The Impact of Temperature and Ethanol Concentration on the Global Recovery of Specific Polyphenols in an Integrated HPLE/RP Process on Carménère Pomace Extracts
Abstract
1. Introduction
2. Materials and Methods
2.1. Chemicals and Analytic Reagents
2.2. Wine Pomace
2.3. Hot-Pressurized Liquid Extraction (HPLE) of Carménère Pomace
2.4. Purification Process (RP) of Carménère Pomace Raw Extracts
2.5. Total Polyphenols Content (TPC)
2.6. Antioxidant Capacity
2.7. Quantification of 5-Hydroxymethylfurfural (HMF) Concentration
2.8. Quantification of Fructose and Glucose Concentration
2.9. Quantification of Target Polyphenols
2.10. Computational Chemistry Calculations
2.11. Statistical Analysis
3. Results and Discussion
3.1. Effect of Ethanol as Co-Solvent in HPLE
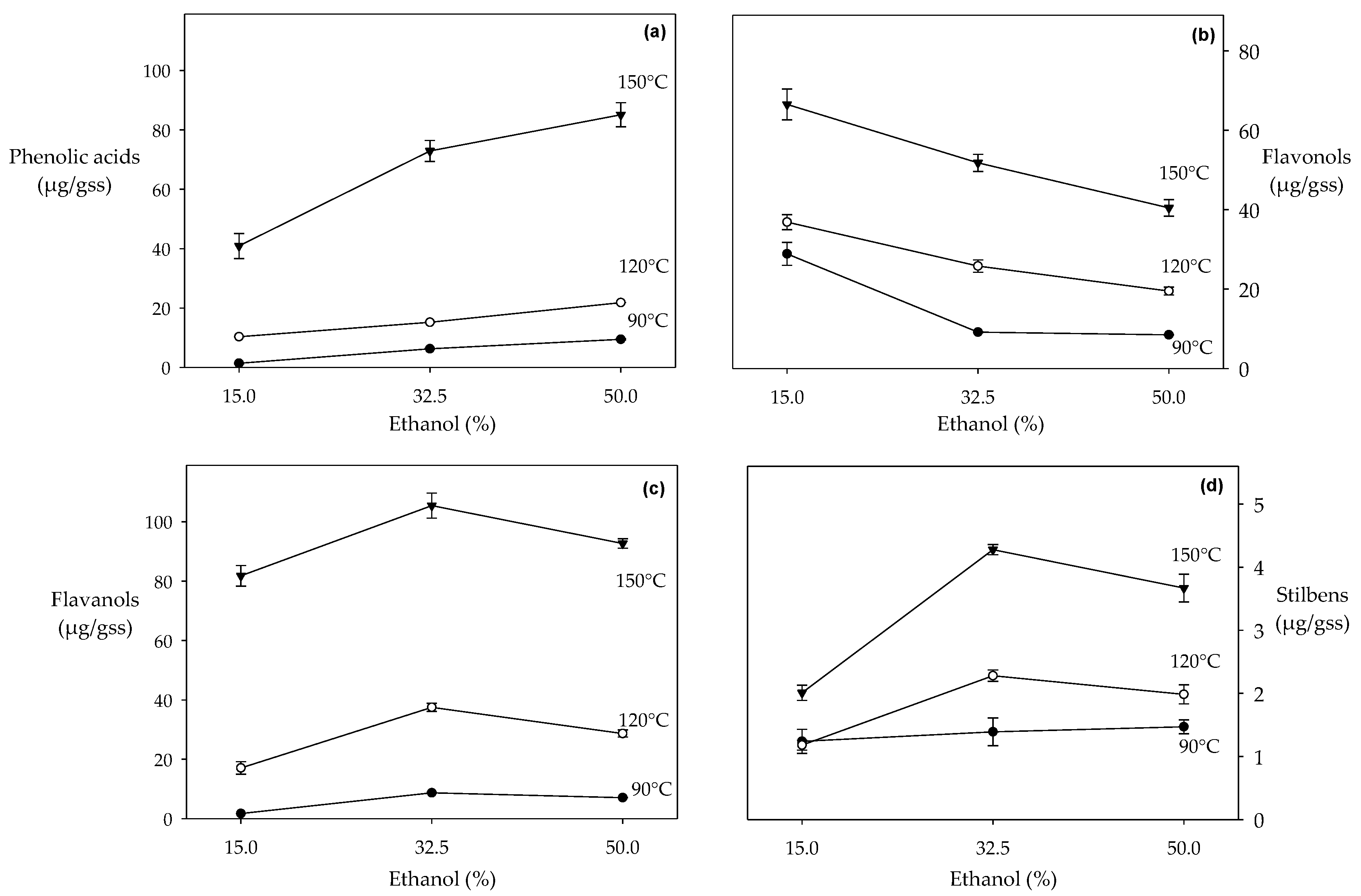
3.1.1. Phenolic Acids
3.1.2. Flavanols
3.1.3. Flavonols
3.1.4. Stilbenes (Resveratrol)
3.1.5. Interfering Compounds
3.1.6. Global Antioxidant Properties
3.2. Purification with Macropoporous Resin (RP)
3.2.1. Purification of Phenolic Acids
3.2.2. Purification of Flavanols
3.2.3. Purification of Flavonols
3.2.4. Purification of Stilbenes (Resveratrol)
3.2.5. Interfering Compounds
4. Conclusions
Supplementary Materials
Author Contributions
Funding
Conflicts of Interest
References
- Servicio Agrícola y Ganadero S.A.G. Informe Ejecutivo Producción de Vinos. Available online: http//www.sag.cl/content/informe-ejecutivo-produccion-de-vinos-2017/ (accessed on 20 March 2018).
