High Resolution Mass Profile of Bufadienolides and Peptides Combing with Anti-Tumor Cell Screening and Multivariate Analysis for the Quality Evaluation of Bufonis Venenum
Abstract
:1. Introduction
2. Results and Discussion
2.1. Qualitative and Relative Quantitative Analysis of Small Molecues in Pre-Fractionated Bufonis Venenum by LC-HMRS
2.2. Qualitative Analysis of Peptides in Bufonis Venenum
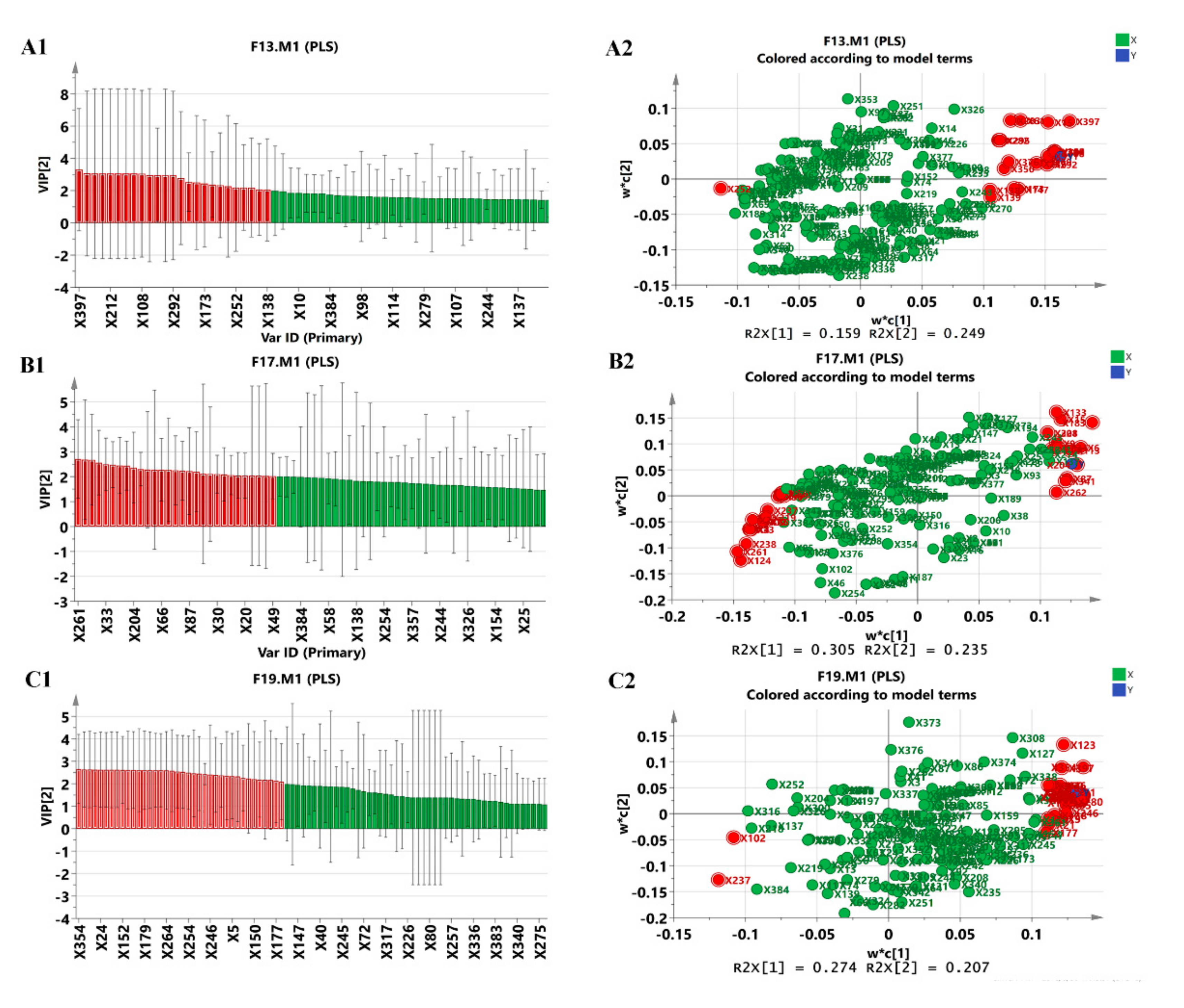
2.3. Discovery of Chemical Markers for the Anti-Tumor Cell Effects of Bufonis Venenum
2.4. Classic Spectrum-Effect Relationship Analysis on the 9 Bufadienolide Markers in Different Batches of Bufonis Venenum Products
2.5. Multivariate Analysis of 9 Bufadienolide Marker Content in Commercial Bufonis Venenums
2.6. Correlation Between the Bufadienolide Marker Contents Corrected by the Weight Coefficient and Tumor Cell Inhibitory Effects
3. Conclusions
4. Materials and Methods
4.1. Standard Solutions and Sample Preparation
4.2. HPLC Fractionation and Collection of Small Molecule Compounds
4.3. Extraction of Peptides
4.4. Mass Spectrometry Analysis
4.5. Bioinformatic Analysis of Peptide Sequence
4.6. MTT Experiment
4.7. Screening for QC Markers with Anti-Tumor Cell Activity Using PLS Analysis
4.8. Quantitative Determination of 9 High Content Markers in Different Batches of Bufonis Venenum by HPLC-UV
4.9. Methodological Investigation
4.10. Statistical Analysis
Supplementary Materials
Author Contributions
Funding
Conflicts of Interest
References
- Kang, L.P.; Zhao, Y.; Pang, X.; Yu, H.S.; Xiong, C.Q.; Zhang, J.; Gao, Y.; Yu, K.; Liu, C.; Ma, B.P. Characterization and identification of steroidal saponins from the seeds of Trigonella foenum-graecum by ultra high-performance liquid chromatography and hybrid time-of-flight mass spectrometry. J. Pharm. Biomed. Anal. 2013, 74, 257–267. [Google Scholar] [PubMed]
- Zhang, X.X.; Liang, J.R.; Liu, J.L.; Zhao, Y.; Gao, J.; Sun, W.J.; Ito, Y. Quality control and identification of steroid saponins from Dioscorea zingiberensis C. H. Wright by fingerprint with HPLC-ELSD and HPLC-ESI-Quadrupole/Time-of-fight tandem mass spectrometry. J. Pharm. Biomed. Anal. 2014, 9, 46–59. [Google Scholar] [CrossRef]
