Anti-Inflammatory Activities of Isogosferol, a Furanocoumarin Isolated from Citrus junos Seed Shells through Bioactivity-Guided Fractionation
Abstract
1. Introduction
2. Results
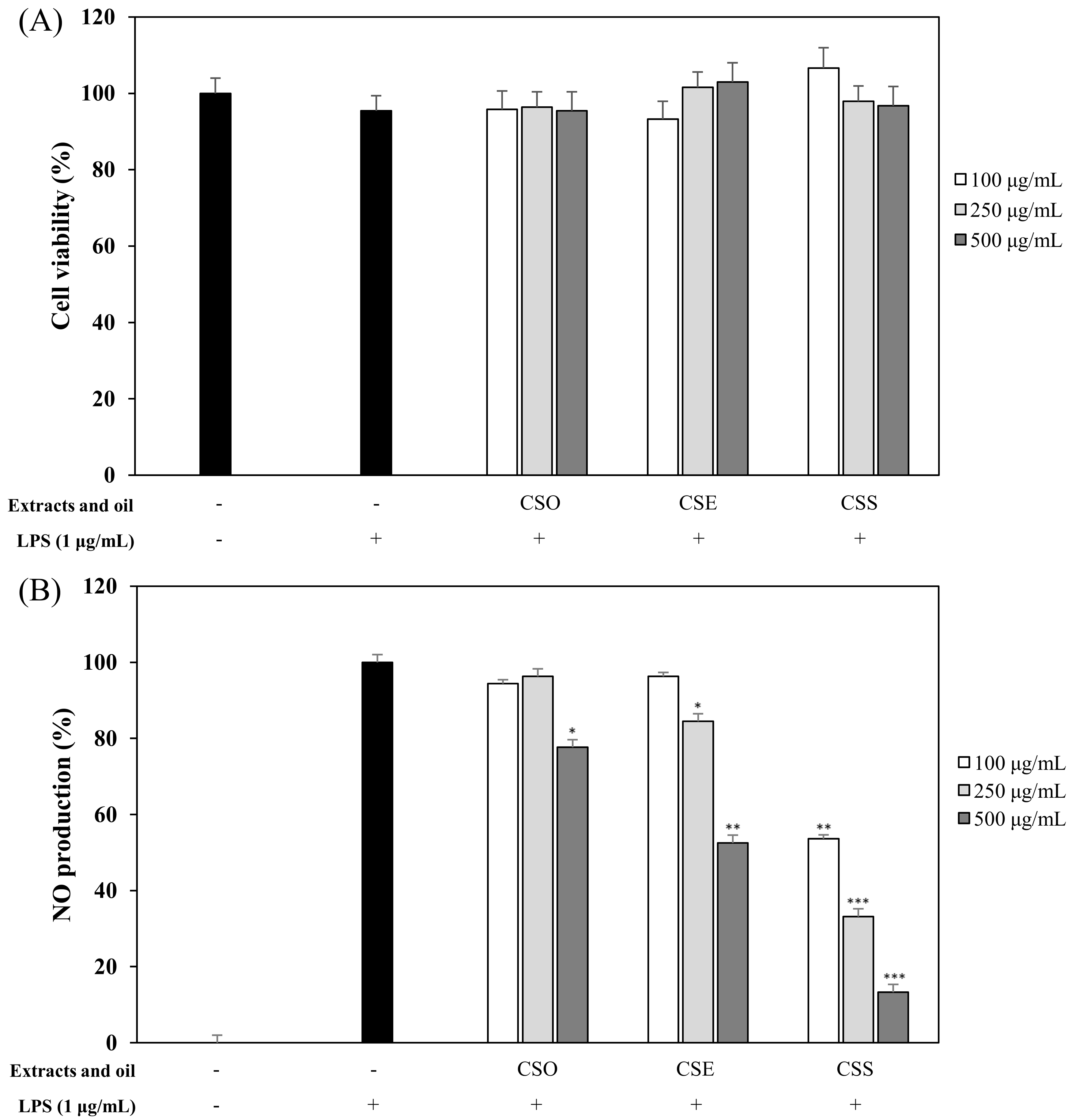
2.1. Effects of C. junos Seed Extracts and Oil on NO Production and Cell Viability
2.2. DPPH and ABTS Radical Scavenging Activities of CSE, CSO, and CSS
2.3. Bioactivity-Guided Isolation of Active Phytochemicals from CSS
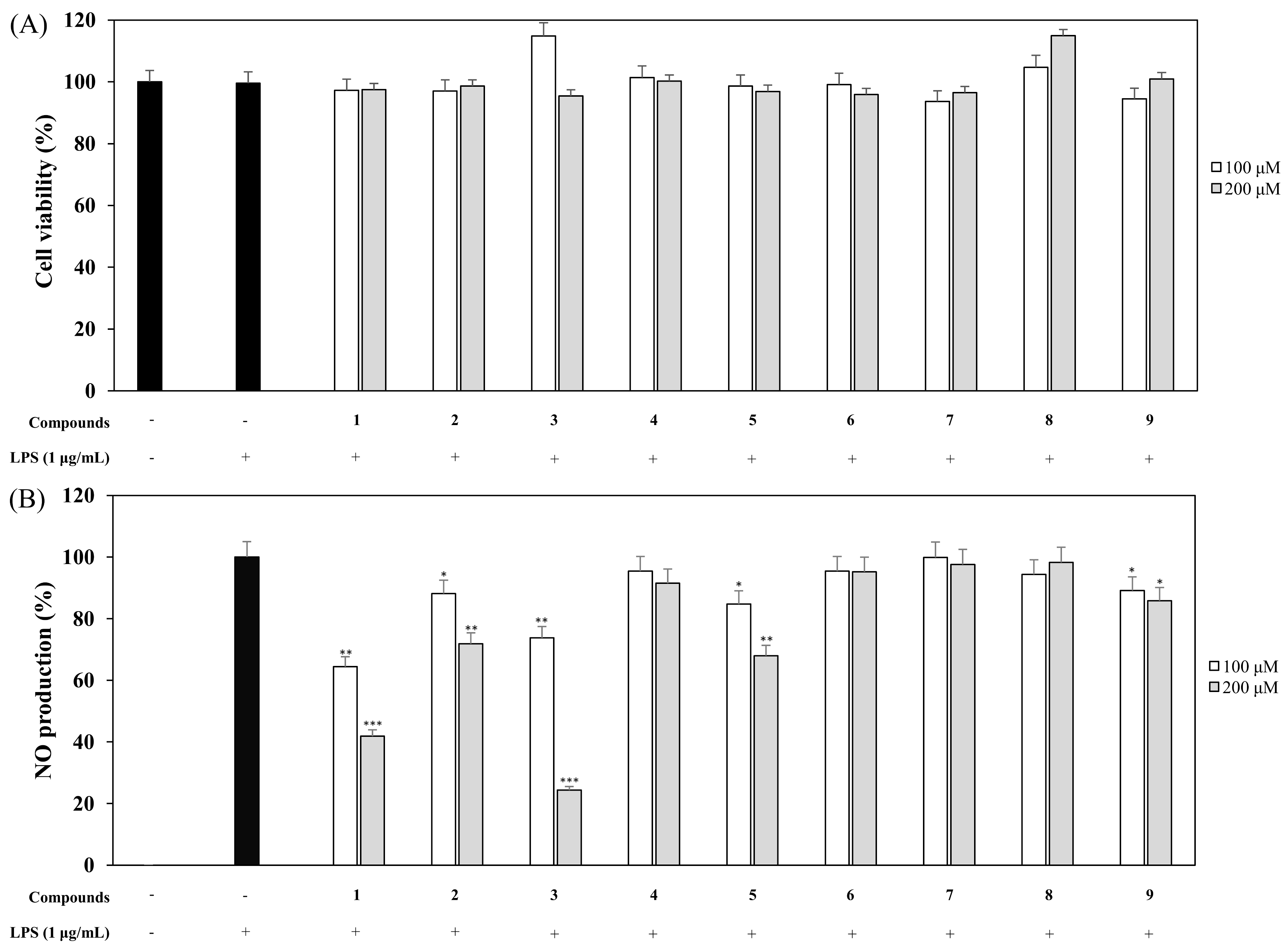
2.4. Effects of Nine Coumarins Isolated from CSS on NO Production and Cell Viability
2.5. Effects of ISO on LPS-Induced COX-2 and iNOS Expression
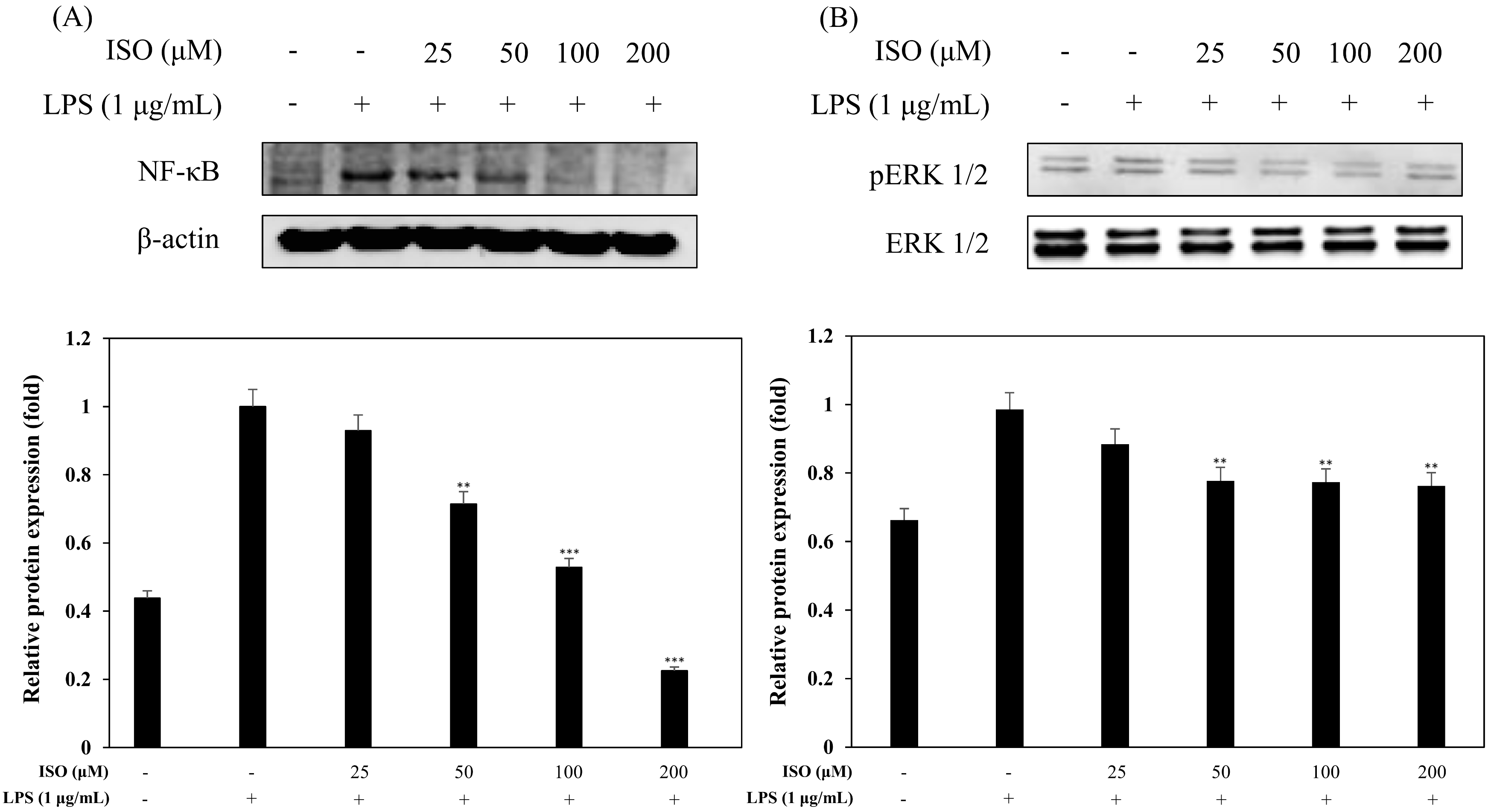
2.6. Effects of ISO on LPS-Induced pERK Production
2.7. Effects of ISO on LPS-Induced NF-κB Activation
2.8. Inhibitory Effects of ISO on Cytokine Production
3. Discussion
4. Materials and Methods
4.1. Plant Materials
4.2. Extraction and Isolation
4.3. DPPH Assay
4.4. ABTS Assay
4.5. Cell Culture
4.6. Cell Viability Assay
4.7. Measurement of NO Production
4.8. Western Blot Analysis
4.9. Measurement of Cytokine Production
4.10. Statistical Analysis
Supplementary Materials
Author Contributions
Funding
Conflicts of Interest
References
- Ryu, H.W.; Lee, S.U.; Lee, S.; Song, H.; Son, T.H.; Kim, Y.; Yuk, H.J.; Ro, H.; Lee, C.; Hong, S. 3-Methoxy-Catalposide Inhibits Inflammatory Effects in Lipopolysaccharide-Stimulated RAW264. 7 Macrophages. Cytokine 2017, 91, 57–64. [Google Scholar] [CrossRef] [PubMed]
- Kim, E.; Kim, S.; Ye, B.; Kim, J.; Ko, S.; Lee, W.W.; Kim, K.; Choi, I.; Jung, W.; Heo, S. Anti-Inflammatory Effect of Apo-9′-Fucoxanthinone Via Inhibition of MAPKs and NF-kB Signaling Pathway in LPS-Stimulated RAW 264.7 Macrophages and Zebrafish Model. Int. Immunopharmacol. 2018, 59, 339–346. [Google Scholar] [CrossRef] [PubMed]