- De la Cerda-Carrasco, A.; López-Solís, R.; Nuñez-Kalasic, H.; Peña-Neira, Á.; Obreque-Slier, E. Phenolic composition and antioxidant capacity of pomaces from four grape varieties (Vitis vinifera L.). J. Sci. Food Agric. 2015, 95, 1521–1527. [Google Scholar] [CrossRef] [PubMed]
- Huaman-Castilla, N.L.; Mariotti-Celis, M.S.; Perez-Correa, J.R. Polyphenols of Carménère Grapes. Mini. Rev. Org. Chem. 2017, 14, 176–186. [Google Scholar] [CrossRef] [PubMed]
- Xia, E.Q.; Deng, G.F.; Guo, Y.J.; Li, H.B. Biological Activities of Polyphenols from Grapes. Int. J. Mol. Sci. 2014, 11, 622–646. [Google Scholar] [CrossRef] [PubMed]
- Rodríguez-Pérez, C.; Segura-Carretero, A.; del Mar Contreras, M. Phenolic compounds as natural and multifunctional anti-obesity agents: A review. Crit. Rev. Food Sci. Nutr. 2017, 8398, 1–18. [Google Scholar] [CrossRef] [PubMed]
- Dzialo, M.; Mierziak, J.; Korzun, U.; Preisner, M.; Szopa, J.; Kulma, A. The potential of plant phenolics in prevention and therapy of skin disorders. Int. J. Mol. Sci. 2016, 17, 160. [Google Scholar] [CrossRef] [PubMed]
- De Filippis, B.; Ammazzalorso, A.; Fantacuzzi, M.; Giampietro, L.; Maccallini, C.; Amoroso, R. Anticancer Activity of Stilbene-Based Derivatives. ChemMedChem 2017, 12, 558–570. [Google Scholar] [CrossRef] [PubMed]
- Pugajeva, I.; Perkons, I.; Górnaś, P. Identification and determination of stilbenes by Q-TOF in grape skins, seeds, juice and stems. J. Food Compos. Anal. 2018, 74, 44–52. [Google Scholar] [CrossRef]
- Babbar, N.; Oberoi, H.S.; Sandhu, S.K.; Bhargav, V.K. Influence of different solvents in extraction of phenolic compounds from vegetable residues and their evaluation as natural sources of antioxidants. J. Food Sci. Technol. 2014, 51, 2568–2575. [Google Scholar] [CrossRef]
- Katritzky, A.R.; Fara, D.C.; Yang, H.; Tämm, K.; Tamm, T.; Karelson, M. Quantitative Measures of Solvent Polarity. Chem. Rev. 2004, 104, 175–198. [Google Scholar] [CrossRef] [PubMed]
- Jessop, P.G. Searching for green solvents. Green Chem. 2011, 13, 1391–1398. [Google Scholar] [CrossRef]
- Jessop, P.G.; Jessop, D.A.; Fu, D.; Phan, L. Solvatochromic parameters for solvents of interest in green chemistry. Green Chem. 2012, 14, 1245–1259. [Google Scholar] [CrossRef]
- Dai, J.; Mumper, R.J. Plant phenolics: Extraction, analysis and their antioxidant and anticancer properties. Molecules 2010, 15, 7313–7352. [Google Scholar] [CrossRef] [PubMed]
- Galanakis, C.M.; Goulas, V.; Tsakona, S.; Manganaris, G.A.; Gekas, V. A knowledge base for the recovery of natural phenols with different solvents. Int. J. Food Prop. 2013, 16, 382–396. [Google Scholar] [CrossRef]
- Alberti, A.; Zielinski, A.A.F.; Zardo, D.M.; Demiate, I.M.; Nogueira, A.; Mafra, L.I. Optimisation of the extraction of phenolic compounds from apples using response surface methodology. Food Chem. 2014, 149, 151–158. [Google Scholar] [CrossRef] [PubMed]