- Li, S.L.; Shen, H.; Zhu, L.Y.; Xu, J.; Jia, X.B.; Zhang, H.M.; Lin, G.; Cai, H.; Cai, B.C.; Chen, S.L. Ultra-high-performance liquid chromatography–quadrupole/time of flight mass spectrometry based chemical profiling approach to rapidly reveal chemical transformation of sulfur-fumigated medicinal herbs, a case study on white ginseng. J. Chromatogr. A 2012, 1231, 31–45. [Google Scholar] [CrossRef] [PubMed]
- Zhu, J.B.; Guo, X.J.; Fu, S.P.; Zhang, X.L.; Liang, X.M. Characterization of steroidal saponins in crude extracts from Dioscorea zingiberensis C. H. Wright by ultra-performance liquid chromatography/electrospray ionization quadrupole time-of-flight tandem mass spectrometry. J. Pharm. Biomed. Anal. 2010, 53, 462–474. [Google Scholar] [CrossRef] [PubMed]
- Lin, S.H.; Wang, D.M.; Yang, D.P.; Yao, J.H.; Tong, Y.; Chen, J.P. Characterization of steroidal saponins in crude extract from Dioscorea nipponica Makino by liquid chromatography tandem multi-stage mass spectrometry. Anal. Chim. Acta 2007, 599, 98–106. [Google Scholar] [CrossRef] [PubMed]
- Wu, K.C.; Kao, C.P.; Ho, Y.L.; Chang, Y.S. Quality Control of the Root and Rhizome of Helminthostachys zeylanica (Daodi-Ugon) by HPLC Using Quercetin and Ugonins as Markers. Molecules 2017, 22, 1115. [Google Scholar] [CrossRef]
- Wei, F.H.; Chen, M.T.; Luo, C.H.; Chen, F.L.; Shen, Q.; Mo, Z.X. Developing an Absorption-Based Quality Control Method for Hu-Gan-Kang-Yuan Capsules by UFLC-QTOF-MS/MS Screening and HPLC-DAD Quantitative Determination. Molecules 2016, 21, 592. [Google Scholar] [CrossRef] [PubMed]
- Yin, T.J.; Yang, G.Y.; Ma, Y.; Xu, B.B.; Hu, M.; You, M.; Gao, S. Developing an activity and absorption-based quality control platform for Chinese traditional medicine: Application to Zeng-Sheng-Ping (Antitumor B). J. Ethnopharmacol. 2015, 172, 195–201. [Google Scholar]
- Hu, Y.H.; Jiang, P.; Wang, S.P.; Yan, S.K.; Xiang, L.; Zhang, W.D.; Liu, R.H. Plasma pharmacochemistry based approach to screening potential bioactive components in Huang-Lian-Jie-Du-Tang using high performance liquid chromatography coupled with mass spectrometric detection. J. Ethnopharmacol. 2012, 141, 728–735. [Google Scholar] [CrossRef] [PubMed]
- Lucio-Gutierrez, J.R.; Garza-Juarez, A.; Coello, J.; Maspoch, S.; Salazar-Cavazos, M.L.; Salazar-Aranda, R.; Waksman de Torres, N. Multi-wavelength high-performance liquid chromatographic fingerprints and chemometrics to predict the antioxidant activity of Turnera diffusa as part of its quality control. J. Chromatogr. A 2012, 1235, 68–76. [Google Scholar] [CrossRef]
