Monitoring the Chemical Profile in Agarwood Formation within One Year and Speculating on the Biosynthesis of 2-(2-Phenylethyl)Chromones
Abstract
:1. Introduction
2. Results and Discussion
2.1. The Results of GC-MS Analysis
2.2. The Results of UPLC-MS Analysis
2.2.1. Discussion of Substitution Pattern of Chromone and Phenylethyl Moiety of FTPECs, Respectively
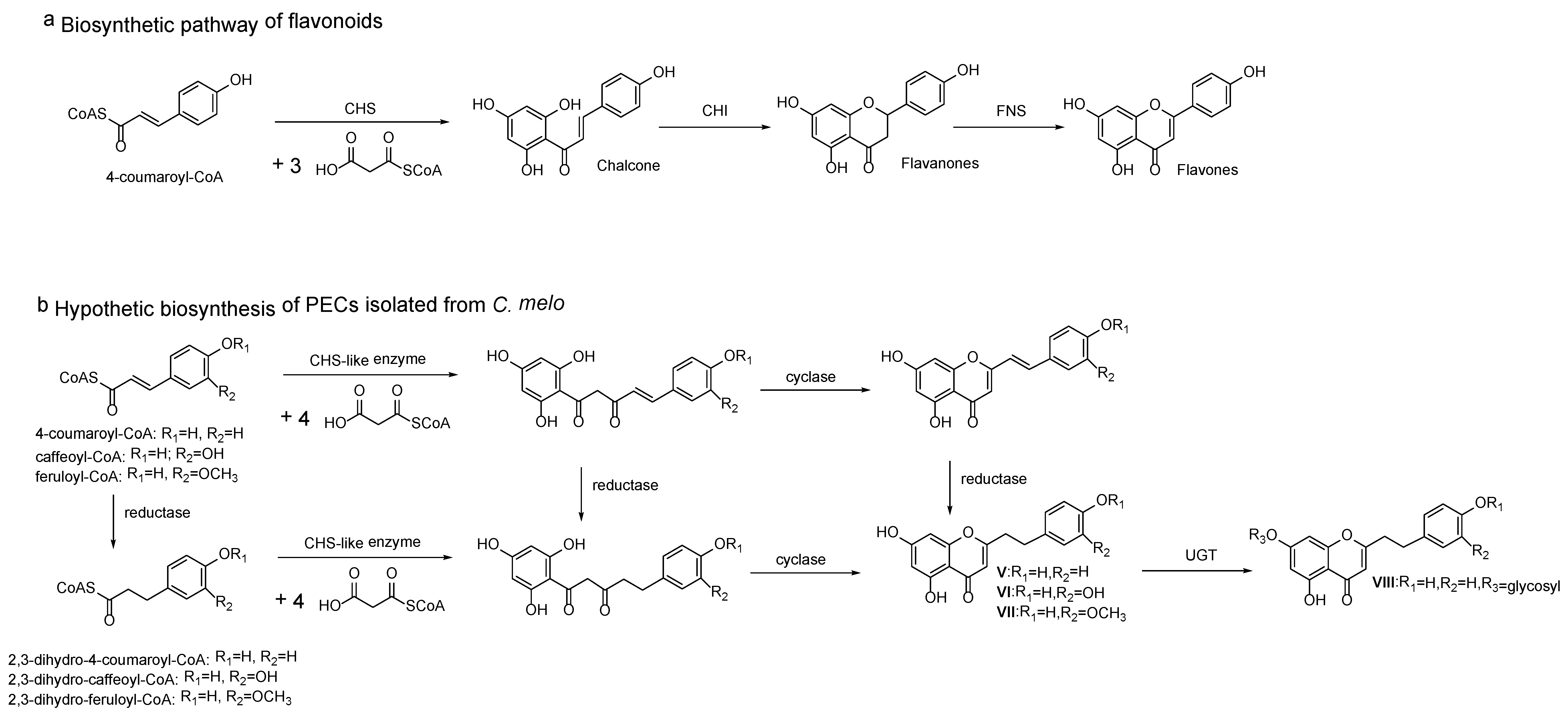
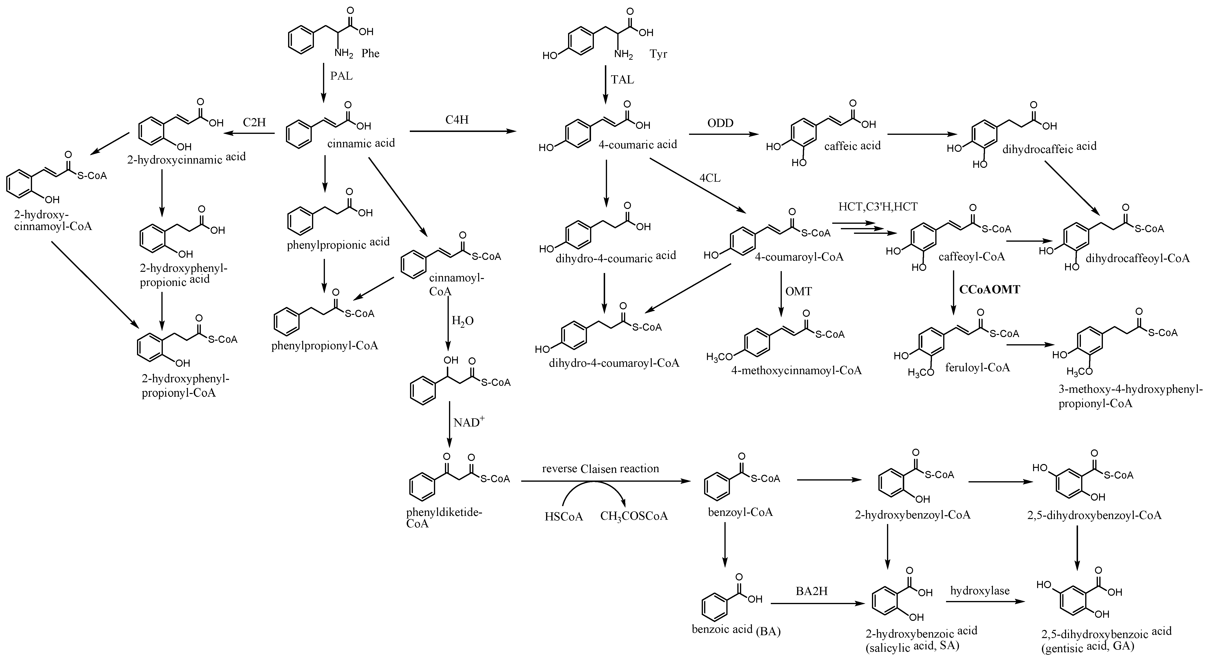
2.2.2. Discussion of Possible Biosynthetic Pathway of 2-(2-Phenylethyl)Chromones
3. Experimental
3.1. General
3.2. Material Treatment
3.3. Sample Preparation
3.4. GC-MS Analysis
3.5. UPLC-MS Analysis
Author Contributions
Funding
Conflicts of Interest
References
- Naef, R. The volatile and semi-volatile constituents of agarwood, the infected heartwood of Aquilaria species: a review. Flav. Fragr. J. 2011, 26, 73–87. [Google Scholar] [CrossRef]
- Blanchette, R.; Heuveling, V.B.H. Cultivated Agarwood. U.S. Patent 7638145B2, 29 December 2009. [Google Scholar]
- Dai, H.F.; Liu, J.; Zeng, Y.B.; Han, Z.; Wang, H.; Mei, W.L. Two new 2-(2-phenylethyl) chromones from Chinese eaglewood. J. Asian. Nat. Prod. Res. 2010, 12, 134–137. [Google Scholar] [CrossRef] [PubMed]
- Paoli, G.D.; Peart, D.R.; Leighton, M.; Samsoedin, I. An ecological and economic assessment of the nontimber forest product gaharu wood in Gunung Palung National Park, West Kalimantan, Indonesia. Cons. Biol. 2001, 15, 1721–1732. [Google Scholar] [CrossRef]
- Pojanagaroon, S.; Kaewrak, C. Mechanical methods to stimulate aloes wood formation in Aquilaria crassna Pierre ex H.Lec (kritsana) trees. ISHS. Acta. Hort. 2005, 676, 161–166. [Google Scholar] [CrossRef]
- Rahman, M.A.; Basak, A.C. Agar production in agar tree by artificial inoculation and wounding. Bano. Biggyan. Patrika. 1980, 9, 87–93. [Google Scholar]
- Sitepu, I.R.; Santoso, E.; Siran, S.A.; Turjaman, M. Fragrant Wood Gaharu.: When the Wild Can. No Longer Provide; R&D Centre for Forest Conservation and Rehabilitation: Bogor, Indonesia, 2011; pp. 23–30. [Google Scholar]
- Mei, W.L.; Zuo, W.J.; Yang, D.L.; Dong, W.H.; Dai, H.F. Advances in the mechanism, artificial agarwood-induction techniques and chemical constituents of artificial agarwood production. Chin. J. Trop. Crop. 2013, 34, 2513–2520. [Google Scholar]
- Tamuli, P.; Boruah, P.; Samanta, R. Biochemical changes in agarwood tree (Aquilaria malaccensis Lank.) during pathogenesis. J. Spices. Aromat. Crop. 2014, 13, 87–91. [Google Scholar]
- Zhang, X.L. Studies on Relationships between Wound-Induced Defense Response and Agarwood Formation from Aquilaria sinensis. Ph.D. Thesis, Beijing Forestry University, Beijing, China, 2013. [Google Scholar]
- Mei, W.L.; Dai, H.F.; Wang, H.; Cai, Z.J. Method to cultivate agarwood. China Patent ZL 201310150138.5, 14 May 2014. [Google Scholar]
- Mei, W.L.; Yang, D.L.; Wang, H.; Yang, J.L.; Zeng, Y.B.; Guo, Z.K.; Dong, W.H.; Li, W.; Dai, H.F. Characterization and determination of 2-(2-phenylethyl) chromones in agarwood by GC-MS. Molecules 2013, 18, 12324–12345. [Google Scholar] [CrossRef] [PubMed]
- Ismail, N.; Ali, N.A.M.; Jamil, M.; Rahiman, M.H.F.; Tajuddin, S.N.; Taib, M.N. A review study of agarwood oil and its analysis. J. Teknologi. 2014, 68, 37–42. [Google Scholar] [CrossRef]
- Lin, F.; Dai, H.F.; Wang, H.; Mei, W.L. GC-MS analysis of the chemical constituents of essential oils from two kinds of Chinese eaglewood produced by artificial fungus inoculation. Lishizhen Med. Mater. Med. Res. 2010, 21, 1901–1902. [Google Scholar]
- Mei, W.L.; Zeng, Y.B.; Liu, J.; Dai, H.F. GC-MS analysis of volatile constituents from five different kinds of Chinese eaglewood. J. Chin. Med. Mater. 2007, 30, 554–558. [Google Scholar]
- Li, W.; Cai, C.H.; Dong, W.H.; Guo, Z.K.; Wang, H.; Mei, W.L.; Dai, H.F. 2-(2-Phenylethyl)chromone derivatives from Chinese agarwood induced by artificial holing. Fitoterapia. 2014, 98, 117–123. [Google Scholar] [CrossRef] [PubMed]
