acetate) to give 26 (113 mg, 64%). [α]D −11.2 (c 1.0, CHCl3). 1H-NMR (CDCl3): δ 7.87–6.83 (m, 30H, Ar), 5.77 (d, 1H, J1",2" = 3.4 Hz, H-1"), 5.06 (d, 1H, J1,2 = 3.5 Hz, H-1), 4.77 (d, 1H, J1',2' = 7.4 Hz, H-1'). 13C-NMR (CDCl3): δ 103.2 (C-1'), 98.9 (C-1), 97.1 (C-1"). MALDI-TOFMS: calcd for C71H79N3O20Na, m/z 1316.5; found, m/z 1316.9 [M+Na]+. HR-FABMS: calcd for C71H79N3O20Na, m/z 1316.5155; found, m/z 1316.5186 [M+Na]+.
5-(Methoxycarbonyl)pentyl 3,4-di-O-benzoyl-α-L-fucopyranosyl-(1→2)-3,4,6-tri-O-acetyl-β-D-galactopyranosyl-(1→3)-4,6-O-acetyl-2-acetamide-2-deoxy-α-D-galactopyranoside (27). Compound 27 was prepared from 26 (176 mg, 135 μmol) as described for preparation of 23. The product was purified by silica gel column chromatography (5:1 toluene–acetone) to give 27 (110 mg, 74%). [α]D −5.1 (c 0.5, CHCl3). 1H-NMR (CDCl3): δ 7.97–7.18 (m, 10H, Ar), 5.35 (br. s, 1H, H-1"), 5.06 (d, 1H, J1,2 = 3.2 Hz, H-1), 4.46 (d, 1H, J1',2' = 7.1 Hz, H-1'). 13C-NMR (CDCl3): δ 102.9 (C-1'), 101.0 (C-1"), 97.0 (C-1). MALDI-TOFMS: calcd for C45H59NO21Na, m/z 972.3; found, m/z 972.7 [M+Na]+.
5-(Methoxycarbonyl)pentyl α-L-fucopyranosyl-(1→2)-β-D-galactopyranosyl-(1→3)-2-acetamide-2-deoxy-α-D-galactopyranoside (28). Compound 28 was prepared from 27 (25.8 mg, 27.2 μmol) as described for preparation of 11. The product was purified by Sephadex LH-20 column chromatography in MeOH to give 28 (16.8 mg, 94%). [α]D +22.3 (c 0.4, H2O). 1H-NMR (D2O): δ 5.05 (d, 1H, J1",2" = 4.0 Hz, H-1"), 4.68 (d, 1H, J1,2 = 3.4 Hz, H-1), 4.45 (d, 1H, J1',2' = 7.7 Hz, H-1'). 13C-NMR (D2O): δ 101.6 (C-1'), 98.8 (C-1"), 96.1 (C-1). MALDI-TOFMS: calcd for C27H47NO17Na, m/z 680.3; found, m/z 681.2 [M+Na]+.
Biotinylated trisaccharide (D). Compound D was prepared from 28 (18.6 mg, 25.5 μmol) as described for preparation of A. The product was purified by Sephadex LH-20 column chromatography with MeOH to give D (18.2 mg, 78%). [α]D +26.5 (c 0.5, MeOH). 1H-NMR (D2O): δ 5.05 (d, 1H, J1",2" = 4.0 Hz, H-1"), 4.69 (d, 1H, J1,2 = 3.1 Hz, H-1), 4.46 (d, 1H, J1',2' = 7.7 Hz, H-1'). 13C-NMR (D2O): δ 101.6 (C-1'), 98.8 (C-1"), 96.1 (C-1). MALDI-TOFMS: calcd for C38H65N5O18SNa, m/z 934.4; found, m/z 934.5 [M+Na]+. HR-FABMS: calcd for C38H65N5O18SNa, m/z 934.3943; found, m/z 934.3956 [M+Na]+.