- Ren, Y.S.; Zhang, P.; Yan, D.; Wang, J.B.; Du, X.X.; Xiao, X.H. A strategy for the detection of quality fluctuation of a Chinese herbal injection based on chemical fingerprinting combined with biological fingerprinting. J. Pharm. Biomed. Anal. 2011, 56, 436–442. [Google Scholar] [CrossRef] [PubMed]
- Yang, E.; Zhong, Y.M.; Feng, Y.F. Advance on the chemical constituents and pharmacological effects of Atractylodes macrocephala Koidz. J. Guangdong Pharm. Univ. 2012, 28, 218–221. [Google Scholar]
- Yin, H.; Yin, H.; Wang, Z.Q.; Wang, L.; Zhou, A.Z.; Li, Q.L.; Cheng, Z. Simultaneous determination of Atractylone, Atractylenolide I, II, III in Atractylodes macrocephala by HPLC-wavelength switching method. Chin. J. Tradit. Chin. Med. 2013, 1, 233–236. [Google Scholar]
- Tang, D.D.; Yuan, S.J.; Zhang, N.; Zhao, Y.H.; Wei, F.; Zhao, Y.Y. Research progress of pharmacodynamics and toxicity of traditional Chinese medicine based on urinary metabolomics. Chin. J. Pharm. Anal. 2016, 1, 1–8. [Google Scholar]
- Lu, C.M.; Cui, X.M. Research Progress in TCM Quality Control and Toxicity Evaluation Based on Metabolomics Technology. Chin. J. Inf. Tradit. Chin. Med. 2019, 26, 141–144. [Google Scholar]
- Koek, M.M.; Jellema, R.H.; Greef., J.; Tas, A.C.; Hankemeier, T. Quantitative metabolomics based on gas chromatography mass spectrometry: Status and perspectives. Metabolomics 2011, 7, 307–328. [Google Scholar] [CrossRef] [PubMed]
- Pellati, F.; Orlandini, G.; Benvenuti, S. Simultaneous metabolite fingerprinting of hydrophilic and lipophilic compounds in Echinacea pallida by high-performance liquid chromatography with diode array and electrospray ionization-mass spectrometry detection. J. Chromatogr. A. 2012, 1242, 43–58. [Google Scholar] [CrossRef]
- Kim, E.J.; Kwon, J.; Park, S.H.; Park, C.; Seo, Y.B.; Shin, H.K.; Kim, H.K.; Lee, K.S.; Choi, S.Y.; Ryu, D.H.; et al. Metabolite profiling of Angelica gigas from different geographical origins using 1H NMR and UPLC-MS analyses. J. Agric. Food Chem. 2011, 59, 8806–8815. [Google Scholar] [CrossRef]
- Zhang, P.; Cui, Z.; Liu, Y.S.; Wang, D.; Liu, N.; Yoshikawa, M. Quality evaluation of traditional Chinese drug toad venom from different origins through a simultaneous determination of bufogenins and indole alkaloids by HPLC. Chem. Pharm. Bull. 2005, 53, 1582–1586. [Google Scholar] [CrossRef]