- Soural, I.; Vrchotová, N.; Tříska, J.; Balík, J.; Horník, Š.; Cuřínová, P.; Sýkora, J. Various extraction methods for obtaining stilbenes from grape cane of Vitis vinifera L. Molecules 2015, 20, 6093–6112. [Google Scholar] [CrossRef] [PubMed]
- Ameer, K.; Shahbaz, H.M.; Kwon, J.H. Green Extraction Methods for Polyphenols from Plant Matrices and Their Byproducts: A Review. Compr. Rev. Food Sci. Food Saf. 2017, 16, 295–315. [Google Scholar] [CrossRef]
- Soquetta, M.B.; Terra, L.D.M.; Bastos, C.P. Green technologies for the extraction of bioactive compounds in fruits and vegetables. CyTA - J. Food 2018, 16, 400–412. [Google Scholar] [CrossRef]
- Plaza, M.; Turner, C. Trends in Analytical Chemistry Pressurized hot water extraction of bioactives. Trends Anal. Chem. 2015, 71, 39–54. [Google Scholar] [CrossRef]
- Ko, M.J.; Cheigh, C.I.; Chung, M.S. Optimization of subcritical water extraction of flavanols from green tea leaves. J. Agric. Food Chem. 2014, 62, 6828–6833. [Google Scholar] [CrossRef]
- Floriano, W. Dielectric constant and density of water as a function of pressure at constant temperature. Brazilian J. Phys. 2004, 34, 38–41. [Google Scholar] [CrossRef]
- Lu, J.; Brown, J.S.; Boughner, E.C.; Liotta, C.L.; Eckert, C.A. Solvatochromic characterization of near-critical water as a benign reaction medium. Ind. Eng. Chem. Res. 2002, 41, 2835–2841. [Google Scholar] [CrossRef]
- Alghoul, Z.M.; Ogden, P.B.; Dorsey, J.G. Characterization of the polarity of subcritical water. J. Chromatogr. A 2017, 1486, 42–49. [Google Scholar] [CrossRef] [PubMed]
- Zhang, J.; Zhang, H.; Wu, T.; Wang, Q.; Van Der Spoel, D. Comparison of Implicit and Explicit Solvent Models for the Calculation of Solvation Free Energy in Organic Solvents. J. Chem. Theory Comput. 2017, 13, 1034–1043. [Google Scholar] [CrossRef] [PubMed]
- Haworth, N.L.; Wang, Q.; Coote, M.L. Modeling Flexible Molecules in Solution: A pKa Case Study. J. Phys. Chem. A 2017, 121, 5217–5225. [Google Scholar] [CrossRef] [PubMed]
- Ko, M.J.; Cheigh, C.I.; Cho, S.W.; Chung, M.S. Subcritical water extraction of flavonol quercetin from onion skin. J. Food Eng. 2011, 102, 327–333. [Google Scholar] [CrossRef]
- García-Marino, M.; Rivas-Gonzalo, J.C.; Ibáñez, E.; García-Moreno, C. Recovery of catechins and proanthocyanidins from winery by-products using subcritical water extraction. Anal. Chim. Acta 2006, 563, 44–50. [Google Scholar] [CrossRef]
- Vergara-Salinas, J.R.; Vergara, M.; Altamirano, C.; Gonzalez, Á.; Pérez-Correa, J.R. Characterization of pressurized hot water extracts of grape pomace: Chemical and biological antioxidant activity. Food Chem. 2015, 171, 62–69. [Google Scholar] [CrossRef]
- Plaza, M.; Abrahamsson, V.; Turner, C. Extraction and Neoformation of Antioxidant Compounds by Pressurized Hot Water Extraction from Apple Byproducts. J. Agric. Food Chem. 2013, 61, 5500–5510. [Google Scholar] [CrossRef]
- Muzaffar, K.; Nayik, G.A.; Kumar, P. Stickiness problem associated with spray drying of sugar and acid rich foods: a mini review. J Nutr Food Sci. 2015, 12, 11–13. [Google Scholar] [CrossRef]