- Spranger, J.; Kroke, A.; Mohlig, M.; Hoffmann, K.; Bergmann, M.M.; Ristow, M.; Boeing, H.; Pfeiffer, A.F. Inflammatory Cytokines and the Risk to Develop Type 2 Diabetes: Results of the Prospective Population-Based European Prospective Investigation into Cancer and Nutrition (EPIC)-Potsdam Study. Diabetes 2003, 52, 812–817. [Google Scholar] [CrossRef] [PubMed]
- Lee, S.H.; Lee, S.Y.; Son, D.J.; Lee, H.; Yoo, H.S.; Song, S.; Oh, K.W.; Han, D.C.; Kwon, B.M.; Hong, J.T. Inhibitory Effect of 2′-Hydroxycinnamaldehyde on Nitric Oxide Production through Inhibition of NF-κB Activation in RAW 264.7 Cells. Biochem. Pharmacol. 2005, 69, 791–799. [Google Scholar] [CrossRef] [PubMed]
- Nathan, C. Nitric Oxide as a Secretory Product of Mammalian Cells. FASEB J. 1992, 6, 3051–3064. [Google Scholar] [CrossRef] [PubMed]
- Kim, J.; Park, S.J.; Yun, K.; Cho, Y.; Park, H.; Lee, K. Isoliquiritigenin Isolated from the Roots of Glycyrrhiza Uralensis Inhibits LPS-Induced iNOS and COX-2 Expression Via the Attenuation of NF-κB in RAW 264.7 Macrophages. Eur. J. Pharmacol. 2008, 584, 175–184. [Google Scholar] [CrossRef] [PubMed]
- Levy, G.N. Prostaglandin H Synthases, Nonsteroidal Anti-Inflammatory Drugs, and Colon Cancer. FASEB J. 1997, 11, 234–247. [Google Scholar] [CrossRef] [PubMed]
- Jin, M.H.; Suh, S.J.; Yang, J.H.; Lu, Y.; Kim, S.J.; Kwon, S.Y.; Jo, T.H.; Kim, J.W.; Park, Y.I.; Ahn, G.W. Anti-Inflammatory Activity of Bark of Dioscorea Batatas DECNE through the Inhibition of iNOS and COX-2 Expressions in RAW264. 7 Cells Via NF-κB and ERK1/2 Inactivation. Food Chem. Toxicol. 2010, 48, 3073–3079. [Google Scholar] [CrossRef] [PubMed]