- Gao, H.M.; Zehl, M.; Leitner, A.; Wu, X.Y.; Wang, Z.M.; Kopp, B. Comparison of toad venoms from different Bufo species by HPLC and LC-DAD-MS/MS. J. Ethnopharmacol. 2010, 131, 368–376. [Google Scholar] [CrossRef]
- Sun, C.F.; Fan, S.C.; Luo, Y. Research progress on chemical constituents and artificial synthesis of Bufonis Venenum. Chin Tradit. Herbal Drugs 2018, 49, 3183–3192. [Google Scholar]
- Wang, Z.Y.; Zhou, J.; Ma, H.Y.; Zhu, Z.H.; Qian, D.W.; Duan, J.A.; Wu, Q.N. Identification of Proteins in Toad Venom by NanoLC-LTQ-Orbitrap Velos Pro. Chin. Pharm. J. 2017, 52, 675–680. [Google Scholar]
- Huo, Y.G.; Xv, R.X.; Ma, H.Y.; Zhou, J.; Xi, X.P.; Wu, Q.N.; Duan, J.A.; Zhou, M.; Chen, T.B. Identification of < 10 KD peptides in the water extraction of Venenum Bufonis from Bufo gargarizans using Nano LC– MS/MS and De novo sequencing. J. Pharm. Biomed. Anal. 2018, 157, 156–164. [Google Scholar]
- Chen, Y.L.; Hao, Y.Y.; Guo, F.J. Research progress on chemical constituents and pharmacological activities of Bufonis Venenum. Chin. Tradit. Herbal Drugs 2017, 48, 2579–2588. [Google Scholar]
- Gao, X.X.; Sun, C.P.; Yu, Z.L.; Jian, C.; Tian, X.G.; Huo, X.K.; Lei, F.; Liu, X.G.; Wang, C.; Zhang, B.J. Correlation analysis between the chemical contents and bioactivity for the quality control of Alismatis Rhizoma. Acta Pharm. Sin. B 2018, 8, 242–251. [Google Scholar] [CrossRef]
- Xu, H.Y.; Hou, W.B.; Li., K. A new concept on quality marker of Chinese materia medica: Quality control for Chinese medicinal products. Chin. Tradit. Herbal Drugs 2016, 47, 1443–1457. [Google Scholar]
- Liu, C.X. Recognizing healthy development of Chinese medicine industry from resourcesquality-quality markers of Chinese medicine. Chin. Tradit. Herbal Drugs 2016, 47, 3149–3154. [Google Scholar]
- Wang, J. Study on the Relationship of the Structure-Effect-Toxicity of Bufadienolides Inhibiting Tumor Cells Proliferation. Master’s Thesis, Nanjing University of Chinese Medicine, Nanjing, China, April 2009. [Google Scholar]
- Liu, D.; Zhang, W.; Wang, X.Y.; Chen, T.; Hu, W. Treatment of Cionbufagin on analgesic effect and activation of glial cells in the spinal cord of cancer-induced bone pain rats. Carcinog. Teratog. Mutagen. 2018, 30, 56–60. [Google Scholar]