5-(Methoxycarbonyl)pentyl 2-O-benzoyl-3,6-di-O-benzyl-4-O-methyl-β-D-galactopyranoside (29). Compound 29 was prepared from methyl 6-hydroxyhexanoate (134 mg, 0.918 mmol) and 2 (575 mg, 1.01 mmol) as described for preparation of 4. The product was purified by silica gel column chromatography (4:1 hexane–ethyl acetate) to give 29 (520 mg, 93%). [α]D +7.2 (c 1.0, CHCl3). 1H-NMR (CDCl3): δ 8.02–7.12 (m, 15H, Ar), 5.52 (dd, 1H, J1,2 = 7.8 Hz, J2,3 = 10.2 Hz, H-2), 4.69 and 4.53 (each d, 2H, Jgem = 12.4 Hz, PhCH2), 4.60 and 4.56 (each d, 2H, Jgem = 11.7 Hz, PhCH2), 4.44 (d, 1H, J1,2 = 7.8 Hz, H-1), 3.79–3.67 (m, 3H, H-4, H-6a, OCH2CH2 a), 3.67 (dd, 1H, J5,6b = 9.1 Hz, J6a,6b = 5.5 Hz, H-6b), 3.63–3.59 (m, 8H, H-3, H-5, OCH3×2), 3.41–3.37 (m, 1H, OCH2CH2 b), 2.08–1.95 (m, 2H), 1.51–1.39 (m, 4H), 1.20–1.14 (m, 2H). 13C-NMR (CDCl3): δ 174.1, 165.2, 137.8, 137.7, 132.9, 130.3, 129.8, 128.5, 128.29, 128.28, 128.0, 127.9, 127.7, 101.4 (C-1), 79.6 (C-3), 74.9 (C-4), 73.7 (PhCH2), 73.4 (C-5), 71.8 (C-2), 71.5 (PhCH2), 69.0 (OCH2CH2), 68.3 (C-6), 61.3 (OCH3), 51.3 (OCH3), 33.7, 29.0, 25.3, 24.4. MALDI-TOFMS: calcd for C35H42O9Na, m/z 629.3; found, m/z 629.7 [M+Na]+. HR-FABMS: calcd for C35H42O9Na, m/z 629.2727; found, m/z 629.2690 [M+Na]+.
5-(Methoxycarbonyl)pentyl 3,6-di-O-benzyl-4-O-methyl-β-D-galactopyranoside (30). Compound 30 was prepared from 29 (199 mg, 0.328 mmol) as described for preparation of 5. The product was purified by silica gel column chromatography (4:1 hexane-ethyl acetate) to give 30 (130 mg, 79%). [α]D −5.5 (c 1.0, CHCl3). 1H-NMR (CDCl3): δ 40–7.27 (m, 10H, Ar), 4.78 and 4.72 (each d, 2H, Jgem = 12.0 Hz, PhCH2), 4.57 and 4.53 (each d, 2H, Jgem = 11.7 Hz, PhCH2), 4.20 (d, 1H, J1,2 = 7.6 Hz, H-1), 3.89-3.81 (m, 2H, H-2, OCH2CH2 a), 3.72 (dd, 1H, J5,6a = 9.1 Hz, J6a,6b = 7.6 Hz, H-6a), 3.67–3.61 (m, 5H, H-4, H-6b, OCH3), 3.57–3.55 (m, 4H, H-5, OCH3), 3.50–3.45 (m, 1H, OCH2CH2 b), 3.40 (dd, 1H, J2,3 = 9.8 Hz, J3,4 = 2.9 Hz, H-3), 2.30 (t, 2H, J´ = 7.5 Hz), 1.66–1.59 (m, 4H), 1.40–1.35 (m, 2H). 13C-NMR (CDCl3): δ 174.2, 138.2, 137.9, 128.50, 128.47, 127.89, 127.85, 127.8, 127.7, 103.1 (C-1), 81.7 (C-3), 75.4 (C-4), 73.6 (PhCH2), 73.4 (C-5), 72.4 (PhCH2), 71.3 (C-2), 69.4 (OCH2CH2), 68.3 (C-6), 61.2 (OCH3), 51.5 (OCH3), 33.9, 29.1, 25.5, 24.6. MALDI-TOFMS: calcd for C28H38O8Na, m/z 525.3; found, m/z 526.1 [M+Na]+. HR-FABMS: calcd for C28H39O8, m/z 503.2645; found, m/z 503.2636 [M+H]+.
5-(Methoxycarbonyl)pentyl 3,4-di-O-benzoyl-2-O-methyl-L-fucopyranosyl-(1→2)-3,6-di-O-benzyl-4-O-methyl-β-D-galactopyranoside (31). Compound 31 was prepared from 30 (130 mg, 0.26 mmol) and 7 (248 mg, 0.52 mmol) as described for preparation of 8. The product was purified by silica gel column chromatography (30:1 toluene-acetone) to give 31 (105 mg, 72%). MALDI-TOFMS: calcd for C49H58O14Na, m/z 893.4; found, m/z 893.8 [M+Na]+. HR-FABMS: calcd for C49H58O14Na, m/z 893.3724; found, m/z 893.3768 [M+Na]+.