- Zhu, Z.; Gu, Y.; Zhao, Y.; Song, Y.; Li, J.; Tu, P. GYF-17, a Chloride Substituted 2-(2-Phenethyl)-Chromone, Suppresses LPS-Induced Inflammatory Mediator Production in RAW264. 7 Cells by Inhibiting STAT1/3 and ERK1/2 Signaling Pathways. Int. Immunopharmacol. 2016, 35, 185–192. [Google Scholar] [CrossRef] [PubMed]
- Finder, J.D.; Petrus, J.L.; Hamilton, A.; Villavicencio, R.T.; Pitt, B.R.; Sebti, S.M. Signal Transduction Pathways of IL-1β-Mediated iNOS in Pulmonary Vascular Smooth Muscle Cells. Am. J. Physiol. Lung Cell. Mol. Physiol. 2001, 281, L816–L823. [Google Scholar] [CrossRef] [PubMed]
- Reuter, S.; Gupta, S.C.; Chaturvedi, M.M.; Aggarwal, B.B. Oxidative Stress, Inflammation, and Cancer: How are they Linked? Free Radic. Biol. Med. 2010, 49, 1603–1616. [Google Scholar] [CrossRef] [PubMed]
- Maritim, A.; Sanders, A.; Watkins Iii, J. Diabetes, Oxidative Stress, and Antioxidants: A Review. J. Biochem. Mol. Toxicol. 2003, 17, 24–38. [Google Scholar] [CrossRef] [PubMed]
- Kang, H. Antioxidant and Anti-Inflammatory Effect of Extracts from Flammulina Velutipes (Curtis) Singer. J. Korean Soc. Food Sci. Nutr. 2012, 41, 1072–1078. [Google Scholar] [CrossRef]
- Kim, K.; Cho, H.; Jung, H.; Lee, H.J.; Hwang, K.T. Anti-Proliferative Effect of Methanolic Extracts from Citrus Junos Seeds and Seed Oils on HT-29 Human Colon Cancer Cells and Identification of their Major Bioactive Compounds. Korean J. Food Sci. Technol. 2017, 49, 242–251. [Google Scholar] [CrossRef] [PubMed]
- Lee, S.H.; Lee, M.S. The Study of Physiological and Antimicrobial Activities on the Citrus Junos Extracts with its Textures and Skin. J. Korea Acad. Ind. Coop. Soc. 2017, 18, 67–74. [Google Scholar] [CrossRef]