- Cai, H.; Xu, Y.Y.; Xie, L.; Duan, Y.; Zhou, J.; Liu, J.; Niu, M.J.; Zhang, Y.T.; Shen, L.; Pei, K.; et al. Investigation on Spectrum-Effect Correlation between Constituents Absorbed into Blood and Bioactivities of Baizhu Shaoyao San before and after Processing on Ulcerative Colitis Rats by UHPLC/Q-TOF-MS/MS Coupled with Gray Correlation Analysis. Molecules 2019, 24, 940. [Google Scholar] [CrossRef]
Sample Availability: 29 samples of the compounds from Leiyunshang Pharmaceutical Company and samples from 9 different origins used for pre-fractionation are from the authors |









| Peptide | Mass | Length | m/z | Intensity | Protein |
|---|---|---|---|---|---|
| FPGNKITSVAGVY | 1351.7136 | 13 | 676.864 | 6.52E + 05 | CL4590.Contig1_All |
| ISWLKPS | 829.4698 | 7 | 415.7423 | 6.51E + 05 | CL4590.Contig1_All |
| P.R(+44.03)GFPGPPGP.P | 924.4817 | 9 | 463.2499 | 1.75E + 04 | P39061|COIA1_MOUSE |
| P.AVPIPLVA(+17.03).P | 795.5218 | 8 | 398.7651 | 1.02E + 04 | P39061|COIA1_MOUSE |
| LGDS(+42.01)VVTP | 828.4229 | 8 | 415.2137 | 1.68E + 04 | CL3802.Contig2_All |
| S(−20.03)ALPAKV | 664.3907 | 7 | 333.2047 | 4.95E + 04 | CL3802.Contig2_All |
| GC(sub R)KRAAKR | 888.5076 | 8 | 445.2622 | 3.31E + 05 | CL4128.Contig1_All |
| LPVLGP(sub T)LQLYCA | 1285.7104 | 12 | 643.8583 | 1.19E + 04 | Unigene3157_All |
| QPSQR(sub K)R | 770.4147 | 6 | 386.2119 | 2.80E + 03 | CL5925.Contig2_All |
| P(sub A)HSNPG | 607.2714 | 6 | 304.6418 | 1.40E + 03 | Unigene9476_All |
| Var ID | RT * | m/z | Identification | M1.VIP [2] |
|---|---|---|---|---|
| (Primary) | ||||
| X1 | 8.29 | 385.2369 | resibufogenin | 2.45 |
| X2 | 6.98 | 387.2526 | bufalin | 2.08 |
| X3 | 4.19 | 401.2322 | hydroxylresibufogenin | 2.53 |
| X4 | 3.29 | 403.2475 | desacetylbufotalin | 2.63 |
| X5 | 4.66 | 403.248 | telocinobufagin | 2.41 |
| X6 | 2.31 | 403.2481 | gamabufotalin | 2.35 |
| X7 | 3.27 | 415.2114 | 19-oxo-desacetylcinobufagin | 3.06 |
| X8 | 8.94 | 415.2126 | bufotalinin | 2.37 |
| X9 | 3.15 | 417.2261 | arenobufagin | 2.33 |
| X10 | 2.76 | 419.2431 | hellebrigenol | 2.38 |
| X11 | 2.29 | 425.231 | dehydrated cinobufagin | 2.35 |
| X12 | 8.95 | 437.1923 | unknown | 2.44 |
| X13 | 8.31 | 443.2421 | cinobufagin | 2.63 |
| X14 | 5.12 | 445.2581 | bufotalin | 2.97 |
| X15 | 5.82 | 459.2356 | cinobufaginol | 1.71 |
| X16 | 3.78 | 641.353 | 3-(N-succinyl argininyl)- resibufogenin | 2.78 |
| X17 | 1.85 | 679.5126 | unknown | 1.59 |
| X18 | 4.84 | 685.4183 | 3-(N-pimeloyl- argininyl)bufalin | 1.96 |
| X19 | 3.46 | 699.3966 | 3-(N-suberoyl- argininyl)bufalin | 2.66 |