- Tuomilehto, J.; Tiss, A.; Tsang, C.; Khadir, A.; Bahorun, T.; Alkhatib, A.; Arefanian, H.; Barake, R. Functional Foods and Lifestyle Approaches for Diabetes Prevention and Management. Nutrients 2017, 9, 1310. [Google Scholar]
- Wijngaard, H.; Brunton, N. The optimization of extraction of antioxidants from apple pomace by pressurized liquids. J. Agric. Food Chem. 2009, 57, 10625–10631. [Google Scholar] [CrossRef] [PubMed]
- Otero-Pareja, M.J.; Casas, L.; Fernández-Ponce, M.T.; Mantell, C.; De La Ossa, E.J.M. Green extraction of antioxidants from different varieties of red grape pomace. Molecules 2015, 20, 9686–9702. [Google Scholar] [CrossRef] [PubMed]
- Monrad, J.K.; Howard, L.R.; King, J.W.; Srinivas, K.; Mauromoustakos, A. Subcritical solvent extraction of anthocyanins from dried red grape pomace. J. Agric. Food Chem. 2010, 58, 2862–2868. [Google Scholar] [CrossRef] [PubMed]
- Mariotti-Celis, M.S.; Martínez-Cifuentes, M.; Huamán-Castilla, N.; Pedreschi, F.; Iglesias-Rebolledo, N.; Pérez-Correa, J.R. Impact of an integrated process of hot pressurised liquid extraction–macroporous resin purification over the polyphenols, hydroxymethylfurfural and reducing sugars content of Vitis vinifera ‘Carménère’ pomace extracts. Int. J. Food Sci. Technol. 2018, 53, 1072–1078. [Google Scholar] [CrossRef]
- Mauromoustakos, A.; Monrad, J.K.; Howard, L.R.; Srinivas, K.; King, J.W. Subcritical Solvent Extraction of Procyanidins from Dried Red Grape Pomace. J. Agric. Food Chem. 2009, 58, 4014–4021. [Google Scholar]
- Buran, T.J.; Sandhu, A.K.; Li, Z.; Rock, C.R.; Yang, W.W.; Gu, L. Adsorption/desorption characteristics and separation of anthocyanins and polyphenols from blueberries using macroporous adsorbent resins. J. Food Eng. 2014, 128, 167–173. [Google Scholar] [CrossRef]
- Jampani, C.; Naik, A.; Raghavarao, K.S.M.S. Purification of anthocyanins from jamun (Syzygium cumini L.) employing adsorption. Sep. Purif. Technol. 2014, 125, 170–178. [Google Scholar] [CrossRef]
- Mariotti-Celis, M.; Martínez-Cifuentes, M.; Huamán-Castilla, N.; Vargas-González, M.; Pedreschi, F.; Pérez-Correa, J. The Antioxidant and Safety Properties of Spent Coffee Ground Extracts Impacted by the Combined Hot Pressurized Liquid Extraction–Resin Purification Process. Molecules 2017, 23, 21. [Google Scholar] [CrossRef]
- Sandhu, A.K.; Gu, L. Adsorption/desorption characteristics and separation of anthocyanins from muscadine (Vitis rotundifolia) juice pomace by use of macroporous adsorbent resins. J. Agric. Food Chem. 2013, 61, 1441–1448. [Google Scholar] [CrossRef]
- Sun, L.; Guo, Y.; Fu, C.; Li, J.; Li, Z. Simultaneous separation and purification of total polyphenols, chlorogenic acid and phlorizin from thinned young apples. Food Chem. 2013, 136, 1022–1029. [Google Scholar] [CrossRef]
- Lima, Á.S.; Soares, C.M.F.; Paltram, R.; Halbwirth, H.; Bica, K. Extraction and consecutive purification of anthocyanins from grape pomace using ionic liquid solutions. Fluid Phase Equilib. 2017, 451, 68–78. [Google Scholar] [CrossRef]