- Wu, B.; Kwon, S.W.; Hwang, G.S.; Park, J.H. Eight new 2-(2-phenylethyl)chromone (=2-(2-phenyl ethyl)-4H-1-benzopyran-4-one) derivatives from Aquilaria malaccensis agarwood. Helv. Chim. Acta. 2012, 95, 1657–1665. [Google Scholar] [CrossRef]
- Yagura, T.; Shibayama, N.; Ito, M.; Kiuchi, F.; Honda, G. Three novel diepoxy tetrahydro chromones from agarwood artificially produced by intentional wounding. Tetrahedron Lett. 2005, 46, 4395–4398. [Google Scholar] [CrossRef]
- Liao, G.; Mei, W.L.; Dong, W.H.; Li, W.; Wang, P.; Kong, F.D.; Gai, C.J.; Song, X.Q.; Dai, H.F. 2-(2-Phenylethyl) chromone derivatives in artificial agarwood from Aquilaria sinensis. Fitoterapia 2016, 110, 38–43. [Google Scholar] [CrossRef] [PubMed]
- Okudera, Y.; Ito, M. Production of agarwood fragrant constituents in Aquilaria calli and cell suspension cultures. Plant. Biotech. 2009, 26, 307–315. [Google Scholar] [CrossRef]
- Picker, K.; Ritchie, E.; Taylor, W. The chemical constituents of australian Flindersia. species. XXI an examination of the bark and the leaves of F. laevicarpa. Aust. J. Chem. 1976, 29, 2023–2036. [Google Scholar] [CrossRef]
- Wang, T.; Li, L.F.; Zhang, K.; Zhang, W.Y.; Pei, Y.H. New 2-(2-phenylethyl)chromones from Bothriochloa. Ischaemum. J. Asian. Nat. Prod. Res. 2001, 3, 145–149. [Google Scholar] [CrossRef] [PubMed]
- Yoon, J.S.; Lee, M.K.; Sung, S.H.; Kim, Y.C. Neuroprotective 2-(2-phenylethyl)chromones of Imperata. cylindrica. J. Nat. Prod. 2006, 69, 290–291. [Google Scholar] [CrossRef] [PubMed]
- Ibrahim, S.R.M. New 2-(2-phenylethyl)chromone derivatives from the seeds of Cucumis melo L var. reticulatus. Nat. Prod. Commun. 2010, 5, 403–406. [Google Scholar] [PubMed]
- Liu, X.; Zhang, B.F.; Yang, L.; Chou, G.X.; Wang, Z.T. Two new chromones and a new flavone glycoside from Imperata. cylindrica. Chin. J. Nat. Med. 2013, 11, 77–80. [Google Scholar] [CrossRef]
- Ibrahim, S.R.M. New Chromone and Triglyceride from Cucumis melo Seeds. Nat. Prod. Commun. 2014, 9, 205–208. [Google Scholar] [PubMed]
- Wang, X.H.; Zhang, Z.X.; Dong, X.J.; Feng, Y.Y; Liu, X.; Gao, B.W.; Wang, J.L; Zhang, L.; Wang, J.; Shi, S.P.; et al. Identification and functional characterization of three type III polyketide synthases from Aquilatia. sinensis calli. BioChem. Biophy. Res. Commun. 2017, 486, 1040–1047. [Google Scholar] [CrossRef] [PubMed]
- Tu, P.F.; Shi, S.P.; Wang, X.H.; Gao, W.B.; Li, J.; Liu, X.; Zhao, Y.F.; Zhang, Z.X.; Zhang, L.; Dong, X.J.; et al. Type III PKS with Its Coding Gene and Usage. China Patent CN 201610037246, 28 July 2017. [Google Scholar]
- Huang, S.H.; Zhang, X.J.; Li, X.Y.; Jiang, H.Z.; Ma, Q.Y.; Wang, P.C; Liu, Y.Q.; Hu, J.M.; Zheng, Y.T.; Zhou, J.; et al. Phenols with anti-HIV activity from Daphne acutiloba. Planta. Med. 2011, 77, 1–4. [Google Scholar]
- Wang, J.; Wang, X.H.; Liu, X.; Li, J.; Shi, X.P.; Song, Y.L.; Zeng, K.W.; Zhang, L.; Tu, P.F.; Shi, S.P. Synthesis of unnatural 2-substituted quinolones and 1,3-diketones by a member of Type III polyketide synthases from Huperzia. serrata. Org. Lett. 2016, 8, 3550–3553. [Google Scholar] [CrossRef] [PubMed]
- Abe, I.; Takahashi, Y.; Morita, H.; Noguchi, H. Benzalacetone synthase: A novel polyketide synthase that plays a crucial role in the biosynthesis of phenylbutanones in Rheum palmatum. Eur. J. Biochem. 2001, 268, 3354–3359. [Google Scholar] [CrossRef] [PubMed]
- Zheng, D.; Hrazdina, G. Molecular and biochemical characterization of benzalacetone synthase and chalcone synthase genes and their proteins from raspberry (Rubus. idaeus L.). Arch. Biochem. Biophys. 2008, 470, 139–145. [Google Scholar] [CrossRef] [PubMed]
- Abe, I.; Morita, H. Structural and function of the chalcone synthase superfamily of plant type III polyketide synthases. Nat. Prod. Rep. 2010, 27, 809–838. [Google Scholar] [CrossRef] [PubMed]
- Li, W.; Mei, W.L.; Zuo, W.J.; Cai, C.H.; Dong, W.H.; Dai, H.F. Chemical constituents of Chinese agarwood induced by artificial holing. J. Trop. Subtrop. Botany. 2016, 24, 342–347. [Google Scholar]