| X20 | 3.86 | 713.4094 | 3-(N-suberoyl argininyl)- desacetylcinobufagin | 2.49 |
| X21 | 2.67 | 715.3566 | 3-(N-succinyl- argininyl)gamabufotalin | 1.89 |
| X22 | 2.93 | 715.4271 | 3-(N-succinyl argininyl)- telocinobufagin | 2.04 |
| X23 | 2.88 | 729.4049 | 3-(N-suberoyl argininyl)- hellebrigenin | 2.07 |
| X24 | 5.1 | 467.241 | unknown | 2.92 |
| X25 | 8.81 | 374.3625 | unknown | 2.46 |
| X26 | 2.31 | 405.2543 | unknown | 2.28 |
| X27 | 3.06 | 787.412 | unknown | 2.15 |
| X28 | 5.97 | 700.4416 | unknown | 1.81 |
| X29 | 0.43 | 160.0757 | Indole-3-acetaldehyde | 1.31 |
| X30 | 0.46 | 203.1177 | dehydrobufotenine | - |
| X31 | 0.43 | 205.1339 | bufotenine | - |
| X32 | 10.31 | 221.1169 | bufotenine N-oxide | 0.36 |
| X33 | 6.24 | 256.2635 | hexadecanamide | 1.01 |
| X34 | 0.39 | 275.1354 | Indole-3-acetyl-L-valine | 0.85 |
| X35 | 7.14 | 331.1964 | glycerol 1-monopalmitate | - |
| X36 | 7.75 | 335.2014 | Strychnine | - |
| Substance Name | Standard Curve Line | r2 | Linear Range (ng/mL) | LOD (ng/mL) | LOQ (ng/mL) |
|---|---|---|---|---|---|
| gamabufotalin | y = 0.0134x − 0.8377 | 0.9999 | 400–40,000 | 241.93 | 660.56 |
| arenobufagin | y = 0.0216x − 1.9421 | 0.9999 | 400–40,000 | 230.98 | 560.12 |
| telocinobufagin | y = 0.0158x − 0.8980 | 0.9998 | 400–40,000 | 356.21 | 1054.75 |
| desacety-bufotalin | y = 0.0279x − 4.7703 | 0.9998 | 400–40,000 | 347.39 | 759.02 |
| bufotalin | y = 0.0188x − 2.9766 | 0.9999 | 400–40,000 | 458.70 | 1159.55 |
| cinobufotalin | y = 0.0204x − 3.5772 | 0.9997 | 400–40,000 | 491.72 | 1229.93 |
| bufalin | y = 0.0215x − 1.9680 | 0.9999 | 400–40,000 | 231.90 | 559.43 |
| resibufogenin | y = 0.0219x − 3.5778 | 0.9999 | 400–40,000 | 259.16 | 482.55 |
| cinobufagin | y = 0.0122x − 1.1549 | 0.9999 | 400–40,000 | 275.48 | 697.37 |
| Substance Name | Precision RSD (%) | Repeatability RSD (%) | Stability RSD (%) | Recovery (%) | ||
|---|---|---|---|---|---|---|
| Intraday | Interday | RSD (%) | Mean (%) | |||
| gamabufotalin | 2.8 | 1.6 | 0.7 | 0.7 | 1.5 | 97.0 |
| arenobufagin | 2.6 | 2.2 | 0.8 | 1.7 | 0.8 | 103.4 |
| telocinobufagin | 2.5 | 3.6 | 1.3 | 1.6 | 1.4 | 91.1 |
| desacety-bufotalin | 3.2 | 3.4 | 3.2 | 4.5 | 2.9 | 92.2 |
| bufotalin | 2.5 | 4.9 | 0.9 | 2.9 | 1.0 | 105.3 |
| cinobufotalin | 5.7 | 4.6 | 1.6 | 2.1 | 0.8 | 104.1 |
| bufalin | 2.3 | 2.7 | 0.9 | 1.1 | 1.2 | 101.8 |