5-(Methoxycarbonyl)pentyl 3,4-di-O-benzoyl-2-O-methyl-α-L-fucopyranosyl-(1→2)-4-O-methyl-β-D-galactopyranoside (32). A solution of 31 (113 mg, 87.3 μmol) in THF (2.0 mL) was hydrogenolysed (0.4 MPa) under hydrogen in the presence of 10% Pd/C (150 mg) for 2 h at room temperature. The mixture was filtered and concentrated, and the product was purified by silica gel column chromatography (4:1 toluene–acetone) to give 32 (88.2 mg, 68%). [α]D −115 (c 1.0, CHCl3). 1H-NMR (CDCl3): δ 8.06–7.31 (m, 10H, Ar), 5.69 (dd, 1H, J2',3' = 10.1 Hz, J3',4' = 3.2 Hz, H-3'), 5.65 (d, 1H, J3',4' = 3.3 Hz, H-4'), 5.41 (d, 1H, J1',2' = 3.6 Hz, H-1'), 4.56 (q, 1H, J5',6' = 6.3 Hz, H-5'), 4.36 (d, 1H, J1,2 = 7.5 Hz, H-1), 3.97–3.88 (m, 3H, H-6a, H-2', OCH2CH2 a), 3.81–3.71 (m, 3H, H-2, H-3, H-6b), 3.66 (s, 3H, OCH3), 3.59 (s, 3H, OCH3), 3.58–3.55 (m, 3H, H-4, H-5, OCH2CH2 b), 3.53 (s, 3H, OCH3), 2.33 (t, 2H, J´ = 7.5 Hz), 1.70–1.63 (m, 4H), 1.45–1.39 (m, 2H), 1.20 (d, 3H, J5',6'= 6.6 Hz, H-6'). 13C-NMR (CDCl3): δ 174.2, 165.9, 165.6, 133.3, 133.1, 129.8, 129.72, 129.68, 129.6, 128.5, 128.3, 101.9 (C-1), 99.7 (C-1'), 81.1 (C-3), 78.6 (C-4), 77.4 (C-2'), 75.23 (C-5), 75.16 (C-2), 72.2 (C-4'), 71.5 (C-3'), 69.6 (C-6), 65.4 (C-5'), 62.3 (OCH2CH2), 61.6 (OCH3), 60.2 (OCH3), 51.5 (OCH3), 33.9, 29.5, 25.6, 24.7, 16.1 (C-6'). MALDI-TOFMS: calcd for C35H46O14Na, m/z 713.3; found, m/z 713.9 [M+Na]+. HR-FABMS: calcd for C35H46O14Na, m/z 713.2785; found, m/z 713.2770 [M+Na]+.
5-(Methoxycarbonyl)pentyl 2-O-methyl-α-L-fucopyranosyl-(1→2)-4-O-methyl-β-D-galactopyranoside (33). Compound 33 was prepared from 32 (88.2 mg, 0.13 mmol) as described for preparation of 11. The product was purified by Sephadex LH-20 column chromatography with MeOH to give 33 (56.9 mg, 92%). [α]D −78.6 (c 1.0, MeOH). 1H-NMR (CDCl3): δ 5.36 (d, 1H, J1',2' = 3.4 Hz, H-1'), 4.29 (d, 1H, J1',2' = 7.7 Hz, H-1'). 13C-NMR (CDCl3): δ 102.0 (C-1), 97.7 (C-1'). MALDI-TOFMS: calcd for C21H38O12Na, m/z 505.2; found, m/z 505.9 [M+Na]+. HR-FABMS: calcd for C21H38O12Na, m/z 505.2261; found, m/z 505.2242 [M+Na]+.