- Austin, M.B.; Noel, J.P. The chalcone synthase superfamily of type III polyketide synthases. Nat. Prod. Rep. 2003, 20, 79–110. [Google Scholar] [CrossRef] [PubMed]
- Vogt, T. Phenylpropanoid biosynthesis. Mol. plant 2010, 3, 2–20. [Google Scholar] [CrossRef] [PubMed]
- Wanibuchi, K.; Zhang, P.; Abe, T.; Morita, H.; Kohno, T.; Chen, G.S.; Noguchi, H.; Abe, I. An aridone-producing novel multifunctional type III polyketide synthase from Huperzia. serrata. FEBS J. 2007, 274, 1073–1082. [Google Scholar] [CrossRef] [PubMed]
- Abe, I.; Morita, H.; Nomura, A.; Noguchi, H. Substrate specificity of chalcone synthase: Enzymatic formation of unnatural polyketides from synthetic cinnamoyl-CoA analogues. J. Am. Chem. Soc. 2000, 122, 11242–11243. [Google Scholar] [CrossRef]
- Schröder, J. The chalcone/stilbene synthase-type family of condensing enzymes. Comprehen. Nat. Prod. Chem. 1999, 1, 749–771. [Google Scholar]
- Van, M.A.; Schauvinold, I.; Pichersky, E.; Haring, M.A.; Schuurink, R. A plant thiolase involved in benzoic acid biosynthesis and volatile benzenoid production in plants. Plant J. 2009, 60, 292–302. [Google Scholar]
- Long, M.C.; Nagegowda, D.A.; Kaminaga, Y.; Ho, K.K.; Kish, C.M.; Schnepp, J.; Sherman, D.; Weiner, H.; Rhodes, D.; Dudareva, N. Involvement of snapdragon benzaldehyde dehydrogenase in benzoic acid biosynthesis. Plant J. 2009, 59, 256–265. [Google Scholar] [CrossRef] [PubMed]
- Bellés, J.M.; Garro, R.; Fayos, J.; Navarro, P.; Primo, J.; Conejero, V. Gentisic acid as a pathogen-inducible signal, additional to salicylic acid for activation of plant defenses in tomato. Mol. Plant-Microbe Interact. 1999, 12, 227–235. [Google Scholar] [CrossRef]
- Mizuuchi, Y.; Shi, S.P.; Wanibuchi, K.; Kojima, A.; Morita, H.; Noguchi, H.; Abe, I. Novel type III polyketide synthases from Aloe arborescens. FEBS J. 2009, 276, 2391–2401. [Google Scholar] [CrossRef] [PubMed]
- Katsuyama, Y.; Kita, T.; Funa, N.; Horinouchi, S. Curcuminoid biosynthesis by two type III polyketide synthases in the herb Curcuma longa. J. Biol. Chem. 2009, 284, 11160–11170. [Google Scholar] [CrossRef] [PubMed]
- Katsuyama, Y.; Kita, T.; Horinouchi, S. Identification and characterization of multiple curcumin synthases from the herb Curcuma. longa. FEBS Lett. 2009, 583, 2799–2803. [Google Scholar] [CrossRef] [PubMed]
Sample Availability: Samples of the compounds are not available from the authors. |







| No. | Compounds | Molecular Formula | MW | Relative Content (%) | ||||||||||
|---|---|---|---|---|---|---|---|---|---|---|---|---|---|---|
| 1 | 2 | 3 | 4 | 5 | 6 | 9 | 12 | |||||||
| 1 | Nonanal | C9H18O | 142 | 0.85 | 0.89 | 1.16 | 0.22 | |||||||
| 2 | 4-Phenylbutan-2-one (Benzylacetone) △ | C10H12O | 148 | 1.02 | 0.46 | 0.17 | 0.09 | 0.21 | 0.14 | 0.11 | ||||
| 3 | Phenylpropanoic acid methyl ester △ | C10H12O2 | 164 | 0.11 | ||||||||||
| 4 | Phenylpropionic acid △ | C9H10O2 | 150 | 1.80 | 0.19 | 0.09 | 0.03 | 0.12 | ||||||
| 5 | 2,6-Di-tert-butyl-2,5-cyclohexadiene-1,4-dione | C14H20O2 | 220 | 0.04 | 0.12 | |||||||||
| 6 | 4-(4-Methoxyphenyl)butan-2-one (Anisylacetone) △ | C11H14O2 | 178 | 0.09 | 0.11 | 0.09 | 0.17 | 0.44 | 0.69 | 0.46 | ||||
| 7 | 2,4- Di-tert—butylphenol △ | C14H22O | 206 | 0.67 | 0.17 | 0.21 | 0.39 | 0.66 | 0.26 | 0.35 | 0.08 | |||
| 8 | 4-Methoxy-phenylpropanoic acid methyl ester △ | C11H14O3 | 194 | 0.07 | ||||||||||
| 9 | (1S,3aR,4S,8aS)-4,8,8-trimethyl-9-methylenedecahydro-1,4-methanoazulene (Junipene) ※ | C15H24 | 204 | 0.10 | ||||||||||
| 10 | 2-[(3R,5R,6R)-6,10-dimethylspiro[4.5]dec-9-en-3-yl] propan-2-ol (Agarospirol) ※ | C15H26O | 222 | 0.68 | 0.09 | 0.88 | 0.02 | |||||||
| 11 | 2-[(1R,3S,4S)-4-ethenyl-4-methyl-3-prop-1-en-2-yl cyclohexyl]propan-2-ol (Elemol) ※ | C15H26O | 222 | 0.36 | ||||||||||
| 12 | 2-[(2R,8S,8aR)-8,8a-dimethyl-2,3,4,4a,7,8-hexahydro-1H-naphthalen-2-yl]propan-2-ol [(-)-Jinkoh-eremol] ※ | C15H26O | 222 | 0.14 | 0.51 | 0.08 | 0.94 | 0.06 | ||||||
| 13 | 2-[(3S,5R,8S)-3,8-dimethyl-1,2,3,4,5,6,7,8-octahydroazulen-5-yl] propan-2-ol (Guaiol) ※ | C15H26O | 222 | 0.24 | 1.51 | 0.06 | ||||||||