| resibufogenin | 2.8 | 1.6 | 1.0 | 1.4 | 0.8 | 102.5 |
| cinobufagin | 4.9 | 3.8 | 0.6 | 1.3 | 0.7 | 103.1 |
| gamabu-fotalin | arenob-ufagin | telocino-bufagin | desacety-bufotalin | bufotalin | cinobu-fotalin | bufalin | resibufo-genin | cinobu-fagin | Inhibition Rate (%) | |
|---|---|---|---|---|---|---|---|---|---|---|
| Shandong-1 | 1.7 | 3.41 | 0.29 | 0.01 | 1.04 | 0.60 | 1.29 | 4.41 | 2.22 | 52.05 ± 0.58 |
| Shandong-2 | 1.3 | 3.80 | 0.38 | 0.02 | 1.05 | 0.88 | 1.22 | 3.21 | 2.41 | 53.79 ± 0.96 |
| Shandong-3 | 1.67 | 3.32 | 0.28 | 0.01 | 1.01 | 0.54 | 1.15 | 3.79 | 1.82 | 52.17 ± 0.64 |
| Linyi-1 | 0.89 | 1.46 | 1.08 | 0.16 | 1.16 | 1.86 | 1.40 | 1.84 | 3.68 | 50.49 ± 0.36 |
| Linyi-2 | 0.97 | 1.52 | 1.32 | 0.12 | 1.21 | 1.76 | 1.33 | 1.65 | 3.30 | 50.1 ± 0.30 |
| Nantong-1 | 0.69 | 3.59 | 0.89 | 0.09 | 1.60 | 1.81 | 1.68 | 1.80 | 3.86 | 55.04 ± 1.00 |
| Nantong-2 | 0.75 | 2.60 | 0.89 | 0.17 | 1.49 | 2.02 | 1.61 | 2.02 | 4.46 | 56.29 ± 0.80 |
| Nantong-3 | 0.79 | 1.57 | 0.41 | 0.17 | 1.72 | 1.64 | 2.53 | 2.81 | 4.86 | 52.84 ± 1.60 |
| Nantong-4 | 0.64 | 1.64 | 1.81 | 0.12 | 1.41 | 2.21 | 1.81 | 2.09 | 4.04 | 53.69 ± 1.22 |
| Nantong-5 | 0.46 | 3.41 | 1.28 | 0.07 | 1.33 | 2.19 | 1.36 | 1.21 | 2.72 | 55.66 ± 0.94 |
| Xuzhou-1 | 0.59 | 1.30 | 0.74 | 0.1 | 1.33 | 2.11 | 1.55 | 2.41 | 3.70 | 54.31 ± 1.27 |
| Xuzhou-2 | 1.11 | 1.31 | 1.3 | 0.21 | 1.41 | 2.12 | 1.55 | 2.42 | 3.72 | 51.97 ± 1.44 |
| Sanyitang-2 | 1.08 | 4.20 | 1.9 | 0.13 | 1.46 | 2.00 | 1.70 | 1.77 | 4.19 | 60.71 ± 1.45 |
| Sanyitang-5 | 1.06 | 3.69 | 1.61 | 0.34 | 1.39 | 2.22 | 1.61 | 1.57 | 3.58 | 59.47 ± 0.93 |
| Sanyitang-7 | 1.02 | 3.33 | 0.62 | 0.31 | 1.32 | 1.68 | 1.40 | 1.39 | 2.64 | 56.92 ± 1.48 |
| Sanyitang-8 | 0.84 | 2.06 | 1.38 | 0.11 | 0.99 | 0.98 | 1.56 | 2.68 | 3.63 | 55.59 ± 1.01 |
| Sanyitang-9 | 0.94 | 0.72 | 1.15 | 0.24 | 0.67 | 0.89 | 1.66 | 4.10 | 4.48 | 53.06 ± 1.07 |
| Sanyitang-10 | 1.15 | 1.40 | 0.91 | 0.36 | 1.64 | 2.23 | 1.38 | 1.65 | 3.14 | 55.18 ± 3.18 |
| Sanyitang-11 | 0.5 | 3.15 | 1.01 | 0.1 | 1.23 | 1.68 | 1.44 | 1.49 | 3.28 | 58.32 ± 1.76 |
| Sanyitang-12 | 0.88 | 1.89 | 1.07 | 0.22 | 1.02 | 1.26 | 1.30 | 1.91 | 3.02 | 54.79 ± 1.64 |
| Taiji-1 | 1.15 | 3.32 | 1.21 | 0.13 | 1.04 | 1.43 | 1.33 | 1.80 | 3.42 | 59.01 ± 2.88 |
| Taiji-2 | 1.13 | 3.64 | 1.18 | 0.12 | 1.18 | 1.55 | 1.46 | 1.99 | 3.75 | 53.55 ± 0.95 |