Biotinylated trisaccharide (E). Compound E was prepared from 33 (56.9 mg, 118 mmol) as described for preparation of A. The product was purified by Sephadex LH-20 column chromatography with H2O to give E (51.2 mg, 72%). [α]D –30.9 (c 1.0, MeOH). 1H-NMR (D2O): δ 5.29 (d, 1H, J1',2' = 3.8 Hz, H-1'), 4.25 (d, 1H, J1',2' = 7.9 Hz, H-1). 13C-NMR (D2O): δ 102.5 (C-1), 97.3 (C-1'). MALDI-TOFMS: calcd for C32H56N4O13SNa, m/z 759.3; found, m/z 760.1 [M+Na]+. HR-FABMS: calcd for C32H56N4O13SNa, m/z 759.3462; found, m/z 759.3503 [M+Na]+.
3.2. Serum Samples
Serum samples examined by ELISA were obtained from 6 patients who were confirmed to have Toxocara canis-visceral larva migrans (Tc) and 4 normal healthy individuals (NH).
3.3. ELISA Protocol
ELISA was performed as previously described [1,18]. Biotin-labeled oligosaccharides A-E in H2O (13 pmol per well) were added to the wells of flat-bottomed microplates (Streptavidin C96, No. 236001; Nunc, Roskilde, Denmark) coated with streptavidin, and these plates were incubated for 1 h at 37 °C. After the coating solution was discarded, the microplates were washed with 0.05% Tween-PBS (250 μL per well). Serum samples diluted 1:250 with 0.05% Tween-PBS (200 μL per well) were then added to the wells of the microplates and incubated overnight at 4 °C. After being washed with 0.05% Tween-PBS, 200 μL of anti-human IgG/HRP (P0214; DakoCytomation, Glostrup, Denmark; 1:1,000 in 0.05% Tween-PBS) was added, and the microplates were incubated for 1 h at 37 °C. After further washing, bound antibodies were detected by the addition of 2,2'-azino-di(3-ethyl-benzthiazoline-6-sulfonate (ABTS) peroxidase substrate solution (KPL, Gaithersburg, MD, USA, 200 μL per well). After incubation period of 8 min at 37 °C, the reaction was stopped by the addition of 1% sodium dodecyl sulphate (SDS), and the absorbance (A) values were read at 405 nm on a microplate reader (Model 680; BioRad, Hercules, CA, USA).
4. Conclusions
We have prepared oligosaccharide-biotin conjugates A–E in order to study the antigenicity of putative carbohydrate sequences at the parasite T. canis and their analogues. Antigenicity of these compounds was examined by ELISA. Mono- or di-O-methylated forms showed good serodiagnostic potential to detect infections caused by T. canis. These results demonstrate that biotin-labeled oligosaccharides may serve as a diagnostic tool to detect T. canis and T. cati infections in humans.
Acknowledgments
This work was supported by Grant-in-Aid for Scientific Research (No. 22590014) from the Ministry of Education, Culture, Sports, Science and Technology of Japan (MEXT) and the Strategic Research Foundation at Private Universities of the MEXT. We gratefully acknowledge financial support in the form of the Sasagawa Scientific Research Grant and the Uehara Memorial Fundation. The authors are grateful to J. Hada for providing HR-FAB MS measurements data.
References
- Koizumi, A.; Yamano, K.; Schweizer, F.; Takeda, T.; Kiuchi, F.; Hada, N. Synthesis of the carbohydrate moiety from the parasite Echinococcus multilocularis and their antigenicity against human sera. Eur. J. Med. Chem. 2011, 46, 1768–1778. [Google Scholar] [CrossRef]
- Kanaya, T.; Yagi, S.; Schweizer, F.; Takeda, T.; Kiuchi, F.; Hada, N. Synthetic Studies on Glycosphingolipids from Protostomia phyla: Synthesis of Glycosphingolipids from the parasite Schistosoma mansoni. Chem. Pharm. Bull. 2010, 58, 811–817. [Google Scholar] [CrossRef]
- Koizumi, A.; Hada, N.; Kaburaki, A.; Yamano, K.; Schweizer, F.; Takeda, T. Synthetic studies on the carbohydrate moiety of the antigen from the parasite Echinococcus multilocularis. Carbohydr. Res. 2009, 344, 856–868. [Google Scholar] [CrossRef]