| 14 | (1aR,4S,4aS,7R,7aS,7bS)-1,1,4,7-tetramethyl-octahydro-1aH-cyclopropa[e]azulen-4-ol (Viridiflorol) ※ | C15H26O | 222 | 0.16 | 0.81 | 0.50 | 0.45 | 0.05 | ||||||
| 15 | 2-Hydroxy-1,2,3-propanetricarboxylic acid triethyl ester (Triethyl citrate) | C12H20O7 | 276 | 1.59 | 0.69 | 1.01 | ||||||||
| 16 | 4-(4-Hydroxy-3-methoxyphenyl)butan-2-one (Zingerone) △ | C11H14O3 | 194 | 1.71 | 0.11 | |||||||||
| 17 | (1S,4R,5S,6R)-4,7,7-trimethylspiro[bicyclo[4.1.0]heptane-5,3′-cyclopentene]-1′-carbaldehyde (Vitrenal) ※ | C15H22O | 218 | 0.39 | 0.39 | |||||||||
| 18 | 3-(2-Hydroxypropan-2-yl)-6-methylspiro[4.5]dec-9-ene-10-carbaldehyde (Neopetasane) ※ | C15H22O | 218 | 0.22 | 0.34 | 0.36 | 0.58 | 0.26 | ||||||
| 19 | 3-(2-Hydroxypropan-2-yl)-6-methylspiro[4.5]dec-9-ene-10-carbaldehyde (Baimuxinal) ※ | C15H24O2 | 236 | 2.45 | 1.41 | 1.91 | 7.46 | 1.63 | ||||||
| 20 | Methyl hexadecanoate (Methyl palmitate) ☆ | C17H34O2 | 270 | 0.58 | 0.47 | |||||||||
| 21 | 1-O-butyl 2-O-(2-methylpropyl)benzene-1,2-dicarboxylate (Isobutyl phthalate) △ | C16H23O4 | 278 | 0.47 | 0.08 | 0.47 | 0.38 | 0.51 | ||||||
| 22 | Hexadecanoic acid (Palmitic acid) ☆ | C16H32O2 | 256 | 0.27 | 0.27 | 1.85 | 3.27 | 2.59 | ||||||
| 23 | Propan-2-yl hexadecanoate (isopropyl palmitate) ☆ | C19H38O2 | 298 | 1.94 | ||||||||||
| 24 | Methyl octadecanoate (Methyl stearate) ☆ | C19H38O2 | 298 | 0.33 | 0.06 | |||||||||
| 25 | (Z)-octadec-9-enoic acid (Oleic acid) ☆ | C18H34O2 | 282 | 0.62 | 6.50 | 0.65 | ||||||||
| 26 | 1,5-Diphenyl-1-penten-3-one △ | C17H16O | 236 | 0.17 | 0.51 | |||||||||
| 27 | Methyl cis-9,10-epoxystearate ☆ | C19H36O3 | 312 | 0.66 | 0.65 | |||||||||
| 28 | 2-(2-Phenylethyl)chromone * | C17H14O2 | 250 | 8.71 | 20.34 | 6.31 | 8.91 | 6.49 | 1.18 | 0.48 | 2.36 | |||
| 29 | Bis(6-methylheptyl) benzene-1,2-dicarboxylate (Diisooctyl phthalate) △ | C24H38O4 | 390 | 0.85 | 0.16 | 0.46 | 0.22 | 0.50 | 1.40 | 0.45 | 0.92 | |||
| 30 | 5 or 6 or 7 or 8-Hydroxy-2-(2-phenylethyl)chromone * | C17H14O3 | 266 | 1.02 | 0.94 | 0.59 | 0.39 | 0.40 | 0.22 | |||||
| 31 | 5 or 6 or 7 or 8-Methoxy-2-(2-phenylethyl)chromone * | C18H16O3 | 280 | 12.63 | 14.76 | 8.13 | 14.40 | 8.69 | 4.55 | 5.72 | 12.69 | |||
| 32 | 2-[2-(4-Methoxyphenyl)ethyl]chromone * | C18H16O3 | 280 | Overlapped with No. 31 | ||||||||||
| 33 | 5 or 6 or 7 or 8-Methoxy-2-(2-phenylethyl)chromone * | C18H16O3 | 280 | 0.95 | 0.45 | 0.47 | 0.56 | 0.43 | 0.16 | 0.35 | ||||
| 34 | 2-(2-Phenylethyl)chromone: A ring: 1OH, 1OCH3 * | C18H16O4 | 296 | 0.95 | 1.27 | 1.26 | 1.73 | 0.80 | 0.64 | 1.01 | 2.40 | |||
| 35 | 6,8-Dihydroxy-2-(2-phenylethyl)chromone * | C17H14O4 | 282 | 1.22 | 4.48 | 2.55 | 1.83 | 1.13 | 1.04 | 1.44 | 1.73 | |||
| 36 | 5 or 6 or 7 or 8-Hydroxy-2-(2-phenylethyl)chromone * | C17H14O3 | 266 | 9.28 | 21.60 | 12.10 | 8.09 | 4.25 | 5.20 | 3.03 | 6.13 | |||
| 37 | 2-(2-Phenylethyl)chromone: A ring: 1OH, 1OCH3 * | C18H16O4 | 296 | 0.81 | 1.01 | 0.88 | 0.92 | 0.36 | 1.56 | |||||
| 38 | 6-Methoxy-2-[2-(3-methoxyphenyl)ethyl]chromone * | C19H18O4 | 310 | 4.15 | 3.35 | 1.84 | 3.29 | 3.34 | 2.80 | 1.85 | 2.25 | |||
| 39 | 6,7-Dimethoxy-2-(2-phenylethyl)chromone * | C19H18O4 | 310 | 44.25 | 18.15 | 22.12 | 24.12 | 17.99 | 13.99 | 18.64 | 24.87 | |||
| 40 | 5,8-Dihydroxy-2-[2-(4-methoxyphenyl)ethyl]chromone * | C18H16O5 | 312 | 0.43 | 0.60 | 0.57 | 7.37 | 0.82 | 2.73 | |||||
| 41 | 2-(2-Phenylethyl)chromone: A ring: 1OH, 1OCH3 * | C18H16O4 | 296 | 1.41 | 1.46 | 1.36 | 1.06 | 2.03 | 0.96 | 1.59 | ||||
| 42 | 6-Hydroxy-2-[2-(4-methoxyphenyl)ethyl]chromone * | C18H16O4 | 296 | 0.95 | 2.18 | 1.59 | 0.45 | 4.08 | 1.90 | 2.10 | ||||
| 43 | 6,7-Dimethoxy-2-[2-(4-methoxyphenyl)ethyl]chromone * | C20H20O5 | 340 | 1.74 | 1.26 | 2.97 | 2.15 | 2.24 | 3.96 | 5.63 | 3.96 | |||
| 44 | Ergost-5-enol ○ | C28H48O | 400 | 0.05 | 0.36 | 0.12 | 0.30 | |||||||
| 45 | Stigmasterol ○ | C29H48O | 412 | 2.62 | 0.92 | 3.48 | 1.66 | 1.96 | 1.27 | 3.52 | 5.03 | |||