| Taiji-3 | 0.96 | 2.92 | 1.44 | 1.3 | 1.14 | 1.45 | 1.23 | 1.25 | 2.71 | 52.05 ± 0.80 |
| Taiji-4 | 0.93 | 1.31 | 1.32 | 0.12 | 1.59 | 2.27 | 1.53 | 1.89 | 3.56 | 51.37 ± 0.39 |
| leiyunshang-1 | 0.26 | 0.45 | 0.27 | 0.02 | 1.64 | 0.35 | 2.48 | 7.08 | 4.53 | 51.31 ± 0.27 |
| leiyunshang-3 | 0.28 | 0.38 | 0.29 | 0.03 | 1.68 | 0.25 | 2.64 | 7.12 | 6.29 | 54.53 ± 1.30 |
| leiyunshang-4 | 0.33 | 0.42 | 0.26 | 0.06 | 1.33 | 0.11 | 2.49 | 8.99 | 4.11 | 51.31 ± 0.28 |
| leiyunshang-5 | 0.33 | 0.64 | 0.31 | 0.05 | 1.81 | 0.48 | 2.26 | 5.84 | 5.59 | 55.72 ± 0.44 |
| leiyunshang-6 | 0.37 | 0.43 | 0.33 | 0.06 | 1.76 | 0.14 | 2.72 | 7.37 | 5.85 | 56.56 ± 1.28 |
| Correlation coefficient | −0.07 | 0.40 | 0.28 | −0.04 | 0.13 | 0.20 | −0.02 | −0.24 | 0.12 |
© 2019 by the authors. Licensee MDPI, Basel, Switzerland. This article is an open access article distributed under the terms and conditions of the Creative Commons Attribution (CC BY) license (http://creativecommons.org/licenses/by/4.0/).
Share and Cite
He, R.; Ma, H.; Zhou, J.; Zhu, Z.; Lv, X.; Li, Q.; Wang, H.; Yan, Y.; Luo, N.; Di, L.; et al. High Resolution Mass Profile of Bufadienolides and Peptides Combing with Anti-Tumor Cell Screening and Multivariate Analysis for the Quality Evaluation of Bufonis Venenum. Molecules 2019, 24, 1943. https://doi.org/10.3390/molecules24101943
He R, Ma H, Zhou J, Zhu Z, Lv X, Li Q, Wang H, Yan Y, Luo N, Di L, et al. High Resolution Mass Profile of Bufadienolides and Peptides Combing with Anti-Tumor Cell Screening and Multivariate Analysis for the Quality Evaluation of Bufonis Venenum. Molecules. 2019; 24(10):1943. https://doi.org/10.3390/molecules24101943
Chicago/Turabian StyleHe, Rongrong, Hongyue Ma, Jing Zhou, Zhenhua Zhu, Xiang Lv, Quan Li, Hengbin Wang, Yanqing Yan, Niancui Luo, Liuqing Di, and et al. 2019. "High Resolution Mass Profile of Bufadienolides and Peptides Combing with Anti-Tumor Cell Screening and Multivariate Analysis for the Quality Evaluation of Bufonis Venenum" Molecules 24, no. 10: 1943. https://doi.org/10.3390/molecules24101943
APA StyleHe, R., Ma, H., Zhou, J., Zhu, Z., Lv, X., Li, Q., Wang, H., Yan, Y., Luo, N., Di, L., Wu, Q., & Duan, J. (2019). High Resolution Mass Profile of Bufadienolides and Peptides Combing with Anti-Tumor Cell Screening and Multivariate Analysis for the Quality Evaluation of Bufonis Venenum. Molecules, 24(10), 1943. https://doi.org/10.3390/molecules24101943