- Wang, Y.; Zhang, G.; Chi, X.F.; Chen, S. Green and efficient extraction of podophyllotoxin from Sinopodophyllum hexandrum by optimized subcritical water extraction combined with macroporous resin enrichment. Ind. Crops Prod. 2018, 121, 267–276. [Google Scholar] [CrossRef]
- Hansen, H.; Rasmussen, P.; Schiller, M.; Gmehling, J. Vapor-Liquid Equilibria by UNIFAC Group Contribution. Revision and Extension. Ind. Eng. Chem. Process Des. Dev. 1979, 18, 714–722. [Google Scholar] [CrossRef]
- Klamt, A. Conductor-like screening model for real solvents: A new approach to the quantitative calculation of solvation phenomena. J. Phys. Chem. 1995, 99, 2224–2235. [Google Scholar] [CrossRef]
- Tomasi, J.; Mennucci, B.; Cammi, R. Quantum Mechanical Continuum Solvation Models. Chem. Rev. 2005, 105, 2999–3094. [Google Scholar] [CrossRef] [PubMed]
- Jorgensen, W.L. Free Energy Calculations: A Breakthrough for Modeling Organic Chemistry in Solution. Acc. Chem. Res. 1989, 22, 184–189. [Google Scholar] [CrossRef]
- Mobley, D.L.; Bayly, C.I.; Cooper, M.D.; Shirts, M.R.; Dill, K.A. Small molecule hydration free energies in explicit solvent: An extensive test of fixed-charge atomistic simulations. J. Chem. Theory Comput. 2009, 5, 350–358. [Google Scholar] [CrossRef]
- Singleton, V.L.; Rossi, J.A., Jr. Colorimetry of Total Phenolics with Phosphomolybdic-Phosphotungstic Acid Reagents. Am. J. Enol. Vitic. 1965, 16, 144–158. [Google Scholar]
- Brand-Williams, W.; Cuvelier, M.E.; Berset, C. Use of a Free Radical Method to Evaluate Antioxidant Activity. Food Sci. Technol. 1995, 28, 25–30. [Google Scholar]
- Vergara-Salinas, J.R.; Bulnes, P.; Zúñiga, M.C.; Pérez-Jiménez, J.; Torres, J.L.; Mateos-Martín, M.L.; Agosin, E.; Pérez-Correa, J.R. Effect of pressurized hot water extraction on antioxidants from grape pomace before and after enological fermentation. J. Agric. Food Chem. 2013, 61, 6929–6936. [Google Scholar] [CrossRef]
- Liu, Y.; Lu, J.; Zhang, J.; Wang, Q.; Wang, F.; Qiao, Y.; Zhang, Y. Rapid determination of ten polyphenols in Kudiezi injection using ultra-performance liquid chromatography-tandem mass spectrometry in multiple reaction monitoring mode. Anal. Methods 2012, 4, 4230–4236. [Google Scholar] [CrossRef]
- Frisch, M.J.; Trucks, G.W.; Schlegel, H.B.; Scuseria, G.E.; Robb, G.E.; Cheeseman, J.R.; Scalmani, G.; Barone, V.; Mennucci, B.; Petersson, G.A.; et al. Gaussian 09, Revision D.01; Gaussian Inc.: Wallingford, UK, 2009. [Google Scholar]
- Marenich, A.V.; Cramer, C.J.; Truhlar, D.G. Universal solvation model based on solute electron density and on a continuum model of the solvent defined by the bulk dielectric constant and atomic surface tensions. J. Phys. Chem. B 2009, 113, 6378–6396. [Google Scholar] [CrossRef] [PubMed]
- Lide, D.R. Handbook of Chemistry and Physics, 76th ed.; CRC Press: Boca Raton, FL, USA, 1995. [Google Scholar]
- Downey, M.O.; Hanlin, R.L. Comparison of ethanol and acetone mixtures for extraction of condensed tannin from grape skin. South African J. Enol. Vitic. 2010, 31, 154–159. [Google Scholar] [CrossRef][Green Version]