| 46 | Clionasterol ○ | C29H50O | 414 | 1.76 | 0.30 | 2.80 | 1.23 | 1.50 | 1.75 | 2.42 | 2.60 | |||
| 47 | 5α-Stigmast-3-one ○ | C29H50O | 414 | 0.05 | 0.28 | 0.11 | ||||||||
| 48 | Ergosta-4,6,8(14),22-tetraen-3-one ○ | C28H40O | 392 | 0.80 | 0.25 | 0.81 | ||||||||
| 49 | (22E,24R)-Stigmasta-4,22-dien-3-one ○ | C29H46O | 410 | 0.06 | 0.58 | 0.20 | 2.26 | |||||||
| 50 | Stigmast-4-en-3-one ○ | C29H48O | 412 | 2.99 | 0.53 | 1.89 | 1.41 | 8.27 | 1.93 | 2.21 | 0.96 | |||
| 51 | Stigmasta-3,5-dien-7-one ○ | C29H46O | 410 | 0.31 | 0.90 | |||||||||
| 52 | (5α)-Stigmastane-3,6-dione ○ | C29H48O2 | 428 | 0.81 | 0.32 | 1.55 | 0.79 | 4.41 | 0.98 | 0.45 | ||||
| 1 | 2 | 3 | 4 | 5 | 6 | 9 | 12 | |||||||
| Aromatic compounds (No./RC, %) | 3/ 1.99 | 7/ 3.50 | 7/2.74 | 6/1.86 | 7/3.47 | 6/2.55 | 7/3.98 | 8/1.92 | ||||||
| Fatty acids/esters (No./RC, % ) | 2/2.24 | 2/0.97 | 4/2.20 | 2/2.47 | 1/1.94 | 2/9.76 | \ | 4/3.77 | ||||||
| Steroids (No./RC, %) | 4/8.18 | 7/2.23 | 8/11.74 | 8/5.78 | 7/19.51 | 3/4.95 | 6/10.93 | 5/9.34 | ||||||
| Sesquiterpenoids (No./RC, %) | \ | \ | \ | 7/3.74 | 6/4.14 | 7/3.57 | 6/11.38 | 6/2.14 | ||||||
| 2-(2-phenylethyl)chromones (No./RC, %) | 10/83.86 | 13/89.46 | 15/64.32 | 15/70.78 | 14/48.14 | 15/49.74 | 14/42.19 | 13/64.59 | ||||||
| Identified compounds (No./RC, %) | 19/96.28 | 30/96.16 | 35/81.00 | 39/84.62 | 35/77.21 | 33/70.58 | 33/68.48 | 36/81.76 | ||||||
| No | Compounds | Molecular Formula | MW | Relative Content (%) | |||||||||
|---|---|---|---|---|---|---|---|---|---|---|---|---|---|
| 1 | 2 | 3 | 4 | 5 | 6 | 9 | 12 | ||||||
| 1 | THPECs: A ring: 4 OH groups, C ring: 1 OH, 1 OCH3 | C18H20O8 | 364 | 2.27 | 7.89 | 5.78 | 3.11 | ||||||
| 2 | S1: 5α,6α,7α,8β-Tetrahydroxy-2-[2-(3-hydroxy-4-methoxyphenyl) ethyl]-5,6,7,8-tetarahydrochromone | C18H20O8 | 364 | 1.43 | |||||||||
| 3 | S2: 5α,6β,7β,8α-Tetrahydroxy-2-[2-(3-hydroxy-4-methoxyphenyl) ethyl]-5,6,7,8-tetarahydrochromone | C18H20O8 | 364 | 0.78 | 1.57 | 2.48 | 0.22 | ||||||
| 4 | S3: 5α,6β,7β,8α-Tetrahydroxy-2-[2-(4-methoxyphenyl)ethyl]-5,6,7,8-tetrahydrochromone | C18H20O7 | 348 | 8.27 | 9.13 | 7.47 | 10.56 | 8.26 | 14.73 | 6.05 | 5.11 | ||
| 5 | S4: 5α,6β,7β,8α-Tetrahydroxy-2-[2-(4-methoxyphenyl)ethyl)]-5,6,7,8-tetrahydrochromone (Agaroretrol) | C17H18O6 | 318 | 10.00 | 0.99 | 5.08 | 0.88 | 0.46 | 1.35 | 0.38 | 0.43 | ||
| 6 | THPECs: A ring: 4 OH groups, C ring: 1 OCH3 | C18H20O7 | 348 | 0.10 | |||||||||
| 7 | THPECs: A ring: 4 OH groups | C17H18O6 | 318 | 0.41 | 0.24 | 0.82 | 0.85 | 0.99 | 1.61 | 1.50 | 0.22 | ||
| 8 | THPECs: A ring: 4 OH groups | C17H18O6 | 318 | 1.79 | 4.65 | 2.60 | 4.65 | 4.63 | 6.90 | 2.70 | 3.71 | ||
| 9 | S5: 5:6-Epoxy-7β,8α-dihydroxy-2-[2-(3-hydroxy-4-methoxyphenyl) ethyl]-5,6,7,8-tetarahydrochromone | C18H18O7 | 346 | 0.13 | 0.08 | 1.21 | 0.80 | ||||||
| 10 | THPECs: A ring: 3 OCH3, 1 OH | C20H24O6 | 360 | 0.07 | 0.28 | 0.20 | |||||||
| 11 | THPECs: A ring: 3 OCH3, 1 OH, C ring: 1 OCH3 | C18H20O8 | 390 | 0.26 | |||||||||
| 12 | THPECs: A ring: 3 OH, 1 OCH3 | C18H20O6 | 332 | 0.11 | |||||||||
| 13 | S6: (5R,6R,7R,8R)-5,6 :7,8-Diepoxy-2-[2-(3-hydroxy-4-methoxyphenyl) ethyl]-5,6,7,8-tetrahydrochromone (Oxidoagarochromone C) | C18H16O6 | 328 | 0.07 | 0.87 | 1.25 | 0.02 | ||||||
| 14 | DEPECs: C ring: 1 OCH3 | C18H16O5 | 312 | 0.05 | 0.45 | 1.17 | |||||||
| 15 | EPECs: 7′-OH | C17H14O4 | 282 | 1.15 | |||||||||
| 16 | DEPECs: C ring: 1 OCH3, 1 OH | C18H16O6 | 328 | 0.35 | 1.21 | 1.30 | 0.22 | ||||||
| 17 | THPECs: A ring: 3 OH groups, 1 Cl, C ring: 1 OCH3 | C18H19O6Cl | 366 | 0.30 | |||||||||
| 18 | THPECs: A ring: 3 OH groups, 1 Cl | C17H17O5Cl | 336 | 1.28 | 0.16 | 1.08 | 0.12 | 0.51 | 0.19 | ||||
| 19 | S7: 6-Hydroxy-7-methoxy-2-[2-(4-hydroxyphenyl)ethyl]chromone | C18H16O5 | 312 | 0.46 | |||||||||
| 20 | FTPECs: A ring: 1 OH, 1 OCH3, C ring: 1 OH | C18H16O5 | 312 | 0.38 | 0.04 | ||||||||
| 21 | FTPECs: A ring: 1 OH, 1 OCH3, C ring: 1 OH, 1 OCH3 | C19H18O6 | 342 | 0.09 | |||||||||