- Gualdani, R.; Cavalluzzi, M.M.; Lentini, G.; Habtemariam, S. The Chemistry and Pharmacology of Citrus Limonoids. Molecules 2016, 21, 1530. [Google Scholar] [CrossRef] [PubMed]
- Shinoda, N.; Shiga, M.; Nishimura, K. Constituents of Yuzu (Citrus Junos) Oil. Agric. Biol. Chem. 1970, 34, 234–242. [Google Scholar] [CrossRef]
- Fujioka, T.; Furumi, K.; Fujii, H.; Okabe, H.; Mihashi, K.; Nakano, Y.; Matsunaga, H.; Katano, M.; Mori, M. Antiproliferative Constituents from Umbelliferae Plants. V. A New Furanocoumarin and Falcarindiol Furanocoumarin Ethers from the Root of Angelica Japonica. Chem. Pharm. Bull. 1999, 47, 96–100. [Google Scholar] [CrossRef] [PubMed]
- Wang, G.; Zhou, Z.; Cheng, C.; Yao, J.; Yang, Z. Osthol and Isopimpinellin from Fructus Cnidii for the Control of Dactylogyrus Intermedius in Carassius Auratus. Vet. Parasitol. 2008, 158, 144–151. [Google Scholar] [CrossRef] [PubMed]
- Liu, R.; Feng, L.; Sun, A.; Kong, L. Preparative Isolation and Purification of Coumarins from Cnidium Monnieri (L.) Cusson by High-Speed Counter-Current Chromatography. J. Chromatogr. A 2004, 1055, 71–76. [Google Scholar] [CrossRef] [PubMed]
- Luz, R.F.; Vieira, I.J.; Braz-Filho, R.; Moreira, V.F. 13C-NMR Data from Coumarins from Moraceae Family. Am. J. Anal. Chem. 2015, 6, 851. [Google Scholar] [CrossRef]
- Kim, B.; Jung, E.; Youn, H.; Hwang, K.; Han, M.; Yu, Y.; Nam, K. Inhibitory Effects of Coumarins from the Fruit of Citrus Aurantium Against iNOS Activity. Yakhak Hoeji 2017, 61, 267–273. [Google Scholar] [CrossRef]
- Setzer, W.N.; Vogler, B.; Bates, R.B.; Schmidt, J.M.; Dicus, C.W.; Nakkiew, P.; Haber, W.A. HPLC-NMR/HPLC-MS Analysis of the Bark Extract of Stauranthus Perforatus. Phytochem. Anal. Int. J. Plant. Chem. Biochem. Tech. 2003, 14, 54–59. [Google Scholar] [CrossRef] [PubMed]