- Lu, J.; Boughner, E.C.; Liotta, C.L.; Eckert, C.A. Nearcritical and supercritical ethanol as a benign solvent: Polarity and hydrogen-bonding. Fluid Phase Equilib. 2002, 198, 37–49. [Google Scholar] [CrossRef]
- Karacabey, E.; Mazza, G. Optimization of solid-liquid extraction of resveratrol and other phenolic compounds from milled grape canes (Vitis vinifera). J. Agric. Food Chem. 2008, 56, 6318–6325. [Google Scholar] [CrossRef] [PubMed]
- Alves, L.A.; Almeida E Silva, J.B.; Giulietti, M. Solubility of D-glucose in water and ethanol/water mixtures. J. Chem. Eng. Data 2007, 52, 2166–2170. [Google Scholar] [CrossRef]
- Alavi, T.; Pazuki, G.; Raisi, A. Solubility of Fructose in Water-Ethanol and Water-Methanol Mixtures by Using H-Bonding Models. J. Food Sci. 2014, 79. [Google Scholar] [CrossRef]
- Abraham, K.; Gürtler, R.; Berg, K.; Heinemeyer, G.; Lampen, A.; Appel, K.E. Toxicology and risk assessment of 5-Hydroxymethylfurfural in food. Mol. Nutr. Food Res. 2011, 55, 667–678. [Google Scholar] [CrossRef]
- Yang, X.; Wei, M.; Tian, H.; Liu, T.; Yang, L. Enrichment and Purification of Aucubin from Eucommia ulmoides Ionic Liquid Extract Using Macroporous Resins. Materials 2018, 11, 1758. [Google Scholar] [CrossRef]
- Cheigh, C.I.; Yoo, S.Y.; Ko, M.J.; Chang, P.S.; Chung, M.S. Extraction characteristics of subcritical water depending on the number of hydroxyl group in flavonols. Food Chem. 2015, 168, 21–26. [Google Scholar] [CrossRef]
Sample Availability: Samples of the compounds are not available from the authors. |


| Target Polyphenols | m/z | Regression Equation | R2 |
|---|---|---|---|
| Epigallocatechin | 305.066 | Y = 4.92436⋅× 104 X | 0.9995 |
| Gallic acid | 169.015 | Y = 1.57814 × 106⋅X | 0.9971 |
| Chlorogenic acid | 353.087 | Y = 3.10744 × 106⋅X | 0.9996 |
| Vanillic acid | 167.044 | Y = 4.12643⋅× 104 X | 0.9742 |
| Ferulic acid | 193.050 | Y = 7.40734⋅× 105 X | 0.9999 |
| Catechin | 289.071 | Y = 3.67625 × 106⋅X | 0.9990 |
| Epicatechin | 289.071 | Y = 4.67949 × 106⋅X | 0.9994 |
| Caffeic acid | 179.034 | Y = 4.54778 × 106⋅X | 0.9998 |
| Resveratrol | 227.071 | Y = 1.12818⋅× 105 X | 0.9998 |
| Quercetin | 301.035 | Y = 1.49192⋅× 104 X | 1.0000 |
| Kaempferol | 285.040 | Y = 2.26042 × 106 X | 0.9990 |
| Description | HPLE | ||||||||
|---|---|---|---|---|---|---|---|---|---|
| 90 °C | 120 °C | 150 °C | |||||||
| 15% | 32.5% | 50% | 15% | 32.5% | 50% | 15% | 32.5% | 50% | |
| Acids (µg/gdp) | Mean CV | Mean CV | Mean CV | Mean CV | Mean CV | Mean CV | Mean CV | Mean CV | Mean CV |
| Gallic acid | 0.97 0.07 | 3.99 0.05 | 4.73 0.06 | 5.80 0.04 | 10.06 0.04 | 13.87 0.09 | 28.54 0.07 | 56.57 0.09 | 59.92 0.11 |
| Chlorogenic acid | 0.77 0.05 | 0.23 0.08 | 0.19 0.04 | 0.84 0.06 | 0.39 0.07 | 0.28 0.07 | 1.94 0.05 | 1.36 0.08 | 1.01 0.05 |
| Vanillic acid | ND | 1.57 0.04 | 3.02 0.05 | 1.84 0.06 | 3.50 0.05 | 6.17 0.08 | 6.32 0.05 | 12.99 0.08 | 20.57 0.06 |
| Caffeic acid | 0.22 0.04 | 0.36 0.03 | 0.68 0.02 | 0.69 0.08 | 0.83 0.05 | 1.01 0.07 | 1.80 0.09 | 2.28 0.06 | 2.57 0.03 |