| 22 | S8: 5:6-Epoxy-7β,8α-dihydroxy-2-[2-(4-methoxyphenyl)ethyl]chromone | C18H18O6 | 330 | 0.05 | 0.12 | 0.20 | 2.80 | ||||||
| 23 | EPECs: A ring: 2 OH groups, C ring: 1 OCH3 | C18H18O6 | 330 | 0.18 | 0.16 | ||||||||
| 24 | FTPECs: A ring 1 OH, 1 OCH3, C ring: 1 OH, 1 OCH3 | C19H18O6 | 342 | 0.85 | 0.95 | 2.24 | 1.60 | ||||||
| 25 | S9: 7-hydroxy-6-methoxy2-[2-(3-hydroxy-4-methoxyphenyl)ethyl] chromone | C19H18O6 | 342 | 0.42 | 0.38 | 0.93 | 0.67 | ||||||
| 26 | S10: 5:6-Epoxy-7β,8α-dihydroxy-2-(2-phenylethyl)chromone | C17H16O5 | 300 | 1.57 | 2.12 | 1.52 | 0.65 | 1.12 | |||||
| 27 | THPECs: A ring: 3 OH groups, 1 Cl | C17H17O5Cl | 336 | 0.14 | 0.15 | 0.37 | 0.34 | ||||||
| 28 | FTPECs: A ring: 1 OH, C ring: 1 OH, 1 OCH3 | C18H16O5 | 312 | 1.35 | 1.57 | 2.55 | 1.67 | ||||||
| 29 | DEPECs: C ring: 1 OCH3 | C18H16O5 | 312 | 0.07 | |||||||||
| 30 | S11: 6-Hydroxy-2-[2-(3-hydroxy-4-methoxyphenyl)ethyl]chromone | C18H16O5 | 312 | 0.50 | 0.48 | 0.51 | 0.40 | ||||||
| 31 | S12: 6,8-Dihydroxy-2-[2-(4-methoxyphenyl)ethyl]chromone | C18H16O5 | 312 | 0.60 | 0.20 | 1.13 | 0.56 | 1.00 | |||||
| 32 | S13: 6,8-Dihydroxy-2-(phenylethyl)chromone | C17H14O4 | 282 | 1.23 | 2.78 | 1.50 | 1.28 | 1.03 | 0.54 | 0.86 | |||
| 33 | S14: 6,7-Dimethoxy-2-[2-(4-hydroxyphenyl)ethyl]chromone | C19H18O5 | 326 | 0.37 | 0.51 | ||||||||
| 34 | S15: 6-Hydroxy-2-[2-(2-hydroxyphenyl)ethyl]chromone | C17H14O4 | 282 | 0.24 | 0.27 | 0.02 | |||||||
| 35 | S16: (5R,6R,7R,8R)-5,6 :7,8-Diepoxy-2-[2-(4-methoxyphenyl)ethyl]-5,6,7,8-tetrahydrochromone (Oxidoagarochromone B) | C18H16O5 | 312 | 0.16 | 0.14 | 0.76 | 1.06 | 1.87 | 1.81 | 0.39 | 1.01 | ||
| 36 | S17: (5R,6R,7R,8R)-5,6 :7,8-Diepoxy-2-(2-phenylethyl)-5,6,7,8-tetrahydrochromone (Oxidoagarochromone A) | C17H14O4 | 282 | 5.08 | |||||||||
| 37 | S18: 6,7-Dimethoxy-2-[2-(3-hydroxy-4-methoxyphenyl)ethyl]chromone | C20H20O6 | 356 | 0.47 | 1.33 | ||||||||
| 38 | FTPECs: A ring: 2 OH groups | C17H14O4 | 282 | 0.20 | 3.45 | 1.74 | 2.29 | 1.08 | 1.76 | 0.98 | 0.67 | ||
| 39 | FTPECs: C ring: 1 OH | C17H14O3 | 266 | 0.04 | 0.33 | 0.13 | 0.15 | 0.28 | 0.07 | ||||
| 40 | S19: 2-[2-(4-Hydroxy-3-methoxyphenyl)ethyl]chromone | C18H16O4 | 296 | 0.43 | 0.32 | ||||||||
| 41 | FTPECs: A ring: 2 OCH3 groups, C ring: 1 OH | C19H18O5 | 326 | 0.96 | 0.25 | 0.39 | |||||||
| 42 | S20: 8-Hydroxy-2-(2-phenylethyl)chromone | C17H14O3 | 266 | 1.02 | 0.88 | 1.07 | 1.06 | 0.59 | 0.61 | 0.80 | 0.65 | ||
| 43 | FTPECs: A ring: 1 OH, 1 OCH3, C ring: 1 OCH3 | C19H18O5 | 326 | 0.15 | 0.07 | 0.75 | 0.38 | 0.86 | 0.92 | 1.31 | 2.02 | ||
| 44 | S21: 7-Hydroxy-6-methoxy2-[2-(4-methoxyphenyl)ethyl]chromone | C19H18O5 | 326 | 0.32 | 0.73 | 0.64 | 0.73 | 0.20 | |||||
| 45 | FTPECs: A ring: 1 OH, 1 OCH3 | C18H16O4 | 296 | 1.97 | 1.41 | 2.33 | 1.17 | 1.75 | 1.57 | 1.88 | 2.46 | ||
| 46 | 7-hydroxy-6-methoxy2-(2-phenylethyl)chromone | C18H16O4 | 296 | 0.86 | 0.50 | 1.09 | 1.24 | 1.38 | 1.12 | 0.79 | 0.42 | ||
| 47 | S22: 2-[2-(2-Hydroxyphenyl)ethyl]chromone | C17H14O3 | 266 | 0.74 | 0.35 | 0.47 | 0.17 | ||||||
| 48 | S23: 6-Methoxy-2-[2-(3-hydroxy-4-methoxyphenyl)ethyl]chromone | C19H18O5 | 326 | 0.06 | 0.77 | 0.11 | |||||||
| 49 | S24: 6-Hydroxy-2-[2-(4-methoxyphenyl)ethyl]chromone | C18H16O4 | 296 | 0.52 | 1.06 | 3.58 | 2.57 | 7.90 | 4.46 | 2.56 | 5.81 | ||
| 50 | S25: 6-Hydroxy-2-(2-phenylethyl)chromone | C17H14O3 | 266 | 14.07 | 19.15 | 15.60 | 12.12 | 14.96 | 6.86 | 2.96 | 10.55 | ||
| 51 | S26: 5-Hydroxy-6-methoxy-2-[2-(3-hydroxy-4-methoxyphenyl)ethyl]chromone | C19H18O6 | 342 | 0.25 | 0.45 | 0.14 | |||||||
| 52 | FTPECs: A ring: 1 OH, C ring: 1OH | C17H14O4 | 282 | 0.67 | 0.10 | 0.27 | 0.09 | ||||||
| 53 | 6,7-Dimethoxy-2-[2-(4-methoxyphenyl)ethyl]chromone | C20H20O5 | 340 | 2.19 | 1.10 | 3.32 | 2.67 | 4.65 | 6.00 | 5.58 | 4.30 | ||
| 54 | S27: 6,7-Dimethoxy-2-(2-phenylethyl)chromone | C19H18O4 | 310 | 23.59 | 12.74 | 18.94 | 17.75 | 15.06 | 14.25 | 17.54 | 18.56 | ||
| 55 | FTPECs: A ring: 2 OCH3 groups | C19H18O4 | 310 | 0.20 | 0.25 | 0.43 | 3.29 | ||||||