- Nam, V.D.; Teruhisa, F.; Hirofumi, T.; Hiroshi, K.; Khoi, N.M.; Dung, L.V.; Ha, D.T.; Hiroshi, H. Chemical Composition of Clausena Lansium (Lour.) Skeels Leaves and Antifungal Activity. Nat. Prod. Sci. 2016, 22, 35–40. [Google Scholar] [CrossRef]
- Zhang, Y.; Yi, P.; Chen, Y.; Mei, Z.; Hu, X.; Yang, G. Lycojaponicuminol A–F: Cytotoxic Serratene Triterpenoids from Lycopodium Japonicum. Fitoterapia 2014, 96, 95–102. [Google Scholar] [CrossRef] [PubMed]
- Chen, Y.; Shen, S.; Lee, W.; Hou, W.; Yang, L.; Lee, T.J. Inhibition of Nitric Oxide Synthase Inhibitors and Lipopolysaccharide Induced Inducible NOS and cyclooxygenase-2 Gene Expressions by Rutin, Quercetin, and Quercetin Pentaacetate in RAW 264.7 Macrophages. J. Cell. Biochem. 2001, 82, 537–548. [Google Scholar] [CrossRef] [PubMed]
- Yamamoto, Y.; Gaynor, R.B. Therapeutic Potential of Inhibition of the NF-kappaB Pathway in the Treatment of Inflammation and Cancer. J. Clin. Investig. 2001, 107, 135–142. [Google Scholar] [CrossRef] [PubMed]
- Haefner, B. NF-κB: Arresting a Major Culprit in Cancer. Drug Discov. Today 2002, 7, 653–663. [Google Scholar] [CrossRef]
- Baeuerle, P.A. The Inducible Transcription Activator NF-κB: Regulation by Distinct Protein Subunits. Biochim. Biophys. Acta (BBA) Rev. Cancer 1991, 1072, 63–80. [Google Scholar] [CrossRef]
- Han, S.; Lee, J.H.; Kim, C.; Nam, D.; Chung, W.; Lee, S.; Ahn, K.S.; Cho, S.K.; Cho, M.; Ahn, K.S. Capillarisin Inhibits iNOS, COX-2 Expression, and Proinflammatory Cytokines in LPS-Induced RAW 264.7 Macrophages Via the Suppression of ERK, JNK, and NF-κB Activation. Immunopharmacol. Immunotoxicol. 2013, 35, 34–42. [Google Scholar] [CrossRef] [PubMed]