| Ferulic acid | ND | 0.14 0.07 | 0.26 0.09 | 0.30 0.04 | 0.43 0.08 | 0.49 0.04 | 0.53 0.08 | 0.70 0.08 | 1.11 0.04 |
| Σ: | 1.96 0.05 | 6.29 0.06 | 8.88 0.05 | 9.47 0.06 | 15.21 0.06 | 21.82 0.07 | 39.13 0.06 | 73.90 0.08 | 85.18 0.06 |
| Flavanols (µg/gdp) | |||||||||
| Catechin | 0.68 0.04 | 1.25 0.05 | 0.94 0.07 | 4.11 0.05 | 5.66 0.09 | 6.06 0.06 | 15.41 0.08 | 23.39 0.10 | 21.05 0.06 |
| Epicatechin | 0.71 0.04 | 1.32 0.11 | 1.35 0.07 | 3.22 0.07 | 5.49 0.06 | 6.17 0.07 | 8.50 0.11 | 14.41 0.09 | 12.64 0.07 |
| Epigallocatechin | 1.77 0.09 | 6.11 0.06 | 5.15 0.09 | 9.76 0.08 | 26.34 0.11 | 17.45 0.09 | 57.89 0.06 | 67.66 0.10 | 58.99 0.11 |
| Σ: | 3.16 0.06 | 8.68 0.07 | 7.44 0.08 | 17.08 0.07 | 37.51 0.09 | 29.68 0.07 | 81.80 0.08 | 105.46 0.10 | 92.68 0.08 |
| Flavonols (µg/gdp) | |||||||||
| Quercetin | 16.97 0.08 | 6.99 0.09 | 6.34 0.08 | 21.40 0.09 | 14.63 0.07 | 11.88 0.08 | 43.14 0.08 | 34.12 0.10 | 30.95 0.08 |
| Kaempherol | 10.67 0.07 | 1.08 0.10 | 0.77 0.07 | 14.28 0.08 | 7.39 0.09 | 5.26 0.07 | 20.90 0.10 | 11.72 0.09 | 5.84 0.09 |
| Σ: | 27.64 0.08 | 8.07 0.10 | 7.18 0.08 | 35.68 0.09 | 22.03 0.08 | 17.14 0.08 | 64.04 0.09 | 45.84 0.10 | 36.79 0.09 |
| Stilbenes (µg/gdp) | |||||||||
| Resveratrol | 1.24 0.07 | 1.39 0.09 | 1.07 0.08 | 1.18 0.05 | 2.28 0.06 | 1.94 0.08 | 2.01 0.07 | 4.28 0.08 | 3.67 0.09 |
| Interfering (mg/gdp) | |||||||||
| Glucose | 9.85 0.06 | 7.11 0.07 | 3.69 0.06 | 10.36 0.09 | 8.01 0.06 | 5.11 0.09 | 12.63 0.07 | 10.86 0.05 | 6.45 0.06 |
| Fructose | 7.84 0.08 | 6.25 0.08 | 2.94 0.07 | 9.47 0.08 | 7.61 0.08 | 4.50 0.07 | 11.91 0.04 | 10.31 0.06 | 4.87 0.09 |
| HMF | ND | ND | ND | ND | ND | ND | 23.61 0.07 | 17.83 0.05 | 11.28 0.06 |
| Phenolic Acid | ΔGsolv 25% ethanol [kJ/mol] | ΔGsolv 50% ethanol [kJ/mol] | ΔΔGsolv [kJ/mol] |
|---|---|---|---|
| Gallic acid | −60.66 | −59.41 | 1.25 |
| Chlorogenic acid | −112.51 | −110.99 | 1.52 |
| HPLE | 90 °C | 120 °C | 150 °C | ||||||
|---|---|---|---|---|---|---|---|---|---|
| 15% | 32.5% | 50% | 15% | 32.5% | 50% | 15% | 32.5% | 50% | |
| RP | 80% | 80% | 80% | 80% | 80% | 80% | 80% | 80% | 80% |
| Acids (µg/gdp) | Mean CV | Mean CV | Mean CV | Mean CV | Mean CV | Mean CV | Mean CV | Mean CV | Mean CV |
| Gallic acid | 0.55 0.04 | 0.30 0.04 | 0.27 0.05 | 3.52 0.03 | 1.61 0.09 | 0.74 0.07 | 18.97 0.06 | 6.21 0.08 | 3.79 0.07 |
| Chlorogenic acid | 0.02 0.02 | 0.03 0.05 | 0.07 0.04 | 0.03 0.02 | 0.07 0.04 | 0.05 0.04 | 0.15 0.02 | 0.64 0.02 | 0.86 0.02 |
| Vanillic acid | ND | 2.65 0.06 | 0.58 0.06 | 1.48 0.06 | 0.66 0.08 | 0.35 0.09 | 4.64 0.09 | 2.05 0.11 | 1.54 0.09 |
| Caffeic acid | 0.13 0.05 | 0.14 0.03 | 0.08 0.03 | 0.60 0.04 | 0.57 0.03 | 0.36 0.04 | 1.24 0.06 | 0.61 0.06 | 0.20 0.06 |
| Ferulic acid | ND | 0.06 0.02 | 0.03 0.02 | 0.17 0.03 | 0.12 0.03 | 0.09 0.05 | 0.34 0.05 | 0.26 0.06 | 0.09 0.05 |
| Σ: | 0.68 0.04 | 3.18 0.04 | 1.03 0.04 | 5.80 0.04 | 3.03 0.06 | 1.57 0.06 | 25.34 0.06 | 9.77 0.07 | 6.48 0.06 |