| 56 | FTPECs: A ring: 2 OH, C ring: 1 OCH3 | C18H16O5 | 312 | 1.31 | 0.44 | ||||||||
| 57 | FTPECs: A ring: 2 OH groups | C17H14O4 | 282 | 1.21 | 0.80 | 1.17 | 1.36 | ||||||
| 58 | S28: 2-[2-(4-Methoxyphenyl)ethyl]chromone | C18H16O3 | 280 | 0.27 | 0.39 | 0.53 | 0.38 | 1.60 | 0.51 | 0.46 | 0.62 | ||
| 59 | S29: 2-(2-Phenylethyl)chromone | C17H14O2 | 250 | 5.83 | 13.55 | 4.74 | 5.18 | 5.53 | 1.90 | 0.81 | 2.33 | ||
| 60 | 6-Methoxy-2-[2-(4-methoxyphenyl)ethyl]chromone | C19H18O4 | 310 | 2.96 | 2.90 | 2.21 | 2.92 | 3.62 | 2.56 | 1.74 | 3.02 | ||
| 61 | 6-Methoxy-2-(2-phenylethyl)chromone | C18H14O3 | 280 | 6.91 | 10.60 | 6.54 | 19.12 | 8.75 | 4.87 | 5.00 | 9.89 | ||
| 62 | FTPECs: A ring: 2 OCH3 groups, 1 OH, C ring: 1 OCH3 | C20H20O6 | 356 | 0.24 | 0.59 | 0.28 | |||||||
| 63 | S30: 5-Hydroxy-6-methoxy-2-[2-(4-methoxyphenyl)ethyl]chromone | C19H18O5 | 326 | 1.13 | 0.90 | 0.70 | 0.73 | 0.87 | 1.06 | 1.06 | 0.86 | ||
| 64 | 5-Hydroxy-6-methoxy-2-(2-phenylethyl)chromone | C18H16O4 | 296 | 2.86 | 2.50 | 2.96 | 3.38 | 2.34 | 2.44 | 3.68 | 3.13 | ||
| 1 | 2 | 3 | 4 | 5 | 6 | 9 | 12 | ||||||
| FTPECs (n/RC, %) | 18/67.46 | 20/76.46 | 23/69.84 | 24/77.62 | 24/76.49 | 26/58.14 | 32/62.70 | 35/75.59 | |||||
| THPECs (n/RC, %) | 7/21.96 | 7/15.60 | 6/17.42 | 7/17.60 | 6/17.39 | 7/34.56 | 7/20.32 | 11/13.76 | |||||
| EPECs (n/RC, %) | 1/1.57 | 2/2.17 | 4/3.34 | 4/1.66 | 1/0.13 | 1/0.08 | 1/1.21 | 4/5.87 | |||||
| DEPECs (n/RC, %) | 2/5.24 | 1/0.14 | 1/0.76 | 1/1.06 | 4/2.34 | 3/3.89 | 4/4.21 | 5/2.49 | |||||
| Total (n/RC, %) | 28/96.23 | 30/94.37 | 34/91.36 | 36/97.94 | 35/96.35 | 37/96.67 | 44/88.44 | 55/97.71 | |||||
| No. | Structure | tR (min) | [M + H]+ (m/z) | Fragment Ions (m/z) | Name |
|---|---|---|---|---|---|
| S1 | ![]() | 9.6 | 365 | 347, 329 | 5α,6α,7α,8β-Tetrahydroxy-2-[2-(3-hydroxy-4-methoxyphenyl)ethyl]-5,6,7,8-tetarahydrochromone |
| S2 | ![]() | 9.9 | 365 | 347, 329, 301 | 5α,6β,7β,8α-Tetrahydroxy-2-[2-(3-hydroxy-4-methoxyphenyl)ethyl]-5,6,7,8-tetarahydrochromone |
| S3 | ![]() | 13.0 | 349 | 331, 137 | 5α,6β,7β,8α-Tetrahydroxy-2-[2-(4-methoxyphenyl)ethyl]-5,6,7,8-tetarahydrochromone |
| S4 | ![]() | 14.1 | 319 | 301, 283 | 5α,6β,7β,8α-Tetrahydroxy-2-[2-(4-methoxyphenyl)ethyl)]-5,6,7,8-tetrahydrochromone (Agaroretrol) |
| S5 | ![]() | 18.4 | 347 | 329, 301 | 5:6-Epoxy-7β,8α-dihydroxy-2-[2-(3-hydroxy-4-methoxyphenyl)ethyl]-5,6,7,8-tetarahydrochromone |
| S6 | ![]() | 23.4 | 329 | 301, 137 | (5R,6R,7R,8R)-5,6 :7,8-Diepoxy-2-[2-(3-hydroxy-4-methoxyphenyl)ethyl]-5,6,7,8-tetrahydrochromone (Oxidoagarochromone C) |
| S7 | ![]() | 30.0 | 313 | 207, 107 | 6-Hydroxy-7-methoxy-2-[2-(4-hydroxyphenyl)ethyl]chromone |
| S8 | ![]() | 32.7 | 331 | 313, 121 | 5:6-Epoxy-7β,8α-dihydroxy-2-[2-(4-methoxyphenyl) ethyl]chromone |
| S9 | ![]() | 32.8 | 343 | 137 | 6-Methoxy-7-hydroxy-2-[2-(3-hydroxy-4-methoxyphenyl) ethyl]chromone |
| S10 | ![]() | 33.4 | 301 | 283, 255 | 5:6-Epoxy-7β,8α-dihydroxy-2-(2-phenylethyl)chromone |
| S11 | ![]() | 36.6 | 313 | 137 | 6-Hydroxy-2-[2-(3-hydroxy-4-methoxyphenyl)ethyl]chromone |
| S12 | ![]() | 38.2 | 313 | 121 | 6,8-Dihydroxy-2-[2-(4-methoxyphneyl)ethyl]chromone |
| S13 | ![]() | 39.3 | 283 | 192, 91 | 6,8-Dihydroxy-2-(phenylethyl)chromone |
| S14 | ![]() | 40.5 | 327 | 221, 107 | 6,7-Dimethoxy-2-[2-(4-hydroxyphenyl)ethyl]chromone |
| S15 | ![]() | 41.0 | 283 | 177, 107 | 6-Hydroxy-2-[2-(2-hydroxyphenyl)ethyl]chromone |
| S16 | ![]() | 42.3 | 313 | 285, 121 | (5R,6R,7R,8R)-5,6 :7,8-Diepoxy-2-[2-(4-methoxyphenyl)ethyl]-5,6,7,8-tetrahydrochromone (Oxidoagarochromone B) |
| S17 | ![]() | 42.7 | 283 | 255 | (5R,6R,7R,8R)-5,6 :7,8-Diepoxy-2-(2-phenylethyl)-5,6,7,8-tetrahydrochromone (Oxidoagarochromone A) |
| S18 | ![]() | 42.9 | 357 | 137 | 6,7-Dimethoxy-2-[2-(3-hydroxy-4-methoxyphenyl)ethyl] chromone |
| S19 | ![]() | 47.7 | 297 | 161, 137 | 2-[2-(4-hydroxy 3-methoxyphenyl)ethyl]chromone |
| S20 | ![]() | 49.2 | 267 | 91, 176 | 8-Hydroxy-2-(2-phenylethyl)chromone |
| S21 | ![]() | 51.4 | 327 | 121 | 7-Hydroxy-6-methoxy2-[2-(4-methoxyphenyl)ethyl]chromone |