- Yamano, K.; Goto, A.; Nakamura-Uchiyama, F.; Nawa, Y.; Hada, N.; Takeda, T. Galβ1-6Gal, antigenic epitope which accounts for serological cross-reaction in diagnosis of Echinococcus multilocularis infection. Parasite Immunol. 2009, 31, 481–487. [Google Scholar] [CrossRef]
- Yamano, K.; Hada, N.; Yamamura, T.; Takeda, T.; Honma, H.; Sawada, Y. Serodiagnostic potential of chemically synthesized glycosphingolipid antigens in an enzyme-linked immunosorbent assay for alveolar echinococcusis. J. Helminthol. 2006, 80, 387–391. [Google Scholar] [CrossRef]
- Yamamura, T.; Hada, N.; Kaburaki, A.; Yamano, K.; Takeda, T. Synthetic Studies on Glycosphingolipids from Protostomia phyla: Total synthesis of glycosphingolipids from the parasite Echinococcus multilocularis. Carbohydr. Res. 2004, 339, 2749–2759. [Google Scholar] [CrossRef]
- Ohtsuka, I.; Hada, N.; Ohtaka, H.; Sugita, M.; Takeda, T. Synthetic studies on glycosphingolipids from protostomia phyla: Synthesis of amphoteric glycolipids analogues from the porcine nematode. Ascarissuum. Chem. Pharm. Bull. 2002, 50, 600–604. [Google Scholar] [CrossRef]
- Akao, N.; Ohta, N. Toxocariasis in Japan. Parasitol. Int. 2007, 56, 87–93. [Google Scholar] [CrossRef]
- Schantz, P.M. Toxocara larva migrans now. Am.J. Trop. Med. Hyg. 1989, 41, 21–34. [Google Scholar]
- Khoo, K.-H.; Maizels, R.M.; Page, A.P.; Taylor, G.W.; Rendell, N.B.; Dell, A. Characterization of nematode glycoproteins: The major O-glycans of Toxocara excretory-secretory antigens are O-methylated trisaccharides. Glycobiology 1991, 1, 163–171. [Google Scholar] [CrossRef]
- Schabussova, I.; Amer, H.; van Die, I.; Kosma, P.; Maizels, R.M. O-Methylated Glycans from Toxocara are specific targets for antibody binding in human and animal infections. Int. J. Parasitol. 2007, 37, 97–109. [Google Scholar] [CrossRef]
- Amer, G.; Hofinger, A.; Kosma, P. Synthesis of neoglycoproteins containing O-methylated trisaccharides related to excretory/secretory antigens of Toxocara larvae. Carbohydr. Res. 2003, 338, 35–45. [Google Scholar] [CrossRef]
- Konradsson, P.; Udodong, U.E.; Fraser-Reid, B. Iodonium promoted reactions of disarmed thioglycosides. Tetrahedron Lett. 1990, 31, 4313–4316. [Google Scholar] [CrossRef]
- Werz, D.B.; Schuster, H.J.; Tietze, L.F. Fast and efficient preparation of an α-Fucosyl building block by reductive 1,2-Benzylidene ring-opening reaction. Synlett 2008, 13, 1969–1972. [Google Scholar]
- Lonn, H. Synthesis of a tri- and a hepta-Saccharide which Contain α-L-Fucopyranosyl groups and are part of the complex type of carbohydrate moiety of glycoproteins. Carbohydr. Res. 1985, 139, 105–113. [Google Scholar]
- Szabo, Z.B.; Borbás, A.; Bajzá, I.; Lipták, A. Synthesis of fully protected α-L-Fucopyranosyl-(1®2)-β-D-Galactopyranosides with a single free hydroxy group at position 2', 3' or 4' using O-(2-naphthyl)methyl (NAP) ether as a temporary protecting group. Tetrahedron: Asymmetry 2005, 16, 83–95. [Google Scholar]
- Adachi, M.; Tanaka, H.; Takahashi, T. An effective sialylation method using N-Troc- and N-Fmoc-protected β-thiophenyl sialosides and application to the one-pot two-step synthesis of 2,6-Sialyl-T antigen. Synlett 2004, 609–614. [Google Scholar]
- Yamano, K.; Koizumi, A.; Takeda, T.; Kiuchi, F.; Hada, N. Galα1-4Galβ1-3GalNAc is the dominant epitope of Em2 Antigen, the mucin-type glycoprotein from Echinococcus multilocularis. Parasitol. Res. 2012, 111, 795–805. [Google Scholar] [CrossRef]
- Sample Availability: Samples of the compounds A-E are available from the authors.
© 2012 by the authors; licensee MDPI, Basel, Switzerland. This article is an open-access article distributed under the terms and conditions of the Creative Commons Attribution license (http://creativecommons.org/licenses/by/3.0/).