- Rockey, D.C.; Chung, J.J.; McKee, C.M.; Noble, P.W. Stimulation of Inducible Nitric Oxide Synthase in Rat Liver by Hyaluronan Fragments. Hepatology 1998, 27, 86–92. [Google Scholar] [CrossRef] [PubMed]
- Kim, H.K.; Cheon, B.S.; Kim, Y.H.; Kim, S.Y.; Kim, H.P. Effects of Naturally Occurring Flavonoids on Nitric Oxide Production in the Macrophage Cell Line RAW 264.7 and their structure–activity Relationships. Biochem. Pharmacol. 1999, 58, 759–765. [Google Scholar] [CrossRef]
- Dinarello, C.A. Biologic Basis for Interleukin-1 in Disease. Blood 1996, 87, 2095–2147. [Google Scholar] [CrossRef] [PubMed]
- Blonska, M.; Czuba, Z.; Krol, W. Effect of Flavone Derivatives on Interleukin-1β (IL-1β) mRNA Expression and IL-1β Protein Synthesis in Stimulated RAW 264.7 Macrophages. Scand. J. Immunol. 2003, 57, 162–166. [Google Scholar] [CrossRef] [PubMed]
- Wu, C.; Chen, T.; Chen, T.; Ho, W.; Chiu, W.; Chen, R. Nitric Oxide Modulates Pro-and Anti-Inflammatory Cytokines in Lipopolysaccharide-Activated Macrophages. J. Trauma 2003, 55, 540–545. [Google Scholar] [CrossRef] [PubMed]
- Wischmeyer, P.E.; Kahana, M.; Wolfson, R.; Ren, H.; Musch, M.M.; Chang, E.B. Glutamine Reduces Cytokine Release, Organ Damage, and Mortality in a Rat Model of Endotoxemia. Shock 2001, 16, 398–402. [Google Scholar] [CrossRef] [PubMed]
- Qi, M.; Elion, E.A. MAP Kinase Pathways. J. Cell Sci. 2005, 118, 3569–3572. [Google Scholar] [CrossRef] [PubMed]
- Blois, M.S. Antioxidant Determinations by the use of a Stable Free Radical. Nature 1958, 181, 1199–1200. [Google Scholar] [CrossRef]