| Flavanols (µg/gdp) | |||||||||
| Catechin | 0.52 0.05 | 0.35 0.08 | 0.22 0.07 | 3.17 0.09 | 1.30 0.09 | 0.91 0.05 | 11.42 0.08 | 8.26 0.06 | 5.48 0.07 |
| Epicatechin | 0.63 0.06 | 0.44 0.05 | 0.21 0.08 | 2.26 0.08 | 1.51 0.06 | 0.88 0.07 | 6.38 0.09 | 3.84 0.09 | 2.79 0.08 |
| Epigallocatechin | 0.82 0.03 | 0.52 0.10 | 0.24 0.09 | 4.21 0.10 | 2.27 0.08 | 1.05 0.09 | 29.40 0.10 | 14.75 0.08 | 11.40 0.07 |
| Σ: | 1.97 0.05 | 1.31 0.08 | 0.67 0.08 | 9.64 0.09 | 5.08 0.08 | 2.83 0.07 | 47.20 0.09 | 26.85 0.08 | 19.67 0.07 |
| Flavonols (µg/gdp) | |||||||||
| Quercetin | 0.65 0.07 | 2.81 0.09 | 3.99 0.09 | 0.98 0.09 | 6.56 0.08 | 8.16 0.10 | 9.86 0.09 | 15.28 0.08 | 19.09 0.08 |
| Kaempherol | 0.26 0.06 | 0.45 0.07 | 0.47 0.05 | 0.76 0.05 | 1.79 0.06 | 2.73 0.05 | 1.17 0.05 | 3.87 0.05 | 3.47 0.09 |
| Σ: | 0.91 0.07 | 3.26 0.08 | 4.46 0.07 | 1.74 0.07 | 8.35 0.07 | 10.89 0.08 | 11.03 0.07 | 19.15 0.07 | 22.56 0.09 |
| Stilbenes (µg/gdp) | |||||||||
| Resveratrol | 0.69 0.05 | 0.42 0.06 | 0.13 0.06 | 0.88 0.05 | 0.70 0.04 | 0.68 0.06 | 1.30 0.05 | 0.85 0.06 | 0.47 0.05 |
| Interfering (mg/gdp) | |||||||||
| Glucose | ND | ND | ND | ND | ND | ND | ND | ND | ND |
| Fructose | ND | ND | ND | ND | ND | ND | ND | ND | ND |
| HMF | ND | ND | ND | ND | ND | ND | 0.19 0.09 | 0.13 0.08 | 0.22 0.07 |
© 2019 by the authors. Licensee MDPI, Basel, Switzerland. This article is an open access article distributed under the terms and conditions of the Creative Commons Attribution (CC BY) license (http://creativecommons.org/licenses/by/4.0/).
Share and Cite
Huaman-Castilla, N.L.; Martínez-Cifuentes, M.; Camilo, C.; Pedreschi, F.; Mariotti-Celis, M.; Pérez-Correa, J.R. The Impact of Temperature and Ethanol Concentration on the Global Recovery of Specific Polyphenols in an Integrated HPLE/RP Process on Carménère Pomace Extracts. Molecules 2019, 24, 3145. https://doi.org/10.3390/molecules24173145
Huaman-Castilla NL, Martínez-Cifuentes M, Camilo C, Pedreschi F, Mariotti-Celis M, Pérez-Correa JR. The Impact of Temperature and Ethanol Concentration on the Global Recovery of Specific Polyphenols in an Integrated HPLE/RP Process on Carménère Pomace Extracts. Molecules. 2019; 24(17):3145. https://doi.org/10.3390/molecules24173145
Chicago/Turabian StyleHuaman-Castilla, Nils Leander, Maximiliano Martínez-Cifuentes, Conrado Camilo, Franco Pedreschi, María Mariotti-Celis, and José Ricardo Pérez-Correa. 2019. "The Impact of Temperature and Ethanol Concentration on the Global Recovery of Specific Polyphenols in an Integrated HPLE/RP Process on Carménère Pomace Extracts" Molecules 24, no. 17: 3145. https://doi.org/10.3390/molecules24173145
APA StyleHuaman-Castilla, N. L., Martínez-Cifuentes, M., Camilo, C., Pedreschi, F., Mariotti-Celis, M., & Pérez-Correa, J. R. (2019). The Impact of Temperature and Ethanol Concentration on the Global Recovery of Specific Polyphenols in an Integrated HPLE/RP Process on Carménère Pomace Extracts. Molecules, 24(17), 3145. https://doi.org/10.3390/molecules24173145