| S22 | ![]() | 54.1 | 267 | 161 | 2-[2-(2-Hydroxyphenyl)ethyl]chromone |
| S23 | ![]() | 54.4 | 327 | 137 | 6-Methoxy-2-[2-(3-hydroxy-4-methoxyphenyl)ethyl]chromone |
| S24 | ![]() | 55.6 | 297 | 121 | 6-Hydroxy-2-[2-(4-methoxyphenyl)ethyl]chromone |
| S25 | ![]() | 57.3 | 267 | 91 | 6-Hydroxy-2-(2-phenylethyl)chromone |
| S26 | ![]() | 58.8 | 343 | 137 | 5-Hydroxy-6-methoxy-2-[2-(3-hydroxy-4-methoxyphenyl)ethyl]chromone |
| S27 | ![]() | 64.4 | 311 | 220 | 6,7-Dimethoxy-2-(2-phenylethyl)chromone |
| S28 | ![]() | 71.2 | 281 | 121 | 2-[2-(4-Methoxyphenyl)ethyl]chromone |
| S29 | ![]() | 73.0 | 251 | 160, 91 | 2-(2-Phenylethyl)chromone |
| S30 | ![]() | 78.4 | 327 | 206, 121 | 5-Hydroxy-6-methoxy-2-[2-(4-methoxyphenyl)ethyl]chromone |
| No. | Coumpund | Resources | Literature |
|---|---|---|---|
| I | 2-(2-phenylethyl)chromone (flindersiachromone) | Flindersia laevicarpa (Rutaceae) Imperata cylindrica (Gramineae) | [21] [23,25] |
| II | 5-hydroxy-6-methoxy-2-[2-(2-hydroxyphenyl)-ethyl]-chromone | Bothriochloa ischaemum (Gramineae) | [22] |
| III | 2,3-dihydro-2-(2-phenylethyl)chromone-3-one | Flindersia laevicarpa (Rutaceae) | [21] |
| IV | 1,5-diphenylpentane-1,3-diol | Flindersia laevicarpa (Rutaceae) | [21] |
| V | 5,7-dihydroxy-2-[2-(4-hydroxyphenyl)ethyl]chromone | Cucumis melo (Cucurbitaceae) | [24] |
| VI | 5,7-dihydroxy-2-[2-(3,4-dihydroxyphenyl)ethyl]chromone | Cucumis melo (Cucurbitaceae) | [24] |
| VII | 5,7-dihydroxy-2-[2-(3-methoxy-4-hydroxyphenyl)ethyl]chromone | Cucumis melo (Cucurbitaceae) | [26] |
| VIII | 7-glucosyloxy-5-hydroxy-2-[2-(4-hydroxyphenyl)ethyl]chromone | Cucumis melo (Cucurbitaceae) | [24] |
| IX | 5-hydroxy-2-(2-phenylethyl)chromone | Imperata cylindrica (Gramineae) | [23] |
| X | 5-hydroxy-2-[2-(2-hydroxypheny1)-ethyl]-chromone | Bothriochloa ischaemum (Gramineae) Imperata cylindrica (Gramineae) | [22] [23] |
| XI | 5-hydroxy-2-styrylchromone | Imperata cylindrica (Gramineae) | [23] |
| XII | 8-hydroxy-2-(2-phenylethyl)chromone | Imperata cylindrica (Gramineae) | [25] |
| XIII | 8-methoxy-flindersiachromone | Flindersia laevicarpa (Rutaceae) | [21] |
| XIV | 2-(2-phenylethyl)chromone-8-O-β-d-glucopyranoside | Imperata cylindrica (Gramineae) | [25] |
| 1 | 2 | 3 | 4 | 5 | 6 | 9 | 12 | |
|---|---|---|---|---|---|---|---|---|
| Group І | 77.63 | 75.56 | 66.53 | 71.62 | 57.52 | 46.27 | 39.56 | 55.0 |
| Group II | 15.50 | 15.67 | 18.69 | 22.01 | 29.70 | 32.90 | 19.13 | 24.73 |
| Group Ш | \ | \ | \ | \ | 1.96 | 3.63 | 9.93 | 3.69 |
© 2018 by the authors. Licensee MDPI, Basel, Switzerland. This article is an open access article distributed under the terms and conditions of the Creative Commons Attribution (CC BY) license (http://creativecommons.org/licenses/by/4.0/).
Share and Cite
Liao, G.; Dong, W.-H.; Yang, J.-L.; Li, W.; Wang, J.; Mei, W.-L.; Dai, H.-F. Monitoring the Chemical Profile in Agarwood Formation within One Year and Speculating on the Biosynthesis of 2-(2-Phenylethyl)Chromones. Molecules 2018, 23, 1261. https://doi.org/10.3390/molecules23061261
Liao G, Dong W-H, Yang J-L, Li W, Wang J, Mei W-L, Dai H-F. Monitoring the Chemical Profile in Agarwood Formation within One Year and Speculating on the Biosynthesis of 2-(2-Phenylethyl)Chromones. Molecules. 2018; 23(6):1261. https://doi.org/10.3390/molecules23061261
Chicago/Turabian StyleLiao, Ge, Wen-Hua Dong, Jin-Ling Yang, Wei Li, Jun Wang, Wen-Li Mei, and Hao-Fu Dai. 2018. "Monitoring the Chemical Profile in Agarwood Formation within One Year and Speculating on the Biosynthesis of 2-(2-Phenylethyl)Chromones" Molecules 23, no. 6: 1261. https://doi.org/10.3390/molecules23061261
APA StyleLiao, G., Dong, W.-H., Yang, J.-L., Li, W., Wang, J., Mei, W.-L., & Dai, H.-F. (2018). Monitoring the Chemical Profile in Agarwood Formation within One Year and Speculating on the Biosynthesis of 2-(2-Phenylethyl)Chromones. Molecules, 23(6), 1261. https://doi.org/10.3390/molecules23061261