- Proestos, C.; Lytoudi, K.; Mavromelanidou, O.; Zoumpoulakis, P.; Sinanoglou, V. Antioxidant Capacity of Selected Plant Extracts and their Essential Oils. Antioxidants 2013, 2, 11–22. [Google Scholar] [CrossRef] [PubMed]
Sample Availability: Samples of the compounds used in this research are available from the authors. |










© 2019 by the authors. Licensee MDPI, Basel, Switzerland. This article is an open access article distributed under the terms and conditions of the Creative Commons Attribution (CC BY) license (http://creativecommons.org/licenses/by/4.0/).
Share and Cite
Song, H.Y.; Jo, A.; Shin, J.; Lim, E.H.; Lee, Y.E.; Jeong, D.E.; Lee, M. Anti-Inflammatory Activities of Isogosferol, a Furanocoumarin Isolated from Citrus junos Seed Shells through Bioactivity-Guided Fractionation. Molecules 2019, 24, 4088. https://doi.org/10.3390/molecules24224088
Song HY, Jo A, Shin J, Lim EH, Lee YE, Jeong DE, Lee M. Anti-Inflammatory Activities of Isogosferol, a Furanocoumarin Isolated from Citrus junos Seed Shells through Bioactivity-Guided Fractionation. Molecules. 2019; 24(22):4088. https://doi.org/10.3390/molecules24224088
Chicago/Turabian StyleSong, Hwa Young, Ara Jo, Jihun Shin, Eui Hyeon Lim, Ye Eun Lee, Da Eun Jeong, and Mina Lee. 2019. "Anti-Inflammatory Activities of Isogosferol, a Furanocoumarin Isolated from Citrus junos Seed Shells through Bioactivity-Guided Fractionation" Molecules 24, no. 22: 4088. https://doi.org/10.3390/molecules24224088
APA StyleSong, H. Y., Jo, A., Shin, J., Lim, E. H., Lee, Y. E., Jeong, D. E., & Lee, M. (2019). Anti-Inflammatory Activities of Isogosferol, a Furanocoumarin Isolated from Citrus junos Seed Shells through Bioactivity-Guided Fractionation. Molecules, 24(22), 4088. https://doi.org/10.3390/molecules24224088
